Abstract
An enantioselective total synthesis of the natural amino acid (2S,4R,5R)-4,5-di-hydroxy-pipecolic acid starting from D-glucoheptono-1, 4-lactone is presented. The best sequence employed as a key step the intramolecular nucleophilic displacement by an amino function of a 6-O-p-toluene-sulphonyl derivative of a methyl d-arabino-hexonate and involved only 12 steps with an overall yield of 19%. The structures of the compounds synthesized were elucidated on the basis of comprehensive spectroscopic (NMR and MS) and computational analysis.
1. Introduction
Cyclic hydroxy-amino acids are adequate building blocks for the development of new therapeutic drug candidates [1,2,3]. These compounds are β-turn inducers in the synthesis of peptides [4] and good enzyme inhibitors by themselves [5] as are several of their derivatives, such as deoxy-galactono-jirimicin derivatives [6,7,8]. Indeed, stereoselective synthesis of hydroxy-amino acids is a field that has been growing during the last decades because of the potential biological activity of some representatives of this class of compounds, mainly as enzyme inhibitors [5,9,10,11,12]. Particularly, conformationally constrained hydroxy-amino acids such as the hydroxylated pipecolic acids are very interesting target molecules [12,13]. For instance, the compound (2S,4R)-4-hydroxy-pipecolic acid is a natural product that has been isolated from Calliandra pittieri and Stophantus scandeus[14], and the cis-5-hydroxy-substituted pipecolic acid skeleton is frequently found in alkaloids from microorganisms and also in plants (febrifugine, pseudoconhidrine) [15,16]. Furthermore, a tri-hydroxy-pipecolic acid isolated from the seeds of Baphia racemosa proved to have specific human liver beta-glucosidase inhibitory activity [11]. A couple of years ago a stereoselective synthesis of N-Boc-protected cis-(2R,3S)-3-hydroxy-pipecolic acid, starting from d-glucose, was described [17]. In the literature some synthesis of 5-hydroxy-pipecolic acid derivatives and their analogues is also described [18,19,20]. A record of an enantioselective synthesis of (2R,4R)- and (2S,4R)-4-hydroxy-pipecolic acids from commercial ethyl (R)-4-cyano-3-hydroxy-butanoate was published [21], while the synthesis of the latter compound was also performed starting from d-glucoheptono-1,4-lactone [22]. Moreover, recently two efficient and complementary routes have been described for the synthesis of 4,5 di-hydroxy-pipecolic acids from cis (4S,5R)- and (4R,5S)-4,5-dihydroxy-γ-valerolactams [23]. In this work we describe another short, convenient and enantioselective synthesis of (2S,4R,5R) 4,5 di-hydroxy-pipecolic acid starting from 2 as chiral template. This target cyclic amino acid is a natural product that has been isolated from the leaves of Julbernardia paniculata [24] and synthesized from the precursor L-baikiaine, isolated from the aerial parts of Derris eliptica [25].
Mario Simirgiotis has worked previously on the synthesis of small molecules starting from sugars as chiral templates [26] and embarked on the synthesis of this compound several years ago (under the mentorship of Dr. Oscar Varela, at the University of Buenos Aires, Argentina), but the results were unpublished.
2. Results and Discussion
2.1. Retrosynthetic Analysis for the Synthesis of Compound 1
We reasoned (Scheme 1) that 1 can be synthesized by imine hydrogenation after direct carbonyl addition by the amino group at C-2 (synthon I), a strategy that was previously employed for the synthesis of (2S,4R) 4-hydroxypipecolic acid [22]. Synthon I can readily be obtained through O-protection of α amino lactone II. Key intermediate II can be in turn obtained from commercially available 2 as a chiral template via a series of elimination of the HO-3 subsequent oxidation, and conversion of the HO-2 into NH2.
Scheme 1.
Retrosynthetic analysis of the target amino acid 1.
Scheme 1.
Retrosynthetic analysis of the target amino acid 1.

2.2. Total Synthesis of Compound 1
We started with commercially available and inexpensive d-glycero-d-gulo-heptono-1,4-lactone (2) using a previously published methodology [27], which, on peracetylation and β-elimination of the acetate group on C-3, followed by hydrogenation, O-deacetylation, and isopropylidenation of the resulting aldonolactone with 2,2-dimethoxypropane, yielded 3-deoxy methyl ester 3, which has the desired (4R,5R) configurations (Scheme 2). The free hydroxyl group at C-2 of 3 was sulfonylated with tosyl chloride in pyridine to give the tosylate derivative 4 in 12 h with 96% yield. Spectroscopic data for compound 4 resembled the distorted planar zigzag conformational preference in solution as previously reported for compound 3 [27] with an anti disposition for H-5 and H-6 (J5,6 8.3 Hz). NOE correlations between H-2–H-3, H-3–H-4, H-3–H-5, and H-4–H-6 in the NOESY spectrum of 4 also corroborated that conformation.
Scheme 2.
Synthesis of compound 1 from 3.
Scheme 2.
Synthesis of compound 1 from 3.

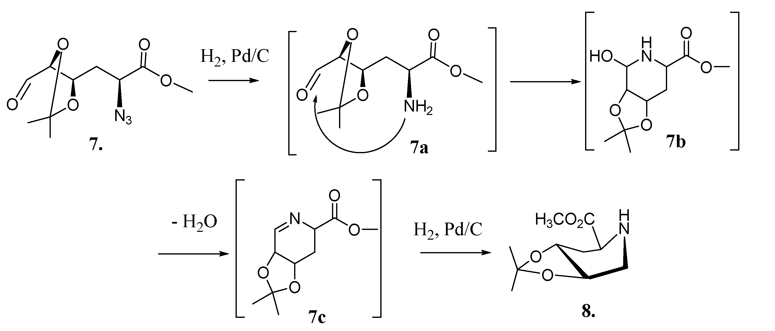
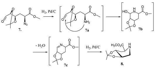
Treatment of tosylate 4 with sodium azide in DMF produced the desired inversion of C-2 configuration affording azide 5 in 87% yield. Selective hydrolysis of the isopropylidene terminal group of 5 yielded diol 6, which on degradative oxidation of the 1, 2 diol system using sodium periodate produced aldehyde 7. Aminolysis of 7 in a “one pot” procedure (Scheme 3, Figure 1) yielded key compound 8through a sequence of catalytic hydrogenation of the azide group, nucleophilic attack of the resulting amine on the aldehyde (7a), dehydration of the resulting alcohol 7b to the imine 7c, and reduction of the imine 7c to give the expected piperidine 8, which crystallized from hexane-EtOAc 10:1 (mp 119 °C, [α]D −47.62). In order to demonstrate this reaction and try to understand the low yield (27%) obtained, an Internal Reaction Coordinate (IRC) calculation was performed. An IRC calculation allows one to map out a reaction pathway by integrating the intrinsic reaction coordinate. This method examines the reaction pathway proposed, leading to a transition state in a map of the potential energy surface. The results of this calculation are showed in Figure 1. The transition state (TS) was found with an imaginary frequency, demonstrating that this is, as expected, a first-order and six-membered cyclic TS.
Figure 1.
Minimum energy conformations, activation energy, and transition state for the intramolecular nucleophilic attack of amine on the aldehyde of intermediate 7a (reactant) to obtain 8 (product). (DFT, Gaussian 9.0) [28].
Figure 1.
Minimum energy conformations, activation energy, and transition state for the intramolecular nucleophilic attack of amine on the aldehyde of intermediate 7a (reactant) to obtain 8 (product). (DFT, Gaussian 9.0) [28].

Coupling constant analysis of the 1H-NMR data of compound 8 suggested anti dispositions between H-4 and H-5 (J4,5 ≈ 6.0), H-5 and H-6 (J5,6 ≈ 6.0, J5,6' = 2.8 Hz), and H-2 and H-3 (J2,3' = 4.4, J2,3 = 8.8 Hz), suggesting a boat (4BN) conformation, which was confirmed by a NOESY experiment (NOE cross peaks between H-3 and H-4, H-3' and H-2, and H-5 with H-3' and H-6' (Figure 2)).
Furthermore, an intense cross-peak observed between H-6' and H-2 confirmed the S configuration for C-2. The correlations were corroborated by HMQC and HMBC spectra. Density Functional Theory (DFT) calculations (Gaussian 9.0) [28] indicated that compound 8 has two minimum-energy conformations (boat and chair) but the boat conformation (4BN) is 2.8 KJ/mol more stable (Figure 3), which is in concordance with the spectroscopic data found for this compound. The isopropylidene group of amino-acid 8 was removed by stirring with trifluoracetic acid-water (1:1) for 8 h at room temperature, while removal of the remaining ester function at C-1 was achieved by subsequent alkaline treatment with NaOH 1 M to yield the target cyclic amino acid 1.
Scheme 3.
One pot synthesis of piperidine 8 from azide 7.
Scheme 3.
One pot synthesis of piperidine 8 from azide 7.

Figure 2.
Key NOE correlations for compound 8.
Figure 2.
Key NOE correlations for compound 8.

Figure 3.
Minimum energy conformations of target compound 8 calculated by DFT (Gaussian 9.0) [28].
Figure 3.
Minimum energy conformations of target compound 8 calculated by DFT (Gaussian 9.0) [28].

The preparation of key compound 8 from 7 (Scheme 3) resulted in a disappointing 27% yield. We assayed different concentrations of catalyst, solvent, hydrogen pressure, and reaction times (Table 1), but in all cases after consumption of all starting material (monitored by TLC) we obtained compound 8 (yields below 27%) and a mixture of polar compounds, according to 1NMR a mixture of adducts produced by intermolecular addition of the amine group at C-2 of one molecule of 7 to the aldehyde function at C-6 of another molecule of 7. We assumed that the low yield obtained for this reaction could be attributed in part to the partial conformational impediment (Figure 1) produced by the isopropylidene group for the nucleophilic addition of the C-2 amine group to the aldehyde.
Table 1.
Preparation of compound 8 by catalytic hydrogenation of aldehyde 7.
| Catalyst (Pd-C)% | Hydrogen Pressure (psi) | Time | Solvent | Yield (%) b |
|---|---|---|---|---|
| 10 | 20 | 8 h | EtOAc | 23 |
| 10 | 45 | 8 h | EtOAc | 25 |
| 10 | 45 | 24 h | EtOAc | 26 |
| 15 | 45 | 48 h | EtOAc | 27 |
| 15 | 30 | 48 h | EtOAc | 27 |
| 20 | 30 | 24 h | EtOAc | 27 |
| 25 | 45 | 24 h | EtOAc | 27 |
| 10 | 30 | 48 h | EtOAc/MeOH | 25 |
| 15 | 45 | 24 h | EtOAc/MeOH | 24 |
| 15 | 30 | 8 h | EtOAc | 23 |
| 20 | 30 | 24 h | EtOAc/MeOH | 26 |
| 20 | 45 | 24 h | EtOAc/MeOH | 25 |
| 20 | 45 | 24 h | MeOH | 25 |
b Isolated yields. All reactions were performed at 20 °C.
2.3. Synthesis of Compound 1 Starting from Azide 5
The low yield obtained for key compound 8 from 7 prompted us to use the alternative synthetic sequence depicted in Scheme 4. Catalytic hydrogenation of 5 in EtOAc generated the amino group that was in turn protected with benzyl chloroformate to obtain carbamate 9 in 88% yield. Furthermore, the benzyloxycarbonyl was a convenient protective group for the amine group of this small class of sugar compounds, since a very stable carbamate derivative can be obtained and the protecting group can be easily removed by hydrogenolysis in high yields and short reaction times [22]. We considered that 10 was a convenient precursor of 1 that could be degraded to the aldehyde 11 and this compound could be properly reduced to the primary alcohol, which also has the right configuration and hydroxyl group for the functionalization with a convenient leaving group at C-6 to be displaced by the amino group at C-2, after removal of the benzyloxycarbonyl group. Thus, selective hydrolysis of the terminal isopropylidene group with a mixture of acetic acid-water at 50 °C over 12 h produced 10 in 82% yield, which could be converted to 11 using the procedure applied previously in the synthesis of 7, followed by reductive amination with NaBH3CN at pH = 4 in 4 h with 91% yield. The tosylate 12 was then prepared as explained above to generate the necessary leaving group for the intramolecular nucleophilic displacement by the amino group.
Scheme 4.
Synthesis of compound 1 from azide 5.
Scheme 4.
Synthesis of compound 1 from azide 5.

Deprotection of the amine group of 12 was performed with 10% palladium on charcoal under hydrogen atmosphere (45 psi) in EtOAc for 12 h, and after filtration and evaporation of the solvent, the isopropylidene and ester groups of the latter compound were removed by hydrolysis with trifluoracetic acid: water (1:1). The resulting crude product, after evaporation of the solvent, was dissolved in water and treated with K2CO3 for 2 h to produce the nucleophilic amine group necessary for the ring closure (Scheme 4 and Figure 4). As shown in Figure 4, the activation energy for the closure of intermediate 12a (reactant) into 1 (product) is almost half that for the intramolecular nucleophilic attack of amine on the aldehyde of intermediate 7a to obtain 8 (Figure 1). This can explain in part the different yield obtained for the mentioned reactions.
After 5 h of reaction only one product reactive to ninhydrin was obtained, and the solution was filtrated, acidified to pH = 6, and loaded onto an ion exchange column (Dowex 50W-H+ resin), which was rinsed with water and eluted with pyridine 0.1 N to obtain the target syrupy pipecolic amino-acid 1 with an [α]D −5.4, and HRESIMS: [M+H]+ = 162.0763, without epimerization in 83% yield. 13 NMR spectra for 1 showed the expected six carbons, including one carboxylic acid (δ 173.35), three oxygenated methynes (C-2, C-4, and C-5 at δ 53.5, 65.4, and 64.9, respectively), and two methylene carbons (C-3 and C-6, at δ 28.4 and 44.2). All assignments were performed by careful analysis of the COSY, NOESY, HMQC, and HMBC spectra. The 1H-NMR spectral data for this compound was published early in 1976 [25], but recorded using a 100 MHz equipment. As in the 1H-NMR spectra of pipecolic derivative 8, coupling constants for H-2 (J2,3ax = 11.4, J2,3eq = 4.2 Hz) for H-3ax (J3ax, 3eq = 14.9, J3ax,4 = 2.8 Hz) and H-3eq (J2,3eq = J3eq,4 ≈ 4.2) confirmed the S, R, and R configuration for C-2, C-4, and C-5, respectively, while NOE cross peaks between H-5–H-6', H-2 with H6', and H-3ax with H-5 and H-4 suggested the chair conformation 4CN. The optimized structure of compound 1 (Figure 5) was built into the Gaussian 9.0 platform and the energy minimized by the DFT method [28], which coincides with the NMR data obtained and configuration proposed. High resolution NMR (see Experimental section) and ESI-MS spectra reported in this work added more accurate information about this natural product structure, for which the NMR data were published a long time ago [25].
Figure 4.
Minimum energy conformations, activation energy, and transition state for the intramolecular ring closure of intermediate 12a to obtain 1 (DFT, Gaussian 9.0) [28].
Figure 4.
Minimum energy conformations, activation energy, and transition state for the intramolecular ring closure of intermediate 12a to obtain 1 (DFT, Gaussian 9.0) [28].

Figure 5.
Minimum energy conformation of target compound 1 calculated by DFT (Gaussian 9.0) [28].
Figure 5.
Minimum energy conformation of target compound 1 calculated by DFT (Gaussian 9.0) [28].

3. Experimental
3.1. General Experimental Procedures
Melting points were determined using a Stuart Scientific SMP3 melting point apparatus (Bibby Scientific Ltd, Staffordshire, UK). Analytical thin-layer chromatography (TLC) was performed on silica gel 60 F254 (Merck, Darmstadt, Germany) aluminum-supported plates (layer thickness 0.2 mm). Medium pressure column chromatography was performed with Silica gel (Kieselgel 60 H Merck, Darmstadt, Germany), 55 mm particle size, FMI QG 150 medium pressure lab pumps (Syosset, NY, USA) and Ace Glass Inc. medium pressure columns (Vineland, NJ, USA), using mixtures of n-hexane:ethyl acetate of different polarities as solvent system (flow rate: 5 mL/min.). Optical rotations were measured on an Autopol III automatic polarimeter (Rudolph Research Co., Hackettstown, NJ, USA). The NMR experiments (1H: 400.12 and 600.13 MHz; 13C: 100.25 and 150.09 MHz) were performed using either a Bruker Avance 400 or Bruker Avance II (Biospin, Rheinstetten, Germany) 600 UltraShield spectrometer with CD3OD or deuterated MeOD as solvent and TMS as internal standard. Optical rotations were measured on an Autopol III automatic polarimeter (Rudolph Research Co., Hackettstown, NJ, USA). IR spectra were measured using a Thermo Nicolet Nexus 470 FT-IR spectrometer (Thermo Nicolet, Madison, WI, USA) with KBr disks. The molecular weight was determined by low and high resolution with a mass spectrometer (Finnigan Mat 900 XLT, Thermo Fisher, Bremen, GmbH, Germany). Another mass spectrometer equipped with electrospray ion source and qToF analyzer MicrOTOF Q II (Bruker Daltonics Inc., Billerica, MA, USA) was used for HR-ESI-MS analysis. All reagents used for reactions were of analytical grade and purchased from Merck (Santiago, Chile) or Sigma-Aldrich (Santiago, Chile).
3.2. Synthesis of Methyl 3-deoxy-4,5:6,7-di-O-isopropylidene-2-O p-toluen-sulfonyl-d-gluco-heptonate (4)
To a stirred solution of compound 3 (1.38 g, 4.54 mmol) in anhydrous pyridine (2.7 mL) was added p-toluen-sulfonyl chloride (0.519 g, 4.54 mmol). After stirring at rt for 12 h, TLC (1:1, hexane/EtOAc) monitoring showed complete conversion of 3 (Rf = 0.58) into a less polar product (Rf = 0.75). The reaction mixture was concentrated and the residue purified by flash chromatography using as eluent mixtures of hexane/EtOAc (from 20:1 to 5:1), to afford crystalline 4 (1.99 g, 96%), mp 109 °C, [α]D: −42.10 (c 1.0, CH3OH). (+)HRESIMS: [M+H]+ = 459.1684, [M+Na]+ = 481.1489, (calcd for: C21H31O9S = 459.1683, and C21H3ONaO9S = 481.1502). 1H-NMR (CDCl3, 600 MHz) δ: 7.85 (d, 2H, J = 8.3 Hz, 2 H-Tosyl), 7.35 (d, 2 H, J = 8.3 Hz, 2 H-Tosyl), 5.10 (dd, 1 H, J2,3 = 10.8 J2,3 = 3.1 Hz, H-2) 4.10 (dd, 1 H, J7,7' = 8.3 J6,7 = 5.9 Hz, H-7), 3.88 (dd, 1 H, J7,7' = 8.3 J6,7' = 5.1 Hz, H-7'), 3.92 (ddd, 1 H, J5,6 = 8.3, J6,7' = 5.1, J6,7 = 5.9 Hz, H-6), 3.79 (ddd, 1 H, J3,4 = 2.2, J3',4= 10.4, J4,5 = 7.8 Hz, H-4), 3.44 (t, 1 H, J4,5 = 7.8, J5,6 = 8.3 Hz, H-5), 3.74 (s, 3 H, OCH3), 2.45 (s, 3 H, CH3-Tosyl), 2.28 (ddd, 1 H, J2,3 = 10.8, J3,4 = 2.2, J3,3' = 14.2 Hz, H-3), 1.97 (ddd, 1 H, J2,3' = 3.1, J3',4 = 10.4, J3,3' = 14.2 Hz, H-3'), 1.36, 1.33, 1.32, 1.16 ((CH3)2C). 13C-NMR (150.09 MHz, CDCl3) δ: 169 (C-1), 145.0, 133.3, 129.7, 128.2 (C-aromatic), 109.7, 109.3 (Me2C), 81.1 (C-5), 76.7 (C-6), 75.2 (C-4), 75.2 (C-2), 67.7 (C-7), 52.7 (CH3O), 36.0 (C-3), 26.7, 26.6, 26.6, 25.1, ((CH3)2C), 21.7 (CH3-Tosyl).
3.3. Synthesis of Methyl 2-Azido-2,3-dideoxy-4,5:6,7-di-O-isopropylidene-d-manno-heptonate (5)
Compound 5 was obtained with 98% yield (0.68 g) from compound 4 (0.99 g, 2.16 mmol), as previously reported [27]. Physical properties and spectroscopic-spectrometric data for compound 5 were identical to those previously reported [27].
3.4. Synthesis of Methyl 2-Azido-2,3-dideoxy-4,5-O-isopropylidene-d-manno-heptonate (6)
A solution of 5 (0.68 g, 2.06 mmol) in acetic acid (25 mL) and water (0.3 mL) was stirred at 50 °C for 12 h. At the end of this time, TLC (1:2, hexane/EtOAc) monitoring showed complete conversion of 5 (Rf = 0.87) into a more polar product (Rf = 0.30). The mixture was concentrated under reduced pressure and the residue purified by medium pressure chromatography, using as eluent mixtures of hexane/EtOAc (from 5:1 to 1:7) to yield 6 (0.56 g, 94%).
3.5. Synthesis of (2S,4R,5R) 4,5-O-Isopropylidene-methyl-pipecolate (8)
A solution of 6 (0.56 g, 1.94 mmol) in MeOH (32 mL) was added to sodium periodate (0.48 g, 2.27 mmol) and stirred at room temperature (25 C) for 3 h. At the end of this time, TLC (1:1, hexane/EtOAc) monitoring showed complete conversion of 6 (Rf = 0.12) into a less polar product (7, Rf = 0.52). The reaction mixture was filtered, concentrated, and the syrupy residue dissolved in EtOAc (8 mL) with palladium black (10% Pd on carbon, 0.05 g); the sample was then hydrogenated at 45 psi until TLC (1:1, hexane/EtOAc) revealed total consumption of the starting material. After this time (12 h), the catalyst was removed by filtration with celite (2 g). The reaction mixture was concentrated and the residue purified by medium pressure chromatography using as eluent mixtures of hexane/EtOAc (from 5:1 to 1:7) to yield 8, which crystallized from hexane-EtOAc 10:1 (0.11 g, 27%), mp 119 °C, [α]D −47.62 (c 0.41, CHCl3), (+) HRESIMS [2M+H]+ = 431.2396. (calcd for: C10H18NO4 = 431.2472). 1H-NMR (CDCl3, 600 MHz) δ: 4.62 (ddd, 1 H, J3',4 = 8.6, J4,5 = 6.6, J4,3 = 4.2 Hz, H-4), 3. 87 (td, J4,5 = J5,6 ≈ 6.0, J5,6' = 2.8 Hz, H-5), 3.75 (s, 3 H, OCH3) 3.31 (dd, 1H, J2,3' = 4.4, J2,3 = 8.8 Hz, H-2), 3.07 (dd, 1H, J5,6 = 6.3, J6,6' = 12.7 Hz, H-6), 2.51(dd, 1H, J5,6' = 2.8, J6',6 = 12.7 Hz, H-6') 2.04 (ddd, 1 H, J2,3' = 4.4, J3',4 = 8.8, J3,3' = 14.0 Hz, H-3'), 2.03 (ddd, 1 H, J2,3 = 8.8, J3,4 = 4.0, J3,3' = 14.0 Hz, H-3), 1.36, 1.33 (CH3)2C. 13C-NMR (150.09 MHz, D2O) δ: 175.4 (C-1), 107.9 ((CH3)2C), 79.85 (C-4), 74.48 (C-5), 58.2 (C-2), 35.89 (C-3), 49.1 (C-6), 27.5 ((CH3)2C), 27.3 ((CH3)2C).
3.6. Synthesis of (2S,4R,5R) 4,5 Dihydroxy-pipecolic Acid (1) from 8
A solution of 8 (0.11 g, 0.51 mmol) was stirred into 2 mL trifluoroacetic acid-water (1:1), for 8 h at room temperature, when TLC analysis (1:1, hexane/EtOAc) showed consumption of all starting material and only one product with Rf = 0.4. Afterwards, the crude product was evaporated in vacuo and the residue dissolved in MeOH (1mL), and NaOH 0.1 M (1 mL) was added. TLC analysis (MeCN/EtOH/H2O/AcOH, 13:4:2:1, reactive to ninhidrine) showed only one blue spot with Rf = 0.2 after 5 h. The reaction mixture was concentrated, dissolved in water (1 mL) acidified with trifluoracetic acid (to pH = 6), and submitted to ion exchange chromatography with a Dowex 50W (H+) resin column (5 cm × 1 cm).The column was rinsed with water (5 mL) and eluted with pyridine 0.1 N (10 mL) to obtain oily 1 (0.06 g, 83%). [α]D −5.4, (c 0.36, H2O), [α]D −7.3, (c 0.18, CH3OH), (+) HRESIMS: [M+H]+ = 162.0763, [M+Na]+ = 184.0582, (calcd for: C6H12NO4 = 162.0766, and C6H11NNaO4 = 184.0580). 1H-NMR (600 MHz, D2O) δ: 3.92 (m, 1 H, J3ax,4 = J4,5 = 4.2 Hz, J3eq,4 = 2.8 Hz, H-4), 3.86 (dd, 1 H, J2,3ax = 11.4, J2,3eq = 4.2 Hz, H-2), 3.85 (m, 1 H. H-5), 3.32 (dd, 1H, J5,6 = 2.3, J6,6' = 13.4 Hz, H-6), 3.19 (dd, 1 H, J5,6' = 3.7, J6,6' = 13.4 Hz, H-6'), 2.15 (ddd, 1 H, J2,3ax = 11.4, J3ax,4 = 2.8, J3ax,3eq = 14.9 Hz, H-3ax), 2.07 (dt, 1 H, J2,3eq = J3eq,4 = 4.2, J3ax,3eq = 14.9, H-3eq). 13C-NMR (150.09 MHz, D2O) δ: 173.35 (C-1), 65.4 (C-4), 64.9 (C-5), 53.5 (C-2), 44.2 (C-6) and 28.4 (C-3). Spectroscopic data was identical to that previously published [24].
3.7. Synthesis of Methyl 2-Benzyloxycarbonylamino-2,3-dideoxy-4,5:6,7-di-O-isopropylidene-d-manno-heptonate (9)
A solution of 5 (1 g, 3.03 mmol) in 20 mL EtOAc was hydrogenated at 30 psi with palladium black (0.1 g) until TLC (hexane/EtOAc 1:2) monitoring showed consumption of all the starting material (3 h) and a main spot with Rf = 0.25. The catalyst was removed by filtration on celite (4 g), the solution concentrated in vacuo to half of the volume (10 mL), and benzyl chloroformate (642 μL, 4.54 mmol) and triethyl amine (632 μL, 4.54 mmol) were added. After 5 h, the stirred reaction mixture showed a main spot in the TLC (Rf = 0.65) and the solution was concentrated in vacuo. The remaining residue was purified by flash chromatography with mixtures of hexane/EtOAc (from 20:1 to 5:1) to yield pure 9 (1.16 g, 88%). [α]D +7.2 (c 0.33, CH3OH), (+) HRESIMS: [M+H]+ = 438.2122, [M+Na]+ = 460.1951, (calcd for: C22H32NO8 = 438.2122, and C22H31NNaO8 = 460.1942). 1H-NMR (CDCl3, 600 MHz) δ: 7.38 (br s, 5 H, Ph), 5.71 (d, 1H, J2,NH = 6.5 Hz, NH), 5.15 (s, 2H, PhCH2O), 4.51 (q, 1 H, J2,3 = J2,3' ≈ 6.3, J2,NH = 6.5 Hz, H-2), 4.13 (dd, 1 H, J7,7' = 8.5 J6,7 = 6.0 Hz, H-7), 3.93 (dd, 1 H, J7,7' = 8.5 J6,7' = 5.0 Hz, H-7'), 4.10 (m, 2 H, H-6, H-4, overlapped signals), 3.53 (t, 1 H, J4,5 = 8.9, J5,6 = 9.0 Hz, H-5), 3.76 (s, 3 H, OCH3), 2.38 (ddd, 1 H, J2,3 = 5.3, J3,4 = 2.8, J3,3' = 14.5 Hz, H-3), 2.05 (ddd, 1 H, J2,3' = 6.9, J3',4 = 9.8, J3,3' = 14.5 Hz, H-3'), 1.41, 1.36, 1.34, 1.33 ((CH3)2C).13 C-NMR (150.09 MHz, CDCl3) δ: 169.5 (C-1), 128.5, 128.1, 127.6, 127.4, 136.7 (C-aromatic), 110.5, 110.2 (Me2C), 81.3 (C-5), 77.2 (C-4), 76.9 (C-6), 67.7 (C-7), 66.9 (PhCH2O), 52.3 (CH3O), 52.2 (C-2), 35.5 (C-3), 27.0, 26.8, 26.6, 25.1 ((CH3)2C).
3.8. Synthesis of Methyl 2-Benzyloxycarbonylamino-2,3-dideoxy-4,5-O-isopropylidene-d-manno-heptonate (10)
A solution of 9 (1.16 g, 2.65 mmol) in acetic acid (45 mL) and water (0.6 mL) was stirred at 50 °C for 12 h. At the end of this time, TLC (1:2, hexane/EtOAc) monitoring showed complete conversion of 9 (Rf = 0.80) into a more polar product (Rf = 0.32). The mixture was concentrated under reduced pressure and the residue purified by flash chromatography, using as eluent mixtures of hexane/EtOAc (from 5:1 to 1:7) to yield 10 (0.86 g, 82%). [α]D −6.5 (c 1.0, CH3OH), (+) HRESIMS: [M+H]+= 398.1810 (calcd for: C19H28NO8 = 398.1815. 1H-NMR (MeOD, 600 MHz) δ: 7.35 (m, 5 H, Ph), 5.10 (s, 2H, PhCH2O),4.42 (t, 1 H, J2,3 = 6.5, J2,3' = 6.42 Hz, H-2), 4.12 (ddd, 1 H, J3,4 = 3.0, J4,3' = 9.0, J4,5 = 7.5 Hz, H-4), 1 H, 3.71 (dd, 1 H, J6,7 = 3.4, J7,7' = 11.10 Hz, H-7), 3.65 (t, 1 H, J5,4 = 7.5, J5,6 = 7.49 Hz, H-5), 3.60 (td, 1 H, J6,5 = 7.5, J7,6 = 3.4, J7',6 = 6.1 Hz, H-6), 3.55 (dd, 1 H, J6,7' = 6.1, J7,7' = 11.10 Hz, H-7'), 3.80 (s, 3 H, OCH3) 2.31 (ddd, 1 H, J2,3 = 8.79, J3,4 = 3.5, J3,3' = 14.0 Hz, H-3), 2.03 (ddd, 1 H, J2,3' = 8.0, J3',4 = 9.0, J3,3' = 15.2 Hz, H-3'), 1.35, 1.32 ((CH3)2C). 13C-NMR (150.09 MHz, D2O) δ: 175.2 (C-1), 136.77, 128.07, 127.6, 127.4, (CH2C6H5), 108.9 (CH3)2C, 80.15 (C-5), 76.87 (C-4), 73.37 (C-6), 66.27 (CC2Ph), 63.57 (C-7), 52.02 (C-2), 35.95 (C-3), 26.08, 25.87 ((CH3)2C).
3.9. Synthesis of Methyl 2-Benzyloxycarbonyl-amino-2,3-dideoxy-4,5-O-isopropylidene-d-arabino-hexonate (11)
To a solution of 10 (0.86 g, 2.16 mmol) in MeOH (55 mL) was added sodium periodate (0.74 g, 3.46 mmol); this was stirred at room temperature (25 °C) for 4 h. When TLC (1:2, hexane/EtOAc) showed complete consumption of 10 and conversion into a less polar product (Rf = 0.35), the white solid formed was filtered, sodium cyanoborohydride (0.20 g, 3.18 mmol) was added, and a solution of HCl 0.1 N was added dropwise to maintain pH = 5. After 1 h of stirring at 0 °C, a main spot with Rf = 0.45 was detected by TLC (1:2, hexane/EtOAc). The solution was concentrated under reduced pressure, the salts filtere,d and the residue purified by flash chromatography using mixtures of hexane/EtOAc (from 10:1 to 1:2) as eluent to give 11 (0.78 g, 91%). [α]D −10.16 (c 1.0, CHCl3), (+) HRESIMS: [M+H]+ = 368.1706, [M+Na]+ = 390.1524, (calcd for: C18H26NO7 = 368.1703, and C18H25NNaO7 = 390.1523). 1H-NMR (CDCl3, 600 MHz) δ: 7.37 (m, 5 H, H-aromatic), 5.73 (d, 1H, J2,NH = 6.0 Hz, NH), 5.15 (s, 2H, PhCH2O), 4.49 (m, 2H, H-2, HO), 4.23 (dd, 1 H, J3,4 ≈ J3',4 ≈ J4,5 = 7.2 Hz, H-4), 4.08 (dd, 1H, J5,6 = 6.6, J6,6' = 11.9 Hz, H-6), 3.95 (m, 2H, H-5, H-6'), 3.78 (s, 3 H, OCH3), 2.33 (ddd, 1 H, J2,3 = 8.82, J3,4 = 3.4, J3,3' = 14.0 Hz, H-3), 2.03 (ddd, 1 H, J2,3' = 8.2, J3',4 = 9.5, J3,3' = 15.4 Hz, H-3'), 1.37, 1.34 ((CH3)2C).
13C-NMR (150.09 MHz, CDCl3) δ: 171.9 (C-1), 135.0-128.0 (C-aromatic), 110.7 (Me2C), 67.5 (PhCH2O), 80.9 (C-5), 75.6 (C-4), 74.2 (C-6), 52.7 (CH3O), 51.4 (C-2), 36.4 (C-3), 27.2, 26.7 ((CH3)2C).
3.10. Synthesis of Methyl 2-Benzyloxycarbonyl-amino-2,3-dideoxy-4,5-O-isopropylidene-6-O-p-toluen-sulfonyl-d-arabino-hexonate (12)
To a stirred solution of compound 11 (0.78 g, 2.13 mmol) in anhydrous pyridine (8.2 mL) was added p-toluen-sulfonyl chloride (0.56 g, 2.94 mmol). After stirring at rt for 12 h, TLC (1:1, hexane/EtOAc) monitoring showed complete conversion of 11 (Rf = 0.45) into a less polar product (Rf = 0.75); the mixture was then concentrated under reduced pressure and the residue purified by flash chromatography (hexane/EtOAc from 20:1 to 5:1), to afford oily 12 (0.97 g, 88%).
[α]D +1.72 (c 1.0, CH3OH), (+) HRESIMS: [M+H]+ = 522.1798, [M+Na]+ = 544.1617, (calcd for: C25H32NO9S = 522.1792, and C25H31NNaO9S = 544.1611). 1H-NMR (CDCl3, 600 MHz) δ: 7.81 (d, 2 H, J = 8.3 Hz, 2 H-Tosyl), 7.39 (br s, 5 H, Ph), 7.37 (d, 2 H, J = 8.3 Hz, 2 H-Tosyl), 5.51 (d, 1H, J2,NH = 6.5 Hz, NH), 5.15 (s, 2H, PhCH2O), 4.47 (q, 1 H, J2,3 = J2,3' ≈ 6.0, J2,NH = 6.5 Hz, H-2), 4.10 (d, 2H, J5,6 = 4.7, CH2-6), 3.95 (ddd, 1 H, J3,4 = 2.7, J4,3' = 9.5, J4,5 = 7.0 Hz, H-4), 3.84 (dt, 1 H, J4,5 = 7.0, J5,6 = 4.7 Hz, H-5), 3.76 (s, 3 H, OCH3), 2,4 (s, 3 H, CH3-Tosyl), 2.19 (ddd, 1 H, J2,3 = 5.6, J3,4 = 2.7, J3,3' = 14.5 Hz, H-3), 2.03 (ddd, 1 H, J2,3' = 6.3, J3',4 = 9.5, J3,3' = 14.5 Hz, H-3'), 1.37, 1.34 ((CH3)2C). 13C-NMR (150.09 MHz, CDCl3) δ: 169.7 (C-1), 130.0–128.0 (C-aromatic), 110.2 (Me2C), 78.0 (C-5), 74.6 (C-4), 68.5 (C-6), 67.1 (PhCH2O), 52.5 (CH3O), 52.0 (C-2), 35.1 (C-3), 27.0, 26.7 ((CH3)2C), 21.7 (CH3-Tosyl).
3.11. Synthesis of Compound 1 ((2S,4R,5R) 4,5 Dihydroxy-pipecolic acid) from 12
A solution of 12 (0.97 g, 1.86 mmol) in EtOAc (17 mL) was added to 10% Pd on carbon (0.1 g) and hydrogenated at 45 psi. When TLC (1:1, hexane/EtOAc) revealed total consumption of the starting material (12 h), the catalyst was removed by filtration with celite (2 g). The crude product was evaporated in vacuo and to the residue we added trifluoracetic acid (3.7 mL) and water (3.7 mL), stirred overnight at rt for 12 h. After this time, the solution was evaporated to dryness, and water (10 mL) and K2CO3 (0.276 g, 2 mmol) were added. After 2 h of stirring, TLC (MeCN/EtOH/H2O/AcOH, 13:4:2:1) revealed total conversion of the previous compound (orange spot, Rf = 0.3) to a more polar one (blue spot reactive to ninhidrine, Rf = 0.12). The solution was evaporated to dryness, diluted with acidified water (to pH ≈ 5), submitted to ion exchange chromatography (Dowex 50W H+ resin column, 20 cm × 1 cm); then the column was rinsed with water (15 mL) and eluted with pyridine 0.1 N (20 mL) to obtain syrupy 1 (0.06 g, 88%), [α]D −5.4, (c 0.36, H2O), [α]D −7.3, (c 0.18, CH3OH), (+)HRESIMS: [M+H]+ = 162.0763 (calcd. for: C6H12NO4 = 162.0766). 1H-NMR (600 MHz, D2O) δ: 3.92 (m, 1 H, J3ax,4 = J4,5 = 4.2 Hz, J3eq,4 = 2.8 Hz, H-4) 3.86 (dd, 1 H, J2,3ax = 11.4, J2,3eq = 4.2 Hz, H-2), 3.85 (m, 1 H. H-5), 3.32 (dd, 1H, J5,6 = 2.3, J6,6' = 13.4 Hz, H-6), 3.19 (dd, 1 H, J5,6' = 3.7, J6,6' = 13.4 Hz, H-6'), 2.15 (ddd, 1 H, J2,3ax = 11.4, J3ax,4 = 2.8, J3ax,3eq = 14.9 Hz, H-3ax), 2.07 (dt, 1 H, J2,3eq = J3eq,4 = 4.2, J3ax,3eq = 14.9, H-3eq). 13C-NMR (150.09 MHz, D2O) δ: 173.35 (C-1), 65.4 (C-4), 64.9 (C-5), 53.5 (C-2), 44.2 (C-6), and 28.4 (C-3). Spectroscopic data was identical to that previously published [24].
3.12. Computational Details
Calculations were carried out with the B3LYP hybrid functionals and 6-31+G(d) basis set. Full geometry optimizations and transition structure (TS) searches were carried out with the Gaussian 09 package 18 [28]. The possibility of different conformational isomers was taken into account for all structures. Frequency analyses were carried out at the same level used in the geometry optimizations, and the nature of the stationary points was determined in each case according to the appropriate number of negative eigenvalues of the Hessian matrix.
4. Conclusions
The amino acid (2S,4R,5R) 4,5 dihydroxy-pipecolic acid (1) was synthesized by two enantiospecific sequences, using d-gluco-heptono-1,4-lactone as a chiral template. The key step in the first approach involved the preparation of compound 8 through nucleophilic attack after catalytic hydrogenation of the azide group from aldehyde 7, obtained by degradative oxidation of diol 6. The second strategy enabled the construction of the piperidine ring by intramolecular substitution of the tosylate at C-6 by the amine group at C-2, produced by hydrogenation of carbamate 12, after removal of the isopropylidene group with F3CCO2H. The latter and more efficient sequence involved 12 steps and gave a 19% overall yield, employing a commercially available and inexpensive sugar lactone.
Acknowledgments
We are indebted to the FONDECYT fund 1140178 for financial support.
Author Contributions
Javier Vallejos, Carlos Areche, Beatriz Sepúlveda, and Mario J. Simirgiotis designed the research; Mario J. Simirgiotis and Beatriz Sepúlveda performed chemical reactions and purified the products; Javier Vallejos performed computational analysis and analyzed the “in silico” data; and Mario J. Simirgiotis and Carlos Areche analyzed all data and wrote the paper. All authors read and approved the final manuscript.
Conflicts of Interest
The authors declare no conflict of interest.
References
- Fadel, A.; Lahrache, N. An efficient synthesis of enantiomerically pure (R)-pipecolic acid, (S)-proline, and their N-alkylated derivatives. J. Org. Chem. 2007, 72, 1780–1784. [Google Scholar]
- Hanson, G.J.; Vuletich, J.L.; Bedell, L.J.; Bono, C.P.; Howard, S.C.; Welphy, J.K.; Woulfe, S.L.; Zacheis, M.L. Design of MHC Class II (DR4) ligands using conformationally restricted imino acids at p3 and p5. Bioorg. Med. Chem. Lett. 1996, 6, 1931–1936. [Google Scholar]
- Matsoukas, J.M.; Agelis, G.; Hendrelis, J.; Yamdagni, R.; Wu, Q.; Ganter, R.; Smith, J.R.; Moore, D.; Morre, G.J. Synthesis and biological activities of angiotensin H, sarilesin and sarmesin analogues containing Aze or Pip at position 7. J. Med. Chem. 1993, 36, 904–911. [Google Scholar]
- Galeazzi, R.; Mobbili, G.; Orena, M. Modelling and synthesis of conformationally resticted amino acids. Curr. Org. Chem. 2004, 8, 1799–1829. [Google Scholar]
- Ohara, C.; Takahashi, R.; Miyagawa, T.; Yoshimura, Y.; Kato, A.; Adachi, I.; Takahata, H. Synthesis of all stereoisomers of 3-hydroxypipecolic acid and 3-hydroxy-4,5-dehydropipecolic acid and their evaluation as glycosidase inhibitors. Bioorg. Med. Chem. Lett. 2008, 18, 1810–1813. [Google Scholar]
- Fantur, K.; Hofer, D.; Schitter, G.; Steiner, A.J.; Pabst, B.M.; Wrodnigg, T.M.; Stütz, A.E.; Paschke, E. DLHex-DGJ, a novel derivative of 1-deoxygalactonojirimycin with pharmacological chaperone activity in human GM1-gangliosidosis fibroblasts. Mol. Gen. Met. 2010, 100, 262–268. [Google Scholar]
- Boucheron, C.; Compain, P.; Martin, O.R. A stereodivergent approach to 1-deoxynojirimycin, 1-deoxygalactonojirimycin and 1-deoxymannojirimycin derivatives. Tetrahedron Lett. 2006, 47, 3081–3084. [Google Scholar]
- Steiner, A.J.; Schitter, G.; Stütz, A.E.; Wrodnigg, T.M.; Tarling, C.A.; Withers, S.G.; Fantur, K.; Mahuran, D.; Paschke, E.; Tropak, M. 1-Deoxygalactonojirimycin-lysine hybrids as potent d-galactosidase inhibitors. Bioorg. Med. Chem. 2008, 16, 10216–10220. [Google Scholar]
- Thorstensson, F.; Wångsell, F.; Kvarnström, I.; Vrang, L.; Hamelink, E.; Jansson, K.; Hallberg, A.; Rosenquist, A.; Samuelsson, B. Synthesis of novel potent hepatitis C virus NS3 protease inhibitors: Discovery of 4-hydroxy-cyclopent-2-ene-1,2-dicarboxylic acid as a N-acyl-l-hydroxyproline bioisostere. Bioorg. Med. Chem. 2007, 15, 827–838. [Google Scholar]
- Stöckel-Maschek, A.; Stiebitz, B.; Koelsch, R.; Neubert, K. Novel 3-amino-2-hydroxy acids containing protease inhibitors. Part 1: Synthesis and kinetic characterization as aminopeptidase P inhibitors. Bioorg. Med. Chem. 2005, 13, 4806–4820. [Google Scholar]
- Manning, K.S.; Lynn, D.G.; Shabanowitz, J.; Fellows, L.E.; Singh, M.; Schrire, B.D. A glucuronidase inhibitor from the seeds of Baphia racemosa: Application of fast atom bombardment coupled with collision activated dissociation in natural product structure assignment. J. Chem. Soc. Chem. Commun. 1985, 127–129. [Google Scholar]
- Mallick, A.; Kumari, N.; Roy, R.; Palanivel, A.; Vankar, Y.D. A concise synthesis of (2R,3R)- and (2R,3S)-3-hydroxypipecolic acids, and total synthesis of (–)-deoxoprosopinine and (+)-2-epi-deoxoprosopinine from d-glycals. Eur. J. Org. Chem. 2014, 5557–5563. [Google Scholar]
- Fleet, G.W.J.; Witty, D.R. Synthesis of homochiral β-hydroxy-α-aminoacids [(2S,3R,4R)-3,4-dihydroxyproline and (2S,3R,4R)-3,4-dihydroxypipecolic aicd] and of 1,4-dideoxy-1,4-imino-d-arabinitol [DAB1] and fagomine [1,5-imino-1,2,5-trideoxy-d-arabino-hexitol]. Tetrahedron Asymmetry 1990, 1, 119–136. [Google Scholar]
- Romeo, J.T.; Swain, L.A.; Bleecker, A.B. Cis-4-hydroxypipecolic acid and 2,4-cis-4,5-trans-4,5-dihydroxypipecolic acid from Calliandra. Phytochemistry 1983, 22, 1615–1617. [Google Scholar]
- Despontin, J.; Marlier, M.; Dardenn, G. l-cis-5-hydroxypipecolic acid from seeds of Gymnocladus dioicus. Phytochemistry 1977, 16, 387–388. [Google Scholar]
- Hatanaka, S.-I.; Kaneko, S. Cis-5-hydroxy-L-pipecolic acid from Morus alba and Lathyrus japonicus. Phytochemistry 1977, 16, 1041–1042. [Google Scholar]
- Kumar, P.S.; Baskaran, S. A regioselective reductive cleavage of benzylidene acetal: Stereoselective synthesis of N-Boc-protected cis-(2R,3S)-3-hydroxy pipecolic acid. Tetrahedron Lett. 2009, 50, 3489–3492. [Google Scholar]
- Hoarau, S.; Fauchere, J.L.; Pappalardo, L.; Roumestant, M.L.; Viallefont, P. Synthesis of enantiomerically pure (2R, 5S)- and (2R, 5R)-5-hydroxypipecolic acid from glycinate schiff bases. Tetrahedron Asymmetry 1996, 7, 2585–2593. [Google Scholar]
- Botman, P.N.M.; Dommerholt, F.J.; de Gelder, R.; Broxterman, Q.B.; Schoemaker, H.E.; Rutjes, F.; Blaauw, R.H. Diastereoselective synthesis of (2S,5R)-5-hydroxypipecolic acid and 6-substituted derivatives. Org. Lett. 2004, 6, 4941–4944. [Google Scholar]
- Le Corre, L.; Dhimane, H. Synthesis of 5-substituted pipecolic acid derivatives as new conformationally constrained ornithine and arginine analogues. Tetrahedron Lett. 2005, 46, 7495–7497. [Google Scholar]
- Occhiato, E.G.; Scarpi, D.; Guarna, A.; Tabasso, S.; Deagostino, A.; Prandi, C. A short and convenient synthesis of enantiopure cis- and trans-4-hydroxypipecolic acid. Synthesis 2009, 3611–3616. [Google Scholar]
- Di Nardo, C.; Varela, O. Enantioselective synthesis of (2R,4S)-4-hydroxy-pipecolic acid from d-gluconoheptono-1,4-lactone. J. Org. Chem. 1999, 64, 6119–6125. [Google Scholar]
- Scarpi, D.; Bartali, L.; Casini, A.; Occhiato, E.G. Complementary and stereodivergent approaches to the synthesis of 5-Hydroxy- and 4,5-dihydroxypipecolic acids from enantiopure hydroxylated lactams. Eur. J. Org. Chem. 2013, 1306–1317. [Google Scholar]
- Shewry, P.R.; Fowden, L. 4,5-Dihydroxypipecolic acids in the seed of Julbernardia isoberlinia and Brachystegia. Phytochemistry 1976, 15, 1981–1983. [Google Scholar]
- Marlier, M.; Dardenne, G.; Casimir, M. 2S-Carboxy-4R,5S-dihydroxypiperidine et 2S-carboxy-4S,5S-dihydroxypiperidine a partir de Derris elliptica. Phytochemistry 1976, 15, 183–185. [Google Scholar]
- Uhrig, M.L.; Simirgiotis, M.J.; Varela, O. Enantiospecific synthesis of the sugar amino acid (2S,5S)-5-(aminomethyl)-tetrahydrofuran-2-carboxylic acid. Tetrahedron Asymmetry 2010, 21, 2435–2440. [Google Scholar]
- Gómez, R.V.; Kolender, A.A.; Varela, O. Synthesis of polyhydroxy amino acids based on d- and l-alanine from d-glycero-d-gulo-heptono-1,4-lactone. Carbohydr. Res. 2006, 341, 1498–1504. [Google Scholar]
- Frisch, M.J.; Trucks, G.W.; Schlegel, H.B.; Scuseria, G.E.; Robb, M.A.; Cheeseman, J.R.; Scalmani, G.; Barone, V.; Mennucci, B.; Petersson, G.A.; et al. Gaussian Software, version 09 revision D01; Gaussian Inc.: Wallingford, CT, USA, 2009. [Google Scholar]
- Sample Availability: Samples of the compounds are available from the authors.
© 2014 by the authors. Licensee MDPI, Basel, Switzerland. This article is an open access article distributed under the terms and conditions of the Creative Commons Attribution license ( http://creativecommons.org/licenses/by/4.0/).