Abstract
A series of Phe-Gly dipeptide-derived piperazinones containing an aromatic urea moiety and a basic amino acid has been synthesized and evaluated as inhibitors of human platelet aggregation induced by the PAR1 agonist SFLLRN and as cytotoxic agents in human cancer cells. The synthetic strategy involves coupling of a protected basic amino acid benzyl amide to 1,2- and 1,2,4-substituted-piperazinone derivatives, through a carbonylmethyl group at the N1-position, followed by formation of an aromatic urea at the exocyclic moiety linked at the C2 position of the piperazine ring and removal of protecting groups. None of the compounds showed activity in the biological evaluation.
1. Introduction
Most cellular effects of thrombin are mediated by activation of the protease-activated receptor 1 (PAR1) [,]. This receptor is mainly expressed in platelets, where its activation induces aggregation. Therefore, PAR1 is considered a therapeutic target in cardiovascular diseases [,,,], whose inactivation could inhibit platelet aggregation without affecting thrombin’s role in the coagulation cascade [,,]. In addition, numerous studies have shown that PAR1 is overexpressed in invasive and metastatic tumors and that its expression levels directly correlate with the degree of invasiveness of the cancer [,,,,,]. Based on these facts, this receptor is starting to be also considered a promising target for cancer therapy, particularly in the search of angiogenesis inhibitors [].
Activation of PAR1 by thrombin involves the proteolytic cleavage of the N-terminal exodomain between Arg41 and Ser42. This cleavage unveils the recognition sequence SFLLRN that acts as a tethered ligand, auto-activating the receptor []. The binding of this tethered ligand is followed by the coupling of the receptor to heterotrimeric G proteins and activation of signal transduction. This particular intramolecular activation mechanism makes PAR1 a target particularly difficult to address.
The first potent PAR1 antagonists were SFLLRN-based peptidomimetic ureas, represented by the optimized antagonist RWJ-58259 (Figure 1) [], which is considered a standard reference in pharmacological studies on PAR1 receptor []. Later, a few series of antagonists have been discovered by HTS of diverse libraries of non-peptide small molecules [,]. Up to now, only two of these PAR1 antagonists are in advanced clinical development for the treatment of patients with acute coronary syndrome, SCH-530348 (named vorapaxar, in phase III clinical trials) [] and E-5555 (named atopaxar, in phase II clinical trials) [] (Figure 1).

Figure 1.
Reference PAR1 antagonists in pharmacological studies and/or advanced clinical development.
Taking as reference the peptidomimetic antagonist RWJ-58259 we initiated a project directed to the search of new PAR1 antagonists using a diversity oriented synthesis (DOS) strategy. To this aim, we planned the synthesis of diverse small directed libraries of different scaffolds able to assemble, at least, one or two aromatic groups and one or two basic groups at variable distances and orientations []. Among the scaffolds, we focused our attention on the piperazine ring, since this system is recognized as a privileged scaffold, due to its recurrent presence in biological active compounds [,]. Firstly, we synthesized the series of 1,2,4,6-tetrasusbtituted-piperazinone derivatives of general formula A (Figure 2). Some of these derivatives showed moderate antagonist activity []. Trying to improve this activity and to establish structure-activity relationships, we have synthesized and report herein the analogues B, where the basic amino acid side chain has been moved from the piperazine C6 position to the N1. Now, the indazole moiety of the PAR1 antagonist RWJ-58259 has also been included among the selected arylureido groups at the piperazine C2-substituent. The new piperazinone derivatives B have been evaluated as human PAR1 antagonists in a platelet aggregation assay and as cytotoxic agents in human cancer cell lines.

Figure 2.
Piperazinone derivatives proposed as PAR1 antagonists.
2. Results and Discussion
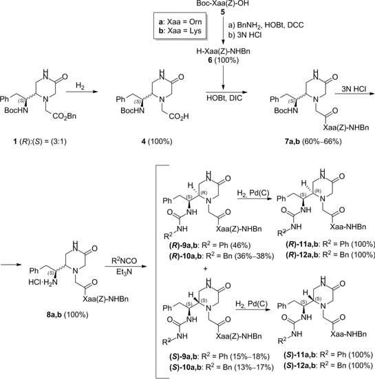
Two alternative retrosynthetic routes were considered for the building of the desired piperazinones derivatives B from the starting 1-(benzyloxycarbonyl)methyl-piperazinones 1 []. These routes differ in the order of incorporation of the basic amino acid and the urea moieties. Firstly, we attempted the formation of the urea at the exocyclic 1-amino-2-phenylethyl moiety, before coupling the basic amino acid residue Xaa. However, as shown in Scheme 1, the Boc removal from the (3:1) epimeric mixture of N4-unsubstituted-piperazinones 1, by treatment with a 3 N solution of HCl in EtOAc, followed by reaction with benzyl isocyanate in the presence of Et3N, led to the corresponding epimeric mixture of ureas 2 in 40% yield, along with 30% of the 1H-pyrazino[1,2-a]pyrazines 3. These bicyclic derivatives resulted from the nucleophilic attack of the exocyclic amine, generated by the Boc removal, at the (benzyloxycarbonyl)methyl group in the N1-position. To minimize this cyclization, both the Boc removal and the urea formation were carried out at 0 °C with an excess of benzyl isocyanate (2 equiv.) to accelerate the urea formation. Nevertheless, in none of these attempts was the yield of the ureas 2 improved significantly.

Scheme 1.
Synthesis of the ureas 2 and the 1H-pyrazino[1,2-a]pyrazines 3.
To avoid the cyclization, we decided to incorporate the basic amino acid prior to the urea formation. As shown in Scheme 2, the Pd (C) catalyzed hydrogenolysis of the benzyl ester of 1, followed by coupling with H-Orn(Z)-NHBn (6a) and H-Lys(Z)-NHBn (6b), using diisopropylcarbodiimide (DIC) and 1-hydroxybenzotriazol (HOBt) as coupling agents, provided the corresponding epimeric mixtures 7a,b in 60%–70% yield. The subsequent Boc removal, followed by reaction with phenyl or benzyl isocyanate in the presence of Et3N, gave the respective epimeric mixtures of ureas 9a,b and 10a,b, which were chromatographically resolved into their respective (R)- and (S)-epimers. Finally, the removal of the Z protecting group from the basic side chain, by Pd(C)-catalysed hydrogenolysis, provided the corresponding deprotected pseudotripeptides 11a,b and 12a,b. The (3:1) epimer ratio remained constant throughout the synthetic route.

Scheme 2.
Synthesis of the 4-unsubstituted-piperazinone derivatives 11a,b and 12a,b.
In view of the good results in the synthesis of the 4-unsubstituted-piperazinone derivatives 11a,b and 12a,b, a parallel synthetic scheme was applied to the synthesis of the 4-benzyl-piperazinone derivatives 19a–c and 20a,b from the (3:1) epimeric mixture of 4-benzyl-piperazinones 13 [] (Scheme 3). Based on the biological results of the previous library A, besides ornithine (a) and lysine (b), arginine (c) was also included in this series. The Pbf protection was used for the guanidino group of the side chain of this amino acid. This protection was removed in the last step of the synthesis by treatment with a 90% solution of TFA in H2O in the presence of triisopropylsilane (TIPS). The final arylureido derivatives 19a–c and 20a,b were obtained in 39%–58% overall yields from 13, as (3:1) epimeric mixtures that could not be separated in none of their synthetic steps.

Scheme 3.
Synthesis of the N4-benzyl-piperazinone derivatives 19a–c and 20a,b.
The 4-benzyl-piperazinones 16b,c were also used for the preparation of indazol-6-yl-ureido derivatives analogues of the reference antagonist RWJ-58259. These analogues were prepared according to our procedure developed for the synthesis of RWJ-58259 [], which involves the in situ formation of the isocyanate 22 (Scheme 4), by reaction of the corresponding 6-amino-indazole 21 with triphosgene in the presence of propylene oxide as HCl acceptor, followed by reaction with the epimeric mixture of the 4-benzyl-piperazinones 16b,c. The Z- or Pbf-removal, by hydrogenolysis and TFA treatment, respectively, provided the proposed ureas 24b,c as (3:1) epimeric mixtures that, like the analogues 19 and 20, could not be resolved at any of their synthetic steps.
To evaluate the PAR1 antagonist activity, all new compounds were screened as inhibitors of human platelet aggregation induced by a 30 μM concentration of the PAR1 agonist SFLLRN []. The antagonist RWJ-58259 was used as a reference. At 10 μM concentration, this antagonist inhibited 98% the platelet aggregation. However, none of the new compounds displayed significant activity at 0.1 mg/mL (≈150 μM). In the structural comparison of the inactive deprotected indazole-derived ureas 24b,c with the potent peptidomimetic urea PAR1 antagonists, to which the reference antagonist RWJ-58259 belongs [], the main difference is localized at the linkage between the aromatic and the basic amino acids. Thus, the peptide bond of RWJ-58259 is replaced by the piperazinone ring and an additional Gly residue in 24b,c. The results show that this replacement is completely detrimental for PAR1 antagonist activity.

Scheme 4.
Synthesis of the RWJ-58259 analogues 24b,c.
In a HTS of antitumor agents, none of the compound showed cytotoxicity on three representative human cancer cell lines, such as breast (MDA-MB-231), lung (A549), and colon (HT-29).
3. Experimental
3.1. General
All reagents were of commercial quality. Solvents were dried and purified by standard methods. Analytical TLC was performed on aluminum sheets coated with a 0.2 mm layer of silica gel 60 F254. Silica gel 60 (230–400 mesh) was used for flash chromatography. Analytical HPLC was performed on a Sunfire C18 (4.6 × 150 mm, 3.5 μm) column, with a flow rate of 1 mL/min, and using a tunable UV detector set at 214 nm. 10%–100% gradient of CH3CN (solvent A) in 0.05% of TFA in H2O (solvent B) in 30 min was used as mobile phase. 1H-NMR spectra were recorded at 300 or 400 MHz, using TMS as reference, and 13C-NMR spectra were recorded at 75 or 100 MHz. The NMR spectra assignment was based on COSY, HSQC, and HMBC spectra. ESI-MS spectra were performed, in positive mode, using MeOH as solvent. MW experiments were carried out in a EmrysTM Synthesizer MW reactor (Biotage AB, surface IR sensor). Elemental analyses were obtained on a CH-O-RAOID apparatus. Optical rotations were determined in a Perkin Elmer 141 polarimeter.
3.2. Synthesis of Benzyl 2-[(2RS)-[(1S)-(3-benzylureido)-2-phenylethyl]-5-oxopiperazin-1-yl]acetate (2) and (1S,9aRS)- 1-benzyl-3,7-dioxooctahydro-1H-pyrazino[1,2-a]pyrazine (3)
The epimeric mixture of piperazinones 1 [] [(R:S) = (3:1)] (500 mg, 1.07 mmol) was dissolved in a solution of HCl in EtOAc (3.4 N, 20 mL) and the mixture was stirred at room temperature for 30 min. Afterwards, the solvent was evaporated to dryness, the residue was dissolved in CH3CN/H2O (1:3, 8 mL) and the solution was lyophilized. Benzyl isocyanate (199 μL, 1.61 mmol) and Et3N (224 μL, 1.61 mmol) were added to a solution of the lyophilized powder in THF (40 mL) and the mixture was stirred for 1 h. Afterwards, the solvent was removed under low pressure and the residue was dissolved in CH2Cl2 (60 mL). The solution was washed with H2O (2 × 10 mL), brine (10 mL), dried over Na2SO4 and evaporated to dryness. The residue was purified by flash chromatography, with 0%–5% MeOH gradient in EtOAc as mobile phase, to afford the epimeric mixture of ureas 2 [(R:S) = (3:1)] as a foam (215 mg, 40%), along with the 1H-pyrazino[1,2-a]pyrazines 3 [] (83 mg, 30%).
Benzyl 2-[(2RS)-[(1S)-(3-benzylureido)-2-phenylethyl]-5-oxopiperazin-1-yl]acetate (2). HPLC tR: 20.02 min [(R)-2] and 21.24 min [(S)-2]; 1H-NMR (300 MHz, CDCl3). (R)-2 δ (ppm): 2.56 (dd, 1H, J = 10.5 and 13.5 Hz, CH2-Ph), 2.82 (dd, 1H, J = 4 and 13.5 Hz, CH2-Ph), 3.06 (dt, 1H, J = 4.5 and 9 Hz, 2-H), 3.24 (m, 1H, 3-H), 3.26 (d, J = 18 Hz, 6-H), 3.43 (s, 2H, CH2CO2Bn), 3.46 (d, 1H, J = 18 Hz, 6-H), 3.60 (m, 1H, 3-H), 3.89 (m, 1H, 2-CH), 4.32 [d, 2H, J = 5.5 Hz, CH2 (NHBn)], 5.04 [m, 1H, NHBn], 5.10 [s, 2H, CH2 (CO2Bn)], 5.45 (m, 1H, 4-H), 5.70 (m, 1H, 2-CHNH), 7.14–7.35 (m, 15H, Ar). (S)-2 δ (ppm): 2.56 (m, 1H, CH2-Ph), 2.82 (m, 1H, CH2-Ph), 3.06 (m, 1H, 2-H), 3.24 (m, 1H, 3-H), 3.50 (d, J = 17.5 Hz, 6-H), 3.43 (s, 2H, CH2CO2Bn), 3.58 (d, 1H, J = 17.5 Hz, 6-H), 3.60 (m, 1H, 3-H), 3.89 (m, 1H, 2-CH), 4.32 [m, 2H, CH2 (NHBn)], 5.04 (m, 1H, NHBn), 5.10 [s, 2H, CH2 (CO2Bn)], 5.45 (m, 1H, 4-H), 5.70 (m, 1H, 2-CHNH), 7.14–7.35 (m, 15H, Ar); 13C-NMR (75 MHz, CDCl3). (R)-2 δ (ppm): 36.7 [C3], 37.4 [CH2-Ph], 44.5 [CH2 (NHBn)], 51.3 [C6 and CH2CO2Bn], 53.0 [C2-CH], 58.0 [C2], 66.9 [CH2 (CO2Bn)], 127.3, 127.4, 127.6, 128.4, 128.5, 128.6, 128.7, 129.0, 129.2 [15CH (Ar)], 135.2 [C (CO2Bn)], 136.0 [C (Ph)], 139.3 [C (NHBn)], 158.2 [CO (Urea)], 169.2 [C5], 171.0 [CO2]. (S)-2 δ (ppm): 36.7 [C3], 37.4 [CH2-Ph], 44.5 [CH2 (NHBn)], 51.3 [CH2CO2Bn], 53.0 [C2-CH], 55.6 [C6], 58.0 [C2], 66.9 [CH2 (CO2Bn)], 127.3, 127.4, 127.6, 128.4, 128.5, 128.6, 128.7, 129.0, 129.2 [CH (Ar)], 135.2 [C (CO2Bn)], 136.0 [C (Ph)], 139.3 [C (NHBn)], 158.2 [CO (Urea)], 169.2 [C5], 171.0 [CO2]; ES-MS m/z 501.2 [M+1]+; C29H32N4O5 (%): C: 69.58, H: 6.44, N: 11.19. Found (%): C: 69.73, H: 6.32, N: 11.45.
3.3. General Procedure for the Synthesis of the Piperazinone-Derived Acids 4 and 14
Pd(C) (10%) was added to a solution of the corresponding epimeric mixture of piperazinones 1 [] or 13 [] [(R:S) = (3:1)] (1.00 mmol) in MeOH (50 mL) and the mixture was hydrogenated at 1 atm of H2 at room temperature for 1 h. Afterwards, the reaction mixture was filtered and the solvent was evaporated under reduced pressure to obtain the epimeric mixture of the corresponding acids 4 or 14 [(R:S) = (3:1)].
2-[(2RS)-[(1S)-((tert-Butoxycarbonyl)amino)-2-phenyl-ethyl]-5-oxopiperazin-1-yl] acetic acid (4). Foam (377.4 mg, 100%); HPLC tR: 13.99 min [(R)-4] and 13.39 min [(S)-4]; 1H-NMR (500 MHz, DMSO-d6). (R)-4 δ (ppm): 1.24 (s, 9H, Boc), 2.56 (dd, 1H, J = 10 and 10.5 Hz, CH2-Ph), 2.88 (m, 1H, 2-H), 2.97 (dd, 1H, J = 3.5 and 10.5 Hz, CH2-Ph), 3.19 (m, 2H, 3-H), 3.30 (m, 1H, 6-H), 3.47 (d, 3H, J = 17 Hz, 6-H and CH2CO2H), 3.80 (m, 1H, 2-CH), 6.80 (d, 1H, J = 9.5 Hz, NHBoc), 7.02–7.36 (m, 5H, Ph), 7.76 (s, 1H, 4-H). (S)-4 δ (ppm): 1.25 (s, 9H, Boc), 2.47 (m, 1H, CH2-Ph), 2.82 (dd, 1H, J = 2 and 13.5 Hz, CH2-Ph), 2.92 (m, 1H, 2-H), 3.19 (m, 2H, 3-H), 3.31 (m, 1H, 6-H), 3.42 (m, 1H, 6-H), 3.47 (m, 2H, CH2CO2H), 3.80 (m, 1H, 2-CH), 6.89 (d, 1H, J = 9.5 Hz, NHBoc), 7.02–7.36 (m, 5H, Ph), 7.75 (s, 1H, 4-H); 13C-NMR (125 MHz, DMSO-d6). (R)-4 δ (ppm): 28.6 [3CH3 (Boc)], 37.9 [CH2-Ph], 38.9 [C3], 51.8 [C2-CH], 53.3 [CH2CO2H], 54.0 [C6], 58.4 [C2], 78.1 [C (Boc)], 126.2, 128.4, 129.7 [5CH (Ph)], 139.6 [C (Ph)], 155.8 [CO (Boc)], 168.3 [C5], 172.6 [CO2]. (S)-4 δ (ppm): 28.6 [3CH3 (Boc)], 35.7 [CH2-Ph], 38.8 [C3], 52.0 [C2-CH], 53.0[C6], 54.1 [CH2CO2H], 59.0 [C2], 78.0 [C (Boc)], 126.3, 128.4, 129.4 [5CH (Ph)], 139.8 [C (Ph)], 155.5 [CO (Boc)], 169.2 [C5], 172.4 [CO2]; ES-MS m/z 378.0 [M+1]+; C19H27N3O5 (%): C: 60.46, H: 7.21, N: 11.13. Found (%): C: 60.60, H: 7.02, N: 11.25.
3.4. General Procedure for the Synthesis of the Piperazinone-Derived Pseudotripeptides 7a,b
HOBt (136 mg, 1.00 mmol), DIC (309 μL, 2.00 mmol) and a solution of the corresponding benzylamides H-Orn(Boc)-NHBn (6a) [] and H-Lys(Boc)-NHBn (6b) [] (1.50 mmol) in dry DMF (4 mL) were added to a solution of the epimeric mixture of the piperazinone-derived acid 4 (1.00 mmol) in dry CH2Cl2 (16 mL) and stirred for 24 h. Afterwards, the solvent was removed under reduced pressure and the residue was dissolved in EtOAc (100 mL). This solution was washed with a solution of 10% citric acid (2 × 20 mL), a saturated solution of NaHCO3 (2 × 20 mL) and brine (20 mL), dried over Na2SO4, and evaporated to dryness. The residue was purified by flash chromatography, with 1%–10% MeOH gradient in CH2Cl2 as mobile phase to afford the corresponding epimeric mixture of piperazinone derivatives 7a,b [(R:S) = (3:1)].
N-[2-[(2RS)-[(1S)-((tert-Butoxycarbonyl)amino)-2-phenylethyl]-5-oxopiperazin-1-yl]acetyl]-Orn(Z)-NHBn (7a). Foam (429 mg, 60%); HPLC tR: 21.07 min; 1H-NMR (400 MHz, CDCl3) (R)-7a δ (ppm): 1.31 (s, 9H, Boc), 1.52 (m, 2H, γ-H), 1.67 (m, 1H, β-H), 1.84 (m, 1H, β-H), 2.82 (m, 1H, CH2-Ph), 2.86 (m, 1H, 2-H), 3.02 (m, 1H, CH2-Ph), 3.12 (m, 1H, δ-H), 3.30 (m, 1H, CH2CO), 3.34 (m, 1H, CH2CO), 3.36 (m, 3H, 3-H and 6-H), 3.42 (m, 1H, δ-H), 3.44 (m, 1H, 6-H), 4.04 (m, 1H, 2-CH), 4.34 [dd, 1H, J = 5.5 and 15 Hz, CH2 (NHBn)], 4.42 [dd, 1H, J = 5.5 and 15 Hz, CH2 (NHBn)], 4.70 (m, 3H, α-H and NHBoc), 4.83 [d, 1H, J = 12 Hz, CH2 (Z)], 4.93 [d, 1H, J = 12 Hz, CH2 (Z)], 5.12 (t, 1H, J = 6 Hz, NHZ), 6.38 (m, 1H, 4-H), 7.11–7.39 (m, 16H, Ar and NHBn), 7.79 (d, 1H, J = 8 Hz, α-NH). (S)-7a δ (ppm): 1.31 (s, 9H, Boc), 1.64(m, 1H, β-H), 1.86 (m, 1H, β-H), 3.26 (m, 1H, CH2CO), 3.32 (m, 1H, 6-H), 3.38 (m, 1H, CH2CO), 3.46 (m, 1H, 6-H), 3.94 (m, 1H, 2-CH), 4.35, 4.47 [m, 2H, CH2 (NHBn)], 4.82 [m, 1H, CH2 (Z)], 4.95 [m, 1H, CH2 (Z)], 5.04 (m, 1H, NHZ), 6.62 (m, 1H, 4-H), 7.11–7.39 (m, 16H, Ar and NHBn), 7.79 (d, 1H, J = 8 Hz, α-NH); 13C-NMR (100 MHz, CDCl3) (R)-7a δ (ppm): 26.3 [Cγ], 28.2 [3CH3 (Boc)], 30.3 [Cβ], 37.6 [CH2-Ph], 39.4 [C3], 39.7 [Cδ], 43.5 [CH2 (NHBn)], 51.3 [C2-CH], 51.5 [Cα], 54.0 [C6], 55.7 [CH2CO], 58.8 [C2], 66.6 [CH2 (Z)], 79.9 [C (Boc)], 126.7, 127.4, 127.7, 127.9, 128.1, 128.4, 128.6, 129.3 [15CH (Ar)], 136.4 [C (Ph)], 137.0 [C (Z)], 138.0 [C (NHBn)], 155.6 [CO (Boc)], 157.1 [CO (Z)], 168.9 [C5], 169.7 [CO], 171.5 [α-CONH]. (S)-7a δ (ppm): 28.2 [3CH3 (Boc)], 43.5 [CH2 (NHBn)], 66.6 [CH2 (Z)], 79.9 [C (Boc)], 126.6, 127.4, 127.6, 127.9, 128.0, 128.4, 128.6, 129.3 [15CH (Ar)], 136.4 [C (Ph)], 137.0 [C (Z)], 138.0 [C (NHBn)], 155.6 [CO (Boc)], 157.1 [CO (Z)], 171.5 [α-CONH]; ES-MS m/z 715.6 [M+1]+; C39H50N6O7 (%): C: 65.53, H: 7.05, N: 11.76. Found (%): C: 65.71, H: 6.98, N: 11.89.
N-[2-[(2RS)-[(1S)-((tert-Butoxycarbonyl)amino)-2-phenylethyl]-5-oxopiperazin-1-yl]acetyl]-Lys(Z)-NHBn (7b). Foam (481 mg, 66%); HPLC tR: 21.56 min [(R)-7b] and 21.41 min [(S)-7b]; 1H-NMR (400 MHz, CDCl3) (R)-7b δ (ppm): 1.27 (s, 9H, Boc), 1.29 (m, 2H, γ-H), 1.44 (m, 2H, δ-H), 1.65 (m, 1H, β-H), 1.83 (m, 1H, β-H), 2.77 (m, 1H, CH2-Ph), 2.78 (m, 1H, 2-H), 2.95 (d, 1H, J = 10 Hz, CH2-Ph), 3.05 (m, 2H, ε-H), 3.20 (m, 1H, 6-H), 3.22 (m, 2H, CH2CO), 3.23 (m, 2H, 3-H), 3.35 (m, 1H, 6-H), 4.00 (m, 1H, 2-CH), 4.34 [dd, 1H, J = 8 and 15 Hz, CH2 (NHBn)], 4.40 [dd, 1H, J = 8 and 15 Hz, CH2 (NHBn)], 4.48 (m, 1H, α-H), 4.81 (d, 1H, J = 8 Hz, NHBoc), 5.03 [m, 2H, CH2 (Z)], 5.25 (m, 1H, NHZ), 6.85 (m, 1H, 4-H), 7.08–7.40 (m, 16H, Ar and NHBn), 7.79 (d, 1H, J = 8 Hz, α-NH). (S)-7b δ (ppm): 1.27 (s, 9H, Boc), 1.29 (m, 2H, γ-H), 1.44 (m, 2H, δ-H), 1.65 (m, 1H, β-H), 1.83 (m, 1H, β-H), 2.78 (m, 1H, 2-H), 3.10 (m, 1H, 6-H), 3.15 (m, 2H, CH2CO), 3.23 (m, 2H, 3-H), 3.36 (m, 1H, 6-H), 3.90 (m, 1H, 2-CH), 4.28, 4.42 [m, 2H, CH2 (NHBn)], 4.46 (m, 1H, α-H), 5.03 [m, 2H, CH2 (Z)], 5.25 (m, 1H, NHZ), 6.77 (m, 1H, 4-H), 7.08–7.40 (m, 16H, Ar and NHBn), 7.73 (d, 1H, J = 8 Hz, α-NH); 13C-NMR (100 MHz, CDCl3) (R)-7b δ (ppm): 22.6 [Cγ], 28.1 [3CH3 (Boc)], 29.2 [Cδ], 32.1 [Cβ], 37.6 [CH2-Ph], 39.5 [C3], 40.5 [Cε], 43.4 [CH2 (NHBn)], 51.6 [C2-CH], 52.7 [Cα], 53.9 [C6], 55.7 [CH2CO], 58.7 [C2], 66.4 [CH2 (Z)], 79.6 [C (Boc)], 126.7, 127.3, 127.6, 128.0, 128.5, 128.6, 129.2 [15CH (Ar)], 136.6 [C (Ph)], 137.1 [C (Z)], 138.1 [C (NHBn)], 155.6 [CO (Boc)], 156.5 [CO (Z)], 169.4 [C5], 169.8 [CO], 171.5 [α-CONH]. (S)-7b δ (ppm): 22.6 [Cγ], 28.1 [3CH3 (Boc)], 29.6 [Cδ], 31.8 [Cβ], 39.4 [C6], 43.4 [CH2 (NHBn)], 51.9 [C2-CH], 52.7 [Cα], 53.9 [C6], 55.7 [CH2CO], 59.0 [C2], 66.4 [CH2 (Z)], 79.7 [C (Boc)], 126.6, 127.3, 127.6, 128.0, 128.5, 128.6, 129.2 [15CH (Ar)], 136.6 [C (Ph)], 137.1 [C (Z)], 138.1 [C (NHBn)], 155.8 [CO (Boc)], 156.5 [CO (Z)], 169.4 [C5], 170.3 [CO], 171.6 [α-CONH]; ES-MS m/z 729.3 [M+1]+; C40H52N6O7 (%): C: 65.91, H: 7.19, N: 11.53. Found (%): C: 65.72, H: 7.40, N: 11.68.
3.5. General Procedure for the N-Boc Removal in 7a,b. Synthesis of the Hydrochlorides 8a,b
The epimeric corresponding epimeric mixture of piperazine derivatives 7a,b [(R:S) = (3:1)] (0.60 mmol) was dissolved in 3.4 N HCl in EtOAc (15 mL) and the mixture was stirred at room temperature for 30 min. Afterwards, the solvent was evaporated to dryness, the residue was dissolved in CH3CN/H2O (1:3, 5 mL), and the solution was lyophilized. The desired epimeric mixture of hydrochlorides [(R:S) = (3:1)] was obtained quantitatively.
N-[2-[(2RS)-[(1S)-Amino-2-phenylethyl]-5-oxopiperazin-1-yl]acetyl]-Orn(Z)-NHBn hydrochloride (8a). Amorphous solid (391 mg, 100%); HPLC tR: 14.86 min; 1H-NMR (400 MHz, DMSO-d6) (R)-8a δ (ppm): 1.30 (m, 2H, γ-H), 1.57 (m, 1H, β-H), 1.72 (m, 1H, β-H), 2.59 (dd, 1H, J = 9 and 14 Hz, CH2-Ph), 2.86 (dd, 1H, J = 6.5 and 14 Hz, CH2-Ph and 2-H), 2.95 (m, 4H, δ-H and 3-H), 3.02 (d, 1H, J = 18 Hz, 6-H), 3.23 (d, 1H, J = 16.5 Hz, CH2CO), 3.33 (d, 1H, J = 16.5 Hz, CH2CO), 3.52 (d, 1H, J = 18 Hz, 3-H), 4.16 (m, 1H, 2-CH), 4.28 (m, 1H, α-H), 4.40 [m, 2H, CH2 (NHBn)], 4.97 [m, 2H, CH2 (Z)], 7.15–7.40 (m, 16H, Ar and NHZ), 7.63 (m, 1H, 4-H), 8.03 (m, 3H, NH2·HCl), 8.14 (d, 1H, J = 8.5 Hz, α-NH), 8.51 (t, 1H, J = 6 Hz, NHBn). (S)-8a δ (ppm): 1.30 (m, 2H, γ-H), 1.57 (m, 1H, β-H), 1.72 (m, 1H, β-H), 4.32 (m, 1H, α-H), 4.40 [m, 2H, CH2 (NHBn)], 4.98 [m, 2H, CH2 (Z)], 7.15–7.40 (m, 16H, Ar and NHZ), 8.03 (m, 3H, NH2·HCl), 8.20 (m, 1H, α-NH), 8.57 (m, 1H, NHBn); 13C-NMR (100 MHz, DMSO-d6) (R)-8a δ (ppm): 26.1 [Cγ], 28.8 [Cβ], 34.9 [C3], 36.0 [CH2-Ph], 40.5 [Cδ], 42.0 [CH2 (NHBn)], 49.7 [C6], 50.2 [C2-CH], 52.4 [Cα], 55.9 [C2], 58.5 [CH2CO], 65.1 [CH2 (Z)], 126.7, 127.0, 127.7, 128.3, 128.4, 128.6, 128.8 [15CH (Ar)], 136.6 [C (Ph)], 137.2 [C (Z)], 139.4 [C (NHBn)], 156.1 [CO (Z)], 168.2 [C5], 169.7 [CO], 171.6 [α-CONH]. (S)-8a δ (ppm): 26.0 [Cγ], 28.8 [Cβ], 42.0 [CH2 (NHBn)], 52.3 [Cα], 65.1 [CH2 (Z)], 126.6, 127.1, 127.8, 128.3, 128.4, 128.6, 128.8 [15CH (Ar)], 136.6 [C (Ph)], 137.2 [C (Z)], 139.4 [C (NHBn)], 156.1 [CO (Z)], 171.6 [α-CONH]; ES-MS m/z 615.8 [M−Cl]+; C34H42N6O5·HCl (%): C: 62.71, H: 6.66, N: 12.91. Found (%): C: 62.53, H: 6.78, N: 12.98.
N-[2-[(2RS)-[(1S)-Amino-2-phenylethyl]-5-oxopiperazin-1-yl]acetyl]-Lys(Z)-NHBn hydrochloride (8b). Amorphous solid (399 mg, 100%); HPLC tR: 15.25 min; 1H-NMR (400 MHz, DMSO-d6) (R)-8b δ (ppm): 1.22 (m, 2H, γ-H), 1.35 (m, 2H, δ-H), 1.66 (m, 2H, β-H), 2.59 (dd, 1H, J = 9 and 14 Hz, CH2-Ph), 2.84 (m, 1H, CH2-Ph), 2.88 (m, 1H, 2-H), 3.94 (m, 2H, ε-H), 3.01 (m, 2H, 3-H), 3.02 (d, 1H, J = 18 Hz, 6-H), 3.23 (d, 1H, J = 16.5 Hz, CH2CO), 3.37 (d, 1H, J = 16.5 Hz, CH2CO), 3.54 (d, 1H, J = 18 Hz, 6-H), 4.18 (m, 1H, 2-CH), 4.24 [m, 2H, CH2 (NHBn)], 4.26 (m, 1H, α-H), 4.98 [m, 2H, CH2 (Z)], 7.14–7.41 (m, 16H, Ar and NHZ), 7.63 (m, 1H, 4-H), 8.07 (m, 3H, NH2·HCl), 8.15 (d, 1H, J = 8.5 Hz, α-NH), 8.55 (t, 1H, J = 6 Hz, NHBn). (S)-8b δ (ppm): 1.22 (m, 2H, γ-H), 1.35 (m, 2H, δ-H), 1.66 (m, 2H, β-H), 3.01 (m, 1H, 3-H), 3.37 (m, 1H, CH2CO), 3.38 (m, 1H, CH2CO), 3.55 (m, 1H, 6-H), 4.24 [m, 2H, CH2 (NHBn)], 4.26 (m, 1H, α-H), 4.98 [m, 2H, CH2 (Z)], 7.14–7.41 (m, 16H, Ar and NHZ), 8.07 (m, 3H, NH2·HCl), 8.23 (m, 1H, α-NH), 8.58 (m, 1H, NHBn); 13C-NMR (100 MHz, DMSO-d6) (R)-8b δ (ppm): 22.9 [Cγ], 29.0 [Cδ], 31.2 [Cβ], 34.8 [C3], 36.0 [CH2-Ph], 39.5 [Cε], 42.0 [CH2 (NHBn)], 49.6 [C6], 51.6 [C2-CH], 52.8 [Cα], 55.9 [C2], 58.5 [CH2CO], 65.1 [CH2 (Z)], 126.6, 127.0, 127.7, 128.2, 128.3, 128.6, 128.8 [15CH (Ar)], 136.6 [C (Ph)], 137.3 [C (Z)], 139.4 [C (NHBn)], 156.1 [CO (Z)], 168.2 [C5], 169.6 [CO], 171.7 [α-CONH]. (S)-8b δ (ppm): 22.9 [Cγ], 29.0 [Cδ], 31.2 [Cβ], 42.0 [CH2 (NHBn)], 49.6 [C6], 58.5 [CH2CO], 65.1 [CH2 (Z)], 126.6, 127.0, 127.7, 128.2, 128.3, 128.6, 128.8 [15CH (Ar)], 136.6 [C (Ph)], 137.3 [C (Z)], 139.4 [C (NHBn)], 156.1 [CO (Z)], 171.7 [α-CONH]; ES-MS m/z 629.7 [M-Cl]+; C35H44N6O5·HCl (%): C: 63.19, H: 6.82, N: 12.63. Found (%): C: 63.02, H: 6.94, N: 12.74.
3.6. General Procedure for the Synthesis of the Piperazinone-Derived Ureas 9a,b and 10a,b
Et3N (168 μL, 1.20 mmol) and the corresponding isocyanate (phenyl or benzyl isocyanate) (1.20 mmol) were added to a solution of the corresponding hydrochloride 8a,b (0.60 mmol) in dry THF (30 mL). After stirring for 1 h at room temperature, the solvent was removed under reduced pressure and the residue was dissolved in CH2Cl2 (100 mL). The solution was washed with H2O (2 × 20 mL), brine (20 mL), dried over Na2SO4, and evaporated to dryness. The residue was purified by flash chromatography using 1%–8% MeOH gradient in EtOAc as mobile phase. The respective (R)- and (S)-epimers were resolved in this purification. The purified compounds were dissolved in CH3CN/H2O (1:2, 2 mL) and the solution was lyophilized, to afford the desired ureas 9a,b and 10a,b.
N-[2-[5-Oxo-(2R)-[2-phenyl-(1S)-(3-phenylureido)ethyl]piperazin-1-yl]acetyl]-Orn(Z)-NHBn [(R)-9a]. Amorphous solid (176 mg, 46%);
= −0.1 (c 1, MeOH); HPLC tR: 20.30 min; 1H-NMR (400 MHz, CDCl3) δ (ppm): 1.30 (m, 2H, γ-H), 1.50 (m, 1H, β-H), 1.70 (m, 1H, β-H), 2.82 (m, 1H, CH2-Ph), 2.83 (m, 1H, δ-H), 2.84 (m, 1H, 2-H), 2.88 (m, 1H, CH2-Ph), 3.03 (m, 1H, CH2CO), 3.14 (m, 1H, 6-H), 3.35 (m, 1H, 6-H), 3.37 (m, 1H, 3-H), 3.24 (m, 1H, δ-H), 3.44 (m, 1H, CH2CO), 4.20 (m, 1H, 3-H), 4.25 (m, 1H, 2-CH), 4.26 [m, 1H, CH2 (NHBn)], 4.36 [m, 1H, CH2 (NHBn)], 4.60 (m, 1H, α-H), 4.82 [d, 1H, J = 12.5 Hz, CH2 (Z)], 4.91 [d, 1H, J = 12.5 Hz, CH2 (Z)], 5.25 (m, 1H, NHZ), 5.97 (m, 1H, 4-H), 6.12 (m, 1H, 2-CHNH), 6.91–7.35 (m, 20H, Ar), 7.46 (m, 1H, NHBn), 7.65 [m, 1H, NHPh], 7.88 (m, 1H, α-NH); 13C-NMR (100 MHz, CDCl3) δ (ppm): 26.7 [Cγ], 29.9 [Cβ], 37.9 [CH2-Ph], 39.7 [Cδ], 40.1 [C3], 43.7 [CH2 (NHBn)], 51.6 [C2-CH], 52.0 [Cα], 54.9 [C6], 57.8 [CH2CO], 59.6 [C2], 67.0 [CH2 (Z)], 116.7, 119.7, 123.0, 127.0, 127.9, 120.4, 128.8, 129.0, 129.3 [20CH (Ar)], 134.3 [C (Ph)], 136.1 [C (Z)], 137.9 [C (NHBn)], 139.5 [C (NHPh)], 157.2 [CO (Z) and CO (Urea)], 168.7 [C5], 170.0 [CO], 171.1 [α-CONH]; ES-MS m/z 734.4 [M+1]+; C41H47N7O6 (%): C: 67.10, H: 6.46, N: 13.36. Found (%): C: 67.28, H: 6.59, N: 13.19.

N-[2-[5-Oxo-(2S)-[2-phenyl-(1S)-(3-phenylureido)ethyl]piperazin-1-yl]acetyl]-Orn(Z)-NHBn [(S)-9a]. Amorphous solid (79 mg, 18%);
= +9.2 (c 1.5, MeOH); tR: 21.41 min; 1H-NMR (500 MHz, CDCl3) δ (ppm): 1.32 (m, 1H, γ-H), 1.40 (m, 1H, γ-H), 1.53 (m, 1H, β-H), 1.72 (m, 1H, β-H), 2.54 (dd, 1H, J = 11 and 13.5 Hz, CH2-Ph), 2.90 (dd, 1H, J = 4 and 13.5 Hz, CH2-Ph), 2.92 (m, 1H, δ-H), 3.08 (m, 1H, 5-H), 3.10 (m, 1H, 3-H), 3.14 (m, 1H, 6-H), 3.32 (m, 2H, CH2CO), 3.35 (m, 1H, δ-H), 3.54 (d, 1H, J = 18 Hz, 6-H), 3.92 (m, 1H, 2-CH), 3.95 (m, 1H, 3-H), 4.28 [dd, 1H, J = 5 and 15 Hz, CH2 (NHBn)], 4.44 [dd, 1H, J = 6 and 15 Hz, CH2 (NHBn)], 4.60 [d, 1H, J = 13 Hz, CH2 (Z)], 4.71 (m, 1H, α-H), 4.83 [d, 1H, J = 13 Hz, CH2 (Z)], 4.95 (m, 1H, NHZ), 5.67 (m, 1H, 4-H), 5.94 (d, 1H, J = 6 Hz, 2-CHNH), 6.83–7.35 (m, 20H, Ar), 7.53 (m, 1H, NHBn), 7.93 [m, 1H, NHPh], 7.97 (d, 1H, J = 8.5 Hz, α-NH); 13C-NMR (125 MHz, CDCl3) δ (ppm): 26.4 [Cγ], 31.1 [Cβ], 35.8 [C3], 37.8 [CH2-Ph], 38.9 [Cδ], 43.8 [CH2 (NHBn)], 50.8 [Cα], 51.9 [C6], 52.3 [C2-CH], 57.7 [CH2CO], 58.6 [C2], 66.7 [CH2 (Z)], 118.3, 122.2, 127.5, 127.8, 128.2, 128.5, 128.8, 128.9, 129.0, 129.3 [20CH (Ar)], 135.6 [C (Ph)], 136.2 [C (Z)], 137.3 [C (NHBn)], 139.6 [C (NHPh)], 155.6 [CO (Z)], 157.6 [CO (Urea)], 168.8 [C5], 169.2 [CO], 172.9 [α-CONH]; ES-MS m/z 734.5 [M+1]+; C41H47N7O6 (%): C: 67.10, H: 6.46, N: 13.36. Found (%): C: 67.21, H: 6.30, N: 13.49.

N-[2-[5-Oxo-(2R)-[2-phenyl-(1S)-(3-phenylureido)ethyl]piperazin-1-yl]acetyl]-Lys(Z)-NHBn [(R)-9b]. Amorphous solid (206 mg, 46%);
= −3.7 (c 1.5, MeOH); HPLC tR: 20.09 min; 1H-NMR (400 MHz, CDCl3) δ (ppm): 1.30 (m, 2H, γ-H), 1.40 (m, 2H, δ-H), 1.50 (m, 1H, β-H), 1.73 (m, 1H, β-H), 2.80 (m, 1H, CH2-Ph), 2.87 (m, 1H, CH2-Ph), 2.85 (m, 1H, ε-H), 2.92 (m, 1H, 2-H), 3.03 (m, 1H, CH2CO), 3.16 (m, 1H, 6-H), 3.20 (m, 2H, 3-H and ε-H), 3.38 (m, 1H, 6-H), 3.44 (m, 1H, CH2CO), 4.25 (m, 1H, 3-H), 4.28 (m, 1H, 2-CH), 4.30 [m, 1H, CH2 (NHBn)], 4.38 [m, 1H, CH2 (NHBn)], 4.50 (m, 1H, α-H), 5.01 [m, 2H, CH2 (Z)], 5.27 (m, 1H, NHZ), 5.98 (m, 1H, 2-CHNH), 6.23 (m, 1H, 4-H), 6.78–7.59 (m, 21H, Ar and NHBn), 7.64 (m, 1H, NHPh), 7.90 (m, 1H, α-NH); 13C-NMR (100 MHz, CDCl3) δ (ppm): 23.1 [Cγ], 29.3 [Cδ], 31.9 [Cβ], 38.3 [CH2-Ph], 39.6 [C3], 40.7 [Cε], 43.6 [CH2 (NHBn)], 51.7 [C6], 53.9 [C2-CH], 54.8 [Cα], 59.2 [CH2CO], 59.8 [C2], 66.8 [CH2 (Z)], 119.2, 119.9, 123.1, 127.1, 127.5, 127.6, 127.7, 128.1, 128.4, 128.8, 128.9, 129.0, 129.1 [20CH (Ar)], 136.8 [C (Ph)], 137.5 [C (Z)], 138.2 [C (NHBn)], 139.2 [C (NHPh)], 156.1 [CO (Z)], 156.9 [CO (Urea)], 170.5 [C5 and CO], 172.4 [α-CONH]; ES-MS m/z 748.6 [M+1]+; C42H49N7O6 (%): C: 67.45, H: 6.60, N: 13.11. Found (%): C: 67.62, H: 6.74, N: 13.02.

N-[2-[5-Oxo-(2S)-[2-phenyl-(1S)-(3-phenylureido)ethyl]piperazin-1-yl]acetyl]-Lys(Z)-NHBn [(S)-9b]. Amorphous solid (67 mg, 15%);
= +6.7 (c 0.9, MeOH); HPLC tR: 21.76 min; 1H-NMR (500 MHz, CDCl3) δ (ppm): 1.23 (m, 2H, γ-H), 1.34 (m, 2H, δ-H), 1.67 (m, 1H, β-H), 1.82 (m, 1H, β-H), 2.58 (t, 1H, J = 12.5 Hz, CH2-Ph), 2.87 (m, 1H, CH2-Ph), 2.90 (m, 1H, ε-H), 2.98 (m, 1H, 2-H), 3.05 (m, 1H, ε-H), 3.10 (m, 1H, 3-H), 3.18 (m, 1H, 6-H), 3.30 (m, 1H, CH2CO), 3.42 (m, 1H, CH2CO), 3.62 (m, 1H, 6-H), 3.95 (m, 1H, 2-CH), 4.05 (m, 1H, 3-H), 4.35 [m, 1H, CH2 (NHBn)], 4.50 [m, 2H, CH2 (NHBn) and α-H], 4.98 [m, 2H, CH2 (Z)], 5.02 (m, 1H, NHZ), 5.69 (m, 1H, 2-CHNH), 5.81 (m, 1H, 4-H), 6.94 (t, 1H, J = 7.5 Hz, NHBn), 6.98–7.14 (m, 20H, Ar), 7.98 (m, 1H, NHPh), 8.09 (m, 1H, α-NH); 13C-NMR (125 MHz, CDCl3) δ (ppm): 22.2 [Cγ], 29.1 [Cδ], 32.6 [Cβ], 35.7 [C3], 37.7 [CH2-Ph], 40.2 [Cε], 43.8 [CH2 (NHBn)], 52.0 [C6 and C2-CH], 52.8 [Cα], 57.8 [CH2CO], 58.7 [C2], 66.5 [CH2 (Z)], 118.4, 122.3, 127.7, 127.8, 128.1, 128.5, 128.9, 129.0, 129.3 [20CH (Ar)], 135.6 [C (Ph)], 136.5 [C (Z)], 137.1 [C (NHBn)], 139.6 [C (NHPh)], 155.6 [CO (Z)], 156.7 [CO (Urea)], 168.6 [C5], 169.9 [CO], 172.0 [α-CONH]; ES-MS m/z 748.7 [M+1]+; C42H49N7O6 (%): C: 67.45, H: 6.60, N: 13.11. Found (%): C: 67.31, H: 6.81, N: 13.25.

N-[2-[-(2R)-[(1S)-(3-Benzylureido)-2-phenylethyl]-5-oxo-piperazin-1-yl]acetyl]-Orn(Z)-NHBn [(R)-10a]. Amorphous solid (170 mg, 38%);
= −3.8 (c 1.2, MeOH); HPLC tR: 20.79 min; 1H-NMR (400 MHz, CDCl3) δ (ppm): 1.40 (m, 2H, γ-H), 1.55 (m, 1H, β-H), 1.70 (m, 1H, β-H), 2.57 (dd, 1H, J = 11 and 13.5, CH2-Ph), 2.86 (dd, 1H, J = 3.5 and 13.5, CH2-Ph), 3.00 (m, 1H, 2-H), 3.04 (m, 1H, δ-H), 3.09 (m, 1H, 3-H), 3.15 (m, 1H, 3-H), 3.25 (m, 2H, CH2CO), 3.32 (m, 1H, δ-H), 3.50 (d, 1H, J = 18 Hz, 6-H), 3.85 (m, 1H, 3-H), 3.94 (m, 1H, 2-CH), 4.17 [dd, 1H, J = 5 and 15 Hz, CH2 (NHBn)], 4.23 [dd, 1H, J = 6 and 15 Hz, CH2 (NHBn)], 4.27 [dd, 1H, J = 5 and 15 Hz, CH2 (NHBn, Urea)], 4.36 [dd, 1H, J = 5.5 and 15 Hz, CH2 (NHBn, Urea)], 4.66 (m, 1H, α-H), 4.79 [d, 1H, J = 13 Hz, CH2 (Z)], 4.89 [d, 1H, J = 13 Hz, CH2 (Z)], 5.30 (t, 1H, J = 6 Hz, NHZ), 5.75 (m, 1H, 2-CHNH), 5.90 (m, 1H, 4-H), 6.07 [t, 1H, J = 5.5 Hz, NHBn (Urea)], 7.08–7.39 (m, 20H, Ar), 7.50 (t, 1H, J = 5.5 Hz, NHBn), 7.99 [d, 1H, J = 8.5, α-NH); 13C-NMR (100 MHz, CDCl3) δ (ppm): 26.1 [Cγ], 30.6 [Cβ], 35.8 [C3], 37.5 [CH2-Ph], 39.3 [Cδ], 43.5 [CH2 (NHBn)], 44.4 [CH2 (NHBn, Urea)], 51.0 [Cα], 51.8 [C6], 52.5 [C2-CH], 57.5 [CH2CO], 58.3 [C2], 66.5 [CH2 (Z)], 127.0, 127.4, 127.5, 127.8, 128.1, 128.4, 128.5, 128.7, 129.0, 129.2 [20CH (Ar)], 135.8 [C (Ph)], 136.5 [C (Z)], 137.5 [C (NHBn)], 139.6 [C (NHBn, Urea)], 157.2 [CO (Z)], 158.5 [CO (Urea)], 168.9 [C5], 170.0 [CO], 172.2 [α-CONH]; ES-MS m/z 748.6 [M+1]+; C42H49N7O6 (%): C: 67.45, H: 6.60, N: 13.11. Found (%): C: 67.28, H: 6.82, N: 13.20.

N-[2-[-(2S)-[(1S)-(3-Benzylureido)-2-phenylethyl]-5-oxo-piperazin-1-yl]acetyl]-Orn(Z)-NHBn [(S)-10a]. Amorphous solid (76 mg, 17%);
= −8.2 (c 1.0, MeOH); HPLC tR: 20.09 min; 1H-NMR (500 MHz, (CD3)2CO) δ (ppm): 1.55 (m, 2H, γ-H), 1.71 (m, 1H, β-H), 1.87 (m, 1H, β-H), 2.80 (dd, 1H, J = 10 and 14, CH2-Ph), 2.98 (dd, 1H, J = 6 and 13, 2-H), 3.06 (dd, 1H, J = 4 and 14, CH2-Ph), 3.12 (m, 1H, δ-H), 3.16 (d, 1H, J = 16.5 Hz, 6-H), 3.35 (s, 2H, CH2CO), 3.40 (d, 1H, J = 16.5 Hz, 6-H), 3.42 (m, 1H, 3-H), 3.51 (ddd, 1H, J = 4, 13 and 15 Hz, 3-H), 4.16 [dd, 1H, J = 6 and 15 Hz, CH2 (NHBn, Urea)], 4.27 [dd, 1H, J = 5.5 and 15 Hz, CH2 (NHBn, Urea)], 4.38 (m, 1H, 2-CH), 4.33 [d, 2H, J = 6 Hz, CH2 (NHBn)], 4.56 (dt, 1H, J = 5 and 9 Hz, α-H), 5.00 [d, 1H, J = 4.5 Hz, CH2 (Z)], 4.89 [d, 1H, J = 13 Hz, CH2 (Z)], 6.00 [t, 1H, J = 6 Hz, NHBn (Urea)], 5.89 (d, 1H, J = 9 Hz, 2-CHNH), 5.90 (m, 1H, 4-H), 6.46 (t, 1H, J = 5.5 Hz, NHZ), 7.07–7.35 (m, 21H, Ar and 1-H), 8.03 (t, 1H, J = 6 Hz, NHBn), 8.14 [d, 1H, J = 8.5, α-NH); 13C-NMR (125 MHz, (CD3)2CO) δ (ppm): 27.8 [Cγ], 31.5 [Cβ], 39.4 [CH2-Ph], 40.9 [C3], 41.6 [Cδ], 44.1 [CH2 (NHBn)], 44.8 [CH2 (NHBn, Urea)], 53.5 [C2-CH], 54.1 [Cα], 55.9 [C6], 59.6 [CH2CO], 62.5 [C2], 67.1 [CH2 (Z)], 127.6, 128.0, 128.3, 128.4, 128.8, 129.2, 129.3, 129.7, 129.8, 130.9 [20CH (Ar)], 139.2 [C (Z)], 140.5 [C (Ph)], 140.9 [C (NHBn)], 142.3 [C (NHBn, Urea)], 158.1 [CO (Z)], 159.8 [CO (Urea)], 170.7 [C5], 171.5 [CO], 173.5 [α-CONH]; ES-MS m/z 748.4 [M+1]+; C42H49N7O6 (%): C: 67.45, H: 6.60, N: 13.11. Found (%): C: 67.60, H: 6.85, N: 13.01.

N-[2-[(2R)-[(1S)-(3-Benzylureido)-2-phenylethyl]-5-oxo-piperazin-1-yl]acetyl]-Lys(Z)-NHBn [(R)-10b]. Amorphous solid (165 mg, 36%);
= −5.6 (c 0.8, MeOH); HPLC tR: 21.05 min; 1H-NMR (400 MHz, CDCl3) δ (ppm): 1.25 (m, 2H, γ-H), 1.42 (m, 2H, δ-H), 1.59 (dt, 1H, J = 7.5 and 14 Hz, β-H), 1.75 (m, 1H, β-H), 2.54 (dd, 1H, J = 11 and 13 Hz, CH2-Ph), 2.86 (dd, 1H, J = 2.5 and 13 Hz, CH2-Ph), 3.01 (m, 1H, 2-H), 3.04 (m, 1H, ε-H), 3.10 (m, 1H, ε-H), 3.12 (m, 1H, 6-H), 3.16 (m, 1H, 3-H), 3.22 (m, 1H, CH2CO), 3.28 (m, 1H, CH2CO), 3.53 (d, 1H, J = 18 Hz, 6-H), 3.86 (m, 1H, 3-H), 3.94 (m, 1H, 2-CH), 4.24 [d, 2H, J = 5.5 Hz, CH2 (NHBn)], 4.27 [d, 1H, J = 4.5 Hz, CH2 (NHBn, Urea)], 4.37 [d, 1H, J = 4.5 Hz, CH2 (NHBn, Urea)], 4.43 (m, 1H, α-H), 5.00 [d, 2H, J = 7 Hz, CH2 (Z)], 5.24 (t, 1H, J = 5 Hz, NHZ), 5.66 (m, 1H, 2-CHNH), 5.77 (m, 1H, 4-H), 6.04 [m, 1H, (NHBn, Urea)], 7.09–7.41 (m, 21H, Ar and NHBn), 7.97 (d, 1H, J = 8 Hz, α-NH); 13C-NMR (100 MHz, CDCl3) δ (ppm): 22.4 [Cγ], 29.2 [Cδ], 32.5 [Cβ], 35.9 [C3], 37.5 [CH2-Ph], 40.4 [Cε], 43.6 [CH2 (NHBn)], 44.2 [CH2 (NHBn, Urea)], 51.7 [C6], 52.4 [C2-CH], 52.6 [Cα], 57.7 [CH2CO], 58.5 [C2], 66.6 [CH2 (Z)], 127.1, 127.5, 127.6, 127.7, 127.9, 128.1, 128.5, 128.7, 129.0, 129.2 [20CH (Ar)], 135.8 [C (Ph)], 136.5 [C (Z)], 137.4 [C (NHBn)], 139.6 [C (NHBn, Urea)], 156.7 [CO (Z)], 158.3 [CO (Urea)], 168.6 [C5], 169.9 [CO], 172.0 [α-CONH]; ES-MS m/z 763.2 [M+1]+; C43H51N7O6 (%): C: 67.79, H: 6.75, N: 12.87. Found (%): C: 67.60, H: 7.01, N: 12.69.

N-[2-[(2S)-[(1S)-(3-Benzylureido)-2-phenylethyl]-5-oxo-piperazin-1-yl]acetyl]-Lys(Z)-NHBn [(S)-10b]. Amorphous solid (59 mg, 13%);
= −11.2 (c 0.9, MeOH); HPLC tR: 20.47 min; 1H-NMR (500 MHz, (CD3)2CO) δ (ppm): 1.30 (m, 2H, δ-H), 1.56 (m, 2H, γ-H), 1.68 (m, 1H, β-H), 1.83 (m, 1H, β-H), 2.82 (m, 1H, CH2-Ph), 3.02 (m, 1H, 2-H), 3.05 (m, 1H, CH2-Ph), 3.18 (m, 3H, ε-H and 6-H), 3.37 (m, 2H, CH2CO), 3.16 (m, 1H, 3-H), 3.40 (m, 1H, 6-H), 3.55 (m, 2H, 3-H), 4.15 [m, 1H, CH2 (NHBn, Urea)], 4.25 [m, 1H, CH2 (NHBn, Urea)], 4.28 [m, 2H, CH2 (NHBn)], 4.40 (m, 1H, 2-CH), 4.51 (m, 1H, α-H), 5.00 [m, 2H, CH2 (Z)], 5.98 (d, 1H, J = 7 Hz, 2-CHNH), 6.04 [m, 1H, (NHBn, Urea)], 6.45 (m, 1H, NHZ), 7.03 (m, 1H, 4-H), 7.08–7.41 (m, 20H, Ar), 8.04 (m, 1H, NHBn), 8.15 (d, 1H, J = 8.5 Hz, α-NH); 13C-NMR (125 MHz, (CD3)2CO) δ (ppm): 26.2 [Cγ], 29.7 [Cδ], 29.9 [Cβ], 37.9 [CH2-Ph], 39.2 [C3], 39.9 [Cε], 42.5 [CH2 (NHBn)], 43.2 [CH2 (NHBn, Urea)], 52.0 [C2-CH], 52.6 [Cα], 54.4 [C6], 57.6 [CH2CO], 61.0 [C2], 65.5 [CH2 (Z)], 126.1, 126.5, 126.6, 126.8, 127.3, 127.7, 127.8, 128.3, 128.4, 129.3, 129.6 [20CH (Ar)], 137.5 [C (Z)], 138.9 [C (Ph)], 139.4 [C (NHBn)], 140.7 [C (NHBn, Urea)], 156.5 [CO (Z)], 158.3 [CO (Urea)], 169.0 [C5], 169.7 [CO], 171.9 [α-CONH]; ES-MS m/z 763.3 [M+1]+; C43H51N7O6 (%): C: 67.79, H: 6.75, N: 12.87. Found (%): C: 67.96, H: 6.93, N: 12.70.

3.7. General Procedure for the N-Z Removal in 9a,b and 10a,b. Synthesis of the Hydrochlorides (R)-(11a,b and 12a,b) and (S)-(11a,b and 12a,b)
Pd(C) (10%) and a 3.4 N solution of HCl in EtOAc (134 μL, 0.40 mmol) were added to a solution of (R)-(9a,b and -10a,b) and (S)-(9a,b and 10a,b) (0.20 mmol) in MeOH (5 mL), and the mixture was hydrogenated at 1 atm of H2 and room temperature for 1 h. Afterwards, the reaction mixture was filtered through celite and the solvent was evaporated under reduced pressure. The residue was dissolved in CH3CN/H2O (1:3, 2 mL) and the solution was lyophilized. (R)-(11a,b and 12a,b) and (S)-(11a,b and 12a,b) were obtained quantitatively.
N-[2-[5-Oxo-(2R)-[2-phenyl-(1S)-(3-phenylureido)ethyl]piperazin-1-yl]acetyl]-Orn-NHBn hydrochloride [(R)-11a]. Amorphous solid (127 mg, 100%);
= +1.7 (c 0.7, MeOH); HPLC tR: 14.65 min; 1H-NMR (500 MHz, DMSO-d6) δ (ppm): 1.58 (m, 2H, γ-H), 1.63 (m, 1H, β-H), 1.80 (m, 1H, β-H), 2.62 (m, 1H, CH2-Ph), 2.63 (m, 1H, 2-H), 2.73 (m, 1H, CH2-Ph), 2.75 (m, 2H, δ-H), 3.05 (m, 1H, 3-H), 3.38 (m, 1H, 6-H), 3.40 (m, 2H, CH2CO and 3-H), 3.50 (m, 1H, CH2CO), 3.55 (m, 1H, 6-H), 4.05 (m, 1H, 2-CH), 4.24 [dd, 1H, J = 6 and 15 Hz, CH2 (NHBn)], 4.31 [dd, 1H, J = 6 and 15 Hz, CH2 (NHBn)], 4.39 (dd, 1H, J = 5 and 8 Hz, α-H), 6.58 (m, 1H, 2-CHNH), 6.80–7.35 (m, 15H, Ar), 7.86 (m, 4H, 4-H and NH2·HCl), ], 8.20 (m, 1H, α-NH), 8.65 (m, 1H, NHBn), 8.74 [m, 1H, NHPh]; 13C-NMR (125 MHz, DMSO-d6) δ (ppm): 23.5 [Cγ], 29.2 [Cβ], 38.2 [Cδ], 42.0 [CH2 (NHBn)], 51.5 [Cα], 117.6, 121.1, 126.1, 126.8, 127.1, 128.1, 128.3, 128.6, 129.3 [15CH (Ar)], 139.1 [C (NHBn)], 140.2 [C (NHPh)], 155.1 [CO (Urea)], 171.0 [α-CONH]; ES-MS m/z [M]+ calculated for C33H41N7O4: 600.2; found: 600.5.

N-[2-[5-Oxo-(2S)-[2-phenyl-(1S)-(3-phenylureido)ethyl]piperazin-1-yl]acetyl]-Orn-NHBn hydrochloride [(S)-11a]. Amorphous solid (127 mg, 100%);
= −1.6 (c 1.1, MeOH); HPLC tR: 15.07 min; 1H-NMR (500 MHz, DMSO-d6) δ (ppm): 1.48 (m, 2H, γ-H), 1.58 (m, 1H, β-H), 1.74 (m, 1H, β-H), 2.62 (m, 2H, δ-H), 2.79 (m, 1H, CH2-Ph), 2.83 (m, 1H, 2-H), 2.89 (m, 1H, CH2-Ph), 3.00 (m, 1H, 3-H), 3.35 (m, 1H, CH2CO), 3.40 (m, 1H, 6-H), 3.42 (m, 1H, 3-H), 3.50 (m, 1H, CH2CO), 3.65 (m, 1H, 6-H), 4.04 (m, 1H, 2-CH), 4.25 [d, 2H, J = 6, CH2 (NHBn)], 4.31 (dd, 1H, J = 5 and 8 Hz, α-H), 6.70 (m, 1H, 2-CHNH), 6.79–7.49 (m, 15H, Ar), 7.81 (m, 4H, 4-H and NH2·HCl), ], 8.21 (m, 1H, α-NH), 8.65 (t, 1H, J = 6 Hz, NHBn), 8.92 [m, 1H, NHPh]; 13C-NMR (125 MHz, DMSO-d6) δ (ppm): 23.4 [Cγ], 28.9 [Cβ], 38.1 [Cδ], 42.0 [CH2 (NHBn)], 51.5 [Cα], 117.6, 121.1, 126.4, 126.7, 127.0, 128.2, 128.4, 128.6, 129.0 [15CH (Ar)], 137.0 [C (Ph)], 139.1 [C (NHBn)], 140.3 [C (NHPh)], 155.3 [CO (Urea)], 170.9 [α-CONH]; ES-MS m/z [M]+ calculated for C33H41N7O4: 600.2; found: 600.5.

N-[2-[5-Oxo-(2R)-[2-phenyl-(1S)-(3-phenylureido)ethyl]piperazin-1-yl]acetyl]-Lys-NHBn hydrochloride [(R)-11b]. Amorphous solid (130 mg, 100%);
= −3.0 (c 1.7, MeOH); HPLC tR: 14.97 min; 1H-NMR (500 MHz, DMSO-d6) δ (ppm): 1.27 (m, 2H, γ-H), 1.52 (m, 2H, δ-H), 1.58 (m, 1H, β-H), 1.70 (m, 1H, β-H), 2.61 (m, 1H, CH2-Ph), 2.72 (m, 1H, ε-H), 2.84 (m, 1H, 2-H), 2.92 (m, 1H, ε-H), 2.95 (m, 1H, CH2-Ph), 3.00 (m, 2H, 3-H), 3.38 (m, 1H, 3-H), 3.40 (m, 1H, CH2CO), 3.42 (m, 1H, 6-H), 3.50 (m, 1H, CH2CO), 3.54 (m, 1H, 3-H), 4.22 [m, 1H, CH2 (NHBn)], 4.23 (m, 1H, 2-CH), 4.31 [m, 1H, CH2 (NHBn)], 4.32 (m, 1H, α-H), 6.80–7.37 (m, 16H, Ar and 2-CHNH), 7.88 (m, 4H, NH2·HCl and 4-H), 8.17 (m, 1H, α-NH), 8.61 (t, 1H, J = 6 Hz, NHBn), 8.90 (m, 1H, NHPh); 13C-NMR (125 MHz, DMSO-d6) δ (ppm): 22.2 [Cγ], 26.5 [Cδ], 30.7 [Cβ], 38.4 [Cε], 42.0 [CH2 (NHBn)], 52.5 [Cα], 117.7, 121.3, 126.3, 126.7, 127.0, 128.2, 128.3, 128.5, 129.2 [15CH (Ar)], 138.1 [C (Ph)], 139.2 [C (NHBn)], 140.0 [C (NHPh)], 155.3 [CO (Urea)], 171.3 [α-CONH]; ES-MS m/z [M]+ calculated for C34H43N7O4: 614.2; found: 614.5.

N-[2-[5-Oxo-(2S)-[2-phenyl-(1S)-(3-phenylureido)ethyl]piperazin-1-yl]acetyl]-Lys-NHBn hydrochloride [(S)-11b]. Amorphous solid (130 mg, 100%);
= −4.2 (c 0.4, MeOH); HPLC tR: 15.21 min; 1H-NMR (500 MHz, DMSO-d6) δ (ppm): 1.29 (m, 2H, γ-H), 1.50 (m, 2H, δ-H), 1.55 (m, 1H, β-H), 1.73 (m, 1H, β-H), 2.72 (m, 1H, CH2-Ph), 2.72 (m, 1H, ε-H), 2.74 (m, 2H, 3-H), 2.80 (m, 1H, ε-H), 2.89 (m, 1H, CH2-Ph), 2.90 (m, 1H, 2-H), 3.13 (m, 1H, CH2CO), 3.29 (m, 1H, 3-H), 3.33 (m, 1H, 6-H), 3.42 (m, 1H, CH2CO), 3.63 (m, 1H, 6-H), 4.10 (m, 1H, 2-CH), 4.18 [m, 1H, CH2 (NHBn)], 4.20 (m, 1H, α-H), 4.35 [m, 1H, CH2 (NHBn)], 6.55 (m, 1H, 2-CHNH), 6.80–7.40 (m, 16H, Ar), 7.69 (m, 4H, NH2·HCl and 4-H), 7.92 (d, 1H, J = 9 Hz, α-NH), 8.56 (m, 1H, NHBn), 8.70 (m, 1H, NHPh); 13C-NMR (125 MHz, DMSO-d6) δ (ppm): 22.1 [Cγ], 26.8 [Cδ], 30.7 [Cβ], 38.5 [Cε], 42.0 [CH2 (NHBn)], 51.6 [Cα], 116.5, 118.0, 127.0, 127.2, 127.5, 128.7, 128.9, 129.1, 129.5 [15CH (Ar)], 138.2 [C (Ph)], 139.4 [C (NHBn)], 140.0 [C (NHPh)], 171.2 [α-CONH]; ES-MS m/z [M]+ calculated for C34H43N7O4: 614.2; found: 614.5.

N-[2-[(2R)-[(1S)-(3-Benzylureido)-2-phenylethyl]-5-oxo-piperazin-1-yl]acetyl]-Orn-NHBn hydrochloride [(R)-12a]. Amorphous solid (130 mg, 100%);
= −7.9 (c 1.3, MeOH); HPLC tR: 14.67 min; 1H-NMR (500 MHz, DMSO-d6) δ (ppm): 1.56 (m, 3H, γ-H and β-H), 1.78 (m, 1H, β-H), 2.60–3.16 (m, 6H, CH2-Ph, 2-H, δ-H and 3-H), 3.20–3.86 (m, 5H, 3-H, 6-H and CH2CO), 4.04 (m, 1H, 2-CH), 4.20 [m, 2H, CH2 (NHBn, Urea)], 4.26 [d, 2H, J = 6 Hz, CH2 (NHBn)], 4.34 (dd, 1H, J = 5 and 8 Hz, α-H), 6.53 (m, 1H, 2-CHNH), 6.74 [m, 1H, NHBn (Urea)], 7.18–7.33 (m, 15H, Ar), 7.92 (m, 4H, NH2·HCl and 4-H), 8.34 [m, 1H, α-NH), 8.70 (t, 1H, J = 6 Hz, NHBn); 13C-NMR (125 MHz, DMSO-d6) δ (ppm): 23.8 [Cγ], 29.5 [Cβ], 39.5 [Cδ], 42.5 [CH2 (NHBn)], 43.4 [CH2 (NHBn, Urea)], 52.0 [Cα], 126.9, 127.0, 127.2, 127.4, 127.5, 128.6, 128.7, 128.9, 129.3 [15CH (Ar)], 137.5 [C (Ph)], 139.6 [C (NHBn)], 141.0 [C (NHBn, Urea)], 158.7 [CO (Urea)], 171.4 [α-CONH]; ES-MS m/z [M]+ calculated for C34H43N7O4: 614.2; found: 614.5.

N-[2-[(2S)-[(1S)-(3-Benzylureido)-2-phenylethyl]-5-oxo-piperazin-1-yl]acetyl]-Orn-NHBn hydrochloride [(S)-12a]. Amorphous solid (130 mg, 100%);
= −3.2 (c 1.2, MeOH); HPLC tR: 15.01 min; 1H-NMR (500 MHz, DMSO-d6) δ (ppm): 1.58 (m, 3H, γ-H), 1.60 (m, 1H, β-H) 1.88 (m, 1H, β-H), 2.52–3.97 (m, 6H, CH2-Ph, 2-H, δ-H and 3-H), 3.24–3.69 (m, 5H, 3-H, 6-H and CH2CO), 4.03 (m, 1H, 2-CH), 4.05 [m, 1H, CH2 (NHBn, Urea)], 4.20 [m, 1H, CH2 (NHBn, Urea)], 4.25 [m, 2H, CH2 (NHBn)], 4.39 (m, 1H, α-H), 6.48 (m, 1H, 2-CHNH), 6.96–7.36 [m, 16H, Ar and NHBn (Urea)], 7.90 (m, 4H, NH2·HCl and 4-H), 8.30 [m, 1H, α-NH), 8.70 (m, 1H, NHBn); 13C-NMR (125 MHz, DMSO-d6) δ (ppm): 23.9 [Cγ], 29.6 [Cβ], 38.7 [Cδ], 42.5 [CH2 (NHBn)], 43.1 [CH2 (NHBn, Urea)], 52.1 [Cα], 126.5, 126.8, 127.0, 127.1, 127.5, 128.5, 128.7, 129.7 [15CH (Ar)], 139.6 [C (NHBn)], 141.0 [C (NHBn, Urea)], 158.5 [CO (Urea)], 171.3 [α-CONH]; ES-MS m/z [M]+ calculated for C34H43N7O4: 614.2; found: 614.5.

N-[2-[(2R)-[(1S)-(3-Benzylureido)-2-phenylethyl]-5-oxo-piperazin-1-yl]acetyl]-Lys-NHBn hydrochloride [(R)-12b]. Amorphous solid (133 mg, 100%);
= −4.3 (c 0.6, MeOH); HPLC tR: 14.80 min; 1H-NMR (500 MHz, DMSO-d6) δ (ppm): 1.21 (m, 2H, γ-H), 1.49 (m, 2H, δ-H), 1.57 (m, 1H, β-H), 1.69 (m, 1H, β-H), 2.68 (m, 2H, ε-H), 2.75 (m, 1H, CH2-Ph), 2.80 (m, 1H, 2-H), 2.82 (m, 1H, CH2-Ph), 3.02 (m, 1H, 3-H), 3.25 (m, 1H, CH2CO), 3.37 (m, 1H, 6-H), 3.40 (m, 2H, CH2CO and 3-H), 3.60 (m, 1H, 6-H), 3.98 (m, 1H, 2-CH), 4.20 [m, 2H, CH2 (NHBn, Urea)], 4.24 (m, 1H, α-H), 4.25 [m, 2H, CH2 (NHBn)], 6.35 (m, 1H, 2-CHNH), 6.59 [m, 1H, (NHBn, Urea)], 7.08–7.35 (m, 15H, Ar), 7.82 (m, 4H, NH2·HCl and 4-H), 8.08 (m, 1H, α-NH), 8.57 (t, 1H, J = 6 Hz, NHBn); 13C-NMR (125 MHz, DMSO-d6) δ (ppm): 22.1 [Cγ], 26.5 [Cδ], 31.4 [Cβ], 38.5 [Cε], 42.0 [CH2 (NHBn)], 42.9 [CH2 (NHBn, Urea)], 52.0 [Cα], 126.4, 126.5, 126.7, 126.9, 127.0, 128.2, 128.4, 129.1 [15CH (Ar)], 137.3 [C (Ph)], 139.3 [C (NHBn)], 140.7 [C (NHBn, Urea)], 158.0 [CO (Urea)], 171.2 [α-CONH]; ES-MS m/z [M]+ calculated for C35H45N7O4: 628.2; found: 628.5.

N-[2-[(2S)-[(1S)-(3-Benzylureido)-2-phenylethyl]-5-oxo-piperazin-1-yl]acetyl]-Lys-NHBn hydrochloride [(S)-12b]. Amorphous solid (133 mg, 100%);
= −1.6 (c 0.6, MeOH); HPLC tR: 15.34 min; 1H-NMR (500 MHz, DMSO-d6) δ (ppm): 1.28 (m, 2H, γ-H), 1.47 (m, 1H, β-H), 1.50 (m, 2H, δ-H), 1.70 (m, 1H, β-H), 2.57–3.01 (m, 7H, CH2-Ph, ε-H, 2-H and 3-H), 3.38 (m, 1H, 6-H), 3.42 (m, 1H, CH2CO), 3.53 (m, 1H, CH2CO), 3.62 (m, 1H, 6-H), 4.00 [m, 1H, CH2 (NHBn, Urea)], 4.17 [m, 1H, CH2 (NHBn, Urea)], 4.20 (m, 1H, 2-CH), 4.26 [m, 2H, CH2 (NHBn)], 4.30 (m, 1H, α-H), 6.45 (m, 1H, 2-CHNH), 6.96–7.34 [m, 16H, Ar and (NHBn, Urea)], 7.84 (m, 4H, NH2·HCl and 4-H), 8.05 (m, 1H, α-NH), 8.60 (m, 1H, NHBn); 13C-NMR (125 MHz, DMSO-d6) δ (ppm): 22.2 [Cγ], 26.5 [Cδ], 31.4 [Cβ], 38.5 [Cε], 42.0 [CH2 (NHBn)], 42.6 [CH2 (NHBn, Urea)], 52.5 [Cα], 126.4, 126.6, 126.7, 127.0, 128.1, 128.2, 129.3 [15CH (Ar)], 137.4 [C (Ph)], 139.6 [C (NHBn)], 141.0 [C (NHBn, Urea)], 159.0 [CO (Urea)], 171.5 [α-CONH]; ES-MS m/z [M]+ calculated for C35H45N7O4: 628.2; found: 628.5.

3.8. Synthesis of 2-[4-Benzyl-(2RS)-[(1S)-((tert-butoxycarbonyl)amino)-2-phenylethyl]-5-oxopiperazin-1-yl]acetic Acid (14)
This compound was obtained from the benzyl ester 13 [] by applying the general procedure of benzyl ester hydrogenolysis above indicated for the synthesis of 4. Foam (467.6 mg, 100%); HPLC tR: 19.72 min [(R)-14] and 19.00 min [(S)-14]; 1H-NMR (500 MHz, CDCl3). (R)-14 δ (ppm): 1.35 (s, 9H, Boc), 2.73 (m, 2H, CH2-Ph), 2.87 (m, 1H, 2-H), 3.23 (d, 1H, J = 7.5 and 13 Hz, 3-H), 3.33 (d, 1H, J = 5 and 13 Hz, 3-H), 3.38 (d, 1H, J = 17 Hz, CH2CO2H), 3.49 (d, 2H, J = 17 Hz, 6-H and CH2CO2H), 3.62 (d, 1H, J = 17 Hz, 6-H), 4.00 (m, 1H, 2-CH), 4.30 (d, 1H, J = 9 Hz, NHBoc), 4.52 [d, 1H, J = 14.5 Hz, 4-CH2 (Bn)], 4.68 [d, 1H, J = 14.5 Hz, 4-CH2 (Bn)], 6.93–7.40 (m, 10H, Ar). (S)-14 δ (ppm): 1.35 (s, 9H, Boc), 2.73 (m, 2H, CH2-Ph), 2.97 (m, 1H, 2-H), 3.17 (m, 1H, 3-H), 3.33 (m, 1H, 3-H), 3.23 (m, 1H, CH2CO2H), 3.38 (m, 1H, 3-H), 3.49 (m, 1H, CH2CO2H), 3.63 (d, 1H, J = 17.5 Hz, 6-H), 3.82 (m, 1H, 2-CH), 4.30 (d, 1H, J = 9 Hz, NHBoc), 4.57 [m, 1H, 4-CH2 (Bn)], 4.82 [m, 1H, 4-CH2 (Bn)], 6.93–7.40 (m, 10H, Ar). 13C-NMR (125 MHz, DMSO-d6). (R)-14 δ (ppm): 28.2 [3CH3 (Boc)], 37.5 [CH2-Ph], 44.1 [C3], 49.7 [4-CH2 (Bn)], 51.6 [C2-CH], 54.1 [C6], 54.4 [CH2CO2H], 58.7 [C2], 80.2 [C (Boc)], 126.7, 127.9, 128.6, 128.9 [10CH (Ar)], 136.2 [C (Bn)], 136.8 [C (Ph)], 155.7 [CO (Boc)], 167.8 [C5], 172.2 [CO2]. (S)-14 δ (ppm): 28.2 [3CH3 (Boc)], 37.5 [CH2-Ph], 44.1 [C3], 49.6 [4-CH2 (Bn)], 51.6 [C2-CH], 54.1 [C6], 54.4 [CH2CO2H], 58.7 [C2], 80.2 [C (Boc)], 128.0, 128.3, 128.4, 129.1 [10CH (Ar)], 136.2 [C (Bn)], 136.8 [C (Ph)], 155.7 [CO (Boc)], 167.8 [C5], 172.2 [CO2]; ES-MS m/z 468.2 [M+1]+; C26H33N3O5 (%): C: 66.79, H: 7.11, N: 8.99. Found (%): C: 66.58, H: 7.25, N: 9.14.
3.9. General Procedure for the Synthesis of the Piperazinone-Derived Pseudotripeptides 15a–c
These compounds were prepared by applying the general procedure described for the synthesis of 7a,b.
N-[2-[4-Benzyl-(2RS)-[(1S)-((tert-butoxycarbonyl)-amino)-2-phenylethyl]-5-oxopiperazin-1-yl]acetyl]-Orn(Z)-NHBn (15a). Foam (523 mg, 65%); HPLC tR: 25.24 min; 1H-NMR (500 MHz, CDCl3) (R)-15a δ (ppm): 1.34 (s, 9H, Boc), 1.43 (m, 2H, γ-H), 1.67 (m, 1H, β-H), 1.86 (m, 1H, β-H), 2.76 (m, 1H, CH2-Ph), 2.83 (m, 1H, CH2-Ph), 2.86 (m, 1H, 2-H), 3.08 (m, 1H, 3-H), 3.23 (m, 2H, δ-H), 3.30 (m, 1H, 3-H), 3.35 (m, 1H, 6-H), 3.44 (m, 2H, CH2CO), 3.55 (d, 1H, J = 18 Hz, 6-H), 4.00 (m, 1H, 2-CH), 4.34 [dd, 1H, J = 6 and 15 Hz, CH2 (NHBn)], 4.42 (m, 1H, α-H), 4.39 [m, 1H, CH2 (NBn)], 4.44 [m, 1H, CH2 (NHBn)], 4.70 (m, 1H, NHBoc), 4.75 [m, 1H, CH2 (NBn)], 4.86 [m, 2H, CH2 (Z)], 5.06 (m, 1H, NHZ), 6.70 (m, 1H, NHBn), 7.02–7.46 (m, 20H, Ar), 7.74 (m, 1H, α-NH). (S)-15a δ (ppm): 1.34 (s, 9H, Boc), 1.67 (m, 1H, β-H), 1.86 (m, 1H, β-H), 2.56 (m, 1H, CH2-Ph), 2.74 (m, 1H, CH2-Ph), 3.08 (m, 1H, 3-H), 3.23 (m, 2H, δ-H), 3.30 (m, 1H, 3-H), 3.85 (m, 1H, 2-CH), 4.34 [m, 1H, CH2 (NHBn)], 4.42 (m, 1H, α-H), 4.44 [m, 1H, CH2 (NHBn)], 4.44 [m, 1H, CH2 (NHBn)], 4.50 [m, 1H, CH2 (NBn)], 4.64 (m, 1H, NHBoc), 4.80 [m, 1H, CH2 (NBn)], 4.86 [m, 2H, CH2 (Z)], 5.06 (m, 1H, NHZ), 6.70 (m, 1H, NHBn), 7.02–7.46 (m, 20H, Ar), 7.74 (m, 1H, α-NH); 13C-NMR (125 MHz, CDCl3) (R)-15a δ (ppm): 26.7 [Cγ], 28.4 [3CH3 (Boc)], 31.1 [Cβ], 37.7 [CH2-Ph], 39.5 [Cδ], 43.7 [C3 and CH2 (NHBn)], 50.1 [CH2 (NBn)], 51.4 [C2-CH], 51.7 [Cα], 54.6 [C6], 56.3 [CH2CO], 59.5 [C2], 66.8 [CH2 (Z)], 80.1 [C (Boc)], 126.9, 127.9, 128.0, 128.3, 128.5, 128.8, 129.0, 129.3 [20CH (Ar)], 136.5 [C (Ph) and C (NBn)], 136.9 [C (Z)], 138.1 [C (NHBn)], 155.6 [CO (Boc)], 157.3 [CO (Z)], 166.9 [C5], 169.6 [CO], 171.5 [α-CONH]. (S)-15a δ (ppm): 28.4 [3CH3 (Boc)], 30.5 [Cβ], 37.7 [CH2-Ph], 39.6 [Cδ], 43.7 [C3 and CH2 (NHBn)], 49.8 [CH2 (NBn)], 51.4 [C2-CH], 51.7 [Cα], 66.8 [CH2 (Z)], 80.1 [C (Boc)], 126.8, 127.8, 128.0, 128.6, 128.8, 129.1, 129.3 [20CH (Ar)], 136.5 [C (Ph) and C (NBn)], 136.9 [C (Z)], 138.1 [C (NHBn)], 155.6 [CO (Boc)], 157.3 [CO (Z)], 166.9 [C2], 169.6 [CO], 171.5 [α-CONH]; ES-MS m/z 806.6 [M+1]+; C46H56N6O7 (%): C: 68.63, H: 7.01, N: 10.44. Found (%): C: 68.50, H: 7.19, N: 10.62.
N-[2-[4-Benzyl-(2RS)-[(1S)-((tert-butoxycarbonyl)-amino)-2-phenylethyl]-5-oxopiperazin-1-yl]acetyl]-Lys(Z)-NHBn (15b). Foam (639 mg, 78%); HPLC tR: 25.42 min; 1H-NMR (500 MHz, CDCl3) (R)-15b δ (ppm): 1.31 (m, 11H, Boc and γ-H), 1.47 (m, 2H, δ-H), 1.65 (m, 1H, β-H), 1.86 (m, 1H, β-H), 2.69 (dd, 1H, J = 8 and 13 Hz, CH2-Ph), 2.78 (m, 1H, 2-H), 2.82 (m, 1H, CH2-Ph), 3.12 (m, 2H, ε-H), 3.19 (m, 1H, 6-H), 3.20 (m, 1H, CH2CO), 3.25 (m, 1H, 3-H), 3.35 (m, 1H, 6-H), 3.37 (m, 1H, CH2CO), 3.50 (d, 1H, J = 17 Hz, 3-H), 3.95 (m, 1H, 2-CH), 4.29 (d, 1H, J = 9 Hz, NHBoc), 4.39 [m, 1H, CH2 (NBn], 4.42 [m, 1H, CH2 (NHBn)], 4.44 (m, 1H, α-H), 4.45[m, 1H, CH2 (NHBn)], 4.75 [d, 1H, J = 14.5 Hz, CH2 (NBn)], 5.04 [m, 3H, CH2 (Z) and NHZ], 6.74 (m, 1H, NHBn), 7.01–7.38 (m, 20H, Ar), 7.67 (d, 1H, J = 8 Hz, α-NH). (S)-15b δ (ppm): 1.31 (m, 9H, Boc), 1.65 (m, 1H, β-H), 1.86 (m, 1H, β-H), 3.12 (m, 1H, CH2CO), 3.38 (m, 1H, 6-H), 3.39 (m, 1H, CH2CO), 3.54 (m, 1H, 6-H), 3.82 (m, 1H, 2-CH), 4.33 (d, 1H, J = 9 Hz, NHBoc), 4.42 [m, 1H, CH2 (NHBn)], 4.43 (m, 1H, α-H), 4.45[m, 1H, CH2 (NHBn)], 4.72 [m, 1H, CH2 (NBn], 4.79 [m, 1H, CH2 (NBn], 5.04 [m, 3H, CH2 (Z) and NHZ], 6.96 (m, 1H, NHBn), 7.01–7.38 (m, 20H, Ar), 7.55 (m, 1H, α-NH); 13C-NMR (125 MHz, CDCl3) (R)-15b δ (ppm): 22.7 [Cγ], 28.2 [3CH3 (Boc)], 29.4 [Cδ], 31.9 [Cβ], 37.7 [CH2-Ph], 40.5 [Cε], 43.6 [C3 and CH2 (NHBn)], 49.8 [CH2 (NBn)], 51.7 [C2-CH], 52.7 [Cα], 54.4 [C6], 56.1 [CH2CO], 59.4 [C2], 66.5 [CH2 (Z)], 79.9 [C (Boc)], 127.0, 127.7, 127.8, 128.0, 128.2, 128.5, 128.6, 128.8, 128.9, 129.0, 129.3 [20CH (Ar)], 136.2 [C (NBn)], 136.6 [C (Ph)], 136.7 [C (Z)], 138.0 [C (NHBn)], 155.4 [CO (Boc)], 156.4 [CO (Z)], 166.9 [C5], 169.6 [CO], 171.2 [α-CONH]. (S)-15b δ (ppm): 28.2 [3CH3 (Boc)], 31.6 [Cβ], 43.6 [C3 and CH2 (NHBn)], 49.6 [CH2 (NBn)], 51.7 [C2-CH], 54.4 [C6], 56.1 [CH2CO], 66.5 [CH2 (Z)], 79.9 [C (Boc)], 126.8, 127.7, 127.8, 128.1, 128.2, 128.5, 128.7, 128.8, 128.9, 129.0, 129.2 [20CH (Ar)], 136.2 [C (NBn)], 136.6 [C (Ph)], 136.7 [C (Z)], 138.0 [C (NHBn)], 155.4 [CO (Boc)], 156.4 [CO (Z)], 169.6 [CO], 171.2 [α-CONH]; ES-MS m/z 819.7 [M+1]+; C47H58N6O7 (%): C: 68.93, H: 7.14, N: 10.26. Found (%): C: 68.67, H: 7.36, N: 10.20.
N-[2-[4-Benzyl-(2RS)-[(1S)-((tert-butoxycarbonyl)-amino)-2-phenylethyl]-5-oxopiperazin-1-yl]acetyl]-Arg(Pbf)-NHBn (15c). Foam (705 mg, 73%); HPLC tR: 26.88 min; 1H-NMR (500 MHz, CDCl3) (R)-15c δ (ppm): 1.28 (s, 9H, Boc), 1.45 [s, 6H, 2CH3 (Pbf)], 1.53 (m, 2H, γ-H), 1.67 (m, 1H, β-H), 1.90 (m, 1H, β-H), 2.07 [s, 3H, CH3 (Pbf)], 2.48 [s, 3H, CH3 (Pbf)], 2.55 [s, 3H, CH3 (Pbf)], 2.73 (d, 1H, J = 8.5 and 13.5 Hz, CH2-Ph), 2.82 (m, 1H, 5-H), 2.84 (m, 1H, CH2-Ph), 2.93 [m, 2H, CH2 (Pbf)], 3.24 (m, 5H, 3-H, CH2CO and δ-H), 3.30 (m, 1H, 3-H), 3.32 (m, 1H, 6-H), 3.49 (d, 1H, J = 16.5 Hz, 6-H), 3.95 (m, 1H, 2-CH), 4.31 [dd, 1H, J = 6 and 15 Hz, CH2 (NHBn)], 4.38 [d, 1H, J = 14.5 Hz, CH2 (NBn)], 4.41 [dd, 1H, J = 5.5 and 15 Hz, CH2 (NHBn)], 4.50 (d, 1H, J = 9 Hz, NHBoc), 4.57 (dt, 1H, J = 4.5 and 9 Hz, α-H), 4.76 [d, 1H, J = 14.5 Hz, CH2 (NBn)], 6.41 [m, 3H, NHC(NH2) = N], 6.81–7.24 (m, 15H, Ar), 7.60 (m, 1H, NHBn), 7.74 (d, 1H, J = 8 Hz, α-NH). (S)-15c δ (ppm): 1.28 (s, 9H, Boc), 1.45 [s, 6H, 2CH3 (Pbf)], 1.67 (m, 1H, β-H), 1.90 (m, 1H, β-H), 2.07 [s, 3H, CH3 (Pbf)], 2.48 [s, 3H, CH3 (Pbf)], 2.55 [s, 3H, CH3 (Pbf)], 2.73 (m, 1H, CH2-Ph), 2.84 (m, 1H, CH2-Ph), 2.93 [m, 2H, CH2 (Pbf)], 3.20 (m, 1H, 3-H), 3.35 (m, 1H, 3-H), 3.83 (m, 1H, 2-CH), 4.31 [m, 1H, CH2 (NBn)], 4.41 [m, 1H, CH2 (NBn)], 4.50 (d, 1H, J = 9 Hz, NHBoc), 4.57 (m, 1H, α-H), 4.70 [m, 1H, CH2 (NBn)], 4.86 [m, 1H, CH2 (NBn)], 6.41 [m, 3H, NHC(NH2) = N], 6.81–7.24 (m, 15H, Ar), 7.62 (m, 1H, NHBn), 7.83 (d, 1H, J = 8 Hz, α-NH); 13C-NMR (125 MHz, CDCl3) (R)-15c δ (ppm): 12.4, 18.0, 19.3 [3CH3 (Pbf)], 25.4 [Cγ], 28.2 [3CH3 (Boc)], 28.6 [2CH3 (Pbf)], 31.0 [Cβ], 37.6 [CH2-Ph], 40.4 [Cδ], 43.2 [CH2 (Pbf)], 43.4 [CH2 (NHBn)], 44.0 [C3], 49.8 [CH2 (NBn)], 51.7 [C2-CH], 52.2 [Cα], 54.4 [C6], 56.5 [CH2CO], 59.4 [C2], 79.9 [C (Boc)], 86.4, 117.5, 124.6 [3C (Pbf)], 126.7, 127.2, 127.7, 127.9, 128.3, 128.5, 128.9, 129.1 [15CH (Ar)], 132.3 [2C (Pbf)], 136.1 [C (NBn)], 136.9 [C (Ph)], 138.2 [C (NHBn)], 138.4 [C (Pbf)], 155.5 [CO (Boc)], 156.3 [C (NHC(NH2) = N)], 158.8 [C (Pbf)], 167.3 [C5], 169.9 [CO], 171.3 [α-CONH]. (S)-15c δ (ppm): 12.4, 18.0, 19.3 [3CH3 (Pbf)], 28.2 [3CH3 (Boc)], 28.6 [2CH3 (Pbf)], 30.9 [Cβ], 37.6 [CH2-Ph], 43.2 [CH2 (Pbf)], 43.3 [CH2 (NHBn)], 44.0 [C3], 49.6 [CH2 (NBn)], 51.7 [C2-CH], 52.2 [Cα], 79.9 [C (Boc)], 86.4, 117.5, 124.6 [3C (Pbf)], 126.7, 127.2, 127.6, 127.9, 128.3, 128.6, 128.9, 129.1 [15CH (Ar)], 132.3 [2C (Pbf)], 136.1 [C (NBn)], 136.9 [C (Ph)], 138.2 [C (NHBn)], 138.4 [C (Pbf)], 155.5 [CO (Boc)], 156.3 [C (NHC(NH2) = N)], 158.8 [C (Pbf)], 171.3 [α-CONH]; ES-MS m/z 966.8 [M+1]+; C52H68N8O8S (%): C: 64.71, H: 7.10, N: 11.61. Found (%): C: 64.58, H: 7.26, N: 11.81.
3.10. Synthesis of the Hydrochlorides 16a–c
These compounds were obtained by applying the above indicated method of N-Boc removal.
N-[2-[4-Benzyl-(2RS)-[(1S)-amino-2-phenylethyl]-5-oxo-piperazin-1-yl]acetyl]-Orn(Z)-NHBn hydrochloride (16a). Amorphous solid (445 mg, 100%); HPLC tR: 16.76 min; 1H-NMR (500 MHz, DMSO-d6) (R)-16a δ (ppm): 1.40 (m, 1H, γ-H), 1.47 (m, 1H, γ-H), 1.57 (m, 1H, β-H), 1.70 (m, 1H, β-H), 2.85 (m, 1H, CH2-Ph), 2.90 (m, 1H, CH2-Ph), 2.98 (m, 1H, 2-H and δ-H), 3.21 (d, 1H, J = 17 Hz, 6-H), 3.30 (m, 2H, CH2CO), 3.46 (m, 2H, 3-H), 3.56 (d, 1H, J = 17 Hz, 6-H), 3.70 (m, 1H, 2-CH), 4.28 [m, 2H, CH2 (NHBn)], 4.30 (m, 1H, α-H), 4.45 [d, 1H, J = 15 Hz, CH2 (NBn)], 4.62 [d, 1H, J = 15 Hz, CH2 (NBn)], 4.97 [m, 2H, CH2 (Z)], 7.11–7.37 (m, 21H, Ar and NHZ), 8.11 (m, 3H, NH2·HCl), 8.19 (d, 1H, J = 8 Hz, α-NH), 8.54 (m, 1H, NHBn). (S)-16a δ (ppm): 1.40 (m, 1H, γ-H), 1.47 (m, 1H, γ-H), 1.57 (m, 1H, β-H), 1.70 (m, 1H, β-H), 3.15 (m, 1H, 2-H), 3.45 (m, 1H, 6-H), 3.46 (m, 2H, 3-H), 3.56 (m, 1H, 6-H), 3.60 (m, 1H, 2-CH), 4.28 [m, 3H, CH2 (NHBn) and CH2 (NBn)], 4.30 (m, 1H, α-H), 4.38 [d, 1H, J = 15 Hz, CH2 (NBn)], 4.97 [m, 2H, CH2 (Z)], 7.11–7.37 (m, 21H, Ar and NHZ), 8.11 (m, 3H, NH2·HCl), 8.43 (d, 1H, J = 8 Hz, α-NH), 8.52 (m, 1H, NHBn); 13C-NMR (125 MHz, DMSO-d6) (R)-16a δ (ppm): 26.0 [Cγ], 29.5 [Cβ], 34.6 [CH2-Ph], 40.5 [Cδ], 42.0 [CH2 (NHBn)], 43.5 [C3], 48.8 [CH2 (NBn)], 51.7 [C2-CH], 52.3 [Cα], 54.7 [C6], 56.1 [CH2CO], 57.3 [C2], 65.1 [CH2 (Z)], 126.8, 127.0, 127.7, 127.8, 128.3, 127.4, 128.6, 129.2 [20CH (Ar)], 135.8 [C (Ph)], 137.0 [C (NBn)], 137.2 [C (Z)], 139.2 [C (NHBn)], 156.1 [CO (Z)], 167.1 [C5], 169.4 [CO], 171.4 [α-CONH]. (S)-16a δ (ppm): 26.2 [Cγ], 29.3 [Cβ], 42.0 [CH2 (NHBn)], 43.4 [C3], 48.9 [CH2 (NBn)], 51.3 [C2-CH], 52.5 [Cα], 54.7 [C6], 56.1 [CH2CO], 58.6 [C2], 65.1 [CH2 (Z)], 126.9, 127.4, 127.7, 127.8, 128.3, 127.4, 128.6, 129.3 [20CH (Ar)], 135.9 [C (Ph)], 136.9 [C (NBn)], 137.2 [C (Z)], 139.2 [C (NHBn)], 156.1 [CO (Z)], 167.1 [C5], 169.4 [CO], 171.4 [α-CONH]; ES-MS m/z [M+1]+ calculated for C41H48N6O5: 706.3; found: 706.5.
N-[2-[4-Benzyl-(2RS)-[(1S)-amino-2-phenylethyl]-5-oxo-piperazin-1-yl]acetyl]-Lys(Z)-NHBn hydrochloride (16b). Amorphous solid (453 mg, 100%); HPLC tR: 16.93 min; 1H-NMR (500 MHz, DMSO-d6) (R)-16b δ (ppm): 1.22 (m, 1H, γ-H), 1.27 (m, 1H, γ-H), 1.41 (m, 2H, δ-H), 1.58 (m, 1H, β-H), 1.70 (m, 1H, β-H), 2.83 (dd, 1H, J = 8 and 14 Hz, CH2-Ph), 2.94 (m, 2H, ε-H), 2.96 (m, 2H, 2-H and CH2-Ph), 3.20 (d, 1H, J = 17 Hz, 6-H), 3.24 (d, 1H, J = 16.5 Hz, CH2CO), 3.29 (d, 1H, J = 16.5 Hz, CH2CO), 3.38 (m, 1H, 3-H), 3.46 (m, 1H, 3-H), 3.53 (d, 1H, J = 17 Hz, 6-H), 3.72 (m, 1H, 2-CH), 4.26 [m, 2H, CH2 (NHBn)], 4.28 (m, 1H, α-H), 4.45 [1d, 1H, J = 15 Hz, CH2 (NBn)], 4.63 [1d, 1H, J = 15 Hz, CH2 (NBn)], 4.98 [m, 2H, CH2 (Z)], 7.16–7.37 (m, 21H, Ar and NHZ), 8.19 (m, 3H, NH2·HCl), 8.21 (m, 1H, α-NH), 8.57 (t, 1H, J = 6 Hz, NHBn). (S)-16b δ (ppm): 1.22 (m, 1H, γ-H), 1.27 (m, 1H, γ-H), 1.41 (m, 2H, δ-H), 1.58 (m, 1H, β-H), 1.70 (m, 1H, β-H), 3.15 (m, 1H, 2-H), 3.38 (m, 1H, 3-H), 3.46 (m, 1H, 3-H), 3.55 (m, 1H, 2-CH), 4.26 [m, 2H, CH2 (NHBn)], 4.28 [m, 2H, α-H and CH2 (NBn)], 4.40 [d, 1H, J = 15 Hz, CH2 (NBn)], 4.98 [m, 2H, CH2 (Z)], 7.16–7.37 (m, 21H, Ar and NHZ), 8.19 (m, 3H, NH2·HCl), 8.43 (d, 1H, J = 8 Hz, α-NH), 8.57 (m, 1H, NHBn); 13C-NMR (125 MHz, DMSO-d6) (R)-16b δ (ppm): 23.2 [Cγ], 29.5 [Cδ], 32.0 [Cβ], 35.0 [CH2-Ph], 41.1 [Cε], 42.4 [CH2 (NHBn)], 44.0 [C3], 49.2 [CH2 (NBn)], 52.1 [C2-CH], 53.1 [Cα], 55.0 [C6], 56.6 [CH2CO], 57.7 [C2], 65.5 [CH2 (Z)], 127.1, 127.5, 128.1, 128.2, 128.7, 128.8, 129.0, 129.7 [20CH (Ar)], 136.2 [C (Ph)], 137.4 [C (NBn)], 137.7 [C (Z)], 139.8 [C (NHBn)], 156.5 [CO (Z)], 167.5 [C5], 169.8 [CO], 172.0 [α-CONH]. (S)-16b δ (ppm): 23.3 [Cγ], 31.9 [Cβ], 42.4 [CH2 (NHBn)], 43.8 [C3], 49.3 [CH2 (NBn)], 51.7 [C2-CH], 53.3 [Cα], 59.1 [C2], 65.5 [CH2 (Z)], 127.3, 127.5, 127.8, 128.2, 128.7, 129.0, 129.1, 129.7 [20CH (Ar)], 136.3 [C (Ph)], 137.3 [C (NBn)], 137.7 [C (Z)], 139.2 [C (NHBn)], 162.3 [CO (Z)], 172.0 [α-CONH]; ES-MS m/z [M+1]+ calculated for C42H50N6O5: 720.5; found: 720.8.
N-[2-[4-Benzyl-(2RS)-[(1S)-amino-2-phenylethyl]-5-oxo-piperazin-1-yl]acetyl]-Arg(Pbf)-NHBn hydrochloride (16c). Amorphous solid (541 mg, 100%); HPLC tR: 14.80 min [(R)-16c] and 19.68 min [(S)-16c]; 1H-NMR (500 MHz, DMSO-d6) (R)-16c δ (ppm): 1.38 [s, 6H, 2CH3 (Pbf)], 1.44 (m, 2H, γ-H), 1.56 (m, 1H, β-H), 1.70 (m, 1H, β-H), 1.98 [s, 3H, CH3 (Pbf)], 2.40 [s, 3H, CH3 (Pbf)], 2.46 [s, 3H, CH3 (Pbf)], 2.83 (d, 1H, J = 6.5 and 14 Hz, CH2-Ph), 2.94 (m, 1H, CH2-Ph), 2.95 (m, 1H, 2-H), 2.96 [m, 2H, CH2 (Pbf)], 3.02 (dd, 2H, J = 6.5 and 12 Hz, δ-H), 3.19 (d, 1H, J = 16.5 Hz, 6-H), 3.29 (m, 2H, CH2CO), 3.39 (m, 1H, 3-H), 3.44 (m, 1H, 3-H), 3.55 (d, 1H, J = 16.5 Hz, 6-H), 3.65 (m, 1H, 2-CH), 4.23 [m, 2H, CH2 (NHBn)], 4.30 (m, 1H, α-H), 4.45 [d, 1H, J = 15 Hz, CH2 (NBn)], 4.63 [d, 1H, J = 15 Hz, CH2 (NBn)], 6.45 [m, 3H, NHC(NH2) = N], 6.91–7.37 (m, 15H, Ar), 8.18 (m, 3H, NH2·HCl), 8.23 (d, 1H, J = 8 Hz, α-NH), 8.59 (t, 1H, J = 6Hz, NHBn). (S)-16c δ (ppm): 1.38 [s, 6H, 2CH3 (Pbf)], 1.98 [s, 3H, CH3 (Pbf)], 2.40 [s, 3H, CH3 (Pbf)], 2.46 [s, 3H, CH3 (Pbf)], 2.96 [m, 2H, CH2 (Pbf)], 3.15 (m, 1H, 2-H), 3.39 (m, 1H, 3-H), 3.44 (m, 1H, 3-H), 3.55 (m, 1H, 2-CH), 4.23 [m, 2H, CH2 (NHBn)], 4.30 (m, 2H, α-H and CH2 (NBn)), 4.40 [d, 2H, J = 15 Hz, CH2 (NBn)], 6.45 [m, 3H, NHC(NH2) = N], 6.91–7.37 (m, 15H, Ar), 8.18 (m, 3H, NH2·HCl), 8.46 (d, 1H, J = 8 Hz, α-NH), 8.56 (m, 1H, NHBn); 13C-NMR (125 MHz, DMSO-d6) (R)-16c δ (ppm): 12.7, 18.1, 19.4 [3CH3 (Pbf)], 26.1 [Cγ], 28.2 [2CH3 (Pbf)], 29.9 [Cβ], 35.0 [CH2-Ph], 40.3 [Cδ], 42.4 [CH2 (NHBn)], 42.9 [CH2 (Pbf)], 44.0 [C3], 49.2 [CH2 (NBn)], 52.1 [C2-CH], 52.8 [Cα], 55.0 [C6], 56.7 [CH2CO], 57.8 [C2], 86.8, 116.8, 124.8 [4C (Pbf)], 127.1, 127.5, 127.8, 128.2, 128.7, 129.0, 129.7 [15CH (Ar)], 131.9, 134.5 [2C (Pbf)], 136.2 [C (Ph)], 137.7 [C (NBn)], 137.8 [C (Pbf)], 139.7 [C (NHBn)], 156.5 [C (NHC(NH2) = N)], 158.0 [C (Pbf)], 167.6 [C5], 169.9 [CO], 171.8 [α-CONH]. (S)-16c δ (ppm): 12.7, 18.1, 19.4 [3CH3 (Pbf)], 28.2 [2CH3 (Pbf)], 42.4 [CH2 (NHBn)], 42.9 [CH2 (Pbf)], 43.9 [C3], 49.1 [CH2 (NBn)], 51.8 [C2-CH], 53.0 [Cα], 59.1 [C2], 86.8, 116.8, 124.8 [4C (Pbf)], 127.3, 127.5, 127.8, 128.2, 128.7, 129.0, 129.1, 129.7 [15CH (Ar)], 131.9, 134.5 [2C (Pbf)], 136.3 [C (Ph)], 137.4 [C (NBn)], 137.8 [C (Pbf)], 139.7 [C (NHBn)], 156.5 [C (NHC(NH2) = N)], 158.0 [C (Pbf)], 167.5 [C5], 171.8 [α-CONH]; ES-MS m/z [M+1]+ calculated for C47H60N8O6S: 866.6; found: 866.0.
3.11. General Procedure for the Synthesis of the Piperazinone-Derived Ureas 17a–c and 18a,b
These compounds were obtained by applying the already indicated procedure for the synthesis of the urea analogues 9a,b and 10a,b.
N-[2-[4-Benzyl-5-oxo-(2RS)-[2-phenyl-(1S)-(3-phenyl-ureido)ethyl]-piperazin-1-yl]acetyl]-Orn(Z)-NHBn (17a). Amorphous solid (R:S) = (3:1)] (346 mg, 70%); HPLC tR: 23.73 min [(R)-17a] and 24.44 min [(S)-17a]; 1H-NMR (500 MHz, CDCl3) (R)-17a δ (ppm): 1.50 (m, 2H, γ-H), 1.70 (m, 1H, β-H), 1.80 (m, 1H, β-H), 2.69 (dd, 1H, J = 6 and 14 Hz, CH2-Ph), 2.88 (m, 1H, CH2-Ph), 2.94 (m, 1H, 2-H), 3.10 (m, 1H, δ-H), 3.20 (m, 2H, 3-H and 6-H), 3.35 (m, 1H, CH2CO), 3.38 (m, 1H, 3-H), 3.40 (m, 1H, CH2CO), 3.42 (m, 1H, δ-H), 3.49 (d, 1H, J = 17 Hz, 6-H), 4.07 (m, 1H, 2-CH), 4.18 [m, 1H, CH2 (NHBn)], 4.32 [m, 1H, CH2 (NBn)], 4.40 [m, 1H, CH2 (NHBn)], 4.78 [m, 2H, α-H and CH2 (Z)], 4.82 [m, 1H, CH2 (NBn)], 4.87 [m, 1H, CH2 (Z)], 5.09 (t, 1H, J = 6 Hz, NHZ), 5.57 (m, 1H, 2-CHNH), 6.84–7.30 (m, 26H, Ar and NHPh), 7.34 (m, 1H, NHBn), 7.79 (m, 1H, α-NH). (S)-17a δ (ppm): 1.40 (m, 2H, γ-H), 1.70 (m, 1H, β-H), 1.80 (m, 1H, β-H), 2.81 (m, 1H, CH2-Ph), 2.94 (m, 1H, CH2-Ph), 3.05 (m, 1H, δ-H), 3.08 (m, 1H, 3-H), 3.35 (m, 1H, CH2CO), 3.39 (m, 1H, 3-H), 3.40 (m, 1H, CH2CO), 3.43 (m, 1H, δ-H), 4.07 (m, 1H, 2-CH), 4.16 [dd, 1H, J = 5 and 15 Hz, CH2 (NHBn)], 4.38 [m, 1H, CH2 (NHBn)], 4.50 [m, 2H, CH2 (NBn)], 4.72 (m, 1H, α-H), 4.76 [m, 1H, CH2 (Z)], 4.85 [m, 1H, CH2 (Z)], 4.96 (m, 1H, NHZ), 5.39 (d, 1H, J = 6.5 Hz, 5-CHNH), 6.84–7.30 (m, 26H, Ar and NHPh), 7.41 (m, 1H, NHBn), 7.73 (m, 1H, α-NH); 13C-NMR (125 MHz, CDCl3) (R)-17a δ (ppm): 26.6 [Cγ], 30.1 [Cβ], 36.9 [CH2-Ph], 39.1 [Cδ], 42.0 [CH2 (NHBn)], 44.8 [C3], 49.5 [CH2 (NBn)], 51.2 [Cα], 52.3 [C2-CH], 55.8 [C6], 59.0 [CH2CO], 61.2 [C2], 66.7 [CH2 (Z)], 120.0, 123.1, 126.7, 127.5, 127.8, 127.9, 128.1, 128.3, 128.5, 128.8 [25CH (Ar)], 136.1 [C (NBn)], 136.2 [C (Z)], 137.2 [C (Ph)], 137.6 [C (NHBn)], 138.7 [C (NHPh)], 155.1 [CO (Z)], 157.5 [CO (Urea)], 167.9 [C5], 170.4 [CO], 172.7 [α-CONH]. (S)-17a δ (ppm): 26.5 [Cγ], 30.6 [Cβ], 37.6 [CH2-Ph], 38.8 [Cδ], 42.1 [CH2 (NHBn)], 44.8 [C3], 49.9 [CH2 (NBn)], 50.6 [Cα], 51.9 [C2-CH], 66.7 [CH2 (Z)], 118.9, 122.3, 126.7, 127.5, 127.8, 127.9, 128.2, 128.5, 128.6, 128.7, 128.9, 129.4 [25CH (Ar)], 136.1 [C (NBn)], 136.2 [C (Z)], 137.2 [C (Ph)], 137.4 [C (NHBn)], 139.5 [C (NHPh)], 155.0 [CO (Z)], 157.6 [CO (Urea)], 166.9 [C5], 169.7 [CO], 172.9 [α-CONH]; ES-MS m/z 825.7 [M+1]+; C48H53N7O6 (%): C: 69.97, H: 6.48, N: 11.90. Found (%): C: 69.75, H: 6.65, N: 12.02.
N-[2-[4-Benzyl-5-oxo-(2RS)-[2-phenyl-(1S)-(3-phenyl-ureido)ethyl]-piperazin-1-yl]acetyl]-Lys(Z)-NHBn (17b). Amorphous solid [(R:S) = (3:1)] (327 mg, 65%); HPLC tR: 24.06 min; 1H-NMR (500 MHz, CDCl3) (R)-17b δ (ppm): 1.33 (m, 2H, γ-H), 1.46 (m, 2H, δ-H), 1.67 (m, 1H, β-H), 1.85 (m, 1H, β-H), 2.68 (m, 1H, CH2-Ph), 2.82 (m, 1H, CH2-Ph), 2.89 (m, 1H, 2-H), 3.05 (m, 2H, ε-H), 3.15 (m, 1H, 6-H), 3.25 (m, 2H, 3-H), 3.31 (m, 2H, CH2CO), 3.53 (d, 1H, J = 16.5 Hz, 6-H), 4.20 (m, 1H, 2-CH), 4.25 [m, 3H, CH2 (NHBn and NBn)], 4.44 (m, 1H, α-H), 4.77 [d, 1H, J = 14.5 Hz, CH2 (NBn], 5.00 [s, 2H, CH2 (Z)], 5.23 (m, 1H, NHZ), 5.45 (m, 1H, 2-CHNH), 6.84–7.52 (m, 27H, Ar, NHBn and NHPh), 7.79 (m, 1H, α-NH). (S)-17b δ (ppm): 2.78 (m, 1H, CH2-Ph), 2.89 (m, 1H, CH2-Ph), 2.94 (m, 1H, 2-H), 4.20 (m, 1H, 2-CH), 4.25 [m, 2H, CH2 (NHBn)], 4.52 [d, 1H, J = 14.5 Hz, CH2 (NBn], 4.58 [d, 1H, J = 14.5 Hz, CH2 (NBn], 5.03 [m, 2H, CH2 (Z)], 5.09 (m, 1H, NHZ), 5.55 (m, 1H, 2-CHNH), 6.84–7.52 (m, 27H, Ar, NHBn and NHPh), 7.89 (m, 1H, α-NH); 13C-NMR (125 MHz, CDCl3) (R)-17b δ (ppm): 22.7 [Cγ], 29.1 [Cδ], 31.9 [Cβ], 37.2 [CH2-Ph], 40.3 [Cε], 43.6 [CH2 (NHBn)], 44.6 [C3], 49.5 [CH2 (NBn)], 52.0 [C2-CH], 53.0 [Cα], 55.6 [C6], 58.8 [CH2CO], 60.9 [C2], 66.0 [CH2 (Z)], 120.1, 123.2, 126.8, 127.5, 128.0, 128.1, 128.4, 128.5, 128.7, 128.8, 128.9 [25CH (Ar)], 136.2 [C (NBn)], 136.5 [C (Z)], 137.0 [C (Ph)], 137.7 [C (NHBn)], 138.6 [C (NHPh)], 155.3 [CO (Z)], 156.6 [CO (Urea)], 167.6 [C5], 170.1 [CO], 172.3 [α-CONH]. (S)-17b δ (ppm): 43.6 [CH2 (NHBn)], 44.6 [C3], 52.1 [C2-CH], 60.8 [C2], 66.0 [CH2 (Z)], 120.1, 123.2, 126.8, 127.5, 128.0, 128.1, 128.4, 128.5, 128.7, 128.8, 129.0 [25CH (Ar)], 136.5 [C (Z)], 156.4 [CO (Z)], 172.3 [α-CONH]; ES-MS m/z 839.7 [M+1]+; C49H55N7O6 (%): C: 70.23, H: 6.62, N: 11.70. Found (%): C: 70.46, H: 6.75, N: 11.54.
N-[2-[4-Benzyl-5-oxo-(2RS)-[2-phenyl-(1S)-(3-phenyl-ureido)ethyl]-piperazin-1-yl]acetyl]-Arg(Pbf)-NHBn (17c). Amorphous solid [(R:S) = (3:1)] (443 mg, 75%); HPLC tR: 25.80 min [(R)-17c] and 23.82 min [(S)-17c]; 1H-NMR (500 MHz, CDCl3) (R)-17c δ (ppm): 1.45 [s, 3H, CH3 (Pbf)], 1.46 [s, 3H, CH3 (Pbf)], 1.40 (m, 2H, γ-H), 1.52 (m, 1H, β-H), 1.68 (m, 1H, β-H), 2.10 [s, 3H, CH3 (Pbf)], 2.50 [s, 3H, CH3 (Pbf)], 2.58 [s, 3H, CH3 (Pbf)], 2.64 (m, 1H, 2-H), 2.68 (m, 1H, CH2-Ph), 2.77 (m, 1H, CH2-Ph), 2.94 [s, 2H, CH2 (Pbf)], 2.98 (m, 1H, CH2CO), 3.06 (m, 1H, 6-H), 3.25 (m, 1H, δ-H), 3.28 (dd, 1H, J = 5 and 13 Hz, 3-H), 3.29 (m, 1H, δ-H), 3.50 (d, 1H, J = 15.5 Hz, CH2CO), 3.58 (m, 1H, 3-H), 3.64 (d, 1H, J = 16.5 Hz, 6-H), 4.13 [d, 1H, J = 14.5 Hz, CH2 (NBn)], 4.30 (m, 1H, 2-CH), 4.32 (m, 1H, α-H), 4.36 [m, 2H, CH2 (NHBn)], 5.00 [d, 1H, J = 14.5 Hz, CH2 (NBn)], 5.98 (m, 1H, 2-CHNH), 6.18 [m, 2H, NHC(NH2) = N], 6.36 [m, 1H, NHC(NH2) = N], 6.86–7.37 (m, 21H, Ar and NHPh), 7.64 (m, 1H, NHBn), 7.88 (d, 1H, J = 8 Hz, α-NH). (S)-17c δ (ppm): 1.45 [s, 3H, CH3 (Pbf)], 1.46 [s, 3H, CH3 (Pbf)], 2.10 [s, 3H, CH3 (Pbf)], 2.50 [s, 3H, CH3 (Pbf)], 2.58 [s, 3H, CH3 (Pbf)], 2.68 (m, 1H, CH2-Ph), 2.77 (m, 1H, CH2-Ph), 2.94 [s, 2H, CH2 (Pbf)], 3.23 (m, 1H, δ-H), 3.29 (m, 1H, δ-H), 3.28 (m, 1H, 3-H), 3.58 (m, 1H, 3-H), 4.05 [m, 1H, CH2 (NHBn)], 4.29 (m, 1H, α-H), 4.30 [m, 1H, CH2 (NHBn)], 4.46 [d, 1H, J = 14 Hz, CH2 (NBn)], 4.59 [d, 1H, J = 14 Hz, CH2 (NBn)], 5.98 (m, 1H, 2-CHNH), 6.18 [m, 2H, NHC(NH2) = N], 6.36 [m, 1H, NHC(NH2) = N], 6.86–7.37 (m, 21H, Ar and NHPh), 7.64 (m, 1H, NHBn), 7.78 (d, 1H, J = 8 Hz, α-NH); 13C-NMR (125 MHz, CDCl3) (R)-17c δ (ppm): 12.5, 18.0, 19.4 [3CH3 (Pbf)], 25.4 [Cγ], 28.6 [2CH3 (Pbf)], 29.3 [Cβ], 38.1 [CH2-Ph], 40.3 [Cδ], 43.2 [2CH2 (Pbf and NHBn)], 44.3 [C3], 49.2 [CH2 (NBn)], 51.2 [C2-CH], 53.1 [Cα], 55.4 [C6], 59.5 [CH2CO], 60.2 [C2], 86.6, 117.8, 124.9 [3C (Pbf)], 119.5, 122.7, 126.7, 127.1, 127.3, 127.9, 128.1, 128.5, 128.6, 129.0, 129.3 [20CH (Ar)], 132.2 [2C (Pbf)], 136.2 [C (NBn)], 137.2 [C (Ph)], 138.1 [C (NHBn)], 138.3 [C (Pbf)], 139.0 [C (NHPh)], 156.2 [CO (Urea)], 156.4 [C (NHC(NH2) = N)], 159.0 [C (Pbf)], 168.3 [C5], 171.0 [CO], 172.0 [α-CONH]. (S)-17c δ (ppm): 12.5, 18.0, 19.4 [3CH3 (Pbf)], 28.6 [2CH3 (Pbf)], 38.4 [CH2-Ph], 40.3 [Cδ], 43.2 [2CH2 (Pbf and NHBn)], 44.2 [C3], 49.2 [CH2 (NBn)], 53.1 [Cα], 86.6, 117.8, 124.9 [3C (Pbf)], 118.9, 122.2, 126.6, 127.1, 127.2, 127.9, 128.1, 128.4, 128.7, 129.0, 129.3 [20CH (Ar)], 132.2 [2C (Pbf)], 136.1 [C (NBn)], 137.1 [C (Ph)], 138.0 [C (NHBn)], 138.3 [C (Pbf)], 139.4 [C (NHPh)], 156.4 [C (NHC(NH2) = N)], 159.0 [C (Pbf)], 172.0 [α-CONH]; ES-MS m/z 985.1 [M+1]+; C54H65N9O7S (%): C: 65.90, H: 6.66, N: 12.81. Found (%): C: 65.72, H: 6.90, N: 12.63.
N-[2-[4-Benzyl-(2RS)-[(1S)-(3-benzylureido)-2-phenyl-ethyl]-5-oxopiperazin-1-yl]acetyl]-Orn(Z)-NHBn (18a). Amorphous solid [(R:S) = (3:1)] (375 mg, 65%); HPLC tR: 23.30 min [(R)-18a] and 23.82 min [(S)-18a]; 1H-NMR (500 MHz, CDCl3) (R)-18a δ (ppm): 1.52 (m, 2H, γ-H), 1.65 (m, 1H, β-H), 1.82 (m, 1H, β-H), 2.69 (m, 1H, CH2-Ph), 2.88 (m, 1H, CH2-Ph), 2.90 (m, 1H, 2-H), 3.11 (m, 1H, δ-H), 3.20 (m, 1H, CH2CO), 3.23 (m, 1H, 3-H), 3.32 (m, 2H, CH2CO and 6-H), 3.36 (m, 1H, 3-H), 3.42 (m, 1H, δ-H), 3.55 (m, 1H, 6-H), 4.05 [m, 1H, CH2 (NHBn)], 4.08 [m, 1H, CH2 (NHBn, Urea)], 4.15 [m, 1H, CH2 (NHBn, Urea)], 4.18 (m, 1H, 2-CH), 4.25 [m, 1H, CH2 (NHBn)], 4.32 [m, 1H, CH2 (NBn)], 4.68 (m, 1H, α-H), 4.75 [m, 1H, CH2 (Z)], 4.79 [m, 1H, CH2 (NBn)], 4.88 [d, 1H, J = 12.5 Hz, CH2 (Z)], 5.08 (m, 1H, 2-CHNH), 5.20 (m, 1H, NHZ), 5.95 [m, 1H, NHBn (Urea)], 6.95–7.40 (m, 25H, Ar), 7.40 (m, 1H, NHBn), 7.86 (d, 1H, J = 9 Hz, α-NH). (S)-18a δ (ppm): 1.46 (m, 2H, γ-H), 1.63 (m, 1H, β-H), 1.80 (m, 1H, β-H), 2.57 (m, 1H, CH2-Ph), 2.85 (m, 1H, CH2-Ph), 3.04 (m, 1H, 3-H), 3.07 (m, 1H, δ-H), 3.34 (m, 1H, 3-H), 3.38 (m, 1H, 6-H), 3.44 (m, 1H, δ-H), 3.57 (m, 1H, 6-H), 3.96 [dd, 1H, J = 5 and 15 Hz, CH2 (NHBn)], 4.02 (m, 1H, 2-CH), 4.08 [m, 1H, CH2 (NHBn, Urea)], 4.15 [m, 1H, CH2 (NHBn, Urea)], 4.20 [m, 1H, CH2 (NHBn)], 4.50 [m, 1H, CH2 (NBn)], 4.66 [m, 1H, CH2 (Z)], 4.68 (m, 1H, α-H), 4.79 [m, 1H, CH2 (NBn)], 4.82 [m, 1H, CH2 (Z)], 5.02 (t, 1H, J = 6 Hz, NHZ), 5.08 (m, 1H, 5-CHNH), 5.95 [m, 1H, NHBn (Urea)], 6.95–7.40 (m, 25H, Ar), 7.40 (m, 1H, NHBn), 7.78 (d, 1H, J = 8.5 Hz, α-NH); 13C-NMR (125 MHz, CDCl3) (R)-18a δ (ppm): 26.6 [Cγ], 30.2 [Cβ], 37.3 [CH2-Ph], 39.0 [Cδ], 43.5 [CH2 (NHBn)], 44.0 [CH2 (NHBn, Urea)], 44.6 [C3], 49.5 [CH2 (NBn)], 51.1 [Cα], 52.2 [C2-CH], 55.6 [C6 and CH2CO], 60.8 [C2], 66.7 [CH2 (Z)], 126.6, 127.0, 127.4, 127.6, 127.9, 128.1, 128.4, 128.5, 128.7, 128.9 [25CH (Ar)], 136.3 [C (NBn) and C (Z)], 137.2 [C (Ph)], 137.7 [C (NHBn)], 139.3 [C (NHBn, Urea)], 155.4 [CO (Z)], 157.7 [CO (Urea)], 167.6 [C5], 170.0 [CO], 172.4 [α-CONH]. (S)-18a δ (ppm): 26.6 [Cγ], 30.7 [Cβ], 38.2 [CH2-Ph], 38.7 [Cδ], 43.5 [CH2 (NHBn)], 43.8 [CH2 (NHBn, Urea)], 45.0 [C3], 49.9 [CH2 (NBn)], 51.4 [Cα], 52.2 [C2-CH], 55.6 [CH2CO], 66.7 [CH2 (Z)], 126.9, 127.1, 127.4, 127.5, 127.8, 127.9, 128.2, 128.5, 128.6, 128.9, 129.6 [25CH (Ar)], 136.1 [C (NBn) and C (Z)], 137.1 [C (Ph)], 137.7 [C (NHBn)], 139.8 [C (NHBn, Urea)], 155.2 [CO (Z)], 157.9 [CO (Urea)], 167.6 [C5], 170.0 [CO], 172.6 [α-CONH]; ES-MS m/z 839.6 [M+1]+; C49H55N7O6 (%): C: 70.23, H: 6.22, N: 11.70. Found (%): C: 70.01, H: 6.46, N: 11.59.
N-[2-[4-Benzyl-(2RS)-[(1S)-(3-benzylureido)-2-phenyl-ethyl]-5-oxopiperazin-1-yl]acetyl]-Lys(Z)-NHBn (18b). Amorphous solid [(R:S) = (3:1)] (317 mg, 62%); HPLC tR: 23.69 min [(R)-18b] and 24.16 min [(S)-19b]; 1H-NMR (500 MHz, CDCl3) (R)-18b δ (ppm): 1.27 (m, 2H, γ-H), 1.40 (m, 2H, δ-H), 1.60 (m, 1H, β-H), 1.78(m, 1H, β-H), 2.64 (m, 2H, CH2-Ph), 2.76 (m, 1H, 2-H), 3.08 (m, 1H, ε-H), 3.12 (m, 2H, CH2CO and 6-H), 3.14 (m, 1H, 3-H), 3.15 (m, 1H, ε-H), 3.24 (m, 1H, CH2CO), 3.25 (m, 1H, 3-H), 3.41 (d, 1H, J = 16.5 Hz, 6-H), 4.10 (m, 1H, 2-CH), 3.95 [dd, 1H, J = 5.5 and 15, CH2 (NHBn, Urea)], 4.04 [m, 1H, CH2 (NHBn, Urea)], 4.18 [m, 2H, CH2 (NHBn)], 4.32 [m, 1H, CH2 (NBn], 4.38 (m, 1H, α-H), 4.62 [d, 1H, J = 14.5 Hz, CH2 (NBn], 4.92 (m, 1H, 2-CHNH), 5.00 [s, 2H, CH2 (Z)], 5.20 (m, 1H, NHZ), 5.70 [m, 1H, NHBn (Urea)], 6.81–7.33 (m, 26H, Ar and NHBn), 7.71 (d, 1H, J = 8 Hz, α-NH). (S)-18b δ (ppm): 1.27 (m, 2H, γ-H), 1.40 (m, 2H, δ-H), 1.60 (m, 1H, β-H), 1.78(m, 1H, β-H), 2.68 (m, 2H, CH2-Ph), 2.76 (m, 1H, 2-H), 2.98 (m, 1H, 3-H), 3.10 (m, 1H, CH2CO), 3.18 (m, 1H, 3-H), 3.22 (m, 1H, CH2CO), 3.76 (m, 1H, 2-CH), 3.95 [m, 1H, CH2 (NHBn, Urea)], 4.04 [m, 1H, CH2 (NHBn, Urea)], 4.10 [m, 1H, CH2 (NHBn)], 4.18 [m, 1H, CH2 (NHBn)], 4.34 (m, 1H, α-H), 4.43 [d, 1H, J = 14.5 Hz, CH2 (NBn], 4.52 [d, 1H, J = 14.5 Hz, CH2 (NBn], 4.92 (m, 1H, 2-CHNH), 4.96 [s, 2H, CH2 (Z)], 5.10 (m, 1H, NHZ), 5.70 [m, 1H, NHBn (Urea)], 6.81–7.33 (m, 26H, Ar and NHBn), 7.64 (d, 1H, J = 7.5 Hz, α-NH); 13C-NMR (125 MHz, CDCl3) (R)-18b δ (ppm): 22.7 [Cγ], 29.2 [Cδ], 31.9 [Cβ], 37.5 [CH2-Ph], 40.4 [Cε], 43.4 [CH2 (NHBn)], 44.0 [CH2 (NHBn, Urea)], 44.3 [C3], 49.5 [CH2 (NBn)], 52.0 [C2-CH], 53.0 [Cα], 55.3 [C6], 58.6 [CH2CO], 60.1 [C2], 66.6 [CH2 (Z)], 126.7, 127.0, 127.4, 127.5, 128.0, 128.2, 128.4, 128.5, 128.6, 128.7, 128.9 [25CH (Ar)], 136.4 [C (NBn)], 136.6 [C (Z)], 137.1 [C (Ph)], 137.8 [C (NHBn)], 139.1 [C (NHBn, Urea)], 156.6 [CO (Z)], 157.7 [CO (Urea)], 167.8 [C5], 170.1 [CO], 172.1 [α-CONH]. (S)-18b δ (ppm): 22.4 [Cγ], 29.7 [Cδ], 30.9 [Cβ], 38.2 [CH2-Ph], 43.5 [CH2 (NHBn)], 43.9 [CH2 (NHBn, Urea)], 44.3 [C3], 49.7 [CH2 (NBn)], 51.2 [C2-CH], 52.8 [Cα], 58.6 [CH2CO], 60.0 [C2], 66.7 [CH2 (Z)], 126.7, 127.2, 127.4, 127.5, 128.0, 128.1, 128.4, 128.5, 128.6, 128.7, 128.9, 129.5 [25CH (Ar)], 136.1 [C (NBn)], 136.6 [C (Z)], 137.1 [C (Ph)], 137.8 [C (NHBn)], 139.6 [C (NHBn, Urea)], 156.7 [CO (Z)], 158.0 [CO (Urea)], 170.1 [CO], 172.1 [α-CONH]; ES-MS m/z 853.7 [M+1]+; C50H57N7O6 (%): C: 70.48, H: 6.74, N: 11.51. Found (%): C: 70.31, H: 6.95, N: 11.69.
3.12. General Procedure for the Synthesis of the Hydrochlorides 19a,b and 20a,b
These compounds were prepared following the general procedure for the removal of the N-Z protecting group, already indicated for the synthesis of 11a,b and 12a,b.
N-[2-[4-Benzyl-5-oxo-(2RS)-[2-phenyl-(1S)-(3-phenylureido)ethyl]-piperazin-1-yl]acetyl]-Orn-NHBn hydrochloride (19a). Amorphous solid [(R:S) = (3:1)] (145 mg, 100%); HPLC tR: 16.27 min [(R)-19a] and 16.52 min [(S)-19a]; 1H-NMR (500 MHz, DMSO-d6) (R)-19a δ (ppm): 1.62 (m, 3H, γ-H and β-H), 1.82 (m, 1H, β-H), 2.70 (m, 1H, CH2-Ph), 2.75 (m, 3H, δ-H and 2-H), 2.91 (d, 1H, J = 11 Hz, CH2-Ph), 3.33–4.11 (m, 6H, 3-H, 6-H and CH2CO), 4.22 [m, 1H, CH2 (NHBn)], 4.34 [m, 1H, CH2 (NHBn)], 4.38 (m, 1H, 2-CH), 4.39 (m, 1H, α-H), 4.48 [m, 1H, CH2 (NBn)], 4.62 [m, 1H, CH2 (NBn)], 6.80 (m, 1H, 2-CHNH), 6.76–6.95 (m, 2H, Ar), 7.08–7.38 (m, 18H, Ar), 7.96 (m, 3H, NH2·HCl), 8.60 (m, 1H, α-NH), 8.72 (m, 1H, NHBn), 8.85 (m, 1H, NHPh). (S)-19a δ (ppm): 1.58 (m, 3H, γ-H and β-H), 1.78 (m, 1H, β-H), 2.55 (dd, 1H, J = 6 and 14 Hz, CH2-Ph), 2.75 (m, 3H, δ-H and 2-H), 2.85 (m, 1H, CH2-Ph), 3.33–4.11 (m, 7H, 3-H, 6-H, CH2CO and 2-CH), 4.22 [m, 1H, CH2 (NHBn)], 4.34 [m, 1H, CH2 (NHBn)], 4.51 [m, 1H, CH2 (NBn)], 4.64 [m, 1H, CH2 (NBn)], 6.80 (m, 1H, 2-CHNH), 6.76–6.95 (m, 2H, Ar), 7.08–7.38 (m, 18H, Ar), 7.96 (m, 3H, NH2·HCl), 8.60 (m, 1H, α-NH), 8.70 (m, 1H, NHBn), 8.81 (m, 1H, NHPh); 13C-NMR (125 MHz, DMSO-d6) (R)-19a δ (ppm): 23.4 [Cγ], 28.9 [Cβ], 37.8 [CH2-Ph], 38.1 [Cδ], 42.0 [CH2 (NHBn)], 43.7 [C3], 49.2 [CH2 (NBn)], 49.8 [C2-CH], 51.9 [Cα], 53.6 [C6], 53.9 [CH2CO], 60.5 [C2], 117.7, 121.2, 126.2, 126.6, 127.0, 127.2, 127.5, 128.2, 128.4, 128.5, 129.1 [20CH (Ar)], 136.3 [C (NBn)], 137.8 [C (Ph)], 139.1 [C (NHBn)], 139.9 [C (NHPh)], 155.2 [CO (Urea)], 170.7 [α-CONH]. (S)-19a δ (ppm): 23.3 [Cγ], 29.0 [Cβ], 37.8 [CH2-Ph], 38.2 [Cδ], 42.0 [CH2 (NHBn)], 43.7 [C3], 49.2 [CH2 (NBn)], 49.8 [C2-CH], 53.5 [C6], 53.9 [CH2CO], 60.2 [C2], 117.5, 121.0, 126.1, 126.6, 127.0, 127.3, 127.7, 127.9, 128.1, 128.4, 128.5, 129.1 [20CH (Ar)], 136.3 [C (NBn)], 138.0 [C (Ph)], 139.1 [C (NHBn)], 140.1 [C (NHPh)], 155.0 [CO (Urea)], 170.8 [α-CONH]; ES-MS m/z [M+2]+ calculated for C40H47N7O4: 690.3; found: 690.6.
N-[2-[4-Benzyl-5-oxo-(2RS)-[2-phenyl-(1S)-(3-phenylureido)ethyl]-piperazin-1-yl}acetyl}-Lys-NHBn hydrochloride (19b). Amorphous solid [(R:S) = (3:1)] (148 mg, 100%); HPLC tR: 16.44 min; 1H-NMR (500 MHz, DMSO-d6) (R)-19b δ (ppm): 1.30 (m, 2H, γ-H), 1.50 (m, 2H, δ-H), 1.60 (m, 1H, β-H), 1.72 (m, 1H, β-H), 2.70 (m, 3H, ε-H and 2-H), 2.72 (m, 1H, CH2-Ph), 2.92 (m, 1H, CH2-Ph), 3.26–4.20 (m, 6H, 3-H, 6-H and CH2CO), 4.32 (m, 1H, 2-CH), 4.24 [dd, 1H, J = 6 and 15 Hz, CH2 (NHBn)], 4.30 [m, 2H, α-H and CH2 (NHBn)], 4.50 [m, 1H, CH2 (NBn)], 4.70 [m, 1H, CH2 (NBn)], 6.55 (m, 1H, 2-CHNH), 6.86 (t, 1H, J = 7 Hz, Ar), 6.97–7.41 (m, 19H, Ar), 7.84 (m, 3H, NH2·HCl), 8.51 (m, 1H, α-NH), 8.62 (m, 1H, NHBn), 8.80 (m, 1H, NHPh). (S)-19b δ (ppm): 1.60 (m, 1H, β-H), 1.72 (m, 1H, β-H), 2.55 (m, 1H, CH2-Ph), 2.88 (m, 1H, CH2-Ph), 4.24 [m, 1H, CH2 (NHBn)], 4.30 [m, 1H, CH2 (NHBn)], 6.55 (m, 1H, 2-CHNH), 6.86 (t, 1H, J = 7 Hz, Ar), 6.97–7.41 (m, 19H, Ar), 7.84 (m, 3H, NH2·HCl), 8.58 (m, 1H, NHBn), 8.83 (m, 1H, NHPh); 13C-NMR (125 MHz, DMSO-d6) (R)-19b δ (ppm): 22.2 [Cγ], 26.5 [Cδ], 31.3 [Cβ], 37.8 [CH2-Ph], 38.4 [Cε], 42.0 [CH2 (NHBn)], 43.8 [C3], 49.2 [CH2 (NBn) and C2-CH], 52.5 [Cα], 53.7 [C6], 60.4 [C2], 117.8, 121.3, 126.7, 127.0, 127.3, 127.6, 128.2, 128.5, 128.6, 129.2 [20CH (Ar)], 136.5 [C (NBn)], 137.9 [C (Ph)], 139.2 [C (NHBn)], 139.9 [C (NHPh)], 155.3 [CO (Urea)], 171.1 [α-CONH]. (S)-19b δ (ppm): 31.5 [Cβ], 37.8 [CH2-Ph], 42.0 [CH2 (NHBn)], 117.8, 121.3, 126.3, 127.0, 127.3, 127.6, 128.2, 128.5, 128.6, 129.2 [20CH (Ar)], 136.5 [C (NBn)], 137.9 [C (Ph)], 139.2 [C (NHBn)], 139.9 [C (NHPh)], 155.5 [CO (Urea)], 171.1 [α-CONH]; ES-MS m/z [M+2]+ calculated for C41H49N7O4: 705.3; found: 705.6.
N-[2-[4-Benzyl-(2RS)-[(1S)-(3-benzylureido)-2-phenylethyl]-5-oxopiperazin-1-yl]acetyl]-Orn-NHBn hydrochloride (20a). Amorphous solid [(R:S) = (3:1)] (148 mg, 100%); HPLC tR: 16.32 min [(R)-20a] and 16.78 min [(S)-20a]; 1H-NMR (500 MHz, DMSO-d6) (R)-20a δ (ppm): 1.60 (m, 2H, γ-H), 1.65 (m, 1H, β-H), 1.75 (m, 1H, β-H), 2.65 (dd, 1H, J = 10 and 14 Hz, CH2-Ph), 2.74 (m, 1H, 2-H), 2.78 (m, 1H, δ-H), 2.93 (m, 1H, CH2-Ph), 3.35–3.82 (m, 6H, 3-H, 6-H and CH2CO), 4.03 [d, 1H, J = 15 Hz, CH2 (NHBn, Urea)], 4.15 [d, 1H, J = 15 Hz, CH2 (NHBn, Urea)], 4.25 [m, 1H, CH2 (NHBn)], 4.30 [m, 1H, CH2 (NHBn)], 4.36 (m, 1H, 2-CH), 4.38 (m, 1H, α-H), 4.47 [d, 1H, J = 15 Hz, CH2 (NBn)], 4.62 [d, 1H, J = 15 Hz, CH2 (NBn)], 6.49 (m, 1H, 2-CHNH), 6.90–7.40 [m, 21H, Ar and NHBn (Urea)], 7.92 (m, 3H, NH2·HCl), 8.56 (m, 1H, α-NH), 8.72 (t, 1H, J = 6 Hz, NHBn). (S)-20a δ (ppm): 1.58 (m, 1H, β-H), 1.72 (m, 1H, β-H), 2.50 (m, 1H, CH2-Ph), 2.78 (m, 1H, δ-H), 2.79 (m, 1H, CH2-Ph), 3.97 [d, 1H, J = 15 Hz, CH2 (NHBn, Urea) and 5-CH], 4.14 [m, 1H, CH2 (NHBn, Urea)], 4.25 [m, 1H, CH2 (NHBn)], 4.30 [m, 1H, CH2 (NHBn)], 4.44 [m, 1H, CH2 (NBn)], 4.58 [m, 1H, CH2 (NBn)], 6.42 (m, 1H, 2-CHNH), 6.90–7.40 [m, 21H, Ar and NHBn (Urea)], 7.92 (m, 3H, NH2·HCl), 8.74 (t, 1H, J = 6 Hz, NHBn); 13C-NMR (125 MHz, DMSO-d6) (R)-20a δ (ppm): 23.4 [Cγ], 29.2 [Cβ], 37.8 [CH2-Ph], 38.1 [Cδ], 42.0 [CH2 (NHBn)], 42.7 [CH2 (NHBn, Urea)], 43.7 [C3], 49.1 [CH2 (NBn)], 51.9 [Cα], 49.7 [C2-CH], 53.7 [C6], 53.9 [CH2CO], 60.8 [C2], 126.4, 126.6, 126.7, 127.1, 127.6, 128.1, 128.3, 128.5, 129.2 [20CH (Ar)], 136.4 [C (NBn)], 137.1 [C (Ph)], 139.0 [C (NHBn)], 140.4 [C (NHBn, Urea)], 158.1 [CO (Urea)], 170.9 [α-CONH]. (S)-20a δ (ppm): 29.4 [Cβ], 37.8 [CH2-Ph], 38.2 [Cδ], 42.0 [CH2 (NHBn)], 42.7 [CH2 (NHBn, Urea)], 49.1 [CH2 (NBn)], 49.7 [C2-CH], 126.4, 126.5, 126.7, 127.3, 127.8, 128.0, 128.3, 128.6, 129.2 [20CH (Ar)], 136.4 [C (NBn)], 137.1 [C (Ph)], 139.0 [C (NHBn)], 140.4 [C (NHBn, Urea)], 157.8 [CO (Urea)], 170.9 [α-CONH]; ES-MS m/z [M+2]+ calculated for C41H49N7O4: 705.3; found: 705.6.
N-[2-[4-Benzyl-(2RS)-[(1S)-(3-benzylureido)-2-phenylethyl]-5-oxopiperazin-1-yl]acetyl]-Lys-NHBn hydrochloride (20b). Amorphous solid [(R:S) = (3:1)] (151 mg, 100%); HPLC tR: 15.83 min [(R)-20b] and 16.25 min [(S)-20b]; 1H-NMR (500 MHz, DMSO-d6) (R)-20b δ (ppm): 1.29 (m, 2H, γ-H), 1.52 (m, 2H, δ-H), 1.54 (m, 1H, β-H), 1.72 (m, 1H, β-H), 2.67 (m, 1H, 2-H), 2.68 (m, 2H, ε-H), 2.69 (m, 1H, CH2-Ph), 2.87 (m, 1H, CH2-Ph), 3.34–3.87 (m, 6H, 3-H, 6-H and CH2CO), 4.03 [d, 1H, J = 15 Hz, CH2 (NHBn, Urea)], 4.14 [d, 1H, J = 15 Hz, CH2 (NHBn, Urea)], 4.20 [m, 1H, CH2 (NHBn)], 4.29 [m, 1H, CH2 (NHBn)], 4.30 (m, 1H, α-H), 4.33 (m, 1H, 2-CH), 4.50 [m, 1H, CH2 (NBn], 4.64 [m, 1H, CH2 (NBn], 6.48 (m, 1H, 2-CHNH), 6.94–7.41 [m, 21H, Ar and NHBn (Urea)], 7.87 (m, 3H, NH2·HCl), 8.50 (m, 1H, α-NH), 8.60 (m, 1H, NHBn). (S)-20b δ (ppm): 1.25 (m, 1H, γ-H), 1.35 (m, 1H, γ-H), 1.54 (m, 1H, β-H), 1.72 (m, 1H, β-H), 2.52 (m, 1H, CH2-Ph), 2.80 (m, 1H, CH2-Ph), 3.98 [d, 1H, J = 15 Hz, CH2 (NHBn, Urea)], 4.14 [m, 1H, CH2 (NHBn, Urea)], 4.20 [m, 1H, CH2 (NHBn)], 4.29 [m, 1H, CH2 (NHBn)], 6.40 (m, 1H, 2-CHNH), 6.94–7.41 [m, 21H, Ar and NHBn (Urea)], 7.87 (m, 3H, NH2·HCl), 8.62 (m, 1H, NHBn); 13C-NMR (125 MHz, DMSO-d6) (R)-20b δ (ppm): 22.7 [Cγ], 26.9 [Cδ], 31.7 [Cβ], 38.2 [CH2-Ph], 38.9 [Cε], 42.5 [CH2 (NHBn)], 43.0 [CH2 (NHBn, Urea)], 44.2 [C3], 49.5 [C2-CH], 49.7 [CH2 (NBn)], 53.0 [Cα], 54.0 [C6], 60.1 [C2], 126.7, 126.8, 127.0, 127.2, 127.5, 128.0, 128.5, 128.6, 129.0, 129.6 [20CH (Ar)], 136.9 [C (NBn)], 138.3 [C (Ph)], 139.7 [C (NHBn)], 140.8 [C (NHBn, Urea)], 158.6 [CO (Urea)], 171.5 [α-CONH]. (S)-20b δ (ppm): 22.7 [Cγ], 31.5 [Cβ], 38.0 [CH2-Ph], 42.5 [CH2 (NHBn)], 43.0 [CH2 (NHBn, Urea)], 126.7, 126.8, 127.0, 127.2, 127.7, 128.2, 128.5, 128.6, 129.0, 129.6 [20CH (Ar)], 136.9 [C (NBn)], 138.3 [C (Ph)], 139.7 [C (NHBn)], 141.0 [C (NHBn, Urea)], 158.2 [CO (Urea)], 171.5 [α-CONH]; ES-MS m/z [M+2]+ calculated for C42H51N7O4: 719.4; found: 719.9.
3.13. General Procedure for Removal of the N-Pbf Protecting Group. Synthesis of N-[2-[4-benzyl-5-oxo-(2RS)-[2-phenyl-(1S)-(3-phenyl-ureido)ethyl]piperazin-1-yl]acetyl]-Arg-NHBn Trifluoroacetate (19c)
The epimeric mixture of the Arg(Pbf) -derived phehylureido-piperazine 17c [(R:S) = (3:1)] (295 mg, 0.30 mmol) was dissolved in TFA/H2O/TIS mixture (90:5:5; 5 mL) and the mixture was stirred at room temperature for 5 h. Afterwards, the TFA was evaporated under stream of argon and the residue was centrifuged three times in diethyl ether (10 mL) at 5000 rpm and −15 °C for 15 min. The residue was dissolved in CH3CN/H2O (1:3, 2 mL) and the solution was lyophilized. The epimeric mixture of trifluoroacetate salts 19c [(R:S) = (3:1)] was obtained quantitatively (254 mg, 100%). HPLC tR: 16.60 min [(R)-19c] and 16.87 min [(S)-19c]; 1H-NMR (500 MHz, DMSO-d6) (R)-19c δ (ppm): 1.44 (m, 2H, γ-H), 1.63 (m, 1H, β-H), 1.72 (m, 1H, β-H), 2.71 (dd, 1H, J = 9 and 13.5 Hz, CH2-Ph), 2.95 (m, 1H, 2-H), 2.96 (m, 1H, CH2-Ph), 3.03 (m, 2H, δ-H), 3.20 (m, 1H, 3-H), 3.28 (m, 1H, 6-H), 3.30 (m, 1H, 3-H), 3.31 (m, 2H, CH2CO), 3.48 (d, 1H, J = 17 Hz, 6-H), 4.10 (m, 1H, 2-CH), 4.23 [m, 2H, CH2 (NHBn)], 4.30 [m, 1H, CH2 (NBn)], 4.32 (m, 1H, α-H), 4.72 [d, 1H, J = 15 Hz, CH2 (NBn)], 6.49 (m, 1H, 2-CHNH), 6.73–7.36 (m, 20H, Ar), 7.76 [m, 1H, NHC(NH2·CF3CO2H) = NH], 8.23 (d, 1H, J = 7 Hz, α-NH), 8.57 (t, 1H, J = 6 Hz, NHBn), 9.00 (m, 1H, NHPh). (S)-19c δ (ppm): 2.97 (m, 1H, δ-H), 3.07 (m, 1H, δ-H), 3.12 (m, 1H, CH2CO), 3.14 (m, 1H, 3-H), 3.23 (m, 1H, 6-H), 3.30 (m, 1H, 3-H), 3.42 (m, 1H, CH2CO), 3.77 (d, 1H, J = 16.5 Hz, 6-H), 3.91 (m, 1H, 2-CH), 4.04 [m, 1H, CH2 (NHBn)], 4.30 [m, 1H, CH2 (NHBn)], 4.43 [d, 1H, J = 15 Hz, CH2 (NBn)], 4.54 [d, 1H, J = 15 Hz, CH2 (NBn)], 6.73–7.36 (m, 20H, Ar), 7.76 [m, 1H, NHC(NH2·CF3CO2H) = NH], 8.59 (m, 1H, NHBn), 9.00 (m, 1H, NHPh); 13C-NMR (125 MHz, DMSO-d6) (R)-19c δ (ppm): 25.4 [Cγ], 29.7 [Cβ], 37.6 [CH2-Ph], 40.8 [Cδ], 42.5 [CH2 (NHBn)], 45.3 [C3], 49.5 [CH2 (NBn)], 50.8 [C2-CH], 52.6 [Cα], 54.9 [C6], 55.4 [CH2CO], 59.9 [C2], 118.2, 121.5, 126.4, 127.2, 217.3, 127.5, 128.1, 128.6, 128.7, 129.0, 129.7 [20CH (Ar)], 137.6 [C (NBn)], 139.2 [C (Ph)], 139.7 [C (NHBn)], 140.9 [C (NHPh)], 157.1 [CO (Urea)], 155.4 [C (NHC(NH2) = N)], 167.1 [C5], 170.0 [CO], 171.8 [α-CONH]. (S)-19c δ (ppm): 40.8 [Cδ], 42.3 [CH2 (NHBn)], 46.1 [C3], 48.9 [CH2 (NBn)], 51.6 [C2-CH], 54.9 [C6], 55.4 [CH2CO], 118.0, 121.5, 126.4, 127.2, 217.3, 127.6, 128.2, 128.4, 128.6, 129.0, 129.7 [20CH (Ar)], 138.0 [C (NBn)], 139.2 [C (Ph)], 139.7 [C (NHBn)], 140.9 [C (NHPh)], 157.5 [CO (Urea)], 155.8 [C (NHC(NH2) = N)], 170.6 [CO], 173.0 [α-CONH]; ES-MS m/z [M+1]+ calculated for C41H49N9O4: 732.4; found: 732.7.
3.14. General Procedure for the Synthesis of the Indazole-Derived Ureas 23b,c.
Propylene oxide (19 μL, 0.27 mmol) was added to a 0 °C cooled solution of 1-(2,6-dichlorobenzyl)-6-amino-3-(pyrrolidin-1-ylmethyl)-1H-indazol [] (83 mg, 0.22 mmol) in dry THF (4 mL). Then, a solution of bis(trichloromethyl)carbonate (24 mg, 0.082 mmol) in dry THF (1 mL) was added dropwise and stirring was maintened at 0 °C for 15 min. Afterwards, the mixture was added dropwise to a 0 °C cooled solution of the corresponding epimeric mixture of hydrochlorides 16b,c (0.22 mmol) and Et3N (17 μL, 0.48 mmol) in dry THF (5 mL) and stirred for 2h. Then, the solvent was removed under reduced pressure and the residue was dissolved in CH2Cl2 (50 mL). The solution was washed with H2O (2 × 10 mL), brine (10 mL), dried over Na2SO4, and evaporated to dryness. The residue was purified by reverse phase chromatography, using 10%–100% CH3CN gradient in 0.05% TFA solution in H2O as mobile phase, to afford the desired compounds 23b,c.
N-[2-[4-Benzyl-(2RS)-[(1S)-[3-(1-(2,6-dichlorobenzyl)-3-(pyrrolidin-1-ylmethyl)-1H-indazol-6-yl)ureido]-2-phenylethyl]-5-oxopiperazin-1-yl]acetyl]-Lys(Z)-NHBn (23b). Amorphous solid [(R:S) = (3:1)] (74 mg, 30%); HPLC tR: 19.99 min; 1H-NMR (500 MHz, CDCl3) (R)-23b δ (ppm): 1.26 (m, 2H, γ-H), 1.33 (m, 2H, δ-H), 1.70 (m, 1H, β-H), 1.72 (m, 2H, pyrrolidine), 1.82 (m, 1H, β-H), 1.88 (m, 2H, pyrrolidine), 2.68 (dd, 1H, J = 6.5 and 14 Hz, CH2-Ph), 2.90 (m, 1H, J = 8 and 14 Hz, CH2-Ph), 2.96 (m, 1H, 2-H), 2.98 (m, 2H, ε-H), 3.00 (m, 2H, pyrrolidine), 3.27 (m, 1H, 6-H), 3.42 (m, 1H, 3-H), 3.45 (m, 4H, pyrrolidine and CH2CO), 3.47 (m, 1H, 3-H), 3.53 (d, 1H, J = 16 Hz, 6-H), 4.18 [m, 1H, J = 14.5 Hz, CH2 (NBn)], 4.28 [m, 1H, CH2 (NHBn), 4.30 (m, 1H, 2-CH), 4.32 [m, 1H, CH2 (NHBn), 4.35 (s, 2H, CH2-pyrrolidine), 4.40 (m, 1H, α-H), 4.95 [m, 1H, CH2 (NBn], 4.98 [s, 2H, CH2 (Z)], 5.36 (m, 1H, NHZ), 5.50 (s, 2H, CH2-diClPh), 6.83 (d, 2H, J = 8 Hz, Ar), 7.02 (d, 2H, J = 7 Hz, Ar), 7.12–7.35 (m, 22H, Ar and NHBn), 7.91 (s, 1H, Ar), 8.06 (m, 1H, α-NH), 8.58 (m, 1H, 2-CHNH), 11.67 [m, 1H, Indz-NH (Urea)]. (S)-23b δ (ppm): 1.35 (m, 2H, δ-H), 1.72 (m, 2H, pyrrolidine), 1.88 (m, 2H, pyrrolidine), 3.00 (m, 2H, pyrrolidine), 3.24 (m, 1H, 3-H), 3.43 (m, 2H, pyrrolidine), 3.45 (m, 1H, 3-H), 4.35 (s, 2H, CH2-Pyrrolidine), 4.38 (m, 1H, α-H), 4.94 [s, 2H, CH2 (Z)], 5.36 (m, 1H, NHZ), 5.50 (s, 2H, CH2-diClPh), 6.76 (m, 2H, Ar), 7.02 (m, 2H, Ar), 7.12–7.35 (m, 22H, Ar and NHBn), 7.91 (s, 1H, Ar), 8.10 (m, 1H, α-NH), 8.70 (m, 1H, 2-CHNH), 11.67 [m, 1H, Indz-NH (Urea)]; 13C-NMR (125 MHz, CDCl3) (R)-23b δ (ppm): 22.8 [Cγ], 23.4 [2CH2 (pyrrolidine)], 29.1 [Cδ], 31.5 [Cβ], 37.7 [CH2-Ph], 40.3 [Cε], 43.5 [CH2 (NHBn)], 44.2 [C3], 47.6 [CH2-diClPh], 48.2 [CH2-pyrrolidine], 49.5 [CH2 (NBn)], 51.6 [C2-CH], 52.4 [2CH2 (pyrrolidine)], 53.4 [Cα], 55.2 [C6], 57.5 [CH2CO], 60.7 [C2], 66.6 [CH2 (Z)], 98.0, 116.0, 118.6 [3CH (Ar)], 119.2 [C (Ar)], 126.8, 127.3, 127.9, 128.0, 128.2, 128.4, 128.5, 128.6, 128.7, 128.9, 130.1 [23CH (Ar)], 131.3, 133.7 [2C (Ar)], 135.9 [C (NBn)], 136.5 [C (Z)], 136.8 [3C (Ph and Ar)], 137.7 [C (NHBn)], 139.3, 137.7 [2C (Ar)], 155.8 [CO (Z)], 156.8 [CO (Urea)], 166.9 [C5], 169.6 [CO], 172.5 [α-CONH]. (S)-23b δ (ppm): 23.4 [2CH2 (pyrrolidine)], 29.1 [Cδ], 44.2 [C3], 47.6 [CH2-diClPh], 48.2 [CH2-pyrrolidine], 52.4 [2CH2 (pyrrolidine)], 53.4 [Cα], 66.6 [CH2 (Z)], 98.0, 115.2, 117.5 [3CH (Ar)], 119.2 [C (Ar)], 126.8, 127.4, 127.9, 128.0, 128.2, 128.4, 128.5, 128.6, 128.7, 128.9, 130.1 [23CH (Ar)], 131.3, 133.7 [2C (Ar)], 135.9 [C (NBn)], 136.5 [C (Z)], 136.8 [3C (Ph and Ar)], 137.7 [C (NHBn)], 139.3, 137.7 [2C (Ar)], 155.8 [CO (Z)], 156.8 [CO (urea)], 172.5 [α-CONH]; ES-MS m/z 1120.9 [M+1]+; C62H68Cl2N10O6 (%): C: 66.48, H: 6.12, N: 12.50. Found (%): C: 66.79, H: 6.38, N: 12.34.
N-[2-[4-Benzyl-(2RS)-[(1S)-[3-(1-(2,6-dichlorobenzyl)-3-(pyrrolidin-1-ylmethyl)-1H-indazol-6-yl)ureido]-2-phenylethyl]-5-oxopiperazin-1-yl]acetyl]-Arg(Pbf)-NHBn (23c). Amorphous solid [(R:S) = (3:1)] (106 mg, 38%); HPLC tR: 20.38 min [(R)-23c] and 21.40 min [(S)-23c]; 1H-NMR (500 MHz, (CD3)2CO) (R)-23c δ (ppm): 1.30 [s, 6H, 2CH3 (Pbf)], 1.40 (m, 2H, γ-H), 1.60 (m, 1H, β-H), 1.73 (m, 1H, β-H), 1.86 [s, 3H, CH3 (Pbf)], 1.88 (m, 2H, pyrrolidine), 1.97 (m, 2H, pyrrolidine), 2.36 [s, 3H, CH3 (Pbf)], 2.44 [s, 3H, CH3 (Pbf)], 2.72 (m, 2H, CH2-Ph), 2.86 [s, 2H, CH2 (Pbf)], 3.00 (m, 1H, δ-H), 3.08 (m, 1H, 2-H), 3.10 (m, 1H, δ-H), 3.26 (m, 1H, CH2CO), 3.32 (m, 1H, 6-H), 3.34 (m, 2H, pyrrolidine), 3.52 (m, 1H, CH2CO), 3.57 (m, 1H, 6-H), 3.58 (m, 1H, 3-H), 3.62 (m, 1H, 3-H), 3.68 (m, 2H, pyrrolidine), 4.20 [m, 1H, CH2 (NBn)], 4.34 [m, 1H, CH2 (NHBn)], 4.38 [m, 2H, 2-CH and CH2 (NHBn)], 4.39 (m, 1H, α-H), 4.66 (s, 2H, CH2-pyrrolidine), 4.88 [d, 1H, J = 15 Hz, CH2 (NBn)], 5.55 (d, 2H, J = 6 Hz, CH2-diClPh), 6.39 [m, 3H, NHC(NH2) = N], 6.95–7.34 (m, 21H, Ar), 7.86 (m, 1H, NHBn), 8.26 (d, 1H, J = 6 Hz, α-NH), 9.26 (m, 1H, 2-CHNH), 10.32 [m, 1H, Indz-NH (Urea)]. (S)-23c δ (ppm): 1.30 [s, 6H, 2CH3 (Pbf)], 1.86 [s, 3H, CH3 (Pbf)], 1.88 (m, 2H, pyrrolidine), 1.97 (m, 2H, pyrrolidine), 2.36 [s, 3H, CH3 (Pbf)], 2.44 [s, 3H, CH3 (Pbf)], 2.68 (m, 2H, CH2-Ph), 2.80 (m, 2H, CH2-Ph), 2.86 [s, 2H, CH2 (Pbf)], 3.34 (m, 2H, pyrrolidine), 3.68 (m, 2H, pyrrolidine), 4.10 [dd, 1H, J = 6 and 15 Hz, CH2 (NHBn)], 4.37 (m, 1H, α-H), 4.40 [m, 1H, CH2 (NHBn)], 4.43 [d, 1H, J = 14 Hz, CH2 (NBn)], 4.58 [m, 1H, CH2 (NBn)], 4.66 (m, 2H, CH2-pyrrolidine), 5.55 (m, 2H, J = 6 Hz, CH2-diClPh), 6.50 [m, 3H, NHC(NH2) = N], 6.95–7.34 (m, 21H, Ar), 7.91 (m, 1H, NHBn), 8.26 (m, 1H, α-NH), 9.26 (m, 1H, 2-CHNH), 10.32 [m, 1H, Indz-NH (urea)]; 13C-NMR (125 MHz, (CD3)2CO) (R)-23c δ (ppm): 13.2, 19.0, 20.2 [3CH3 (Pbf)], 24.5 [2CH2 (pyrrolidine)], 27.5 [Cγ], 28.6 [2CH3 (Pbf)], 31.3 [Cβ], 39.2 [CH2-Ph], 41.4 [Cδ], 44.0 [CH2 (NHBn)], 44.3 [CH2 (Pbf)], 45.7 [C3], 49.0 [CH2-diClPh], 50.5 [CH2 (NBn)], 50.7 [CH2-pyrrolidine], 54.1 [C2-CH and Cα], 55.1 [2CH2 (pyrrolidine)], 56.0 [C6], 59.5 [CH2CO], 63.2 [C2], 87.5 [C (Pbf)], 98.9, 117.2 [2CH (Ar)], 118.4 [C (Pbf)], 118.6 [CH (Ar)], 119.7 [C (Ar)], 121.4 [CH (Ar)], 126.2 [C (Pbf)], 127.7, 128.2, 128.7, 129.6, 129.8, 130.1, 130.2, 130.8, 132.1 [17CH (Ar)], 133.5, 135.7 [2C (Pbf)], 136.7, 138.3 [3C (Ar)], 139.0 [C (NBn)], 139.5 [C (Pbf)], 140.3 [C (Ph)], 140.9 [C (NHBn)], 141.9, 143.5 [3C (Ar)], 157.6 [CO (Urea)], 160.9 [C (NHC(NH2) = N)], 159.7 [C (Pbf)], 168.3 [C5], 171.1 [CO], 173.2 [α-CONH]. (S)-23c δ (ppm): 13.2, 19.0, 20.2 [3CH3 (Pbf)], 24.5 [2CH2 (pyrrolidine)], 28.6 [2CH3 (Pbf)], 39.2 [CH2-Ph], 44.0 [CH2 (NHBn)], 44.3 [CH2 (Pbf)], 49.0 [CH2-diClPh], 50.4 [CH2 (NBn)], 50.7 [CH2-pyrrolidine], 54.1 [Cα], 55.1 [2CH2 (pyrrolidine)], 87.5 [C (Pbf)], 98.9, 117.2 [2CH (Ar)], 118.4 [C (Pbf)], 118.6 [CH (Ar)], 119.1 [C (Ar)], 121.4 [CH (Ar)], 126.2 [C (Pbf)], 127.7, 128.2, 128.8, 129.6, 129.8, 130.1, 130.2, 131.0, 132.1 [17CH (Ar)], 133.5, 135.7 [2C (Pbf)], 136.7, 138.3 [3C (Ar)], 139.1 [C (NBn)], 139.5 [C (Pbf)], 140.3 [C (Ph)], 140.9 [C (NHBn)], 141.9, 143.5 [3C (Ar)], 158.1 [CO (Urea)], 160.9 [C (NHC(NH2) = N)], 159.7 [C (Pbf)]; ES-MS m/z 1267.7 [M+1]+; C67H78Cl2N12O7S (%): C: 63.54, H: 6.21, N: 13.27. Found (%): C: 63.78, H: 6.02, N: 13.39.
3.15. N-Z Removal in 23b. Synthesis of N-[2-[4-Benzyl-(2RS)-[(1S)-[3-(1-(2,6-dichlorobenzyl)-3-(pyrrolidin-1-ylmethyl)-1H-indazol-6-yl)ureido]-2-phenylethyl]-5-oxopiperazin-1-yl]acetyl]-Lys-NHBn hydrochloride (24b)
It was carried out by applying the general methodology for N-Z removal above described for the synthesis of (11–12)a,b. Amorphous solid [(R:S) = (3:1)] (70 mg, 100%); HPLC tR: 14.99 min; 1H-NMR (500 MHz, DMSO-d6) (R)-24b δ (ppm): 1.30 (m, 2H, γ-H), 1.50 (m, 2H, δ-H), 1.62 (m, 1H, β-H), 1.72 (m, 1H, β-H), 1.79 (m, 2H, pyrrolidine), 1.85 (m, 2H, pyrrolidine), 2.74 (dd, 1H, J = 10 and 14 Hz, CH2-Ph), 2.96 (m, 1H, CH2-Ph), 2.65 (m, 3H, 5-H and ε-H), 3.05 (m, 2H, pyrrolidine), 3.35 (m, 2H, pyrrolidine), 3.44–3.98 (m, 6H, 3-H, 6-H and CH2CO), 4.25 [d, 1H, J = 6 Hz, CH2 (NHBn), 4.27 [d, 1H, J = 6 Hz, CH2 (NHBn), 4.33 (m, 2H, 2-CH and α-H), 4.46 [m, 1H, CH2 (NBn], 4.57 (d, 2H, J = 5 Hz, CH2-pyrrolidine), 4.72 [d, 1H, J = 15 Hz, CH2 (NBn], 5.59 (s, 2H, CH2-diClPh), 7.01 (d, 1H, J = 8 Hz, Ar), 6.96–7.46 (m, 16H, Ar), 7.52 (d, 2H, J = 8 Hz, Ar), 7.83 (d, 1H, J = 9 Hz, Ar), 7.86 (s, 1H, Ar), 7.95 (m, 3H, NH2·HCl), 8.45 (m, 1H, α-NH), 8.63 (t, 1H, J = 6 Hz, NHBn), 9.35 (s, 1H, 2-CHNH), 11.68 [m, 2H, Indz-NH (urea) and N·HCl (pyrrolidine)]. (S)-24b δ (ppm): 1.79 (m, 2H, pyrrolidine), 1.85 (m, 2H, pyrrolidine), 2.74 (m, 1H, CH2-Ph), 2.96 (m, 1H, CH2-Ph), 3.05 (m, 2H, pyrrolidine), 3.35 (m, 2H, pyrrolidine), 4.22 [m, 1H, CH2 (NHBn), 4.28 [m, 1H, CH2 (NHBn), 4.57 (d, 2H, J = 5 Hz, CH2-pyrrolidine), 4.72 [d, 1H, J = 15 Hz, CH2 (NBn], 5.59 (s, 2H, CH2-diClPh), 7.01 (d, 1H, J = 8 Hz, Ar), 6.96–7.46 (m, 16H, Ar), 7.52 (d, 2H, J = 8 Hz, Ar), 7.83 (d, 1H, J = 9 Hz, Ar), 7.86 (s, 1H, Ar), 7.95 (m, 3H, NH2·HCl), 8.45 (m, 1H, α-NH), 8.63 (m, 1H, NHBn), 9.35 (s, 1H, 2-CHNH), 11.68 [m, 2H, Indz-NH (Urea) and N·HCl (pyrrolidine)]; 13C-NMR (125 MHz, DMSO-d6) (R)-24b δ (ppm): 22.3 [Cγ], 22.6 [2CH2 (pyrrolidine)], 26.4 [Cδ], 31.4 [Cβ], 37.9 [CH2-Ph], 38.4 [Cε], 42.0 [CH2 (NHBn)], 44.1 [C3], 47.2 [CH2-diClPh], 47.7 [CH2-pyrrolidine], 49.2 [CH2 (NBn)], 49.6 [C2-CH], 52.5 [2CH2 (pyrrolidine), Cα and CH2CO], 53.9 [C6], 60.3 [C2], 96.1, 114.5 [2CH (Ar)], 117.7 [C (Ar)], 120.6, 126.7, 127.0, 127.2, 127.6, 128.2, 128.5, 128.7, 129.2 [19CH (Ar)], 130.8, 131.4 [4C (Ar)], 135.4 [C (NBn)], 136.0 [C (Ph)], 139.2 [C (NHBn)], 141.2 [2C (Ar)], 155.2 [CO (urea)], 171.1 [α-CONH]. (S)-24b δ (ppm): 22.6 [2CH2 (pyrrolidine)], 37.8 [CH2-Ph], 42.0 [CH2 (NHBn)], 47.2 [CH2-diClPh], 47.7 [CH2-pyrrolidine], 52.5 [2CH2 (pyrrolidine)], 96.1, 114.5 [2CH (Ar)], 117.7 [C (Ar)], 120.6, 126.7, 127.0, 127.2, 127.6, 128.1, 128.5, 128.7, 129.2 [19CH (Ar)], 130.8, 131.4 [4C (Ar)], 135.4 [C (NBn)], 136.0 [C (Ph)], 139.6 [C (NHBn)], 141.2 [2C (Ar)], 155.2 [CO (urea)], 171.1 [α-CONH]; ES-MS m/z [(M+2)/2]+ calculated for C54H62Cl2N10O4: 493.2; found: 493.6.
3.16. N-Pbf Removal in 23c. Synthesis of N-[2-[4-Benzyl-(2RS)-[(1S)-[3-(1-(2,6-dichlorobenzyl)-3-(pyrrolidin-1-ylmethyl)-1H-indazol-6-yl)ureido]-2-phenylethyl]-5-oxopiperazin-1-yl]acetyl]-Arg-NHBn Trifluoroacetate (24c)
It was carried out by applying the above described methodology for N-Pbf removal in the Arg derivative 19c. Amorphous solid [(R:S) = (3:1)] (104 mg, 100%); HPLC tR: 15.14 min [(R)-24c] and 15.72 min [(S)-24c]; 1H-NMR (500 MHz, (CD3)2CO) (R)-24c δ (ppm): 1.44 (m, 2H, γ-H), 1.60 (m, 1H, β-H), 1.84 (m, 1H, β-H), 1.83 (m, 4H, pyrrolidine), 2.75 (dd, 1H, J = 9.5 and 14 Hz, CH2-Ph), 3.00 (m, 1H, 2-H), 3.04 (m, 2H, δ-H), 3.06 (m, 1H, CH2-Ph), 3.20 (m, 1H, CH2CO), 3.26 (m, 1H, 3-H), 3.32 (m, 1H, 6-H), 3.35 (m, 4H, pyrrolidine), 3.39 (m, 1H, 3-H), 3.42 (m, 1H, CH2CO), 3.47 (m, 1H, 6-H), 4.21 (m, 1H, 2-CH), 4.27 [d, 2H, J = 6 Hz, CH2 (NHBn)], 4.33 [d, 1H, J = 15 Hz, CH2 (NBn)], 4.40 (td, 1H, J = 5.5 and 8 Hz, α-H), 4.58 (s, 2H, CH2-pyrrolidine), 4.74 [d, 1H, J = 15 Hz, CH2 (NBn)], 5.60 (s, 2H, CH2-diClPh), 6.37 (m, 1H, 2-CHNH), 6.90–7.44 (m, 18H, Ar), 7.52 [m, 2H, NHC(NH2·CF3CO2H) = NH and Ar], 7.72 (d, 1H, J = 9 Hz, Ar), 7.92 (s, 1H, Ar), 8.09 (d, 1H, J = 8 Hz, α-NH), 8.58 (t, 1H, J = 6 Hz, NHBn), 8.77 [m, 1H, Indz-NH (Urea)], 9.95 [m, 1H, N·CF3CO2H (Pyrrolidine)]. (S)-24c δ (ppm): 1.83 (m, 4H, pyrrolidine), 2.63 (m, 1H, CH2-Ph), 2.82 (m, 1H, CH2-Ph), 3.30 (m, 1H, 6-H), 3.35 (m, 4H, pyrrolidine), 3.50 (m, 1H, 6-H), 4.04 (m, 1H, 2-CH), 4.14 [m, 1H, CH2 (NHBn)], 4.28 [m, 1H, CH2 (NHBn)], 4.58 (s, 2H, CH2-pyrrolidine), 5.57 (s, 2H, CH2-diClPh), 6.90–7.44 (m, 18H, Ar), 7.52 [m, 2H, NHC(NH2·CF3CO2H) = NH and Ar], 7.70 (d, 1H, J = 9 Hz, Ar), 7.95 (s, 1H, Ar), 8.57 (m, 1H, NHBn), 9.95 [m, 1H, N·CF3CO2H (pyrrolidine)]; 13C-NMR (125 MHz, (CD3)2CO) (R)-24c δ (ppm): 23.0 [2CH2 (pyrrolidine)], 25.5 [Cγ], 30.0 [Cβ], 37.8 [CH2-Ph], 40.4 [Cδ], 42.5 [CH2 (NHBn)], 44.9 [C3], 47.7 [CH2-diClPh], 48.6 [CH2-pyrrolidine], 49.6 [CH2 (NBn)], 50.5 [C2-CH], 52.2 [Cα], 53.5 [2CH2 (pyrrolidine)], 54.4 [C6], 55.2 [CH2CO], 59.7 [C2], 96.8, 115.1 [2CH (Ar)], 118.0 [C (Ar)], 120.7 [CH (Ar)], 126.5, 127.2, 127.5, 128.0, 128.5, 128.7, 129.0, 129.2, 129.7 [18CH (Ar)], 131.4, 131.9, 136.5 [4C (Ar)], 137.4 [C (NBn)], 139.0 [C (Ph)], 139.6 [C (NHBn)], 140.2, 141.9 [2C (Ar)], 157.0 [CO (urea)], 155.3 [C (NHC(NH2) = N)], 167.0 [CO], 169.8 [C5], 171.6 [α-CONH]. (S)-24c δ (ppm): 23.0 [2CH2 (pyrrolidine)], 37.8 [CH2-Ph], 42.5 [CH2 (NHBn)], 47.7 [CH2-diClPh], 48.6 [CH2-pyrrolidine], 50.4 [C2-CH], 53.5 [2CH2 (pyrrolidine)], 54.4 [C6], 96.8, 115.1 [2CH (Ar)], 118.0 [C (Ar)], 120.7 [CH (Ar)], 126.5, 127.4, 127.6, 128.3, 128.5, 128.7, 129.0, 129.2, 129.6 [18CH (Ar)], 131.4, 131.9, 136.5 [4C (Ar)], 137.4 [C (NBn)], 139.0 [C (Ph)], 139.6 [C (NHBn)], 140.2, 141.9 [2C (Ar)], 155.3 [C (NHC(NH2) = N)]; ES-MS m/z [(M+2)/2]+ calculated for C54H62Cl2N12O4: 507.2; found: 507.
4. Conclusions
In summary, a series of highly functionalized Phe-Gly dipeptide-derived piperazinones containing an aromatic urea moiety and a basic amino acid has been prepared and evaluated as human PAR1 antagonists in a platelet aggregation assay. The synthetic strategy involves coupling of a protected basic amino acid benzyl amide to 1,2- and 1,2,4-substituted-piperazinone derivatives, through a carbonylmethyl group at the N1-position, followed by formation of an aromatic urea at the exocyclic moiety linked at the C2 position of the piperazine ring and removal of protecting groups. In comparison with the 1,2,4,6-tetrasusbtituted-piperazinone analogues A, the change of position of the basic amino acid side chain from C6 to N1 in B has led to the complete loss of PAR1 antagonist activity and tumor cell cytotoxicity.
Supplementary Materials
Copies of 1H and 13C-NMR spectra for all new compounds. Supplementary materials can be accessed at: http://www.mdpi.com/1420-3049/19/4/4814/s1.
Acknowledgments
This work was supported by the Spanish Ministerio de Ciencia e Innovación grant SAF2009-09323 and the Ministerio de Economía y competitividad grant SAF2012-32209. A. M. Valdivielso held a postgraduate FPU fellowship from the Spanish Ministerio de Educación. A. M. Valdivielso thanks the SEQT (Spanish Society of Therapeutic Chemistry) for the Jassen-Cilag Award for young researches (XV Edition, 2011).
Author Contributions
AMV and MG: performed research and data analysis; MTGL: project coordination and revision of the final manuscript; RH: conception, design, and coordination of research, drafting and revision of the article and corresponding author.
Conflicts of Interest
The authors declare no conflict of interest.
References
- Macfarlane, S.R.; Seatter, M.J.; Kanke, T.; Hunter, G.D.; Plevin, R. Proteinase-activated receptors. Pharmacol. Rev. 2001, 53, 245–282. [Google Scholar]
- García-López, M.T.; Gutiérrez-Rodríguez, M.; Herranz, R. Thrombin-activated receptors: promising targets for cancer therapy? Curr. Med. Chem. 2010, 17, 109–128. [Google Scholar] [CrossRef]
- Martorell, L.; Martínez-González, J.; Rodríguez, C.; Gentile, M.; Calvayrac, O.; Badimon, L. Thrombin and protease-activated receptors (PARs) in atherothrombosis. Thromb. Haemost. 2008, 99, 305–315. [Google Scholar]
- Shah, R. Protease-activated receptors in cardiovascular health and diseases. Am. Heart J. 2009, 157, 253–262. [Google Scholar] [CrossRef]
- Ramachandran, R.; Noorbakhsh, F.; Defea, K.; Hollenberg, M.D. Targeting proteinase-activated receptors: Therapeutic potential and challenges. Nat. Rev. Drug Discov. 2012, 11, 69–86. [Google Scholar] [CrossRef]
- Barry, G.D.; Le, G.T.; Fairlie, D.P. Agonists and antagonists of protease activated receptors (PARs). Curr. Med. Chem. 2006, 13, 243–65. [Google Scholar] [CrossRef]
- Chen, C.; Maryanoff, B.E.; Andrade-Gordon, P. Thrombin receptor modulators: Medicinal chemistry, biological evaluation, and clinical applications. In Thrombin: Physiology and Disease; Maragoudakis, M.E., Tsopanoglou, N.E., Eds.; Springer: New York, NY, USA, 2009; pp. 205–236. [Google Scholar]
- Granovsky-Grisaru, S.; Zaidoun, S.; Grisaru, D.; Yekel, Y.; Prus, D.; Beller, U.; Bar-Shavit, R. The pattern of Protease Activated Receptor 1 (PAR1) expression in endometrial carcinoma. Gynecol. Oncol. 2006, 103, 802–806. [Google Scholar] [CrossRef]
- Veiga, C.D.S.B.; Carneiro-Lobo, T.C.; Coelho, C.J.B.P.; Carvalho, S.M.F.; Maia, R.C.; Vasconcelos, F.C.; Abdelhay, E.; Mencalha, A.L.; Ferreira, A.F.; Castro, F.A.; et al. Increased expression of protease-activated receptor 1 (PAR-1) in human leukemias. Blood Cells Mol. Dis. 2011, 46, 230–234. [Google Scholar] [CrossRef]
- Tellez, C.; Bar-Eli, M. Role and regulation of the thrombin receptor (PAR-1) in human melanoma. Oncogene 2003, 22, 3130–3137. [Google Scholar] [CrossRef]
- Darmoul, D.; Gratio, V.; Devaud, H.; Lehy, T.; Laburthe, M. Aberrant expression and activation of the thrombin receptor protease-activated receptor-1 induces cell proliferation and motility in human colon cancer cells. Am. J. Pathol. 2003, 162, 1503–1513. [Google Scholar] [CrossRef]
- Ghio, P.; Cappia, S.; Selvaggi, G.; Novello, S.; Lausi, P.; Zecchina, G.; Papotti, M.; Borasio, P.; Scagliotti, G.V. Prognostic role of protease-activated receptors 1 and 4 in resected stage IB non-small-cell lung cancer. Clin. Lung Cancer 2006, 7, 395–400. [Google Scholar] [CrossRef]
- Grisaru-Granovsky, S.; Salah, Z.; Maoz, M.; Pruss, D.; Beller, U.; Bar-Shavit, R. Differential expression of protease activated receptor 1 (Par1) and pY397FAK in benign and malignant human ovarian tissue samples. Int. J. Cancer 2005, 113, 372–378. [Google Scholar] [CrossRef]
- Vu, T.K.; Hung, D.T.; Wheaton, V.I.; Coughlin, S.R. Molecular cloning of a functional thrombin receptor reveals a novel proteolytic mechanism of receptor activation. Cell 1991, 64, 1057–1068. [Google Scholar] [CrossRef]
- Niessen, F.; Schaffner, F.; Furlan-Freguia, C.; Pawlinski, R.; Bhattacharjee, G.; Chun, J.; Derian, C.K.; Andrade-Gordon, P.; Rosen, H.; Ruf, W. Dendritic cell PAR1-S1P3 signalling couples coagulation and inflammation. Nature 2008, 452, 654–658. [Google Scholar] [CrossRef]
- Chackalamannil, S.; Xia, Y.; Greenlee, W.J.; Clasby, M.; Doller, D.; Tsai, H.; Asberom, T.; Czarniecki, M.; Ahn, H.S.; Boykow, G.; et al. Discovery of potent orally active thrombin receptor (protease activated receptor 1) antagonists as novel antithrombotic agents. J. Med. Chem. 2005, 48, 5884–5887. [Google Scholar] [CrossRef]
- Shinohara, Y.; Goto, S.; Doi, M.; Jensen, P. Safety of the Novel Protease-Activated Receptor-1 Antagonist Vorapaxar in Japanese Patients with a History of Ischemic Stroke. J. Stroke Cerebrovasc. Dis. 2012, 21, 318–324. [Google Scholar] [CrossRef]
- Goto, S.; Ogawa, H.; Takeuchi, M.; Flather, M.D.; Bhatt, D.L. Double-blind, placebo-controlled Phase II studies of the protease-activated receptor 1 antagonist E5555 (atopaxar) in Japanese patients with acute coronary syndrome or high-risk coronary artery disease. Eur. Heart J. 2010, 31, 2601–2613. [Google Scholar] [CrossRef]
- Ventosa-Andrés, P.; Valdivielso, A.M.; Pappos, I.; García-López, M.T.; Tsopanoglou, N.E.; Herranz, R. Design, synthesis and biological evaluation of new peptide-based ureas and thioureas as potential antagonists of the thrombin receptor PAR1. Eur. J. Med. Chem. 2012, 58, 98–111. [Google Scholar] [CrossRef]
- Horton, D.A.; Bourne, G.T.; Smythe, M.L. The combinatorial synthesis of bicyclic privileged structures or privileged substructures. Chem. Rev. 2003, 103, 893–930. [Google Scholar] [CrossRef]
- Knox, C.; Law, V.; Jewison, T.; Liu, P.; Ly, S.; Frolkis, A.; Pon, A.; Banco, K.; Mak, C.; Neveu, V.; et al. DrugBank 3.0: A comprehensive resource for 'omics' research on drugs. Nucleic Acids Res. 2011, 39, D1035–D1041. [Google Scholar] [CrossRef]
- Valdivielso, A.M.; Ventosa-Andres, P.; Tato, F.; Fernández-Ibanez, M.A.; Pappos, I.; Tsopanoglou, N.E.; García-López, M.T.; Gutiérrez-Rodríguez, M.; Herranz, R. Highly functionalized 2-oxopiperazine-based peptidomimetics: An approach to PAR1 antagonists. Eur. J. Med. Chem. 2013, 70, 199–224. [Google Scholar] [CrossRef]
- Valdivielso, A.M.; Ventosa-Andrés, P.; García-López, M.T.; Herranz, R.; Gutiérrez-Rodríguez, M. Synthesis and Regioselective Functionalization of Piperazin-2-ones Based on Phe-Gly Pseudodipeptides. Eur. J. Org. Chem. 2013, 2013, 155–161. [Google Scholar]
- Valdivielso, Á.M.; García-López, M.T.; Herranz, R. Improved synthesis of the PAR-1 thrombin receptor antagonist RWJ-58259. ARKIVOC 2008, xvii, 287–294. [Google Scholar]
- Maryanoff, B.E.; Zhang, H.C.; Andrade-Gordon, P.; Derian, C.K. Discovery of potent peptide-mimetic antagonists for the human thrombin receptor, protease-activated receptor-1 (PAR-1). Curr. Med. Chem. Cardiovasc. Hematol. Agents 2003, 1, 13–36. [Google Scholar] [CrossRef]
- Rudolf, K.; Eberlein, W.; Engel, W.; Mihn, G.; Doods, H.; Wieland, H.A.; Krause, J.; Dollinger, H.; Esser, F.; Schnorrenberg, G.; et al. Preparation of Amino Acid Derivatives as Neuropeptide y Antagonists. WO 9417035; A1,
- Isowa, Y.; Sato, Y.; Nakajima, Y.; Uchida, K.; Ri, B.; Takasaki, K. Lysine Dipeptide Derivatives as Allergy Inhibitors. JP63211296A.
- Sample Availability: Samples of some of the final compounds are available from the authors.
© 2014 by the authors. Licensee MDPI, Basel, Switzerland. This article is an open access article distributed under the terms and conditions of the Creative Commons Attribution license ( http://creativecommons.org/licenses/by/3.0/).