TOMBU and COMBU as Novel Uronium-Type Peptide Coupling Reagents Derived from Oxyma-B
Abstract
:1. Introduction



2. Results and Discussion
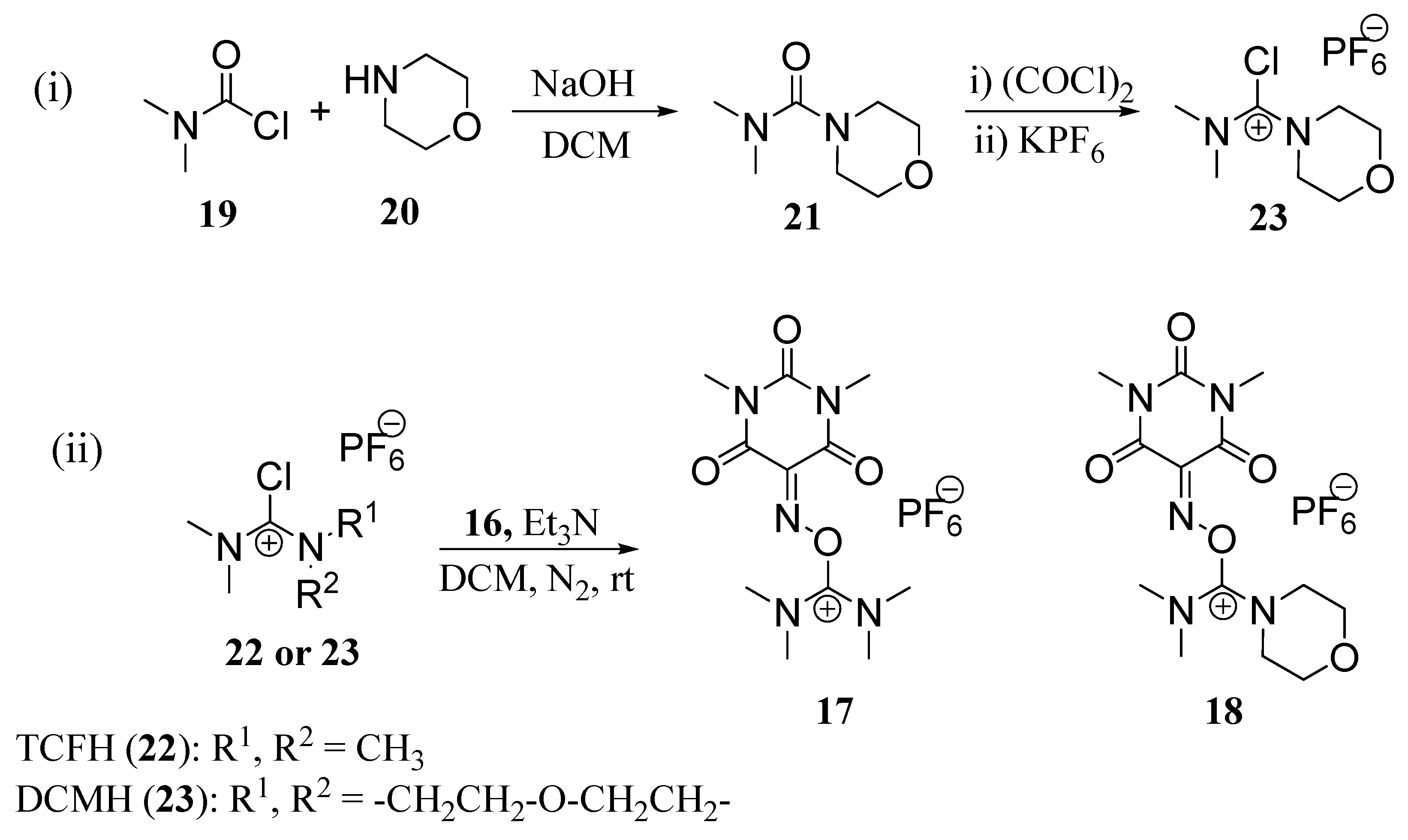
2.1. Preparation of TOMBU and COMBU

2.2. Solubility
| Entry | Coupling Reagent | Molarity |
|---|---|---|
| 1 | HBTU (4) | 0.46 |
| 2 | HATU (5) | 0.45 |
| 3 | COMU (11) | 1.38 |
| 4 | TOMBU (17) | 0.28 |
| 5 | COMBU (18) | 0.71 |
2.3. Hydrolytic Stability
| Entry | Coupling Reagent | 2 min | 1 h | 4 h | 6 h | 24 h | 48 h |
|---|---|---|---|---|---|---|---|
| 1 | HBTU (4) | 100 | 100 | 100 | 100 | 100 | 100 |
| 2 | HATU (5) | 100 | 100 | 100 | 100 | 100 | 99 |
| 3 | COMU (11) | 93 | 79 | 45 | 32 | 3 | 0 |
| 4 | TOMBU (17) | 97 | 95 | 89 | 84 | 35 | 13 |
| 5 | COMBU (18) | 88 | 85 | 70 | 61 | 10 | 0 |
2.4. Racemization Control
| Entry | Coupling Reagent | Yield (%)[b] | DL (%)[c] |
|---|---|---|---|
| 1 | HBTU (4) | 93 | 7 |
| 2 | HATU (5) | 96 | 4 |
| 3 | COMU (11) | 98 | 1 |
| 4 | TOMBU (17) | 99 | 1 |
| 5 | COMBU (18) | 93 | 1 |
| Entry | Coupling Reagent | Yield (%) [b] | LDL (%) [c] |
|---|---|---|---|
| 1 | HBTU (4) | 97 | 30 |
| 2 | HATU (5) | 98 | 7 |
| 3 | COMU (11) | 98 | 14 |
| 4 | TOMBU (17) | 92 | 13 |
| 5 | COMBU (18) | 91 | 17 |
2.5. Coupling Efficiency
| Entry | Coupling Reagent | Base (equiv.) | Pentapeptide (%) | des-Aib (%) [b] |
|---|---|---|---|---|
| 1 | HBTU (4) | DIEA (2) | 53 | 47 |
| 2 | HATU (5) | DIEA (2) | 98 | 2 |
| 3 | COMU (11) | DIEA (2) | 99 | 1 |
| 4 | TOMBU (17) | DIEA (2) | 90 | 10 |
| 5 | COMBU (18) | DIEA (2) | 82 | 18 |
| 6 | COMBU (18) | DIEA (2) [c] | 84 | 16 |
3. Experimental Section
3.1. Materials
3.2. Synthesis of N,N-Dimethylmorpholine-4-carboxamide (DMU)
3.3. Synthesis of 4-[(Dimethyamino)chloromethylene]morpholin-4-iminium Hexafluorophosphate (DCMH)
3.4. General Procedure for the Preparation of Uronium-Type Coupling Reagents Based on Oxyma-B
3.4.1. N-((1,3-Dimethyl-2,4,6-trioxotetrahydropyrimidin-5(6H)-ylideneaminooxy)(dimethylamino) methylene)-N-methylmethanaminiumhexafluorophosphate (TOMBU, 17)
3.4.2. 4-((1,3-Dimethyl-2,4,6-trioxotetrahydropyrimidin-5(6H) ylideneaminooxy)(dimethylamino) methylene)morpholin-4-ium hexafluorophosphate (COMBU, 18)
3.5. Solubility Test
3.6. Hydrolytic Stability Test
3.7. General Method for the Racemization Experiments
3.7.1. Z-Phg-Pro-NH2
3.7.2. Z-Phe-Val-Pro-NH2
3.8. Solid-Phase Synthesis of H-Tyr-Aib-Aib-Phe-Leu-NH2
4. Conclusions
Supplementary Materials
Supplementary Files
Supplementary File 1Acknowledgments
Author Contributions
Conflicts of Interest
References
- Albericio, F.; Carpino, L.A. Coupling reagents and activation. In Methods Enzymol; Gregg, B.F., Ed.; Academic Press: Waltham, MA, USA, 1997; Volume 289, pp. 104–126. [Google Scholar]
- Humphrey, J.M.; Chamberlin, A.R. Chemical synthesis of natural product peptides: Coupling methods for the incorporation of noncoded amino acids into peptides. Chem. Rev. 1997, 97, 2243–2266. [Google Scholar] [CrossRef] [PubMed]
- Han, S.-Y.; Kim, Y.-A. Recent development of peptide coupling reagents in organic synthesis. Tetrahedron 2004, 60, 2447–2467. [Google Scholar] [CrossRef]
- Montalbetti, C.A.G.N.; Falque, V. Amide bond formation and peptide coupling. Tetrahedron 2005, 61, 10827–10852. [Google Scholar] [CrossRef]
- Valeur, E.; Bradley, M. Amide bond formation: Beyond the myth of coupling reagents. Chem. Soc. Rev. 2009, 38, 606–631. [Google Scholar] [CrossRef] [PubMed]
- El-Faham, A.; Albericio, F. Peptide coupling reagents, more than a letter soup. Chem. Rev. 2011, 111, 6557–6602. [Google Scholar] [CrossRef] [PubMed]
- Albericio, F.; Chinchilla, R.; Dodsworth, D.J.; Najera, C. New trends in peptide couplingreagents. Org. Prep. Proced. Int. 2001, 33, 203–303. [Google Scholar] [CrossRef]
- Subirós-Funosas, R.; Albericio, F.; El-Faham, A. N-hydroxylamines for peptide synthesis. In Patai’s Chemistry of Functional Groups; John Wiley & Sons, Ltd: Hoboken, NJ, USA, 2009. [Google Scholar]
- König, W.; Geiger, R. Eine neue methode zur synthese von peptiden: Aktivierung der carboxylgruppe mit dicyclohexylcarbodiimid unter zusatz von 1-hydroxy-benzotriazolen. Chem. Ber. 1970, 103, 788–798. [Google Scholar] [CrossRef] [PubMed]
- Carpino, L.A. 1-Hydroxy-7-azabenzotriazole. An efficient peptide coupling additive. J. Am. Chem. Soc. 1993, 115, 4397–4398. [Google Scholar] [CrossRef]
- Sabatino, G.; Mulinacci, B.; Alcaro, M.C.; Chelli, M.; Rovero, P.; Papini, A.M. Peptides 2002, Proceedings of the Twenty-Seventh European Peptide Symposium, Sorrento, Italy, 31 August–6 September 2002; p. 272.
- Knorr, R.; Trzeciak, A.; Bannwarth, W.; Gillessen, D. New coupling reagents in peptide chemistry. Tetrahedron Lett. 1989, 30, 1927–1930. [Google Scholar] [CrossRef]
- Dourtoglou, V.; Ziegler, J.-C.; Gross, B. L’hexafluorophosphate de o-benzotriazolyl-n,n-tetramethyluronium: Un reactif de couplage peptidique nouveau et efficace. Tetrahedron Lett. 1978, 19, 1269–1272. [Google Scholar] [CrossRef]
- Carpino, L.A.; El-Faham, A.; Albericio, F. Racemization studies during solid-phase peptide synthesis using azabenzotriazole-based coupling reagents. Tetrahedron Lett. 1994, 35, 2279–2282. [Google Scholar] [CrossRef]
- Carpino, L.A.; El-Faham, A.; Minor, C.A.; Albericio, F. Advantageous applications of azabenzotriazole (triazolopyridine)-based coupling reagents to solid-phase peptide synthesis. J. Chem. Soc. Chem. Commun. 1994, 201–203. [Google Scholar] [CrossRef]
- Marder, O.; Shvo, Y.; Albericio, F. HCTU and TCTU. New coupling reagents: Development and industrial aspects. Chim. Oggi-Chem. Today 2002, 20, 37–41. [Google Scholar]
- Albericio, F.; Bofill, J.M.; El-Faham, A.; Kates, S.A. Use of onium salt-based coupling reagents in peptide synthesis. J. Org. Chem. 1998, 63, 9678–9683. [Google Scholar] [CrossRef]
- El-Faham, A.; Albericio, F. Novel proton acceptor immonium-type coupling reagents: Application in solution and solid-phase peptide synthesis. Org. Lett. 2007, 9, 4475–4477. [Google Scholar] [CrossRef] [PubMed]
- El-Faham, A.; Albericio, F. Morpholine-based immonium and halogenoamidinium salts as coupling reagents in peptide synthesis. J. Org. Chem. 2008, 73, 2731–2737. [Google Scholar] [CrossRef] [PubMed]
- Subirós-Funosas, R.; Prohens, R.; Barbas, R.; El-Faham, A.; Albericio, F. Oxyma: An efficient additive for peptide synthesis to replace the benzotriazole-based HOBt and HOAt with a lower risk of explosion. Chemistry 2009, 15, 9394–9403. [Google Scholar] [CrossRef] [PubMed]
- El-Faham, A.; Funosas, R.S.; Prohens, R.; Albericio, F. COMU: A safer and more effective replacement for benzotriazole-based uronium coupling reagents. Chemistry 2009, 15, 9404–9416. [Google Scholar] [CrossRef] [PubMed]
- El-Faham, A.; Albericio, F. COMU: A third generation of uronium-type coupling reagents. J. Pept. Sci. 2010, 16, 6–9. [Google Scholar] [CrossRef] [PubMed]
- Subiros-Funosas, R.; Khattab, S.N.; Nieto-Rodriguez, L.; El-Faham, A.; Albericio, F. Advances in acylation methodologies enabled by Oxyma-based reagents. Aldrichim. Acta 2013, 46, 21–40. [Google Scholar]
- Wehrstedt, K.D.; Wandrey, P.A.; Heitkamp, D. Explosive properties of 1-hydroxybenzotriazoles. J. Hazard. Mater. 2005, A126, 1–7. [Google Scholar]
- El-Faham, A.; Subirós-Funosas, R.; Albericio, F. A novel family of onium salts based upon isonitroso meldrum's acid proves useful as peptide coupling reagents. Eur. J. Org. Chem. 2010, 2010, 3641–3649. [Google Scholar] [CrossRef]
- Jad, Y.E.; Khattab, S.N.; de la Torre, B.G.; Govender, T.; Kruger, H.G.; El-Faham, A.; Albericio, F. Oxyma-B, an excellent racemization suppressor for peptide synthesis. Org. Biomol. Chem. 2014, 12, 8379–8385. [Google Scholar] [CrossRef] [PubMed]
- El-Faham, A.; Khattab, S.N.; Abdul-Ghani, M.; Albericio, F. Design and synthesis of new immonium-type coupling reagents. Eur. J. Org. Chem. 2006, 1563–1573. [Google Scholar] [CrossRef]
- Abdelmoty, I.; Albericio, F.; Carpino, L.; Foxman, B.; Kates, S. Structural studies of reagents for peptide bond formation: Crystal and molecular structures of HBTU and HATU. Lett. Pept. Sci. 1994, 1, 57–67. [Google Scholar] [CrossRef]
- Carpino, L.A.; Imazumi, H.; El-Faham, A.; Ferrer, F.J.; Zhang, C.; Lee, Y.; Foxman, B.M.; Henklein, P.; Hanay, C.; Mügge, C.; et al. The uronium/guanidinium peptide coupling reagents: Finally the true uronium salts. Angew. Chem. Int. Ed. 2002, 41, 441–445. [Google Scholar] [CrossRef]
- Carpino, L.A.; Henklein, P.; Foxman, B.M.; Abdelmoty, I.; Costisella, B.; Wray, V.; Domke, T.; El-Faham, A.; Mugge, C. The solid state and solution structure of HAPyU. J. Org. Chem. 2001, 66, 5245–5247. [Google Scholar] [CrossRef] [PubMed]
- El-Faham, A.; Khattab, S.N.; Subiros-Funosas, R.; Albericio, F. BOP-OXy, BOP-OBt, and BOP-OAt: Novel organophosphinic coupling reagents useful for solution and solid-phase peptide synthesis. J. Pept. Sci. 2014, 20, 1–6. [Google Scholar] [CrossRef] [PubMed]
- Sample Availability: Samples of the all compounds are available from the authors.
© 2014 by the authors. Licensee MDPI, Basel, Switzerland. This article is an open access article distributed under the terms and conditions of the Creative Commons Attribution license ( http://creativecommons.org/licenses/by/4.0/).
Share and Cite
Jad, Y.E.; Khattab, S.N.; De la Torre, B.G.; Govender, T.; Kruger, H.G.; El-Faham, A.; Albericio, F. TOMBU and COMBU as Novel Uronium-Type Peptide Coupling Reagents Derived from Oxyma-B. Molecules 2014, 19, 18953-18965. https://doi.org/10.3390/molecules191118953
Jad YE, Khattab SN, De la Torre BG, Govender T, Kruger HG, El-Faham A, Albericio F. TOMBU and COMBU as Novel Uronium-Type Peptide Coupling Reagents Derived from Oxyma-B. Molecules. 2014; 19(11):18953-18965. https://doi.org/10.3390/molecules191118953
Chicago/Turabian StyleJad, Yahya E., Sherine N. Khattab, Beatriz G. De la Torre, Thavendran Govender, Hendrik G. Kruger, Ayman El-Faham, and Fernando Albericio. 2014. "TOMBU and COMBU as Novel Uronium-Type Peptide Coupling Reagents Derived from Oxyma-B" Molecules 19, no. 11: 18953-18965. https://doi.org/10.3390/molecules191118953
APA StyleJad, Y. E., Khattab, S. N., De la Torre, B. G., Govender, T., Kruger, H. G., El-Faham, A., & Albericio, F. (2014). TOMBU and COMBU as Novel Uronium-Type Peptide Coupling Reagents Derived from Oxyma-B. Molecules, 19(11), 18953-18965. https://doi.org/10.3390/molecules191118953

