Metal Complexes Containing Natural and Artificial Radioactive Elements and Their Applications
Abstract
:Introduction
Part A. Actinides Chemistry
A.1. General Concepts on Actinide Complexes
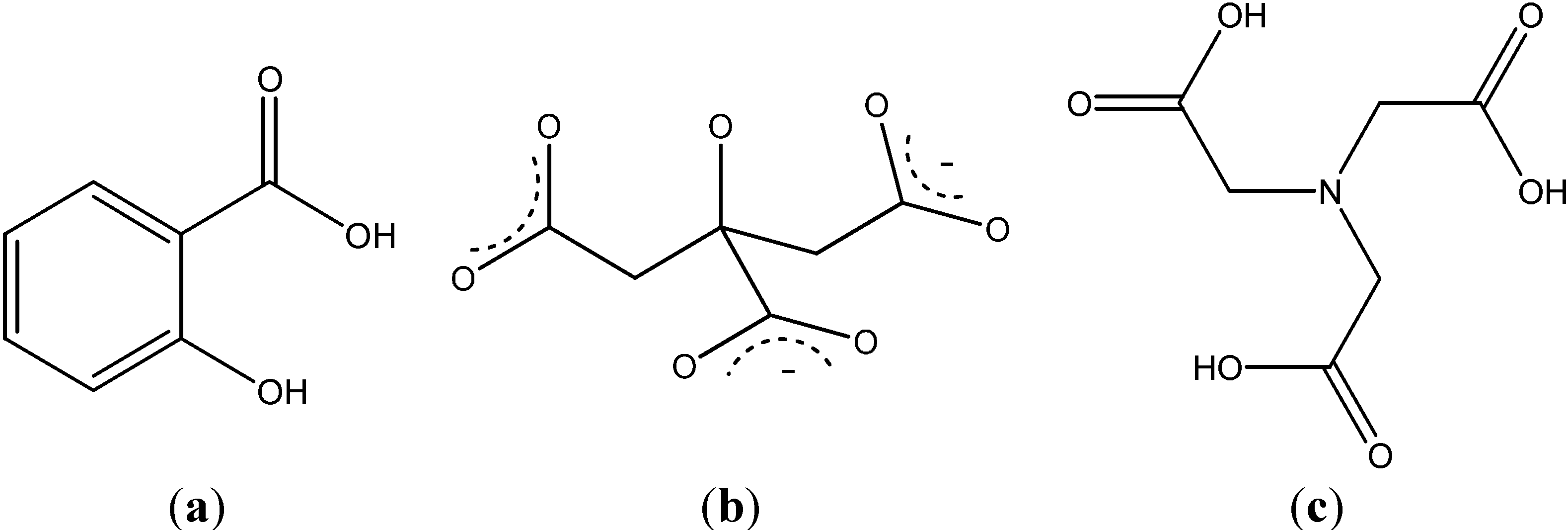
A.2. Actinide Complexes with O-Containing Ligands






A.3. Actinide Complexes with N, N, O- and N,S-Containing Ligands
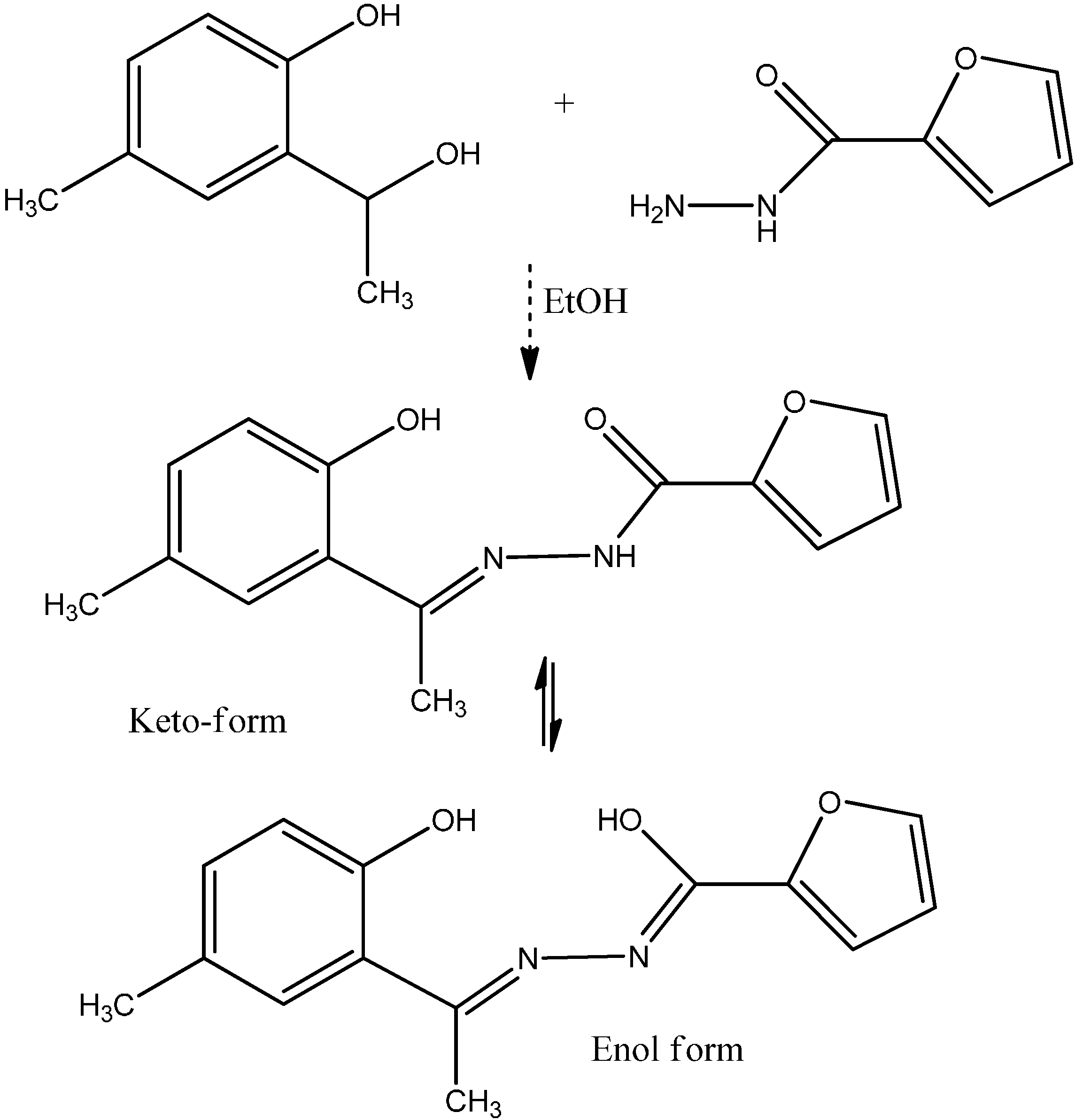
A.3.1. Complexes with N-Containing Ligands











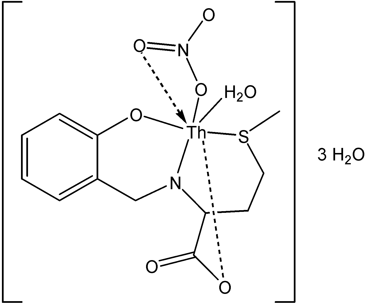
A.3.2. Actinide Complexes with N,O- and N,S-Containing Ligands















A.4. Actinide Complexes with Calixarenes



A.5. Actinide Complexes with P-Containing Ligands

A.6. Actinide Organometallic Complexes





Part B. Technetium-99m Chemistry
B.1. General Concepts on Technetium Complexes

B.2. Technetium Complexes with O-Containing Ligands


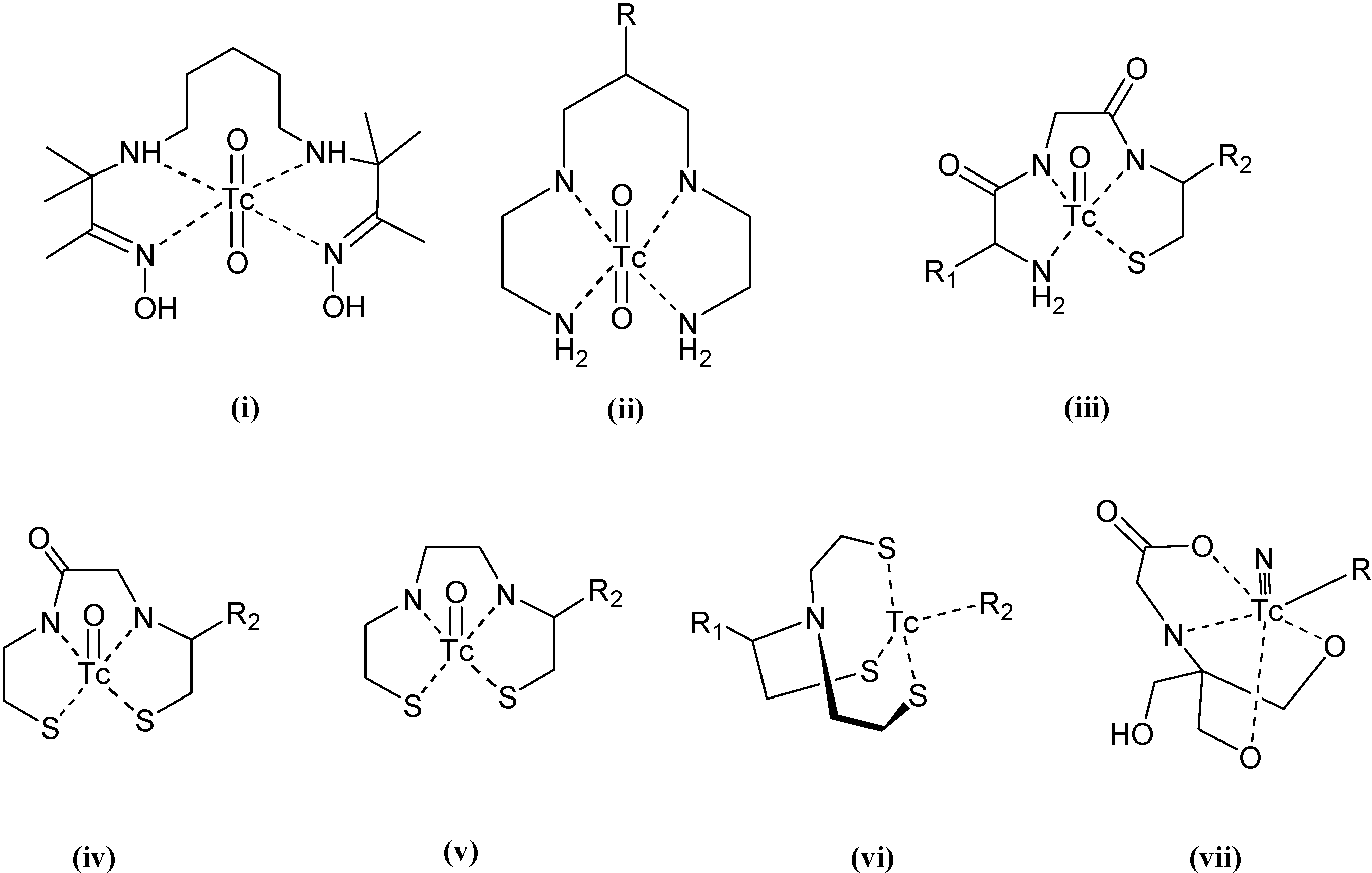
B.3. Technetium Complexes with N-, O-, P- or S-Containing Ligands



| Denticity and Donor Atoms | Conjugated Ligand | Chelating Group | Potential Medical Use | Ref. |
|---|---|---|---|---|
| N,N,N | Benzothiazole and stilbene | II | Brain imaging | [104] |
| Lys-NHCONH-Glu inhibitor | II | Imaging of prostate specific membrane antigen (PSMA) | [105] | |
| Cyclo-[Arg-Gly-Asp-D-Tyr-Lys(PZ)] | I | Integrin receptors in tumor cells and neovasculature | [106] | |
| Ala-NLe-cyclo[Asp-His-DPhe-Arg-Trp-Lys]-NH2 | I | Imaging of melanocortin type 1 receptor (MC1R) in melanoma tumors | [107] | |
| Lysine aminoacid derivatives conjugated to octreotide | III | Tumor imaging | [108] | |
| 16-mer peptide nucleic acid sequence H-A GAT CAT GCC CGG CAT-Lys-NH2 | I | Radioimaging human neuroblastoma cells | [109] | |
| Diethyl phosphonate, phosphoric acid and bisphosphonic acid derivatives | I | Bone imaging | [110] | |
| l-Arg conjugates | I | Monitoring of in vivo activity of inducible nitric oxide synthase (iNOS) | [111] | |
| Lisinopril | II | Imaging of angiotensin-convering enzyme (ACE) for hearth failure monitoring | [112] | |
| Insulin | II | Tracing insulin biochemistry in vivo | [113] | |
| Aliphatic or aromatic ethers | I, II | Cardiac imaging | [114] | |
| Glu-urea-Lys, Glu-urea-Glu | I, II | Imaging of prostate specific membrane antigen (PSMA) | [115] | |
| DNA intercalator and bomesin analogue | II | Imaging gastrin releasing peptide receptor (GRPr) and Auger therapy | [116] | |
| Duanidino, N-hydroxyguanidine, N-methylguanidine, N-nitroguanidine or S-methylisothiurea moieties | II | iNOS visualization | [117] | |
| Ac-DEVD-R110-D-SAAC-Fmoc | II | Monitoring of apoptosis | [118] | |
| Pamidronate and alendronate | I | Bone imaging | [119] | |
| Bile acid | I | Radiopharmaceuticals for hepatobiliary diseases, liver tumor and intestinal cancer | [120] | |
| N,N,O | Pyridyl-tert-nitrogen-phenol ligand | IV | Radiolabeling agents | [121] |
| Glucosamine | IV | Radiolabeling of glucose biochemistry | [122,123] | |
| 4-Nitrobenzyl moiety | IV | Bioreductive diagnostic radiopharmaceutical | [124] | |
| 15-[N-(hydroxycarbonylmethyl)-2-picolylamino)pentadecanoic acid | V | Radiotracer for evaluation of fatty acid metabolism in myocardium | [125] | |
| Estradiol | VI | Imaging agent for estrogen receptor in tumor cells | [126] | |
| Triphenylphosphine | VI | Radioactive metalloprobes for in vivo monitoring of mitochondira | [127] | |
| Quinazoline derivatives | IV | Biomarker for EGFR-TK positive tumors | [128] | |
| N,O,O | 2- and 4-Nitroimidazole | VII | Imaging hypoxic cells | [129,130,131] |
| Glucosamino-Asp-cyclic(Arg-Gly-Asp-D-Phe-Lys) | VII | Angiogenesis imaging agent | [132] | |
| N,O,S | Benzoyl thiourea | VIII | Radiopharmaceuticals | [133] |
| Histidine derivatives | IX | Radiopharmaceuticals | [134] | |
| 3-(carboxymethylthio)-3-(1H-imidazol-4-yl)propanoic acid | X | Radiopharmaceuticals | [135] | |
| Thymidine | XI | Monitoring activity human thymidine kinase type 1 | [136] |
| Denticity and Donor Atoms | Conjugated Ligand | Chelating Group | Potential Medical Use | Ref. |
|---|---|---|---|---|
| N,N,N,N | 2,2'-(1,4-diaminobutane)b8s(2-methyl-3-butanone) dioxime | i | Hypoxia markers | [137] |
| 1,4,8,11-tetra-azaundecane derivatives | ii | SPECT imaging probes for tumor imaging | [138] | |
| N,N,N,S | 2-nitroimidazole derivative | iii | Tumor hypoxia | [139] |
| Probestin derivative | iii | Imaging aminipepetidase N (APN) expression in vivo | [140] | |
| N,N,S,S | Benzothiazole aniline, pyridyl benzofuran, phenylbenzoxazole, dibenzylideneacetone derivatives | iv, v | Beta-amyloid plaques imaging in brain | [141,142,143,144] |
| 2-quinolinecarboxamide | iv | Peripheral benzodiazepine receptor (PBR) imaging | [145] | |
| N,S,S,S | Fatty acid derivatives | vi | Myocardial metabolism imaging | [146,147] |
| 5-nitroimidazole derivatives | vi | Hypoxia tumor imaging | [148] | |
| N,O,O,O | Pteroyl-Lys derivative | vii | Tumor imaging | [149] |

B.4. Technetium Organometallic Complexes

B.5. Applications of Technetium Labeling to Nanomaterials
Conclusions
Acknowledgments
Author Contributions
Conflicts of Interest
References
- Kirby, H.W.; Morss, L.R. Actinium. In The Chemistry of the Actinide and Transactinide Elements; Springer: Dordrecht, The Netherlands, 2006; Volume 1, pp. 18–51. [Google Scholar]
- Stavroula, S.; Kappel, B.J.; Jaggi, J.S.; McDevitt, M.R.; Scheinberg, D.A.; Sgouros, G. Enhanced retention of the α-particle emitting daughters of actinium-225 by liposome carriers. Bioconjugate Chem. 2007, 18, 2061–2067. [Google Scholar] [CrossRef]
- Hudry, D.; Apostolidis, C.; Walter, O.; Griveau, J.-C.; Janssen, A.; Manara, D.; Colineau, E.; Vitova, T.; Wang, D.; Kübel, C.; et al. Ultra small plutonium oxide nanocrystals: Innovative building-blocks in plutonium. Science 2014. submitted. [Google Scholar]
- Hudry, D.; Griveau, J.-C.; Apostolidis, C.; Walter, O.; Colineau, E.; Rasmussen, G.; Wang, D.; Chakravadhaluna, V.S.K.; Courtois, E.; Kübel, C.; et al. Thorium/uranium mixed oxide nanocrystals: Synthesis, structural characterization and magnetic properties. Nano Res. 2014, 7, 119–131. [Google Scholar] [CrossRef]
- Hudry, D.; Apostolidis, C.; Walter, O.; Gouder, T.; Janssen, A.; Courtois, E.; Kübel, C.; Meyer, D. Synthesis of transuranium-based nanocrystals via the thermal decomposition of actinyl nitrates. RSC Adv. 2013, 3, 18271–18274. [Google Scholar] [CrossRef]
- Hudry, D.; Apostolidis, C.; Walter, O.; Gouder, T.; Courtois, E.; Kübel, C.; Meyer, D. Controlled synthesis of thorium and uranium oxide nanocrystals. Chem. Eur. J. 2013, 19, 5297–5305. [Google Scholar] [CrossRef]
- Morss, L.R. Synthetic milestones in f element inorganic chemistry. In Proceedings of the 7th International Conference on f Elements (ICfE-7), Cologne, Germany, 23–27 August 2009; Meyer, G., Ed.; NwT-Verlag: Bornheim, Germany, 2010; Volume 1, pp. 1–6. [Google Scholar]
- Fry, C.; Thoennessen, M. Discovery of the actinium, thorium, protactinium, and uranium isotopes. At. Data Nucl. Data Tables 2013, 99, 345–364. [Google Scholar] [CrossRef]
- Cotton, S.C. Coordination chemistry of the actinides. In Lanthanide and Actinide Chemistry; John Wiley & Sons, Ltd.: Sussex, UK, 2006. [Google Scholar]
- Vlaisavljevich, B.; Mir, P.; Ma, D.; Sigmon, G.E.; Burns, P.C.; Cramer, C.J.; Gagliardi, L. Synthesis and characterization of the first 2d neptunyl structure stabilizedby side-on cation-cation interactions. Chem. Eur. J. 2013, 19, 2937–2941. [Google Scholar] [CrossRef]
- Shiri, S.; Delpisheh, A.; Haeri, A.; Poornajaf, A.; Khezeli, T.; Badkiu, N. Floatation-spectrophotometric determination of thorium, using complex formation with eriochrome cyaniner. Anal. Chem. Insights 2011, 6, 1–6. [Google Scholar]
- Uhrovcik, J.; Lesny, J. Contribution to validation of spectrophotometric determination ofthorium using Arsenazo III. HEJ: ENV-120131-A. Available online: http://heja.szif.hu/ENV/ENV-120131-A/env120131a.pdf (accessed on 16 July 2014).
- Jayarami, R.M.; Sudhavani, T.J.; Sivagangi, R. Synergistic extraction of uranium (VI) by complexation with CYANEX-272 and CYANEX-923, TPBD, TNBD, TOPO in presence of nitrate. Int. J. Res. Chem. Environ. 2012, 2, 158–163. [Google Scholar]
- Odoh, S.O.; Bylaska, E.J.; de Jong, W.A. Coordination and hydrolysis of plutonium ions in aqueous solution using car-parrinello molecular dynamics free energy simulations. J. Phys. Chem. A 2013, 117, 12256–12267. [Google Scholar] [CrossRef]
- Vercouter, T.; Vitorge, P.; Amekraz, B.; Giffaut, E.; Hubert, S.; Moulin, C. Stabilities of the Aqueous Complexes Cm(CO3)33− and Am(CO3)33− in the Temperature Range 10−70 °C. Inorg. Chem. 2005, 44, 5833–5843. [Google Scholar] [CrossRef]
- Polinski, M.J.; Wang, S.; Alekseev, E.V.; Depmeier, W.; Liu, G.; Haire, R.G.; Albrecht-schmitt, T.E. Curium(III) borate shows coordination environments of both Plutonium(III) and Americium(III) borates. Angew. Chem. Int. Ed. 2012, 51, 1869–1872. [Google Scholar] [CrossRef]
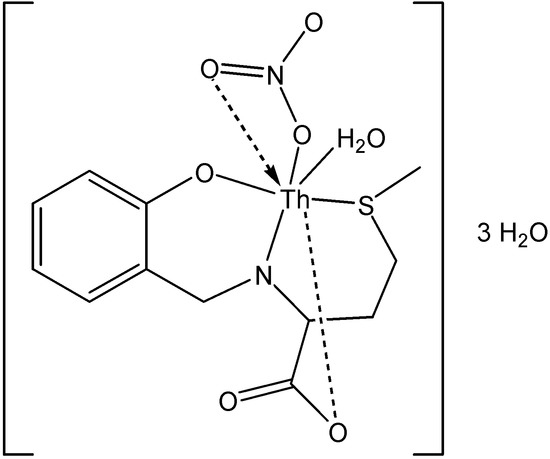
- Torapava, N.; Lundberg, D.; Persson, I. A coordination chemistry study of solvated Thorium(IV) ions in two oxygen-donor solvents. Eur. J. Inorg. Chem. 2011, 5273–5278. [Google Scholar] [CrossRef]
- Rao, L.; Tian, G. Symmetry, optical properties and thermodynamics of Neptunium(V) complexes. Symmetry 2010, 2, 1–14. [Google Scholar]
- Hennig, C.; Takao, S.; Takao, K.; Weiss, S.; Kraus, W.; Emmerling, F.; Meyer, M.; Scheinost, A.C. Identification of hexanuclear Actinide(IV) carboxylates withThorium, Uranium and Neptunium by EXAFS spectroscopy. J. Phys. Conf. Ser. 2013, 430. [Google Scholar] [CrossRef]
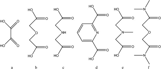
- Thakur, P.; Pathak, P.N.; Gedris, T.; Choppin, G.R. Complexation of Eu(III), Am(III) and Cm(III) with dicarboxylates: Thermodynamics and structuralaspects of the binary and ternary complexes. J. Solut. Chem. 2009, 38, 265–287. [Google Scholar] [CrossRef]
- Barkleit, A.; Foerstendorf, H.; Heim, K.; Sachs, S.; Bernhard, G. Complex formation of uranium(vi) with l-phenylalanine and3-phenylpropionic acid studied by attenuated total reflection. Fourier transform infrared spectroscopy. Appl. Spectrosc. 2008, 62, 798–802. [Google Scholar] [CrossRef]
- Mendes, M.; Hamadi, S.; le Naour, C.; Roques, J.; Jeanson, A.; Den Auwer, C.; Moisy, P.; Topin, S.; Aupiais, J.; Hennig, C.; et al. Thermodynamical and structural study of protactinium(v) oxalate complexes in solution. Inorg. Chem. 2010, 49, 9962–9971. [Google Scholar] [CrossRef]
- Müller, M.; Acker, M.; Taut, S.; Bernhard, G. Complex formation of trivalent americium with salicylic acid at very low concentrations. J. Radioanal. Nucl. Chem. 2010, 286, 175–180. [Google Scholar] [CrossRef]
- Mathur, J.N.; Cernochova, K.; Choppin, G.R. Thermodynamics and laser luminescence spectroscopy of binary and ternary complexation of Am3+, Cm3+ and Eu3+ with citric acid, and citric acid + EDTA at high ionic strength. Inorg. Chim. Acta 2007, 360, 1785–1791. [Google Scholar] [CrossRef]
- Fedosseev, A.M.; Grigoriev, M.S.; Budantseva, N.A.; Guillaumont, D.; le Naour, C.; Simoni, E.; den Auwer, C.; Moisy, P. Americium(III) coordination chemistry: An unexplored diversity of structure and bonding. Comptes. Rendus. Chim. 2010, 13, 839–848. [Google Scholar] [CrossRef]
- King, D.M.; Tuna, F.; McInnes, E.J.L.; McMaster, J.; Lewis, W.; Blake, A.J.; Liddle, S.T. Synthesis and structure of a terminal uranium nitride complex. Science 2012, 337, 717–720. [Google Scholar] [CrossRef]
- Thomson, R.K.; Cantat, T.; Scott, B.L.; Morris, D.E.; Batista, E.R.; Kiplinger, J.L. Uranium azide photolysis results in C-H bondactivation and provides evidence for a terminaluranium nitride. Nat. Chem. 2010, 2, 723–729. [Google Scholar] [CrossRef]
- Budantseva, N.A.; Grigoriev, M.S.; Fedoseev, A.M. Synthesis, structure, and absorption spectra of complex Neptunium(V) chromate with the guanidinium cation, [C(NH2)3]3[NpO2(CrO4)2] (H2O). Russ. J. Coord. Chem. 2013, 39, 360–365. [Google Scholar] [CrossRef]
- Adam, C.; Kaden, P.; Beele, B.B.; Müllich, U.; Trumm, S.; Geist, A.; Panak, P.J.; Denecke, M.A. Evidence for covalence in a N-donor complex of Americium(III). Dalton Trans. 2013, 42, 14068–14074. [Google Scholar] [CrossRef]
- Ölcer, A.; Amayri, S.; Reich, T. Neptunium coordination in room-temperature ionic liquids (BmimCl, BmimMsu and BmimSCN). Available online: http://www.kernchemie.uni-mainz.de/downloads/JB2011/C07.pdf. (accessed on 16 July 2014).
- Kraft, S.J.; Fanwick, P.E.; Bart, S.C. Synthesis and characterization of a uranium(iii) complex containing a redox-active 2,2'-bipyridine ligand. Inorg. Chem. 2010, 49, 1103–1110. [Google Scholar] [CrossRef]
- Takase, M.K.; Fang, M.; Ziller, J.W.; Furche, F.; Evans, W.J. Reduction chemistry of the mixed ligand metallocene [(C5Me5)(C8H8)U]2(η-C8H8) with bipyridines. Inorg. Chim. Acta 2010, 364, 167–171. [Google Scholar] [CrossRef]
- Zi, G.; Jia, L.; Werkema, E.L.; Walter, M.D.; Gottfriedsen, J.P.; Andersen, R.A. Preparation and Reactions of Base-Free Bis(1,2,4-tri-tert-butylcyclopentadienyl)uranium Oxide, Cp'2UO. Organometallics 2005, 24, 4251–4264. [Google Scholar] [CrossRef]
- Mohammad, A.; Cladis, D.P.; Forrest, W.P.; Fanwick, P.E.; Bart, S.C. Reductive heterocoupling mediated by Cp*2U(2,2'-bpy). Chem. Commun. 2012, 48, 1671–1673. [Google Scholar] [CrossRef]
- Ren, W.; Zi, G.; Walter, M.D. Synthesis, structure, and reactivity of a thorium metallocene containing a 2,2'-bipyridyl ligand. Organometallics 2012, 31, 672–679. [Google Scholar] [CrossRef]
- Ren, W.; Song, H.; Zi, G.; Walter, M.D. A bipyridyl thorium metallocene: Synthesis, structure and reactivity. Dalton Trans. 2012, 41, 5965–5973. [Google Scholar] [CrossRef]
- Antunes, M.A.; Pereira, L.C.J.; Santos, I.C.; Mazzanti, M.; Marçalo, J.; Almeida, M. [U(TpMe2)2(bipy)]+: A Cationic Uranium(III) complex withsingle-molecule-magnet behavior. Inorg. Chem. 2011, 50, 9915–9917. [Google Scholar] [CrossRef]
- Hashem, E.; Lorusso, G.; Evangelisti, M.; McCabe, T.; Schulzke, C.; Platts, J.A.; Baker, R.J. Fingerprinting the oxidation state of U(IV) by emission spectroscopy. Dalton Trans. 2013, 42, 14677–14680. [Google Scholar] [CrossRef]
- Arnold, P.L.; Potter, N.A.; Magnani, N.; Apostolidis, C.; Griveau, J.-C.; Colineau, E.; Morgenstern, A.; Caciuffo, R.; Love, J.B. Synthesis of bimetallic uranium and neptunium complexes of a binucleating macrocycle and determination of the solid-state structure by magnetic analysis. Inorg. Chem. 2010, 49, 5341–5343. [Google Scholar] [CrossRef]
- Ward, A.L.; Buckley, H.L.; Lukens, W.W.; Arnold, J. Synthesis and characterization of Thorium(IV) and Uranium(IV)corrole complexes. J. Am. Chem. Soc. 2013, 135, 13965–13971. [Google Scholar] [CrossRef]
- Patkar, S.N.; Burungale, A.S.; Patil, R.J. Separation and liquid-liquid extraction of thorium(IV) as sulfate complex withsynergistic mixture of N-n-octylaniline and trioctylamine as an extractant. Rasayan. J. Chem. 2009, 2, 825–832. [Google Scholar]
- Manni, G.L.; Walensky, J.R.; Kraft, S.J.; Forrest, P.; Pérez, L.M.; Hall, M.B.; Gagliardi, L.; Bart, S.C. Computational insights into uranium complexes supported by redox-active α-diimine ligands. Inorg. Chem. 2012, 51, 2058–2064. [Google Scholar] [CrossRef]
- Yin, H.; Lewis, A.J.; Williams, U.J.; Carroll, P.J.; Schelter, E.J. Fluorinated diarylamide complexes of Uranium(III, IV)incorporating ancillary fluorine-to-uranium dative interactions. Chem. Sci. 2013, 4, 798–805. [Google Scholar] [CrossRef]
- Daly, S.R.; Piccoli, P.M.B.; Schultz, A.J.; Todorova, T.K.; Gagliardi, L.; Gilorami, G.S. Synthesis and properties of a fifteen-coordinate complex: The thorium aminodiboranate [Th(H3BNMe2BH3)4]. Angew. Chem. Int. Ed. 2010, 49, 3379–3381. [Google Scholar]
- Choppin, G.R.; Thakur, P.; Mathur, J.N. Complexation thermodynamics and the structure of the binary and the ternary complexes of Am3+, Cm3+ and Eu3+ with IDA and EDTA + IDA. Inorg. Chim. Acta 2007, 360, 1859–1869. [Google Scholar] [CrossRef]
- Marie, C.; Miguirditchian, M.; Guillaumont, D.; Tosseng, A.; Berthon, C.; Guilbaud, P.; Duvail, M.; Bisson, J.; Guillaneux, D.; Pipelier, M.; et al. Complexation of lanthanides(III), Americium(III), and Uranium(VI) with bitopic N,O ligands: An experimental and theoretical study. Inorg. Chem. 2011, 50, 6557–6566. [Google Scholar] [CrossRef]
- Arnold, P.L.; Turner, Z.R.; Bellabarba, R.M.; Tooze, R.P. Carbon monoxide coupling and functionalisation at a simple uranium coordination complex. Chem. Sci. 2011, 2, 77–79. [Google Scholar] [CrossRef]
- Gardner, B.M.; Stewart, J.C.; Davis, A.L.; McMaster, J.; Lewis, W.; Blake, A.J.; Liddle, S.T. Homologation and functionalization of carbonmonoxide by a recyclable uranium complex. Proc. Natl. Acad. Sci. USA 2012, 109, 9265–9270. [Google Scholar]
- Lapka, J.L.; Paulenova, A.; Zakharov, L.N.; Alyapyshev, M.Y.; Babain, V.A. Coordination of uranium(VI) with N,N'-diethyl-N,N'-ditolyldipicolinamide. IOP Conf. Ser.: Mater. Sci. Eng. 2010, 9. [Google Scholar] [CrossRef]
- Carretta, S.; Amoretti, G.; Santini, P.; Mougel, V.; Mazzanti, M.; Gambarelli, S.; Colineau, E.; Caciuffo, R. Magnetic properties and chiral states of a trimetallic uranium complex. J. Phys. Condens. Matter 2013. [Google Scholar] [CrossRef]
- Alghool, S.; Abd El-Halim, H.F.; Abd El-sadek, M.S.; Yahia, I.S.; Wahab, L.A. Synthesis, thermal characterization, and antimicrobial activityof lanthanum, cerium, and thorium complexes of amino acidSchiff base ligand. J. Therm. Anal. Calorim. 2013, 112, 671–681. [Google Scholar] [CrossRef]
- Agnihotri, S.; Arora, K. Physicochemical Investigations of Th(IV) and UO2(VI) complexes with new schiff basesalong with their toxic effects. Chem. Sci. Trans. 2010, 7, 1045–1054. [Google Scholar]
- Yadawe, M.S.; Patil, S.A. Synthesis and spectral characterization of Thorium(IV) complexes with 3-substituted-4-amino-5-mercapto-1,2,4-triazole schiff bases. Glob. J. Sci. Front. Res Chem. 2012, 12, 41–44. [Google Scholar]
- Yaul, A.R.; Dhande, V.V.; Aswar, A. Synthesis, characterization, electrical and biological studies of VO(IV), MoO2(VI), WO2(VI), Th(IV) and UO2(VI) complexes with hydrazine ligand. Rev. Roum. Chim. 2010, 55, 537–542. [Google Scholar]
- ChandraSekhar Reddy, G.; Devanna, N.; Chandrasekhar, K.B. Sensitive spectrophotometric determination of Thorium(IV) using diacetyl monoxime isonicotinoyl hydrazine (DMIH). Int. J. Appl. Biol. Pharm. Technol. 2011, 2, 133–139. [Google Scholar]
- Patil, S.S.; Thakur, G.A.; Shaikh, M.M. Synthesis, characterization and antibacterial studies on some mixed ligand thorium complexes with N- and O-donor ligands. Acta Poloniae. Pharm. Drug Res. 2011, 68, 881–887. [Google Scholar]
- Kumar Verma, P. Synthesis, characterization and biocidal studies of rare earth metalcomplexes of diazepam. J. Appl. Chem. 2013, 2, 385–390. [Google Scholar]
- Law, G.L.; Andolina, C.M.; Xu, J.; Luu, V.; Rutkowski, P.J.; Muller, G.; Shuh, D.K.; Gibson, J.K.; Raymond, K.N. Circularly polarized luminescence of curium: A new characterization of the 5f actinide complexes. J. Am. Chem. Soc. 2012, 134, 15545–15549. [Google Scholar] [CrossRef]
- Andrea, T.; Barnea, E.; Botoshansky, M.; Kapon, M.; Genizi, E.; Goldschmidt, Z.; Eisen, M.S. Synthesis and characterization of new thorium and uraniumphenolate complexes. J. Organomet. Chem. 2007, 692, 1074–1080. [Google Scholar] [CrossRef]
- Thuéry, P. Molecular and polymeric uranyl and thorium complexeswith sulfonate-containing ligands. Eur. J. Inorg. Chem. 2014, 2014, 58–68. [Google Scholar] [CrossRef]
- Ramírez, F.M.; Varbanov, S.; Bünzli, J.-C.G.; Scopelliti, R. 5f-Element complexes with a p-tert-butylcalix[4]arene bearing phosphinoyl pendant arms: Separation from rare earths and structural studies. Inorg. Chim. Acta 2011, 378, 163–168. [Google Scholar] [CrossRef]
- Zhang, Y.; Bhadbhade, M.; Gao, J.; Karatchevtseva, I.; Price, J.R.; Lumpkin, G.R. Synthesis and crystal structures of uranium (VI) and thorium (IV)complexes with picolinamide and malonamide. Inorg. Chem. Commun. 2013, 37, 219–221. [Google Scholar] [CrossRef]
- Kiegiel, K.; Steczek, L.; Zakrzewska-Trznadel, G. Application of calixarenes as macrocyclic ligands for Uranium(VI): A review. J. Chem. 2013, 2013, 762819. [Google Scholar]
- Wu, L.; Fang, Y.Y.; Jia, Y.M.; Yang, Y.Y.; Liao, J.L.; Liu, N.; Yang, X.S.; Feng, W.; Ming, J.L.; Yuan, L.H. Pillar[5]arene-based diglycolamides for highly efficient separation of americium(III) and europium(III). Dalton Trans. 2014, 43, 3835–3838. [Google Scholar] [CrossRef]
- Tran, Q.H.; Le, V.T.; Nguyen, N.T. Spectroscopy method for determination of Thorium with Azocalix[4]arene. In Proceedings of the 2010 International Conference on Biology Environment and Chemistry IPCBEE, Hong Kong, China, 28–30 December 2010; Yang, Dan, Ed.; IACSIT Press: Singapore, 2011. [Google Scholar]
- Crawford, M.-J.; Mayer, P. Synthesis, structural and computational Investigations of UO2I42−: A Structurally characterized U(VI)-I anion. Inorg. Chem. 2005, 44, 5547–5549. [Google Scholar] [CrossRef]
- Okude, G.; Fujii, T.; Uehara, A.; Sekimoto, S.; Minato, K.; Yamana, H. Unique extraction behavior of americium and curium in a system of TBP and calcium nitrate hydrate melt. IOP Conf. Ser. Mater. Sci. Eng. 2010. [Google Scholar] [CrossRef]
- Fujii, T.; Okude, G.; Uehara, A.; Yamana, H. Study on coordination characteristics of neptunium anduranium ions in calcium nitrate hydrate melt by Ramanspectrometry and UV/Vis/NIR spectrometry. IOP Conf. Ser. Mater. Sci. Eng. 2010. [Google Scholar] [CrossRef]
- Sarsfield, M.J.; Sims, J.E.; Taylor, R.J. Extraction of neptunium (IV) ions into 30% tri-butyl phosphate from nitric acid. Solvent Extr. Ion. Exch. 2009, 27, 638–662. [Google Scholar] [CrossRef]
- Borts, B.V.; Skoromnaya, S.F.; Tkachenko, V.I. Formation of associates from nanosized complexes of uranium in the water – supercritical carbon dioxide system. J. Kharkiv. Nat. Univ. 2012, 355, 128–134. [Google Scholar]
- Vlaisavljevich, B.; Diaconescu, P.L.; Lukens, W.L., Jr.; Gagliardi, L.; Cummins, C.C. Investigations of the electronic structure of arene-bridgeddiuranium complexes. Organometallics 2013, 32, 1341–1352. [Google Scholar] [CrossRef]
- Webster, C.L.; Ziller, J.W.; Evans, W.J. Solvent-free organometallic reactivity: Synthesis of hydride and carboxylate complexes of uranium and yttrium from gas/solid reactions. Organometallics 2014, 33, 433–436. [Google Scholar] [CrossRef]
- Ren, W.; Lukens, W.W.; Zi, G.; Maron, L.; Walter, M.D. Is the bipyridyl thorium metallocene a low-valentthorium complex? A combined experimental and computational study. Chem. Sci. 2013, 4, 1168–1174. [Google Scholar] [CrossRef]
- Arnold, P.L.; Farnaby, J.H.; White, R.C.; Kaltsoyannis, N.; Gardiner, M.G.; Love, J.B. Switchable π-coordination and C–H metallation insmall-cavity macrocyclic uranium and thorium complexes. Chem. Sci. 2014, 5, 756–765. [Google Scholar] [CrossRef]
- Thomson, R.K.; Graves, C.R.; Scott, B.L.; Kiplinger, J.L. Organometallic Uranium(IV) fluoride complexes: Preparation usingprotonolysis chemistry and reactivity with trimethylsilyl reagent. Dalton Trans. 2010, 39, 6826–6831. [Google Scholar] [CrossRef]
- Bisson, J.; Dehaudt, J.; Charbonnel, M.-C.; Guillaneux, D.; Miguirditchian, M.; Marie, C.; Boubals, N.; Dutech, G.; Pipelier, M.; Blot, V.; et al. 1,10-Phenantroline and non-symmetrical 1,3,5-triazine dipicolinamide-based ligands for group actinide extraction. Chem. Eur. J. 2014, 20, 7819–7829. [Google Scholar] [CrossRef]
- Benny, P.D.; Moore, A.L. Recent Advances in the Probe Development of Technetium-99m Molecular Imaging Agents. Curr. Org. Synth. 2011, 8, 566–583. [Google Scholar] [CrossRef]
- Mei, L.; Chu, T. Technetium-99m Radiopharmaceutical Chemistry. Prog. Chem. 2011, 23, 1493–1500. [Google Scholar]
- Liu, S.; Chakraborty, S. Tc-99m-centered one-pot synthesis for preparation of Tc-99m radiotracers. Dalton Trans. 2011, 40, 6077–6086. [Google Scholar] [CrossRef]
- Jurgens, S.; Herrmann, W.A.; Künh, F.E. Rhenium and technetium based radiopharmaceuticals: Developments and recent advances. J. Organomet. Chem. 2014, 751, 83–89. [Google Scholar] [CrossRef]
- Alberto, R. The particular role of radiopharmacy within bioorganometallic chemistry. J. Organomet. Chem. 2007, 692, 1179–1186. [Google Scholar] [CrossRef]
- Bowen, M.L.; Orvig, C. 99m-Technetium carbohydrate conjugates as potential agents in molecular imaging. Chem. Commun. 2008, 41, 5077–5091. [Google Scholar] [CrossRef]
- Mindt, T.; Struthers, H.; Garcia-Garoya, E.; Desbouis, D.; Schibli, R. Strategies for the development of novel tumor targeting technetium and rhenium radiopharmaceuticals. Chimia 2007, 6, 725–731. [Google Scholar]
- Morais, M.; Paulo, A.; Gano, L.; Santos, I.; Correia, J.D.G. Target-specific Tc(CO)3− complexes for in vivo imaging. J. Organomet. Chem. 2013, 744, 125–139. [Google Scholar] [CrossRef]
- Liu, S. Ether and crown ether-containing cationic Tc-99m complexes useful as radiopharmaceuticals for heart imaging. Dalton Trans. 2007, 12, 1183–1193. [Google Scholar] [CrossRef]
- Sergienko, V.S.; Churakov, A.V. Specific features of technetium mononuclear octahedral oxo complexes: A review. Crystall. Rep. 2013, 58, 1–25. [Google Scholar] [CrossRef]
- Triantis, C.; Tsotakos, T.; Tsoukalas, C.; Sagnou, M.; Raptopoulou, C.; Terzis, A.; Psycharis, V.; Pelecanou, M.; Pirmettis, I.; Papadopoulos, M. Synthesis and characterization of fac-[M(CO)3(P)(OO)] and cis-trans-[M(CO)2(P)(2)(OO)] complexes (M=Re, Tc-99m) with acetylacetone and curcumin as OO donor bidentate ligands. Inorg. Chem. 2013, 52, 12995–13003. [Google Scholar] [CrossRef]
- Erfani, M.; Doroudi, A.; Hadisi, L.; Andishmand, A.; Mirshojaei, S.F.; Shafiei, M. Tc-99m-tricarbonyl labeling of ofloxacin and its biological evaluation in Staphylococcus aureus as an infection imaging agent. J. Label. Compd. Rad. 2013, 56, 627–631. [Google Scholar] [CrossRef]
- Qaiser, S.S.; Khan, A.U.; Khan, M.R. Synthesis, biodistribution and evaluation of Tc-99m-sitafloxacin kit: A novel infection imaging agent. J. Radioanal. Nucl. Chem. 2010, 284, 189–193. [Google Scholar] [CrossRef]
- Motaleb, M.A. Preparation, quality control and stability of Tc-99m-sparafloxacin complex, a novel agent for detecting sites of infection. J. Label. Compd. Rad. 2009, 52, 415–418. [Google Scholar] [CrossRef]
- Ibrahim, I.T.; Motaleb, M.A.; Attalah, K.M. Synthesis and biological distribution of Tc-99m-norfloxacin complex, a novel agent for detecting sites of infection. J. Radioanal. Nucl. Chem. 2010, 285, 431–436. [Google Scholar] [CrossRef]
- Shah, S.Q.; Khan, A.U.; Khan, M.R. Radiosynthesis and biological evolution of Tc-99m(CO)(3)-sitafloxacin dithiocarbamate complex: A promising Staphylococcus aureus infection radiotracer. J. Radioanal. Nucl. Chem. 2011, 288, 131–136. [Google Scholar] [CrossRef]
- Shah, S.Q.; Khan, A.U.; Khan, M.R. Radiosynthesis and biodistribution of (TcN)-Tc-99m-Garenoxacin dithiocarbamate complex a potential infection imaging agent. J. Radioanal. Nucl. Chem. 2011, 288, 56–94. [Google Scholar]
- Shah, S.Q.; Khan, M.R. Radiocomplexation and biological characterization of the (TcN)-Tc-99m-trovafloxacin dithiocarbamate: A novel methicillin-resistant Staphylococcus aureus infection imaging agent. J. Radioanal. Nucl. Chem. 2011, 288, 215–220. [Google Scholar] [CrossRef]
- Shah, S.Q.; Khan, A.U.; Khan, M.R. Radiosynthesis and biological evaluation of (TcN)-Tc-99m-sitafloxacin dithiocarbamate as a potential radiotracer for Staphylococcus aureus infection. J. Radioanal. Nucl. Chem. 2011, 287, 827–832. [Google Scholar] [CrossRef]
- Kyprianidou, P.; Tsoukalas, C.; Chiotellis, A.; Pagagiannopoulou, D.; Raptopoulou, C.P.; Terzis, A.; Pelecanou, M.; Papadopoulos, M.; Pirmettis, I. First example of well-characterized Re and Tc-99m tricarbonyl complexes of ciprofloxacin and norfloxacin in the development of infection-specific imaging agents. Inorg. Chim. Acta 2011, 370, 236–242. [Google Scholar] [CrossRef]
- Ïlem-Özdemir, D.; Asikoglu, M.; Ozkilic, H.; Yilmaz, F.; Hosgor-Limoncu, M.; Ayhan, S. Tc-99m-doxycycline hyclate: A new radiolabeled antibiotic for bacterial infection imaging. J. Labelled. Compd. Rad. 2014, 57, 36–41. [Google Scholar] [CrossRef]
- Tooyama, Y.; Braband, H.; Spingler, B.; Abram, U.; Alberto, R. High-valent technetium complexes with the [(TcO3)-Tc-99]+ core from in situ prepared mixed anhydrides of [(TcO4)-Tc-99]− and their reactivities. Inorg. Chem. 2008, 47, 257–264. [Google Scholar] [CrossRef]
- Gottschaldt, M.; Koth, D.; Müller, D.; Klette, I.; Rau, S.; Görfs, H.; Schäfer, B.; Baum, R.P.; Yano, S. Synthesis and structure of novel sugar-substituted bipyridine complexes of rhenium and 99m-technetium. Chem. Eur. J. 2007, 13, 10273–10280. [Google Scholar] [CrossRef]
- Bourkoula, A.; Paravatou-Petsotas, M.; Papadopoulos, A.; Santos, I.; Pietszch, H.J.; Livaniou, E.; Pelecanou, M.; Papadopoulos, M.; Pirmettis, I. Synthesis and characterization of rhenium and technetium-99m tricarbonyl complexes bearing the 4-[3-bromophenyl]quinazoline moiety as a biomarker for EGFR-TK imaging. Eur. J. Med. Chem. 2009, 44, 4021–4027. [Google Scholar] [CrossRef]
- Ellis, B.L.; Gorshkov, N.I.; Lumpov, A.A.; Miroslavov, A.E.; Yalfimov, A.N.; Gurzhiy, V.V.; Suglobov, D.N.; Braddock, R.; Adams, J.C.; Smith, A.M.; et al. Synthesis, characterization and pre-clinical evaluation of Tc-99m-tricarbonyl complexes as potential myocardial perfusion imaging agents. J. Labelled. Compd. Rad. 2013, 56, 700–707. [Google Scholar] [CrossRef]
- De, K.; Chandra, S.; Sarkar, B.; Ganguly, S.; Misra, M. Synthesis and biological evaluation of Tc-99m-DHPM complex: A potential new radiopharmaceutical for lung imaging studies. J. Radioanal. Nucl. Chem. 2010, 283, 621–628. [Google Scholar] [CrossRef]
- Thipyapong, K.; Uehara, T.; Tooyama, Y.; Braband, H.; Alberto, R.; Arano, Y. Insight into technetium amidoxime complex: Oxo technetium(v) complex of n-substituted benzamidoxime as new basic structure for molecular imaging. Inorg. Chem. 2011, 50, 992–998. [Google Scholar] [CrossRef]
- Jia, J.H.; Cui, M.C.; Dai, J.; Wang, X.D.; Ding, Y.S.; Jia, H.; Liu, B. Tc-99m-labeled benzothiazole and stilbene derivatives as imaging agents for A beta plaques in cerebral amyloid angiopathy. MedChemComm 2014, 5, 153–158. [Google Scholar] [CrossRef]
- Banerjee, S.R.; Foss, C.A.; Castanares, M.; Mease, R.C.; Byun, Y.; Fox, J.J.; Hilton, J.; Lupold, S.E.; Kozikowski, A.P.; Pomper, M.G. Synthesis and evaluation of technetium-99m-and rhenium-labeled inhibitors of the prostate-specific membrane antigen (PSMA). J. Med. Chem. 2008, 51, 4504–4517. [Google Scholar] [CrossRef]
- Alves, S.; Correia, J.D.G.; Gano, L.; Rold, T.L.; Prasanphanich, A.; Haubner, R.; Rupprich, M.; Alberto, R.; Decristoforo, C.; Santos, I.; et al. In vitro and in vivo evaluation of a novel Tc-99m(CO)3-pyrazolyl conjugate of cyclo-(Arg-Gly-Asp-D-Tyr-Lys). Bioconjugate Chem. 2007, 18, 530–537. [Google Scholar] [CrossRef]
- Raposinho, P.D.; Xavier, C.; Correia, J.D.G.; Falcao, S.; Gomes, P.; Santos, I. Melanoma targeting with alpha-melanocyte stimulating hormone analogs labeled with fac-[Tc-99m(CO)3]+: Effect of cyclization on tumor-seeking properties. J. Biol. Inorg. Chem. 2008, 13, 449–459. [Google Scholar] [CrossRef]
- Maresca, K.P.; Marquis, J.C.; Hillier, S.M.; Lu, G.L.; Femia, F.J.; Zimmerman, C.N.; Eckelman, W.C.; Joyal, J.L.; Babich, J.W. Novel polar single amino acid chelates for technetium-99m tricarbonyl-based radiopharmaceuticals with enhanced renal clearance: Application to octreotide. Bioconjugate Chem. 2010, 21, 1032–1042. [Google Scholar] [CrossRef]
- Xavier, C.; Giannini, C.; Dall’Angelo, S.; Gano, L.; Maiorana, S.; Alberto, R.; Santos, I. Synthesis, characterization, and evaluation of a novel (99)mTc(CO)3 pyrazolyl conjugate of a peptide nucleic acid sequence. J. Biol. Inorg. Chem. 2008, 13, 1335–1344. [Google Scholar] [CrossRef]
- Palma, E.; Oliveira, B.L.; Correia, J.D.G.; Gano, L.; Maria, L.; Santos, I.C.; Santos, I. A new bisphosphonate-containing Tc-99m(I) tricarbonyl complex potentially useful as bone-seeking agent: Synthesis and biological evaluation. J. Biol. Inorg. Chem. 2007, 12, 667–679. [Google Scholar] [CrossRef]
- Oliveira, B.L.; Correia, J.D.G.; Raposinho, P.D.; Santos, I.; Ferreira, A.; Cordeiro, C.; Freire, A.P. Re and Tc-99m organometallic complexes containing pendant L-arginine derivatives as potential probes of inducible nitric oxide synthase. Dalton Trans. 2009, 1, 152–162. [Google Scholar]
- Femia, F.J.; Maresca, K.P.; Hillier, S.M.; Zimmerman, C.N.; Joyal, J.L.; Barret, J.A.; Aras, O.; Dilsizian, V.; Eckelman, W.C.; Babich, J.W. Synthesis and evaluation of a series of Tc-99m(CO)3+ lisinopril complexes for in vivo imaging of angiotensin-converting enzyme expression. J. Nucl. Med. 2008, 49, 970–977. [Google Scholar] [CrossRef]
- Sundararajan, C.; Besanger, T.R.; Labiris, R.; Guenther, K.J.; Stack, T.; Garafalo, R.; Kawabata, T.T.; Finco-Kent, D.; Zubieta, J.; Babich, J.W.; et al. Synthesis and characterization of rhenium and technetium-99m labeled insulin. J. Med. Chem. 2010, 53, 2612–2621. [Google Scholar] [CrossRef]
- Maresca, K.P.; Kronauge, J.F.; Zubieta, J.; Babich, J.W. Novel ether-containing ligands as potential (99m)technetium(I) heart agents. Inorg. Chem. Commun. 2007, 10, 1409–1412. [Google Scholar] [CrossRef]
- Lu, G.L.; Maresca, K.P.; Hillier, S.M.; Zimmerman, C.N.; Eckelman, W.C.; Joyal, J.L.; Babich, J.W. Synthesis and SAR of Tc-99m/Re-labeled small molecule prostate specific membrane antigen inhibitors with novel polar chelates. Bioorg. Med. Chem. Lett. 2013, 23, 1557–1563. [Google Scholar] [CrossRef]
- Esteves, T.; Marques, F.; Paulo, A.; Rino, J.; Nanda, P.; Smith, C.J.; Santos, I. Nuclear targeting with cell-specific multifunctional tricarbonyl M(I) (M is Re, Tc-99m) complexes: Synthesis, characterization, and cell studies. J. Biol. Inorg. Chem. 2011, 16, 1141–1153. [Google Scholar] [CrossRef]
- Oliveira, B.L.; Raposinho, P.D.; Mendes, F.; Santos, I.C.; Santos, I.; Ferreira, A.; Cordeiro, C.; Freire, A.P.; Correia, J.D.G. Targeting nitric oxide synthase with Tc-99m/Re-tricarbonyl complexes containing pendant guanidino or isothiourea moieties. J. Organomet. Chem. 2011, 696, 1057–1065. [Google Scholar] [CrossRef]
- Xiong, C.Y.; Lu, W.; Zhang, R.; Tian, M.; Tong, W.; Gelovani, J.; Li, C. Cell-permeable [Tc-99m(CO)3]-labeled fluorogenic caspase 3 substrate for dual-modality detection of apoptosis. Chem. Eur. J. 2009, 15, 8979–8984. [Google Scholar] [CrossRef]
- Palma, E.; Correia, J.D.G.; Oliveira, B.L.; Gano, L.; Santos, I.C.; Santos, I. Tc-99m(CO)3-labeled pamidronate and alendronate for bone imaging. Dalton Trans. 2011, 40, 2787–2796. [Google Scholar] [CrossRef]
- Huang, L.; Zhu, H.; Xu, X.; Zhang, C.; Shen, Y.-M. Synthesis and characterization of organometallic rhenium(I) and technetium(I) bile acid complexes. J. Organomet. Chem. 2009, 694, 3247–3253. [Google Scholar] [CrossRef]
- Lim, N.C.; Ewart, C.B.; Bowen, M.L.; Ferreira, C.L.; Barta, C.A.; Adam, M.J.; Orvig, C. Pyridine-tert-nitrogen-phenol ligands: N,N,O-type tripodal chelates for the [M(CO)3]+ core (M = Re, Tc). Inorg. Chem. 2008, 47, 1337–1345. [Google Scholar] [CrossRef]
- Bowen, M.L.; Lim, N.C.; Ewart, C.B.; Misri, R.; Ferreira, C.L.; Hafeli, U.; Adam, M.J.; Orvig, C. Glucosamine conjugates bearing N,N,O-donors: Potential imaging agents utilizing the [M(CO)3]+ core (M = Re, Tc). Dalton Trans. 2009, 42, 9216–9227. [Google Scholar]
- Bowen, M.L.; Chen, Z.F.; Roos, A.M.; Misri, R.; Ferreira, C.L.; Häfeli, U.; Adam, M.J.; Orvig, C. Long-chain rhenium and technetium glucosamine conjugates. Dalton Trans. 2009, 42, 9228–9236. [Google Scholar]
- Giglio, J.; Patsis, G.; Pirmettis, I.; Papadopoulos, M.; Raptopoulou, C.; Pelecanou, M.; Leon, E.; Gonzalez, M.; Cerecetto, H.; Rey, A. Preparation and characterization of technetium and rhenium tricarbonyl complexes bearing the 4-nitrobenzyl moiety as potential bioreductive diagnostic radiopharmaceuticals. In vitro and in vivo studies. Eur. J. Med. Chem. 2008, 43, 741–748. [Google Scholar] [CrossRef]
- Lee, B.C.; Kim, D.H.; Lee, J.H.; Sung, H.J.; Choe, Y.S.; Chi, D.Y.; Lee, K.H.; Choi, Y.; Kim, B.-T. Tc-99m(CO)3–15-[N-(Acetyloxy)-2-picolylamino]pentadecanoic acid: A potential radiotracer for evaluation of fatty acid metabolism. Bioconjugate Chem. 2007, 18, 1332–1337. [Google Scholar] [CrossRef]
- Neto, C.; Oliveira, M.C.; Gano, L.; Marques, F.; Thiemann, T.; Santos, I. Novel estradiol based metal complexes of Tc-99m. J. Inorg. Biochem. 2012, 111, 1–9. [Google Scholar] [CrossRef]
- Moura, C.; Mendes, F.; Gano, L.; Santos, I.; Paulo, A. Mono- and dicationic Re(I)/Tc-99m(I) tricarbonyl complexes for the targeting of energized mitocondria. J. Inorg. Biochem. 2013, 123, 34–45. [Google Scholar] [CrossRef]
- Fernandes, C.; Santos, I.C.; Santos, I.; Pietzsch, H.J.; Kunstler, J.U.; Kraus, W.; Rey, A.; Margaritis, N.; Bourkoula, A.; Chiotellis, A.; et al. Rhenium and technetium complexes bearing quinazoline derivatives: Progress towards a (99m)Tc biomarker for EGFR-TK imaging. Dalton Trans. 2008, 24, 3215–3225. [Google Scholar]
- Mallia, M.B.; Subramanian, S.; Mathur, A.; Sarma, H.D.; Venkatesh, M.; Banerjee, S. Comparing hypoxia-targeting of (99)mTc(CO)3-labeled 2-nitro 4-nitroimidazole. J. Label. Compd. Rad. 2008, 51, 308–313. [Google Scholar] [CrossRef]
- Mallia, M.B.; Subramaniana, S.; Mathur, A.; Sarma, H.D.; Venkatesh, M.; Banerjee, S. Synthesis and evaluation of 2-, 4-, 5-substituted nitroimidazole-iminodiacetic acid-Tc-99m(CO)3 complexes to target hypoxic tumors. J. Label. Compd. Rad. 2010, 53, 535–542. [Google Scholar] [CrossRef]
- Mallia, M.B.; Subramanian, S.; Mathur, A.; Sarma, H.D.; Venkatesh, M.; Banerjee, S. On the isolation and evaluation of a novel unsubstituted 5-nitroimidazole derivative as an agent to target tumor hypoxia. Bioorg. Med. Chem. Lett. 2008, 18, 5233–5237. [Google Scholar] [CrossRef]
- Lee, B.C.; Sung, H.J.; Kim, J.S.; Jung, K.H.; Choe, Y.S.; Lee, K.H.; Chi, D.Y. Synthesis of Tc-99m labeled glucosamino-Asp-cyclic(Arg-Gly-Asp-D-Phe-Lys) as a potential angiogenesis imaging agent. Bioorg. Med. Chem. Lett. 2007, 15, 7755–7764. [Google Scholar] [CrossRef]
- Nguyen, H.H.; Deflon, V.M.; Abram, U. Mixed-ligand complexes of technetium and rhenium with tridentate benzamidines and bidentate benzoylthioureas. Eur. J. Inorg. Chem. 2009, 21, 3179–3187. [Google Scholar] [CrossRef]
- Papagiannopoulou, D.; Tsoukalas, C.; Makris, G.; Raptopoulou, C.P.; Psycharis, V.; Leonidiadis, L.; Gdniazdowska, E.; Kozminski, P.; Fuks, L.; Pelecanou, M.; et al. Histidine derivatives as tridentate chelators for the fac-[M-I(CO)3] (Re, Tc-99m, Re-188) core: Synthesis, structural characterization, radiochemistry and stability. Inorg. Chim. Acta 2011, 378, 333–337. [Google Scholar] [CrossRef]
- Papagiannopoulou, D.; Makris, G.; Tsoukalas, C.; Raptopoulou, C.P.; Terzis, A.; Pelecanou, M.; Pirmettis, I.; Papadopoulos, M.S. Rhenium(I) and technetium(I) fac-M(NSO)(CO)3 (M = Re, Tc-99m) tricarbonyl complexes, with a tridentate NSO bifunctional agent: Synthesis, structural characterization, and radiochemistry. Polyhedron 2010, 29, 876–880. [Google Scholar] [CrossRef]
- Desbouis, D.; Struthers, H.; Spiwok, V.; Küster, T.; Schibli, R. Synthesis, in vitro, and in silico evaluation of organometallic technetium and rhenium thymidine complexes with retained substrate activity toward human thymidine kinase type 1. J. Med. Chem. 2008, 51, 6689–6698. [Google Scholar] [CrossRef]
- Sun, X.; Chu, T.W.; Wang, X.Y. Preliminary studies of Tc-99m-BnAO and its analogues: Synthesis, radiolabeling and in vitro cell uptake. Nucl. Med. Biol. 2010, 37, 117–123. [Google Scholar] [CrossRef]
- Abiraj, K.; Mansi, R.; Tamma, M.L.; Forrer, F.; Cescato, R.; Reubi, J.C.; Akyel, K.G.; Maecke, H.R. Tetraamine-derived bifunctional chelators for technetium-99m labelling: Synthesis, Bioconjugation and evaluation as targeted SPECT imaging probes for GRP-receptor-positive tumours. Chem. Eur. J. 2010, 16, 2115–2124. [Google Scholar] [CrossRef]
- Joyard, Y.; Le Joncur, V.; Castel, H.; Diouf, C.B.; Bischoff, L.; Papamicaël, C.; Levacher, V.; Vera, P.; Bohn, P. Synthesis and biological evaluation of a novel Tc-99m labeled 2-nitroimidazole derivative as a potential agent for imaging tumor hipoxia. Bioorg. Med. Chem. Lett. 2013, 23, 3074–3078. [Google Scholar]
- Pathuri, G.; Hedrick, A.F.; Disch, B.C.; Doan, J.T.; Ihnat, M.A.; Awasthi, V.; Gali, H. Synthesis and evaluation of novel Tc-99m labeled probestin conjugates for imaging APN/CD13 expression in vivo. Bioconjugate Chem. 2012, 23, 115–124. [Google Scholar] [CrossRef]
- Chen, X.J.; Yu, P.R.; Zhang, L.F.; Liu, B. Synthesis and biological evaluation of Tc-99m, Re-monoamine-monoamide conjugated to 2-(4-aminophenyl) benzothiazole as potential probes for beta-amyloid plaques in the brain. Bioorg. Med. Chem. Lett. 2008, 18, 1442–1445. [Google Scholar] [CrossRef]
- Cheng, Y.; Ono, M.; Kimura, H.; Ueda, M.; Saji, H. Technetium-99m Labeled Pyridyl Benzofuran Derivatives as Single Photon Emission Computed Tomography Imaging Probes for beta-Amyloid Plaques in Alzheimer's Brains. J. Med. Chem. 2012, 55, 2279–2286. [Google Scholar] [CrossRef]
- Wang, X.; Cui, M.; Yu, P.; Li, Z.; Yang, Y.; Jia, H.; Liu, B. Synthesis and biological evaluation of novel technetium-99m labeled phenylbenzoxazole derivatives as potential imaging probes for beta-amyloid plaques in brain. Bioorg. Med. Chem. Lett. 2012, 22, 4327–4331. [Google Scholar] [CrossRef]
- Yang, Y.; Cui, M.; Jin, B.; Wang, X.; Li, Z.; Yu, P.; Jia, J.; Fu, H.; Jia, H.; Liu, B. Tc-99m-labeled dibenzylideneacetone derivatives as potential SPECT probes for in vivo imaging of beta-amyloid plaque. Eur. J. Med. Chem. 2013, 64, 90–98. [Google Scholar] [CrossRef]
- Cappelli, A.; Mancini, A.; Sudati, F.; Valenti, S.; Anzini, M.; Belloi, S.; Moresco, R.M.; Matarrese, M.; Vaghi, M.; Fabro, A.; et al. Synthesis and biological characterization of novel 2-quinolinecarboxamide ligands of the peripheral benzodiazepine receptors bearing technetium-99m or rhenium. Bioconjugate Chem. 2008, 19, 1143–1153. [Google Scholar] [CrossRef]
- Walther, M.; Jung, C.M.; Bergmann, R.; Pietzsch, J.; Rode, K.; Fahmy, K.; Mirtschink, P.; Stehr, S.; Heintz, A.; Wunderlich, G.; et al. Synthesis and biological evaluation of a new type of (99m)Technetium-labeled fatty acid for myocardial metabolism imaging. Bioconjugate Chem. 2007, 18, 216–230. [Google Scholar] [CrossRef]
- Mirschink, P.; Stehr, S.N.; Pietzsch, H.J.; Bergmann, R.; Pietzsch, J.; Wunderlich, G.; Heintz, A.C.; Kropp, J.; Spies, H.; Kraus, W.; Deussen, A.; et al. Modified "4+1" mixed ligand technetium-labeled fatty acids for myocardial imaging: Evaluation of myocardial uptake and biodistribution. Bioconjugate Chem. 2008, 19, 97–108. [Google Scholar] [CrossRef]
- Giglio, J.; Fernandez, S.; Pietzsch, H.J.; Dematteis, S.; Moreno, M.; Pacheco, J.P.; Cerecetto, H.; Rey, A. Synthesis, in vitro and in vivo characterization of novel Tc-99m-'4+1'-labeled 5-nitroimidazole derivatives as potential agents for imaging hypoxia. Nucl. Med. Biol. 2012, 39, 679–686. [Google Scholar] [CrossRef]
- Guo, H.; Xie, F.; Zhu, M.; Li, Y.; Yang, Z.; Wang, X.; Lu, J. The synthesis of pteroyl-lys conjugates and its application as Technetium-99m labeled radiotracer for folate receptor-positive tumor targeting. Bioorg. Med. Chem. Lett. 2011, 21, 2025–2029. [Google Scholar] [CrossRef]
- Bolzati, C.; Carta, D.; Gandin, V.; Marzano, C.; Morellato, N.; Salvarese, N.; Cantore, M.; Colabufo, N.A. Tc-99m(N)-DBODC(5), a potential radiolabeled probe for SPECT of multidrug resistance: In vitro study. J. Biol. Inorg. Chem. 2013, 18, 523–538. [Google Scholar] [CrossRef]
- Bolzati, C.; Cavazza-Ceccato, M.; Agostini, S.; Tokunaga, S.; Casara, D.; Bandoli, G. Subcellular distribution and metabolism studies of the potential myocardial imaging agent [99mTc(N)(DBODC)(PNP5)]+. J. Nucl. Med. 2008, 49, 1336–1344. [Google Scholar] [CrossRef]
- Cittanti, C.; Uccelli, L.; Pasquali, M.; Boschi, A.; Flammia, C.; Bagatin, E.; Casali, M.; Stabin, M.G.; Feggi, L.; Giganti, M.; et al. Whole-body biodistribution and radiation dosimetry of the new cardiac tracer Tc-99m-N-DBODC. J. Nucl. Med. 2008, 49, 1299–1304. [Google Scholar] [CrossRef]
- Liu, S.; He, Z.J.; Hsieh, W.-Y.; Kim, Y.-S. Impact of bidentate chelators on lipophilicity, stability, and biodistribution characteristics of cationic Tc-99m-nitrido complexes. Bioconjugate Chem. 2007, 18, 929–936. [Google Scholar] [CrossRef]
- Kong, D.J.; Lu, J.; Ye, S.Z.; Wang, X.B. Synthesis and biological evaluation of a novel asymmetrical Tc-99m-nitrido complex of metronidazole derivative. J. Label. Compd. Rad. 2007, 50, 1137–1142. [Google Scholar] [CrossRef]
- Cazzola, E.; Benini, E.; Pasquali, M.; Mirtschink, P.; Walther, M.; Pietzsch, H.J.; Uccelli, L.; Boschi, A.; Bolzati, C.; Duatti, A. Labeling of fatty acid ligands with the strong electrophilic metal fragment [Tc-99m(N)(PNP)]2+ (PNP = diphosphane ligand). Bioconjugate Chem. 2008, 19, 450–460. [Google Scholar] [CrossRef]
- He, H.; Lipowska, M.; Christoforou, A.M.; Marzilli, L.G.; Taylor, A.T. Initial evaluation of new (TC)-T-99m(CO)3 renal imaging agents having carboxyl-rich thioether ligands and chemical characterization of Re(CO)3 analogues. Nucl. Med. Biol. 2007, 34, 709–716. [Google Scholar] [CrossRef]
- Bolzati, C.; Cavazza-Ceccato, M.; Agostini, S.; Tisato, F.; Bandoli, G. Technetium and rhenium in five-coordinate symmetrical and dissymmetrical nitrido complexes with alkyl phosphino-thiol ligands. Synthesis and structural characterization. Inorg. Chem. 2008, 47, 11972–11983. [Google Scholar] [CrossRef]
- Zhang, J.; Wang, X.; Jin, C. Synthesis and biodistribution of the 99mTc(CO)3-DEDT complex as a potential new radiopharmaceutical for brain imaging. J. Radioanal. Nucl. Chem. 2007, 272, 91–94. [Google Scholar] [CrossRef]
- Hayes, T.R.; Kasten, B.B.; Barnes, C.L.; Benny, P.D. Rhenium and technetium bi- and tricarbonyl complexes in a new strategy for biomolecule incorporation using click chemistry. Dalton Trans. 2014, 43, 6998–7001. [Google Scholar] [CrossRef]
- Brans, L.; García-Garayoa, E.; Schweinsberg, C.; Maes, V.; Struthers, H.; Schibli, R.; Tourwé, D. Synthesis and evaluation of bombesin analogues conjugataed to two different triazolyl-derived chelators for 99mTc labeling. Chem. Med. Chem. 2010, 5, 1717–1725. [Google Scholar] [CrossRef]
- Mindt, T.L.; Struthers, H.; Spingler, B.; Brans, L.; Tourwé, D.; García-Garayoa, E.; Schibli, R. Molecular assembly of multifunctional 99mTc radiopharmaceuticals using “clickable” amino acid derivatives. Chem. Med. Chem. 2010, 5, 2026–2038. [Google Scholar] [CrossRef]
- Seridi, A.; Wolff, M.; Boulay, A.; Saffon, N.; Coulais, Y.; Picard, C.; Machura, B.; Benoist, E. Rhenium(I) and technetium(I) complexes of a novel pyridyltriazole-based ligand containing an arylpiperazine pharmacophore: Synthesis, crystal structures, computational studies and radiochemistry. Inorg. Chem. Commun. 2011, 14, 238–242. [Google Scholar] [CrossRef]
- Guizani, S.; Saied, N.M.; Picard, C.; Benoist, E.; Saidi, M. Synthesis and preliminary biological evaluation of the first 99mTc(I)-specific semi-rigid tridentate ligand based on a click chemistry strategy. J. Label. Compd. Radiopharm. 2014, 57, 158–163. [Google Scholar] [CrossRef]
- Martinage, O.; le Clainche, L.; Czarny, B.; Dugave, C. Synthesis and biological evaluation of a new triazole-oxotechnetium complex. Org. Biomol. Chem. 2012, 10, 6484–6490. [Google Scholar] [CrossRef]
- Dallagi, T.; Saidi, M.; Vessieres, A.; Huché, M.; Jaouen, G.; Top, S. Synthesis and antiproliferative evaluation of ferrocenyl and cymantrenyl triaryl butene on breast cancer cells. Biodistribution study of the corresponding technetium-99m tamoxifen conjugate. J. Organomet. Chem. 2013, 734, 69–77. [Google Scholar] [CrossRef]
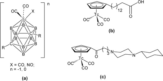
- Causey, P.W.; Besanger, T.R.; Valliant, J.F. Synthesis and screening of mono- and di-aryl technetium and rhenium metallocarboranes. A new class of probes for the estrogen receptor. J. Med. Chem. 2008, 51, 2833–2844. [Google Scholar] [CrossRef]
- Armstrong, A.F.; Lebert, J.M.; Brennan, J.D.; Valliant, J.F. Functionalized carborane complexes of the [M(CO)2(NO)]2+ core (M=Tc-99m, Re): A new class of Organometallic probes for correlated in vitro and in vivo imaging. Organometallics 2009, 28, 2986–2992. [Google Scholar] [CrossRef]
- Uehara, T.; Uemura, T.; Hirabayashi, S.; Adachi, S.; Odaka, K.; Akizawa, H.; Magata, Y.; Irie, T.; Arano, Y. Technetium-99m-labeled long chain fatty acid analogues metabolized by beta-oxidation in the heart. J. Med. Chem. 2007, 50, 543–549. [Google Scholar] [CrossRef]
- Miroslavov, A.E.; Lumpov, A.A.; Sidorenko, G.V.; Levitskaya, E.M.; Gorshkov, N.I.; Suglobov, D.N.; Alberto, R.; Braband, H.; Gurzhiy, V.V.; Krivovichev, S.V.; et al. Complexes of technetium(I) (Tc-99, Tc-99m) pentacarbonyl core with pi-acceptor ligands (tert-butyl isocyanide and triphenylphosphine): Crystal structures of [Tc(CO)5(PPh3)]OTf and [Tc(CO)5(CNC(CH3)3)]ClO4. J. Organomet. Chem. 2008, 693, 4–10. [Google Scholar] [CrossRef]
- Malek-Saied, N.; El Aissi, R.; Ladeira, S.; Benoist, E. Synthesis and biological evaluation of a novel Tc-99m-cyclopentadienyltricarbonyl technetiumcomplex as a new potential brain perfusion imaging agent. Appl. Organomet. Chem. 2011, 25, 680–686. [Google Scholar]
- Benz, M.; Spingler, B.; Alberto, R.; Braband, H. Toward organometallic tc-99m imaging Agents: Synthesis of water-stable Tc-99-Nhc complexes. J. Am. Chem. Soc. 2013, 135, 17566–17572. [Google Scholar] [CrossRef]
- Morales-Avila, E.; Ferro-Flores, G.; Ocampo-García, B.E.; Ramírez, F.M. Radiolabeled nanoparticles for molecular imaging. Mol. Imaging 2012. [Google Scholar] [CrossRef]
- Pereira, M.A.; Mosqueira, V.C.; Vilela, J.M.C.; Andrade, M.S.; Ramaldes, G.A.; Cardoso, V.N. PLA-PEG nanocapsules radiolabeled with (99m)Technetium-HMPAO: Release properties and physicochemical characterization by atomic force microscopy and photon correlation spectroscopy. Eur. J. Pharm. Sci. 2008, 33, 42–51. [Google Scholar] [CrossRef]
- Halder, K.K.; Mandal, B.; Debnath, M.C.; Bera, H.; Ghosh, L.K.; Gupta, B.K. Chloramphenicol-incorporated poly lactide-co-glycolide (PLGA) nanoparticles: Formulation, characterization, technetium-99m labeling and biodistribution studies. J. Drug Targ. 2008, 16, 311–320. [Google Scholar] [CrossRef]
- Yang, Y.; Neef, T.; Mittelholzer, C.; Garayoa, E.G.; Blaunstein, P.; Schibli, R.; Aebi, U.; Burkhard, P. The biodistribution of self-assembling protein nanoparticles shows they are promising vaccine platforms. J. Nanobiotech. 2013. [Google Scholar] [CrossRef]
- Park, K.H.; Song, H.C.; Na, K.; Born, H.S.; Lee, K.H.; Kim, S.; Kang, D.; Lee, D.H. Ionic strength-sensitive pullulan acetate nanoparticles (PAN) for intratumoral administration of radioisotope: Ionic strength-dependent aggregation behavior and (99m)Technetium retention property. Colloids Surf. B 2007, 59, 16–23. [Google Scholar] [CrossRef]
- Xu, X.P.; Zhang, Y.Q.; Wang, X.D.; Guo, X.X.; Zhang, X.Z.; Qi, Y.J.; Shen, Y.M. Radiosynthesis, biodistribution and micro-SPECT imaging study of dendrimer-avidin conjugate. Bioorg. Med. Chem. 2011, 19, 1643–1648. [Google Scholar] [CrossRef]
- Mondal, N.; Halder, K.K.; Kamila, M.M.; Debnath, M.C.; Pal, T.K.; Ghosal, S.K.; Sarkar, B.R.; Ganguly, S. Preparation, characterization, and biodistribution of letrozole loaded PLGA nanoparticles in Ehrlich Ascites tumor bearing mice. Int. J. Pharm. 2010, 397, 194–200. [Google Scholar] [CrossRef]
© 2014 by the authors. Licensee MDPI, Basel, Switzerland. This article is an open access article distributed under the terms and conditions of the Creative Commons Attribution license ( http://creativecommons.org/licenses/by/3.0/).
Share and Cite
Kharissova, O.V.; Méndez-Rojas, M.A.; Kharisov, B.I.; Méndez, U.O.; Martínez, P.E. Metal Complexes Containing Natural and Artificial Radioactive Elements and Their Applications. Molecules 2014, 19, 10755-10802. https://doi.org/10.3390/molecules190810755
Kharissova OV, Méndez-Rojas MA, Kharisov BI, Méndez UO, Martínez PE. Metal Complexes Containing Natural and Artificial Radioactive Elements and Their Applications. Molecules. 2014; 19(8):10755-10802. https://doi.org/10.3390/molecules190810755
Chicago/Turabian StyleKharissova, Oxana V., Miguel A. Méndez-Rojas, Boris I. Kharisov, Ubaldo Ortiz Méndez, and Perla Elizondo Martínez. 2014. "Metal Complexes Containing Natural and Artificial Radioactive Elements and Their Applications" Molecules 19, no. 8: 10755-10802. https://doi.org/10.3390/molecules190810755
APA StyleKharissova, O. V., Méndez-Rojas, M. A., Kharisov, B. I., Méndez, U. O., & Martínez, P. E. (2014). Metal Complexes Containing Natural and Artificial Radioactive Elements and Their Applications. Molecules, 19(8), 10755-10802. https://doi.org/10.3390/molecules190810755
