Presolvated Electron Reactions with Methyl Acetoacetate: Electron Localization, Proton-Deuteron Exchange, and H-Atom Abstraction
Abstract
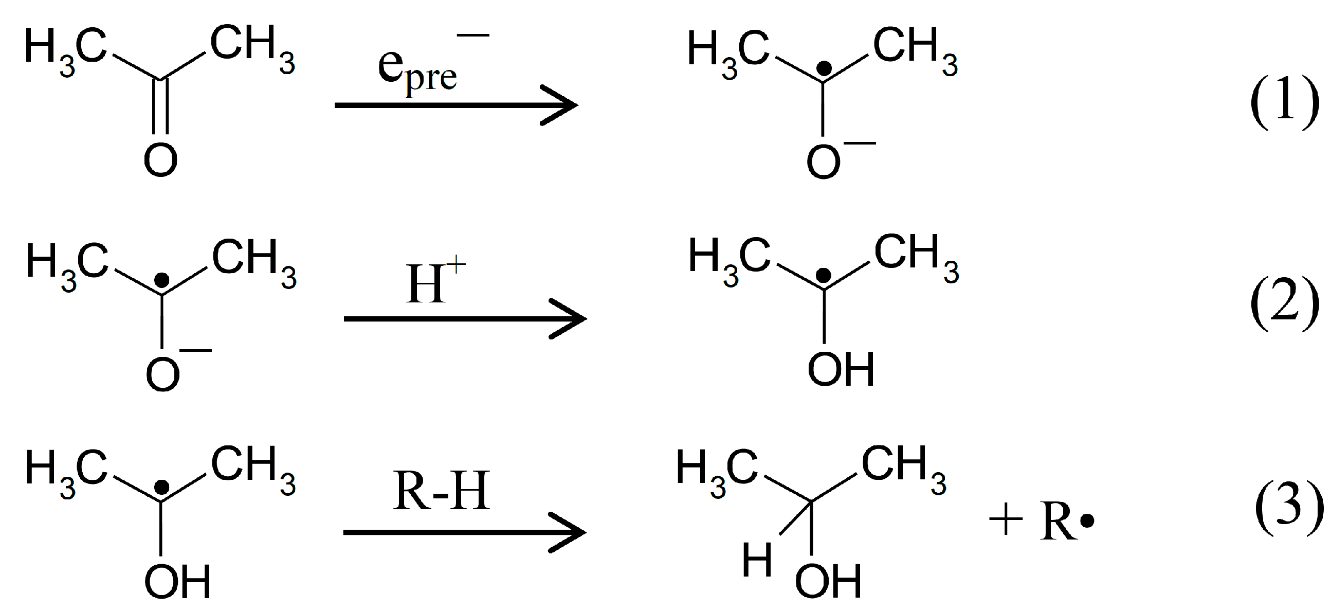
:1. Introduction


2. Results and Discussion
2.1. ESR Studies in H2O

| Radical | Phase | Proton Hyperfine Couplings 1,2 (Gauss) | ||
|---|---|---|---|---|
| CH3 | CH2 | O-H [xx, yy, zz] 1 | ||
| I (opt) | vacuum | 11.6 | 18.7, 6.6 | - |
| PCM | 13.1 | 25.4, 4.9 | - | |
| II (opt) | vacuum | 18.5 | 35.6, 0.8 | [−6.5, −5.5, 5.4] |
| PCM | 18.7 | 35.9, 0.9 | [−6.7, −5.7, 5.0] | |
| II (Exp) | Glass 3 | 18 | 37, <5 | unresolved |
| III (opt) | vacuum | C-H [xx, yy, zz] | - | |
| [−29.4, −20.7, −8.1] | - | |||
| PCM | [−29.6, −20.9, −8.0] | - | ||
| III (Exp) | Glass 3 | ca. −22 | - | |

2.2. ESR Studies in D2O

2.3. DFT Calculations

3. Experimental Section
3.1. Materials
3.2. Sample Preparation
3.3. Gamma Irradiation
3.4. ESR Studies
3.5. Annealing of Glassy Samples and Radical Formation
3.6. DFT Calculations
4. Conclusions
Acknowledgments
Author Contributions
Conflicts of Interest
References
- Becker, D.; Adhikary, A.; Sevilla, M.D. Physicochemical mechanisms of radiation induced DNA damage (Chapter 20). In Charged Particle and Photon Interactions with Matter, Recent Advances, Applications, and Interfaces; Hatano, Y., Katsumura, Y., Mozumder, A., Eds.; CRC Press, Taylor & Francis: Boca Raton, FL, USA, 2010; pp. 503–541. [Google Scholar]
- Sanche, L. Low energy electron-driven damage in biomolecules. Eur. Phys. J. D 2005, 35, 367–390. [Google Scholar]
- Kumar, A.; Sevilla, M.D. Low energy electron (LEE) induced DNA damage: Theoretical approaches to modeling experiment. In Biomolecules in Handbook of Computational Chemistry; Shukla, M., Leszczynski, J., Eds.; Springer: Heidelberg, Germany, 2012; pp. 1215–1256. [Google Scholar]
- Gillis, H.A.; Teather, G.G.; Buxton, G.V. Pulse radiolysis of deuterated aqueous LiCl glasses. Dependence of the yields and rates of reaction of visible and infrared absorbing trapped electrons on LiCl concentration. Can. J. Chem. 1978, 56, 1889–1889. [Google Scholar]
- Wolff, R.K.; Aldrich, J.E.; Penner, T.L.; Hunt, J.W. Picosecond pulse radiolysis. V. Yield of electrons in irradiated aqueous solution with high concentrations of scavenger. J. Phys. Chem. 1975, 79, 210–219. [Google Scholar]
- Bartels, D.M.; Gosztola, D.; Jonah, C.D. Spur decay kinetics of the solvated electron in heavy water radiolysis. J. Phys. Chem. A 2001, 105, 8069–8072. [Google Scholar]
- Lu, Q.-B.; Baskin, J.S.; Zewail, A.H. The presolvated electron in water: Can it be scavenged at long range? J. Phys. Chem. B 2004, 108, 10509–10514. [Google Scholar]
- Sevilla, M.D.; Morehouse, K.M.; Swarts, S. An ESR study of electron reactions with carboxylic acids, ketones, and aldehydes in aqueous glasses. J. Phys. Chem. 1981, 85, 918–923. [Google Scholar] [CrossRef]
- Sevilla, M.D.; Swarts, S.; Bearden, R.; Morehouse, K.M.; Vartanian, T. ESR study of electron reactions with esters and triglycerides. J. Phys. Chem. 1981, 85, 923–927. [Google Scholar] [CrossRef]
- Kheir, J.F.; Chomicz, L.; Engle, A.M.; Rak, J.; Sevilla, M.D. Presolvated low energy electron attachment to peptide methyl esters in aqueous solution: CO bond cleavage at 77 K. J. Phys. Chem. B 2013, 117, 2872–2877. [Google Scholar] [CrossRef]
- Sevilla, M.D.; D’Arcy, J.B.; Morehouse, K.M. An electron spin resonance study of gamma-irradiated frozen aqueous solutions containing N-acetylamino acids. J. Phys. Chem. 1979, 83, 2893–2897. [Google Scholar]
- Laroff, G.P.; Fessenden, R.W. Equilibrium and kinetics of the acid dissociation of several hydroxyl alkyl radicals. J. Phys. Chem. 1973, 77, 1283–1288. [Google Scholar] [CrossRef]
- Sevilla, M.D.; Suryanarayana, D.; Morehouse, K.M. An ESR study of DNA base cation radicals produced by attack of oxidizing radicals. J. Phys. Chem. 1981, 85, 1027–1031. [Google Scholar]
- Adhikary, A.; Kumar, A.; Heizer, A.N.; Palmer, B.J.; Pottiboyina, V.; Liang, Y.; Wnuk, S.F.; Sevilla, M.D. Hydroxyl ion addition to one-electron oxidized thymine: Unimolecular interconversion of C5 to C6 OH-adducts. J. Am. Chem. Soc. 2013, 135, 3121–3135. [Google Scholar] [CrossRef]
- Suryanarayana, D.; Sevilla, M.D. Electron spin resonance studies of barriers to hindered rotation in acetic acid, acetamide, and peptide radicals. J. Phys. Chem. 1979, 83, 1323–1327. [Google Scholar] [CrossRef]
- Suryanarayana, D.; Sevilla, M.D. INDO study of the anion radicals of acetic acid and acetamide. Nonplanarity and barriers to methyl group rotation. J. Phys. Chem. 1980, 84, 3045–3049. [Google Scholar] [CrossRef]
- Fox, M.A.; Whitesell, J.K. Organic Chemistry, 3rd ed.; Jones and Bartlett Publishers: Sudbury, MA, USA, 2004; p. 295. [Google Scholar]
- Adhikary, A.; Malkhasian, A.Y.S.; Collins, S.; Koppen, J.; Becker, D.; Sevilla, M.D. UVA-visible photo-excitation of guanine radical cations produces sugar radicals in DNA and model structures. Nucleic Acids Res. 2005, 33, 5553–5564. [Google Scholar] [CrossRef]
- Adhikary, A.; Kumar, A.; Becker, D.; Sevilla, M.D. The guanine cation radical: Investigation of deprotonation states by ESR and DFT. J. Phys. Chem. B. 2006, 110, 24171–24180. [Google Scholar] [CrossRef]
- Adhikary, A.; Khanduri, D.; Sevilla, M.D. Direct observation of the protonation state and hole localization site in DNA-oligomers. J. Am. Chem. Soc. 2009, 131, 8614–8619. [Google Scholar] [CrossRef]
- Westheimer, F.H. The magnitude of the primary kinetic isotope effect for compounds of hydrogen and deuterium. Chem. Rev. 1961, 61, 265–273. [Google Scholar] [CrossRef]
- Raiti, M.J.; Sevilla, M.D. Density Functional Theory investigation of the electronic structure and spin density distribution in peroxyl radicals. J. Phys. Chem. A 1999, 103, 1619–1626. [Google Scholar] [CrossRef]
- Frisch, M.J.; Trucks, G.W.; Schlegel, H.B.; Scuseria, G.E.; Robb, M.A.; Cheeseman, J.R.; Scalmani, G.; Barone, V.; Mennucci, B.; Petersson, G.A.; et al. Gaussian 09; Gaussian, Inc.: Wallingford, CT, USA, 2009. [Google Scholar]
- SPARTAN, version 10. Wavefunction, Inc.: Irvine, CA, USA, 2010.
- Sample Availability: Samples of the compounds employed are commercially available (see materials and methods for sources).
© 2014 by the authors. Licensee MDPI, Basel, Switzerland. This article is an open access article distributed under the terms and conditions of the Creative Commons Attribution license ( http://creativecommons.org/licenses/by/3.0/).
Share and Cite
Petrovici, A.; Adhikary, A.; Kumar, A.; Sevilla, M.D. Presolvated Electron Reactions with Methyl Acetoacetate: Electron Localization, Proton-Deuteron Exchange, and H-Atom Abstraction. Molecules 2014, 19, 13486-13497. https://doi.org/10.3390/molecules190913486
Petrovici A, Adhikary A, Kumar A, Sevilla MD. Presolvated Electron Reactions with Methyl Acetoacetate: Electron Localization, Proton-Deuteron Exchange, and H-Atom Abstraction. Molecules. 2014; 19(9):13486-13497. https://doi.org/10.3390/molecules190913486
Chicago/Turabian StylePetrovici, Alex, Amitava Adhikary, Anil Kumar, and Michael D. Sevilla. 2014. "Presolvated Electron Reactions with Methyl Acetoacetate: Electron Localization, Proton-Deuteron Exchange, and H-Atom Abstraction" Molecules 19, no. 9: 13486-13497. https://doi.org/10.3390/molecules190913486
APA StylePetrovici, A., Adhikary, A., Kumar, A., & Sevilla, M. D. (2014). Presolvated Electron Reactions with Methyl Acetoacetate: Electron Localization, Proton-Deuteron Exchange, and H-Atom Abstraction. Molecules, 19(9), 13486-13497. https://doi.org/10.3390/molecules190913486
