Xanthenedione Derivatives, New Promising Antioxidant and Acetylcholinesterase Inhibitor Agents
1
DCTD, University of Azores, Rua Mãe de Deus, Ponta Delgada 9501-801, Portugal
2
Department of Chemistry & QOPNA, University of Aveiro, Campus de Santiago, Aveiro 3810-193, Portugal
3
CIRN, University of Azores, Ponta Delgada 9501-801, Portugal
*
Authors to whom correspondence should be addressed.
Molecules 2014, 19(6), 8317-8333; https://doi.org/10.3390/molecules19068317
Received: 12 May 2014 / Revised: 8 June 2014 / Accepted: 11 June 2014 / Published: 19 June 2014
(This article belongs to the Special Issue Redox Active Natural Products and Their Interaction with Cellular Signalling Pathways)
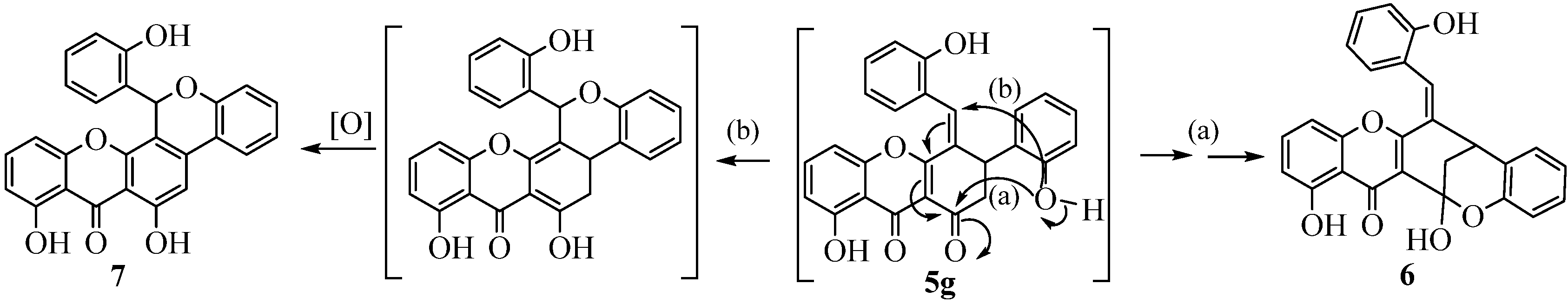
Natural and synthetic xanthone derivatives are well-known for their ability to act as antioxidants and/or enzyme inhibitors. This paper aims to present a successful synthetic methodology towards xanthenedione derivatives and the study of their aromatization to xanthones. Additionally their ability to reduce Fe(III), to scavenge DPPH radicals and to inhibit AChE was evaluated. The results demonstrated that xanthenedione derivative 5e, bearing a catechol unit, showed higher reduction capacity than BHT and similar to quercetin, strong DPPH scavenging activity (EC50 = 3.79 ± 0.06 µM) and it was also showed to be a potent AChEI (IC50 = 31.0 ± 0.09 µM) when compared to galantamine (IC50 = 211.8 ± 9.5 µM).
View Full-Text
Keywords:
xanthene-1,9(2H)-diones; scavenging activity; reduction power; acetylcholinesterase inhibitors; xanthones; 3-cinnamoyl-5-hydroxy-2-styrylchromones
▼
Show Figures
This is an open access article distributed under the Creative Commons Attribution License
MDPI and ACS Style
Seca, A.M.L.; Leal, S.B.; Pinto, D.C.G.A.; Barreto, M.C.; Silva, A.M.S. Xanthenedione Derivatives, New Promising Antioxidant and Acetylcholinesterase Inhibitor Agents. Molecules 2014, 19, 8317-8333.
Show more citation formats
Search more from Scilit


