Stability of Sunscreens Containing CePO4: Proposal for a New Inorganic UV Filter
Abstract
:1. Introduction
2. Results and Discussion

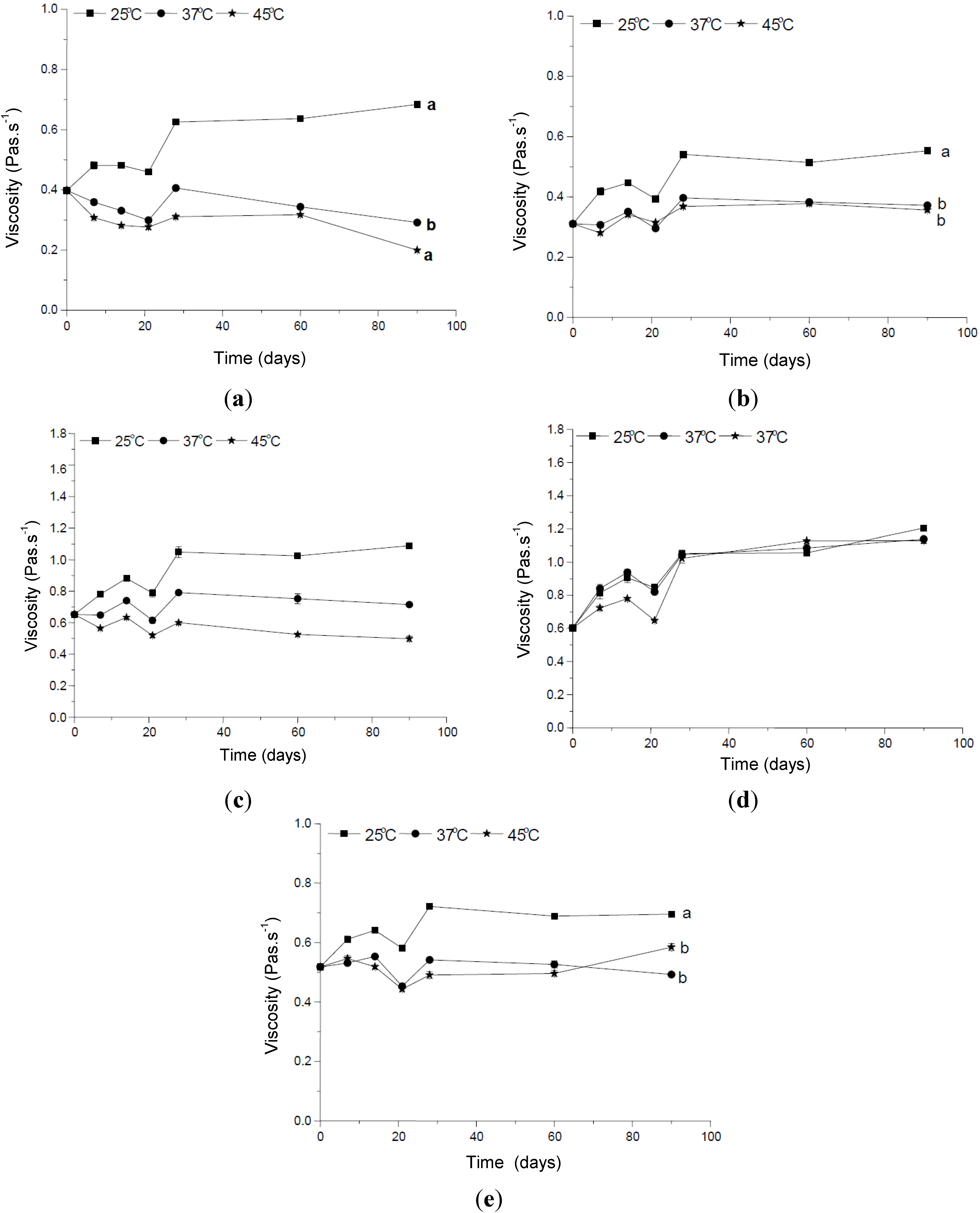
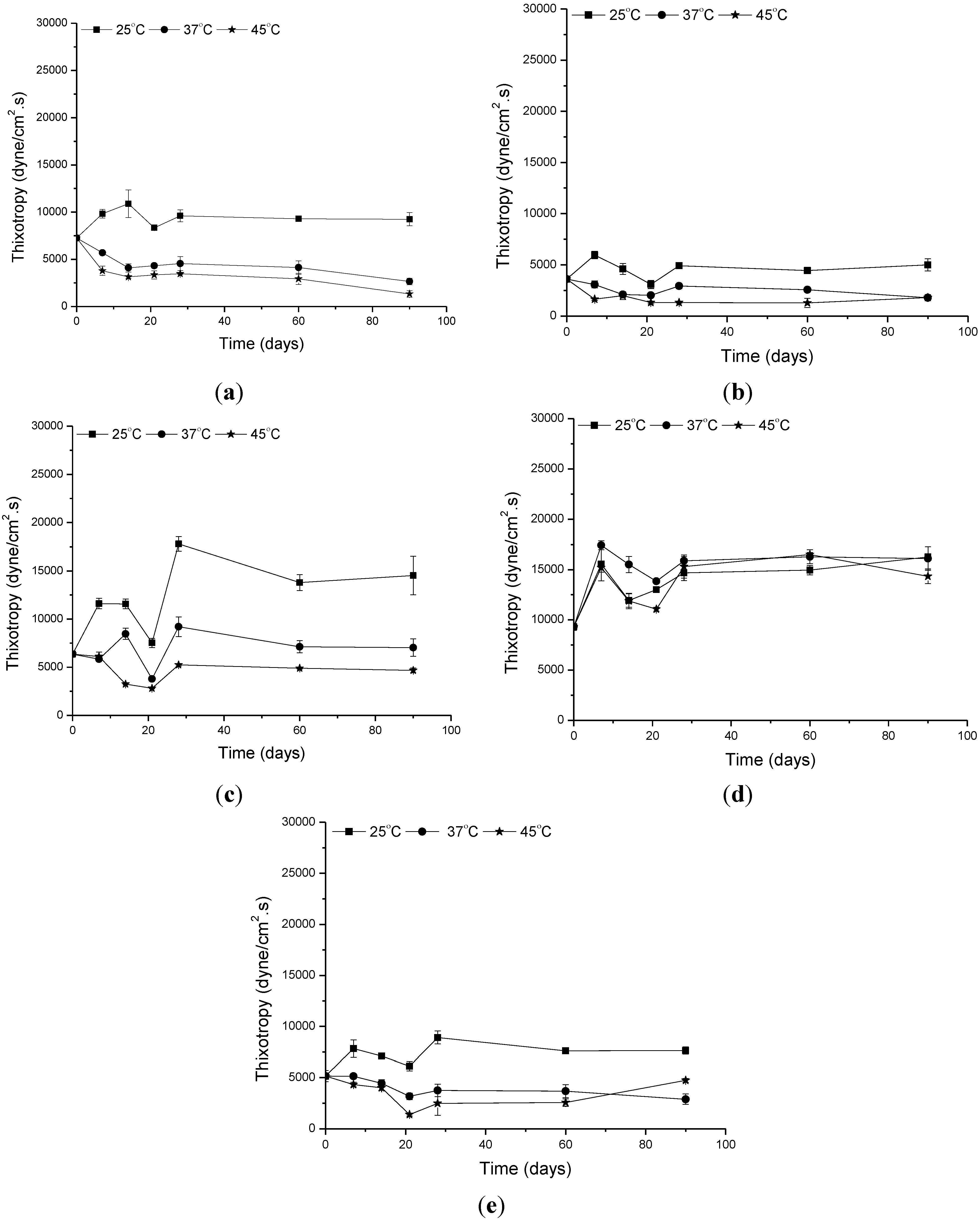
2.1. Physical Stability






2.2. Chemical Stability


| Formulation | Shelf-Life (Days) | ||
|---|---|---|---|
| EEM | AVO | OCT | |
| Organic UV filters | 583 | 743 | 386 |
| Organic UV filters + ZnO | 409 | 1733 | 369 |
| Organic UV filters + TiO2 | 378 | 346 | 410 |
| Organic UV filters + CePO4 | 1435 | 1595 | 643 |
| UV Filter | Theoretical Concentration (μg·mL−1) | Intra-day | Inter-day | ||||
|---|---|---|---|---|---|---|---|
| Obtained Concentration ± S.D. a (μg·mL−1) | Precision (R.S.D.%) | Accuracy/Recovery (%) | Obtained Concentration ± S.D. b (μg·mL−1) | Precision (R.S.D.%) | Accuracy/Recovery (%) | ||
| AVO | 48 | 46.45± 0.48 | 1.03 | 96.76 | 46.40 ± 0.85 | 4.10 | 96.68 |
| EEM | 96 | 93.79 ± 1.10 | 1.17 | 98.01 | 94.96 ± 0.73 | 1.88 | 98.77 |
| OCT | 128 | 125.45 ± 1.47 | 1.17 | 97.70 | 126.63 ± 0.71 | 1.50 | 98.82 |
3. Experimental Section
3.1. Formulations Studied
| Components | (%, w/w) | ||||
|---|---|---|---|---|---|
| Formulations | |||||
| A | B | C | D | E | |
| Potassium cetyl phosphate | 3.00 | 3.00 | 3.00 | 3.00 | 3.00 |
| Propylene glycol | 2.50 | 2.50 | 2.50 | 2.50 | 2.50 |
| Glycerin | 2.50 | 2.50 | 2.50 | 2.50 | 2.50 |
| PVP/Eicosene copolymer | 2.00 | 2.00 | 2.00 | 2.00 | 2.00 |
| Butylhydroxytoluene (BHT) | 0.05 | 0.05 | 0.05 | 0.05 | 0.05 |
| Disodium ethylenediamine tetraacetate (EDTA) | 0.10 | 0.10 | 0.10 | 0.10 | 0.10 |
| Capric caprylic triglyceride | 1.00 | 1.00 | 1.00 | 1.00 | 1.00 |
| Xanthan gum | 0.30 | 0.30 | 0.30 | 0.30 | 0.30 |
| Phenoxyethanol, methylparaben, ethylparaben, propylparaben, butylparaben, isobutylparaben | 0.80 | 0.80 | 0.80 | 0.80 | 0.80 |
| Cyclomethicone | 2.00 | 2.00 | 2.00 | 2.00 | 2.00 |
| Cyclomethicone (and) dimethicone crosspolymer | 2.00 | 2.00 | 2.00 | 2.00 | 2.00 |
| Ethylhexylmethoxycinnamate | - | 6.00 | 6.00 | 6.00 | 6.00 |
| Octocrylene | - | 8.00 | 8.00 | 8.00 | 8.00 |
| Avobenzone | - | 3.00 | 3.00 | 3.00 | 3.00 |
| CePO4 | - | - | 5.00 | - | - |
| TiO2 | - | - | - | 5.00 | - |
| ZnO | - | - | - | - | 5.00 |
| Distilled water | 83.75 | 66.75 | 61.75 | 61.75 | 61.75 |
3.2. Stability Studies
3.2.1. Physical Stability
3.2.2. Chemical Stability
4. Conclusions
Acknowledgments
Author Contributions
Conflicts of Interest
References
- Klinubol, P.; Asawanonda, P.; Wanichwecharungruang, S.P. Transdermal Penetration of UV Filters. Skin Pharmacol. Physiol. 2008, 21, 23–29. [Google Scholar] [CrossRef]
- Sarveiya, V.; Risk, S.; Benson, H.A. Liquid chromatographic assay for common sunscreen agents: Application to in vivo assessment of skin penetration and systemic absorption in human volunteers. J. Chromatogr. B Anal. Technol. Biomed. Life Sci. 2004, 803, 225–231. [Google Scholar] [CrossRef]
- Jiang, R.; Roberts, M.S.; Collins, D.M.; Benson, H.A.E. Absorption of sunscreens across human skin: An evaluation of commercial products for children and adults. Br. J. Clin. Pharmacol. 1999, 4, 635–637. [Google Scholar]
- Cross, S.E.; Innes, B.; Roberts, M.S.; Tsuzuki, T.; Robertson, T.A.; McCormick, P. human skin penetration of sunscreen nanoparticles: In-vitro assessment of a novel micronized zinc oxide formulation. Skin Pharmacol. Physiol. 2007, 20, 148–154. [Google Scholar] [CrossRef]
- Anderson, M.W.; Hewitt, J.P.; Spruce, S.R. Broadspectrum physical sunscreens: Titanium dioxide and zinc oxide. In Sunscreens: Development, Evaluation and Regulatory Aspects, 1st ed.; Lowe, N.J., Shaath, N.A., Pathak, M.A., Eds.; Dekker: New York ,NY, USA, 1997; pp. 353–397. [Google Scholar]
- Bahia, M.F. Proteção Solar Actualização, 1ª ed.; Editora Universidade do Porto: Porto, Portugal, 2003. (In portugueses) [Google Scholar]
- Diffey, B.L.; Grice, J. The influence of sunscreen type on photoprotection. Br. J. Dermatol. 1997, 137, 103–105. [Google Scholar] [CrossRef]
- Lima, J.F.; Martins, R.F.; Neri, C.R.; Serra, O.A. ZnO:CeO2-based nanopowders with low catalytic activity as UV bsorbers. Appl. Surf. Sci. 2009, 255, 9006–9009. [Google Scholar] [CrossRef]
- Peverari, C.; Pires, A.M.; Gonçalves, R.R.; Serra, O.A. Synthesis, structural and morphological characterization of CeO2—ZnO nanosized powder systems from Pechini’s method. Eclet. Quím. 2005, 30, 59–64. [Google Scholar]
- Lima, J.F.; Serra, O.A. Cerium phosphate nanoparticles with low photocatalytic activity for UV light absorption application in photoprotection. Dyes Pigment. 2013, 97, 291–296. [Google Scholar] [CrossRef]
- Lima, J.F.; Neri, C.R.; Serra, O.A. Processo de Obtenção de Nanopartículas de Fosfato de cério e Formulações Contendo o. Mesmo. Patent PI0801782–4 A2, 2008. (In portugueses)[Google Scholar]
- Chevire, F.; Muñoz, F.; Baker, C.F.; Tessier, F.; Larcher, O.; Boujday, S.; Colbeau-Justin, C.; Marchanda, R. UV absorption properties of ceria-modified compositions within the fluorite-type solid solution CeO2–Y6WO12. J. Solid State Chem. 2006, 179, 3184–3190. [Google Scholar] [CrossRef]
- Gianeti, M.D.; Gaspar, L.R.; Camargo, F.B., Jr.; Campos, P.M. Benefits of combinations of vitamin A, C and E derivatives in the stability of cosmetic formulations. Molecules 2012, 17, 2219–2230. [Google Scholar] [CrossRef]
- Maia Campos, P.M.B.G.; Gianeti, M.D. Bases físicas e químicas dos cosmecêuticos. In Tratado Internacional de Cosmecêuticos; Costa, A., Ed.; Guanabara Koogan: Rio de Janiero, Brazil, 2012; pp. 67–77. (In portugueses) [Google Scholar]
- Guaratini, T.; Gianeti, M.D.; Maia Campos, P.M.B.G. Stability of cosmetics formulations containing vitamins E and A esters: Chemical and physical aspects. Int. J. Pharm. 2006, 11, 12–16. [Google Scholar]
- Jiao, J.; Burgess, D.J. Rheology and stability of water-in-oil-in-water multiple emulsions containing Span 83 and Tween 80. AAPS Pharm. Sci. 2003, 5, E7. [Google Scholar]
- Magari, R.T.; Munoz-Antoni, I.; Baker, J.; Flagler, D.J. Determining shelf life by comparing degradations temperatures. J. Clin. Lab. Anal. 2004, 18, 159–164. [Google Scholar] [CrossRef]
- Morais, J.M.; Santos, O.D.H.; Delicato, T.; Azzini, R.; Rocha-Filho, P.A. Physicochemical characterization of canola oil water nanoemulsions obtained by determination of required HLB number and emulsion phase inversion methods. J. Dispers. Sci. Technol. 2006, 27, 109–115. [Google Scholar] [CrossRef]
- Jeong, M.W.; Oh, S.G.; Kim, Y.C. Effects of amine oxide compounds on the zeta potencial of emulsion droplets by phosphatidylcoline. Colloids Surf. A Physicochem. Eng. Asp. 2001, 181, 247–256. [Google Scholar] [CrossRef]
- Roland, I.O.; Piel, G.; Delattre, L.; Evrard, B. Systematic characteriztion of oil-in-watr emulsion for formulation design. Int. J. Pharm. 2003, 263, 85–94. [Google Scholar] [CrossRef]
- Corrente, F.; Matricardi, P.; Paolicelli, P.; Tita, B.; Vitali, F.; Casadei, M.A. Physical carboxymethylscleroglucan/calcium ion hydrogels as modified drug delivery systems in topical formulations. Molecules 2009, 14, 2684–2698. [Google Scholar] [CrossRef]
- Brummer, R. Rheology Essentials of Cosmetic and Food Emulsions, 1st ed.; Springer Verlarg: Berlin, Germany, 2006. [Google Scholar]
- Nasu, A.; Otsubo, Y. Effects of polymeric dispersants on the rheology and UV-protecting properties of complex suspensions of titanium dioxides and zinc oxides. Coll. Surf. A 2008, 326, 92–97. [Google Scholar] [CrossRef]
- Gaspar, L.R.; Maia Campos, P.M.B.G. Rheological behavior and the SPF of sunscreens. Int. J. Pharm. 2003, 250, 35–44. [Google Scholar] [CrossRef]
- Nesseem, D. Formulation of sunscreens with enhancement sun protection factor response based on solid lipid nanoparticles. Int. J. Pharm. 2011, 33, 70–79. [Google Scholar]
- Klich, C.M. Jels and Jellies. In Encyclopedia of Pharmaceutical Technology; Swarbrick, J., Boylan, J.C., Eds.; Marcel Dekker Inc.: New York, NY, USA, 1992; pp. 415–439. [Google Scholar]
- Zholobak, N.M.; Ivanov, V.K.; Shcherbakov, A.B.; Shaporev, A.S.; Polezhaeva, O.S.; Baranchikov, Y.A.; Spivak, N.Y.; Tretyakov, Y.D. UV-shielding property, photocatalytic activity and photocytotoxicity of ceria colloid solutions. J. Photoch. Photobiol. B: Biol. 2011, 102, 32–38. [Google Scholar] [CrossRef]
- Li, R.; Yabe, S.; Yamashita, M.; Momose, S.; Yoshida, S.; Yin, S.; Sato, T. UV shielding properties of zinc oxide-doped ceria fine powders derived via soft solution chemical routes. Mater. Chem. Phys. 2002, 75, 39–44. [Google Scholar] [CrossRef]
- Serpone, N.; Dondi, D.; Albini, A. Inorganic and organic UV filters: Their role and efficacy in sunscreens and suncare products. Inorg. Chim. Acta 2007, 360, 794–802. [Google Scholar] [CrossRef]
- Brezov, V.; Gabcova, S.; Dvoranova, D. Reactive oxygen species produced upon photoexcitation of sunscreens containing titanium dioxide (an EPR study). J. Photochem. Photobiol. B: Biol. 2005, 79, 121–134. [Google Scholar] [CrossRef]
- Sample Availability: Samples of the compounds produced in this studied are available from the authors.
© 2014 by the authors. Licensee MDPI, Basel, Switzerland. This article is an open access article distributed under the terms and conditions of the Creative Commons Attribution license ( http://creativecommons.org/licenses/by/4.0/).
Share and Cite
Seixas, V.C.; Serra, O.A. Stability of Sunscreens Containing CePO4: Proposal for a New Inorganic UV Filter. Molecules 2014, 19, 9907-9925. https://doi.org/10.3390/molecules19079907
Seixas VC, Serra OA. Stability of Sunscreens Containing CePO4: Proposal for a New Inorganic UV Filter. Molecules. 2014; 19(7):9907-9925. https://doi.org/10.3390/molecules19079907
Chicago/Turabian StyleSeixas, Vitor C., and Osvaldo A. Serra. 2014. "Stability of Sunscreens Containing CePO4: Proposal for a New Inorganic UV Filter" Molecules 19, no. 7: 9907-9925. https://doi.org/10.3390/molecules19079907
APA StyleSeixas, V. C., & Serra, O. A. (2014). Stability of Sunscreens Containing CePO4: Proposal for a New Inorganic UV Filter. Molecules, 19(7), 9907-9925. https://doi.org/10.3390/molecules19079907
