Next Article in Journal
Hydrogen Sulfide and Polysulfides as Biological Mediators
Next Article in Special Issue
QM/MM Calculations with deMon2k
Previous Article in Journal
Resveratrol and Endothelial Nitric Oxide
Previous Article in Special Issue
A Multi-Scale Computational Study on the Mechanism of Streptococcus pneumoniae Nicotinamidase (SpNic)
 
 
Font Type:
Arial Georgia Verdana
Font Size:
Aa Aa Aa
Line Spacing:
Column Width:
Background:
Article

State-Dependent Molecular Dynamics

Department of Aeronautics and Astronautics, National Cheng Kung University, Tainan 701, Taiwan
*
Author to whom correspondence should be addressed.
Molecules 2014, 19(10), 16122-16145; https://doi.org/10.3390/molecules191016122
Submission received: 24 July 2014 / Revised: 4 September 2014 / Accepted: 17 September 2014 / Published: 9 October 2014

Abstract

:
This paper proposes a new mixed quantum mechanics (QM)—molecular mechanics (MM) approach, where MM is replaced by quantum Hamilton mechanics (QHM), which inherits the modeling capability of MM, while preserving the state-dependent nature of QM. QHM, a single mechanics playing the roles of QM and MM simultaneously, will be employed here to derive the three-dimensional quantum dynamics of diatomic molecules. The resulting state-dependent molecular dynamics including vibration, rotation and spin are shown to completely agree with the QM description and well match the experimental vibration-rotation spectrum. QHM can be incorporated into the framework of a mixed quantum-classical Bohmian method to enable a trajectory interpretation of orbital-spin interaction and spin entanglement in molecular dynamics.

1. Introduction

One of the greatest challenges in molecular dynamics (MD) is to model processes involving many degrees of freedom, some of which have to be treated quantum mechanically. The combined quantum mechanics (QM) and molecular mechanics (MM) approach to MD [1,2] provides tremendous computational advantages over full quantum mechanical models by treating a limited region of a molecular system quantum mechanically, while treating the rest of the system by using conventional MM methods. The QM part corresponds to what is to be studied in detail, such as the regions involving charge transfer, electron excitations or chemical reactions. The atoms in the QM part are explicitly expressed as electrons and nuclei such that their motions are described quantum mechanically. Quantum effects in MD simulation have been taken into account by various techniques, such as pseudo-spectral methods [3], path integral methods [4], Car–Parrinello-type simulations [5], molecular wave packet dynamics [6] and density matrix evolution method [7]. The performance of a hybrid QM/MM method has been extensively investigated by Billing and coworkers [8]. Brickmann and Schmitt [9] employed a sequence of approximations to transfer the mixed QM/MM dynamics into a Hamilton–Jacobi-type scheme, which is able to formulate the equations of motion by using a single Hamiltonian.
The QM/MM approach to MD simulation of molecular systems mainly relies on the Born–Oppenheimer approximation that a molecular motion can be separated into two independent motions: one is the classical atomic motion on a single adiabatic potential energy surface and the other is the quantum electronic motion in the presence of a time-dependent potential generated by the moving classical atoms. However, there are a huge number of problems for which the interaction between classical and quantum motion is so significant that the Born–Oppenheimer approximation may become invalid. For such problems, the QM/MM approach to MD simulation inevitably faces the crucial issue of self-consistency. The quantum degrees of freedom must evolve correctly under the influence of the surrounding classical motion, and meanwhile, the classical degrees of freedom must respond correctly to the quantum transitions. Therefore, a self-consistent QM/MM approach has to consider not only the effect of the classical degrees of freedom on the quantum ones but also the backreaction of the quantum effect on the classical degrees of freedom.
Two mixed quantum-classical methods that have been developed in the literature to treat the interactions between classical and quantum systems in a self-consistent way are the mean-field method [10] and the surface-hopping method [11]. The mean-field method calculates the force for the classical motion by averaging over the quantum wave function. This method is invariant to the choice of quantum representations and applicable to both bound and continuum states, but it suffers from the neglect of correlations between classical and quantum degree of freedom. On the other hand, the surface-hopping method was developed to manifest quantum-classical correlation, but it is not invariant to the choice of quantum representations and is intrinsically limited to discrete quantum states. Although both methods have their respective limitations, they have been proven to be successful in many applications.
In the latest decade, a novel solution to the quantum backreaction problem in a mixed QM/MM simulation has been proposed using the Bohmian formulation of quantum mechanics [12,13]. The mixed quantum-classical Bohmian (MQCB) approach combines the merits of the above two methods and gives a consistent treatment of mixing quantum and classical degrees of freedom without reference to any basis set. The MQCB method has been applied to the process of vibrational decoherence of I2 in a dense helium environment [14], to the case of rotational diffractive surface scattering of a diatomic molecule [15] and to a model of O2 interacting with a Pt surface [16], all with good agreement with the full quantum-mechanical treatments.
The current formulation of Bohmian mechanic is mainly based on Cartesian coordinates, which is inconvenient to the description of molecular angular motions. This paper aims to incorporate quantum Hamilton mechanics (QHM) [17,18,19] into the framework of the MQCB method to enhance its capability of handling orbital and spin angular motions. It is well known that the Bohmian velocity vanishes in all of the stationary states with zero angular quantum number, and therefore, the corresponding Bohmian particles will remain standing at their initial positions at any time [20]. QHM, on the one hand, conquers the problem of Bohmian stationarity by formulating Bohmian mechanics in complex space, and on the other, describes MD in terms of Hamilton equations of motion, which are coordinate-independent and suitable to any curvilinear coordinates.
With the proposed modifications by QHM, the computational procedures of MQCB developed in the literature can be used to simulate molecular dynamics, including vibration, rotation and spin motions. The correctness of the derived state-dependent molecular dynamics will be verified by comparing with the quantum mechanical description of a diatomic molecule for which the Schrödinger equation has an analytical solution. Of significance is that the spin dynamics, which cannot be described by spatial wave functions, emerges naturally from the established state-dependent molecular dynamics.
In Section 2, we introduce the working equations of the MQCB method to describe the motion of a diatomic molecule in Cartesian coordinates. QHM is then introduced in Section 3 to reformulate Bohmian mechanics under spherical coordinates. We show that QHM is a single mechanics simultaneously playing the roles of QM and MM by pointing out that QHM comprises two sets of Hamilton equations with the first set describing the vibration-rotation motion of the molecule and the second set describing the time evolution of the wave function. State-dependent vibrational dynamics fully consistent with QM is derived from QHM in Section 4. Section 5 demonstrates how to incorporate molecular spin dynamics into MD simulation under the same motion space governed by QHM. The resulting state-dependent molecular dynamics is found to agree with the prediction of QM and well match the experimental vibration-rotation spectrum.
Figure 1. (a) A diatomic molecule composed of Nuclei A and B, together with a number of N electrons; (b) An equivalent single-particle model of the diatomic molecule with rotation and vibration motion described by the spherical coordinates.
Figure 1. (a) A diatomic molecule composed of Nuclei A and B, together with a number of N electrons; (b) An equivalent single-particle model of the diatomic molecule with rotation and vibration motion described by the spherical coordinates.
Molecules 19 16122 g001

2. Mixed Quantum-Classical Mechanics

In this section, we review the basics of the MQCB method by applying it to simulate the motion of a diatomic molecule, which is composed of Nuclei A and B, of mass MA and MB together with a number N of electrons (see Figure 1). The internuclear position vector will be denoted by X and the position vectors of the electrons with respect to O, the center of mass of A and B, by r1, r2,⋯, rN. The position vectors of A and B are denoted by RA and RB, so that = RARB. The Schrödinger equation describing the motion of the molecule takes the following form [12,13]:
i ħ t Ψ ( t , x , X ) = [ ħ 2 2 m 2 x 2 ħ 2 2 M 2 X 2 + V ( x , X ) ] Ψ ( t , x , X )
where x = [r1 r2r3] is the collective vector representing the quantum motion of the electrons and X is the vector representing the classical motion of the nuclei.
Writing the wave function as Ψ(t,x,X) = RB(t,x,X) exp (iSB(t,x,X)) with RB and SB being real, Equation (2.1) can be separated into three coupled equations in terms of RB, SB and their derivatives. For a computed SB, the Bohmian velocity is given by:
d x d t = 1 m S B ( t , x , X ) x ,     d X d t = 1 M S B ( t , x , X ) X
where m is the mass of electron and M = MAMB/(MA + MB) is the reduced mass of the molecule. With the introduction of the quantum potential:
Q ( t , x , X ) = ħ 2 2 m 1 R B 2 R B x 2 ħ 2 2 M 1 R B 2 R B X 2
Equation (2.2) can be recast into classical-like equations of motion:
d 2 x d t 2 = 1 m ( V ( t , x , X ) + Q ( t , x , X ) ) d x
d 2 X d t 2 = 1 M ( V ( t , x , X ) + Q ( t , x , X ) ) d X
A workable scheme of MQCB has been implemented successfully by replacing the full-dimensional wave function Ψ(t,x,X) by a wave function Molecules 19 16122 i001 in the x quantum subspace that depends parametrically on the classical position X(t). The approximate wave function Molecules 19 16122 i001 obeys the Schrödinger equation:
i ħ d d t Ψ ˜ ( t , x , X ( t ) ) = [ ħ 2 2 m 2 x 2 + V ( x , X ( t ) ) ] Ψ ˜ ( t , x , X ( t ) )
where d / dt denotes the material derivative ∂ / ∂t + ∙ 𝛻 along the classical trajectory X(t). The MQCB method and the mean-field method share the same quantum degree of freedom described by Equation (2.4), but differ from each other in the way that the classical degree of freedom is governed by the quantum wave function. Instead of Equation (2.5), the classical trajectory X(t) for the mean-field method is computed by the mean potential:
d 2 X d t 2 = 1 M d X V eff ( t , X ) = 1 M d X | Ψ ( t , x , X ) | 2 V ( x , X ) d x
Upon applying Equation (2.5) or Equation (2.7) to a diatomic molecule, we find that it is convenient to express the vector X in the spherical coordinates (r,θ,ϕ) in order to describe the vibration and rotation of the two atoms with respect to their center of mass. However, the expressions of quantum motion described by Equation (2.2) to Equation (2.7) are valid only for Cartesian coordinates. To give an explicit manifestation of the orbital and spin angular motion of the molecules, the reformulation of Bohmian mechanics under spherical coordinates is necessary.
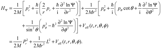
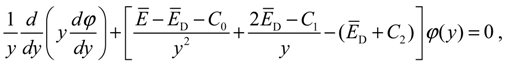
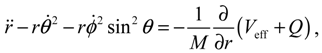
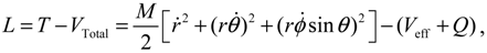
It will be shown in the next section that QHM provides MQCB with state-dependent molecular dynamics, which preserve the quantization property of orbital and spin angular momentum. By contrast, in the mean-field method, the classical trajectories X(t) over different quantum states are averaged out to give a state-independent result, as can be seen from Equation (2.7). To compare with the QHM formulation discussed later, here let us have a quick look on the description of the vibration-rotation motion of a diatomic molecule by the classical Equation (2.7). With the effective potential Veff(t,X) = Veff(t,r,θ,ϕ) given by Equation (2.7), the classical Hamiltonian governing the 3D relative motion of the two nuclei with respect to their center of mass can be expressed by:
Molecules 19 16122 i002
The molecular dynamics (r(t),θ(τ),ϕ(t)) can be solved from the Hamilton equations:
Molecules 19 16122 i003
Molecules 19 16122 i004
Molecules 19 16122 i005
Molecules 19 16122 i006
It is clear that the vibrational and rotational motions of the molecule are determined uniquely by the effective potential Veff(t,r,θ,ϕ) with initial conditions (r(0),θ(0),ϕ(0)) and (pr(0),pθ(0),pϕ(0)). In the case of a central-force potential Veff(r), the total energy Hc, the squared angular momentum L2 and the z-component angular momentum Lz are conserved quantities along any dynamic trajectory (r(t),θ(τ),ϕ(t)):
Molecules 19 16122 i007
where the three conservation constants depend continuously on the initial conditions. In the next section, a quantum version of the classical Hamilton Equations (2.9) and (2.10) will be derived by QHM. The resulting quantum Hamilton equations can describe molecular dynamics in a general non-stationary quantum state Ψ(t,r,θ,ϕ), and a quantum version of the conservation law (2.11) comes out naturally, if Ψ(t,r,θ,ϕ) is an eigenfunction.

3. Quantum Hamilton Mechanics

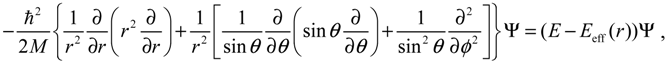
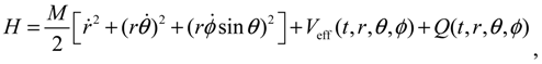
Consider the diatomic molecule as shown in Figure 1b. Let q be the internuclear position vector expressed in a curvilinear coordinate system, Veff(t,q) be the instantaneous internuclear potential, and M be the reduced mass. The Schrödinger equation describing the molecular motion can be recast into the quantum Hamilton-Jacobi equation [17,20]:
S t + H Ψ ( t , q , p ) | p = S = S t + [ 1 2 M p p + V eff ( t , q ) i ħ 2 M p ] p = S / q = 0
where the action function S is the logarithmic wave function defined as:
S(t,q) = −iħln Ψ(t,q) .
The canonical momentum p in Equation (3.1) is related to the action function S via the law of canonical transformation:
Molecules 19 16122 i008
The appearance of the imaginary number Molecules 19 16122 i009 indicates that the momentum p has to be defined in a complex domain. In Cartesian coordinates, we have Molecules 19 16122 i010 and the particle’s velocity Molecules 19 16122 i011 can be determined by the wave function Ψ as
Molecules 19 16122 i012
which is the governing equation in the complex-valued Bohmian mechanics [21]. It is the complex momentum p from Equation (3.3) rather than the real momentum from Equation (2.2) that matches the momentum distribution provided by standard quantum mechanics [20]. The relationship between the real and complex momentum can be found as:
S q = S B q i ħ 1 R B R B q
It can be seen that the real Bohmian trajectory solved from Molecules 19 16122 i013 only carry information about the dynamics of the momentum flow, while the complex trajectory solved from Molecules 19 16122 i014 also includes information about the probability RB = |Ψ|. The dynamics in the complex phase space (q,p) thus explains in a natural way how to get the correct momentum distribution and explains why algorithms based on complex trajectories are stable and accurate [22,23,24,25,26,27,28]. The advantages of implementing numerical codes in a complex phase space are similar to those of considering complex fields instead of real ones in electromagnetism [20].
When compared with the classical Hamiltonian Hc in Equation (2.8), the quantum Hamiltonian HΨ defined in Equation (3.1) has an additional term called complex quantum potential, which in the state Ψ can be expressed by:
Molecules 19 16122 i015
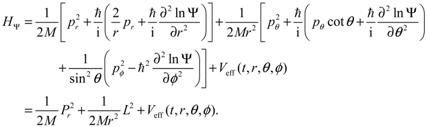
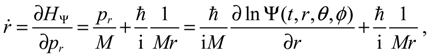
The state-dependent molecular dynamics to be developed here all originate from the state-dependent nature of Q. With the quantum Hamiltonian HΨ defined in Equation (3.1), the accompanying Hamilton equations appear as the usual form:
Molecules 19 16122 i016
The Hamilton equations are coordinate-independent and valid for arbitrary coordinate systems. Especially, in the Cartesian coordinates, we have ∂HΨ/∂q = p/M and the first set of the Hamilton equations (3.7) turns out to be the Bohmian velocity, like the one defined in Equation (2.2).
We now specialize q to the spherical coordinates q = (r,θ,ϕ) with r denoting the internuclear distance, and (θ,ϕ) denoting the orientation of the molecule. By expanding the inner product p ∙ p and the divergence ∇∙ p in spherical coordinates, quantum Hamiltonian HΨ in Equation (3.1) can be expressed by [17]:
Molecules 19 16122 i017
This is the quantum counterpart of the classical Hamiltonian defined in Equation (2.8). Substituting HΨ into Equation (3.7), we obtain the first set of the Hamilton equations as:
Molecules 19 16122 i018
Molecules 19 16122 i019
Molecules 19 16122 i020
where the canonical momentum (pr, pθ, pϕ) has been given according to Equation (3.3):
Molecules 19 16122 i021
Equation (3.9) is the quantum counterpart of the classical equation (2.9) and provides the vibrational and rotational dynamics (r(t), θ(τ), ϕ(t)) of the molecule in the state Ψ(t,r,θ,ϕ), which may be stationary or non-stationary. On the other hand, it can be shown that the second set of Hamilton equation (3.7) with p given by Equation (3.3) is just the Schrödinger equation. In other words, the two sets of Hamilton equations (3.7) provide a new approach to MM/QM formulation, where the first set plays the role of MM to derive the molecular dynamics (3.9), while the second set plays the role of QM to give the time evolution of the wave function Ψ.
The quantum Hamiltonian (3.8) can be expressed in a more comprehensive way with the help of Equation (3.9):
Molecules 19 16122 i022
where the first three terms constitute the classical kinetic energy T, and the last two terms form the total potential:
Molecules 19 16122 i023
The dynamic equations of motion for the molecule can be described either by the Hamilton equations (3.9) or by the Lagrange equations based on the quantum Lagrangian:
Molecules 19 16122 i024
from which the quantum Lagrange equations of motion can be obtained as
Molecules 19 16122 i025
Molecules 19 16122 i026
Molecules 19 16122 i027
It can be seen that apart from the internuclear force produced by Veff, there are additional quantum forces acting on the molecule yielded by the quantum potential Q. In the next two sections, we proceed to show that the action of the quantum potential leads to the state-dependent molecular dynamics compatible with the description of the wave function Ψ.

4. State-Dependent Molecular Vibration

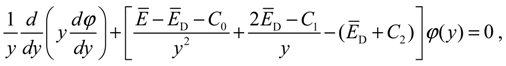
By replacing Equations (2.2) and (2.5) with Equations (3.9) and (3.14), respectively, the computational procedures of MQCB developed in the literature can be used to simulate molecular dynamics including vibration, rotation and spin motions. Before this new QM/MM approach becomes workable, we have to verify that the governing equations derived in Section 3 yield correct molecular dynamics. The verification is based on the comparison with the quantum mechanical description of a diatomic molecule for which the Schrödinger equation relating to the nuclear motion has an analytical solution. The test model is illustrated in Figure 1a, which is an equivalent single-particle model of a diatomic molecule with rotational and vibrational motion described by the spherical coordinates. The effective internuclear potential is modeled by the Morse function and the corresponding Schrödinger equation is solved analytical in the appendix with eigenfunction Ψn,J,mJ (r,θ,ϕ) = Rn,J (rJ,mJ (θmJ (ϕ) given by Equation (A15) and eigenvalue En,J given by Equation (A17). All of the parameters and constants appearing below refer to the Appendix.
Substituting Ψn,J,mJ (r,θ,ϕ) into Equation (3.9), we obtain the state-dependent molecular dynamics as:
Molecules 19 16122 i028
Molecules 19 16122 i029
Molecules 19 16122 i030
where r = βr is the dimensionless radial distance and τ = t(ℏβ2/ M is the dimensionless time. In a quantum state specified by the three quantum numbers n, J and mJ, the internuclear distance r(t) and the molecular orientations θ(τ) and ϕ(t) can be expressed as functions of time by solving Equation (4.1).
As a comparison, if the standard Bohmian mechanics based on Equation (2.2) is used to simulate the molecular dynamics in the eigenstate Ψn,J,mJ (r,θ,ϕ), we will find the molecule to be motionless in all the states with J = 0. The constitution of the complex momentum in Equation (3.5) explains why it is possible to observe non-vanishing momentum in cases where the Bohmian momentum ∇SB vanishes.
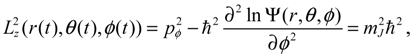
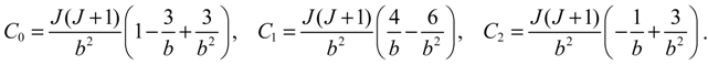
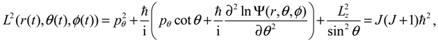
The first test on the accuracy of the state-dependent molecular dynamics is to examine the quantization laws existing in the eigenstate Ψn,J,mJ (r,θ,ϕ). In the previous section, we have seen that in the conventional MM description, the three conservation constants depend continuously on the initial conditions, being unable to manifest the quantization laws. Now replacing Equations (2.8) and (2.9) by Equations (3.8) and (3.9), we can derive the expected quantization laws. With the eigenfunction Ψn,J,mJ (r,θ,ϕ) given by Equation (A15) and (pr,pθ,pϕ) given by Equation (3.10), the Hamiltonian H, the squared angular momentum L2 and the z-component angular momentum Lz defined in Equation (3.8) can be computed as:
Molecules 19 16122 i031
Molecules 19 16122 i032
H ( r ( t ) , θ ( t ) , ϕ ( t ) ) = 1 2 M [ p r 2 + ħ i ( 2 r p r + ħ i 2 ln Ψ ( r , θ , ϕ ) r 2 ) ] + L 2 2 M r 2 + V eff ( r ) = E n , J
We find that the resulting values of Molecules 19 16122 i033, L2 and H are independent of time and are quantized according to the three quantum numbers n, J and mJ. Unlike the probabilistic interpretation in standard quantum mechanics, here, we have given a dynamic interpretation of the quantization laws by showing that the three physical quantities have constant discrete values along any quantum trajectory (r(t),θ(τ),ϕ(t)) solved from Equation (4.1) in the quantum state specified by the three quantum numbers (n,J,mJ).
The second test is on the consistence between the predictions of the equilibrium bond length made between quantum mechanics and state-dependent molecular dynamics. We will show that the equilibrium bond length req that maximizes the radial probability Pr satisfies the dynamical equilibrium condition dr / dt = 0. We first prove this property for the ground vibrational state. Referring to the Appendix, the corresponding radial wave function with n = 0 is given by
R0,J (r) = r−1ez/2zα/2, z = 2ηeβ(rr0) .
The dependence of R0,J (r) on the angular quantum number J is reflected in the relation of α and η to J, as shown in Equation (A14). Substituting R0,J (r) into Equation (4.1a) yields the equation of motion for the rotation-dependent vibration in the ground state:
Molecules 19 16122 i034
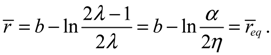
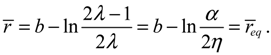
The above radial dynamics has a stable equilibrium point at zeq = α, i.e.,
req = b − ln(α / 2η).
The other equilibrium point is at zeq = 0, i.e., req = ∞, corresponding to the condition of molecular dissociation. Equation (4.5) expresses the equilibrium bond length req as an explicit function of the angular momentum quantum number J. This closed-form expression describes analytically how the equilibrium bond length req increases monotonically with the angular quantum number J. Of significance is that the equilibrium bond length req obtained from the molecular dynamics (4.1a) always coincides with that obtained by QM method. This coincidence has its theoretic origin. We recall the definition of the radial probability:
Molecules 19 16122 i035
by noting that Rn,J (r) given by Equation (A13) is a real function of r. On the other hand, according to the dynamic Equation (4.1a), the equilibrium position req satisfies the condition:
Molecules 19 16122 i036
It appears that the equilibrium condition (4.7) is just the condition requiring the radial probability Pn,J in Equation (4.6) to have an extreme value.
All of the properties obtained from the dynamics equation (4.1a) can be re-derived from the action of the radial total force Molecules 19 16122 i037. As an illustration, we consider the case with J = 0 for which ΘJ,mJ (θ) = 1 and the total potential defined in Equation (3.12) has a simple expression,
Molecules 19 16122 i038
where we note α = 2λ − 1 and η = λ from Equation (A14) for the case of J = 0. The radial total force Molecules 19 16122 i037 now can be determined from Molecules 19 16122 i039 as
Molecules 19 16122 i040
The internuclear distance free from radial force can be found from the condition fr (r) = 0, which leads to
Molecules 19 16122 i041
This value is exactly the equilibrium bond length req already obtained in Equation (4.5) by using the equilibrium condition dr / dt = 0.
The evaluation of Molecules 19 16122 i037 in the vicinity of req gives Molecules 19 16122 i042, if r > req, and Molecules 19 16122 i043, if r < req. The sign of Molecules 19 16122 i037 in the neighborhood of req indicates that the two nuclei attract each other when their distance is longer than req and repel each other when their distance is shorter than req. Consequently, there is always a restoring force to make r return to its equilibrium position req.
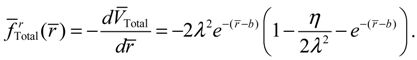
Figure 2 gives a numerical verification of the coincidence of four positions for the state with n = 1 and J = 0: (a) the local minimum of the total potential; (b) the position with fTotal (r) = 0; (c) the equilibrium position with zero velocity dr / dt = 0; and (d) the local maximum of the radial probability P1,0, where the first three positions come from the state-dependent molecular dynamics, while the last position from the QM description.
Figure 2. Illustration of the coincidence of four positions for the state with n = 1 and J = 0: (a) The local minimum of the total potential VTotal and the local maximum of the radial probability P1,0; (b) The position free from the radial force fTotal (r) = 0; (c) The equilibrium position with zero velocity dr / = 0.
Figure 2. Illustration of the coincidence of four positions for the state with n = 1 and J = 0: (a) The local minimum of the total potential VTotal and the local maximum of the radial probability P1,0; (b) The position free from the radial force fTotal (r) = 0; (c) The equilibrium position with zero velocity dr / = 0.
Molecules 19 16122 g002
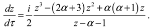
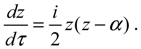
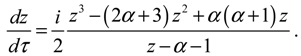
The complex trajectories of r(τ) solved from Equation (4.4) for the four types of diatomic molecules are shown in Figure 3a. It can be seen that the complex trajectories are closed contours circulating about their respective equilibrium positions req computed from Equation (4.5) by using the molecular parameters listed in Table 1. We find that the period of vibration is independent of the actual trajectories and is quantized with respective to the angular quantum number J. This trajectory-independent property can be proven by applying the residue theorem to Equation (4.4):
Molecules 19 16122 i044
where the contour c is an arbitrary closed trajectory solved from Equation (4.4). The contour integral depends only on the poles enclosed by the contours. Because all of the trajectories enclose only one pole at z = α, the contour integral has only one possible value equal to the residue evaluated at this pole. Due to the dependence of α on the angular quantum number J as shown in Equation (A14), the resulting period of vibration is allowed only for some discrete values determined by J.
Figure 3. (a) The ground-state quantum trajectories solved from Equation (4.4) for the four types of diatomic molecules on the complex plane of r. The complex trajectories are closed contours circulating around their respective equilibrium positions req; (b) The time responses of Re(r(t)) give the periods of vibration as TH2 = 0.3840, THCl = 1.2496, TO2 = 0.1203, and TN2 = 0.0941, from which the vibrational frequencies f = 1/T = ℏβ2 / (MT) are computed and compared with the experimental data listed in Table 1.
Figure 3. (a) The ground-state quantum trajectories solved from Equation (4.4) for the four types of diatomic molecules on the complex plane of r. The complex trajectories are closed contours circulating around their respective equilibrium positions req; (b) The time responses of Re(r(t)) give the periods of vibration as TH2 = 0.3840, THCl = 1.2496, TO2 = 0.1203, and TN2 = 0.0941, from which the vibrational frequencies f = 1/T = ℏβ2 / (MT) are computed and compared with the experimental data listed in Table 1.
Molecules 19 16122 g003
Figure 3b illustrates the time responses Re(r(τ)) for the four diatomic molecules in the ground state n = J = 0, wherein the periods of vibration have a simple expression
Molecules 19 16122 i045
The λ values of the four molecules and their periods of vibration computed by Equation (4.12) are listed in Table 1. Also shown in Table 1 are the experimental values fexp of the ground-state vibration frequencies. The comparison between the computational and experimental results gives a relative error about 1%, which is caused by the inexistence of an exact solution to the Schrödinger Equation (A1). The radial wave function Rn,J given by Equation (A13) is only a second-order approximation as described by Equation (A6). The approximation gets better as r is closer to the equilibrium bond length r0 of the Morse potential.
Table 1. Parameters of four diatomic molecules and the comparison of the computed ground-state vibration frequencies fQHM with the measured frequency fexp.
Table 1. Parameters of four diatomic molecules and the comparison of the computed ground-state vibration frequencies fQHM with the measured frequency fexp.
Diatomic MoleculesH-HH-ClO-ON-N
Bond length r0 (m)74 × 10−12127.5 × 10−12148 × 10−12145 × 10−12
Reduced mass (kg/atom)0.837 × 10−271.628 × 10−2713.28 × 10−2711.63 × 10−27
Potential width β (m−1)1.94 × 10101.81 × 10102.67 × 10102.70 × 1010
ED (kg · m2· sec−2)7.11 × 10−197.39 × 10−198.28 × 10−1915.77 × 10−19
Molecules 19 16122 i04616.840325.672252.720367.2966
T = 4π / (2λ − 1)0.38450.24960.12030.09406
T = TM / (ħβ2)8.091 × 10−1511.74 × 10−1521.31 × 10−1514.24 × 10−15
fQHM = 1 / T12,360 × 10108522 × 10104693 × 10107021 × 1010
Experiment fexp12,470 × 10108652 × 10104666 × 10106987 × 1010
|fexpfQHM| / fexp0.8821%1.503%0.5786%0.4866%
The vibration period T given by Equation (4.12) can also be derived by using a state-dependent force constant. A quantum force constant is defined as the second-order derivative of the total potential VTotal (r) evaluated at the equilibrium position req:
Molecules 19 16122 i047
The resulting force constant is state-dependent by noting that VTotal depends on the three quantum numbers (n,J,mJ) as given by Equation (3.12). A specific VTotal has been expressed explicitly in Equation (4.8) for the case of n = J =0, and the substitution of VTotal into Equation (4.13) yields the force constant as:
Molecules 19 16122 i048
Then the classical relation between the vibration period T and the force constant K gives:
Molecules 19 16122 i049
which reproduces the result of Equation (4.12) derived by state-dependent molecular dynamics.
The above discussions of ground vibrational state reveal a remarkable observation that by replacing the internuclear potential with the total potential VTotal, the conventional MM turns out to be state-dependent MM, which then yields consistent results with QM. This observation applies to every quantum state of the molecule. In every quantum state Ψn,J,mJ, there is a total potential VTotal, which completely determines the molecular quantum dynamics within this state. Figure 4 plots the total potentials for the first three vibrational states and their accompanying rotational states. It can be seen that for a vibrational state with quantum number n, there are n + 1 sub-shells, within which rotational states with different quantum number J reside.
Figure 4. The variation of the total potential VTotal with respect to the two quantum numbers n and J. The lowermost points req of VTotal correspond to the equilibrium bond lengths, and the curvatures of VTotal at req correspond to the force constants of the molecule. This figure schematically illustrates how the bond length and the force constant change due to the change of quantum states.
Figure 4. The variation of the total potential VTotal with respect to the two quantum numbers n and J. The lowermost points req of VTotal correspond to the equilibrium bond lengths, and the curvatures of VTotal at req correspond to the force constants of the molecule. This figure schematically illustrates how the bond length and the force constant change due to the change of quantum states.
Molecules 19 16122 g004
In excited vibrational states n ≥ 1, the quantum dynamics (4.1a) has multiple equilibrium points, and the total potential possesses multiple-shell structure. To illustrate this property, we consider the first excited state as an example. The corresponding radial wavefunction is given by:
Molecules 19 16122 i050
and the radial dynamics is obtained from Equation (4.1a) as:
Molecules 19 16122 i051
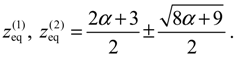
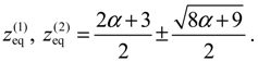
There are two stable equilibrium points in this state, which can be solved from the condition dz / dt = 0 as:
Molecules 19 16122 i052
On the other hand, the total potential in the first excited state is given by Equation (3.12):
Molecules 19 16122 i053
By evaluating the constant α at n = 1 with λ = 2 and b = 3, we have:
Molecules 19 16122 i054
Substituting this α into Equation (4.19), the variation of VTotal (r,θeq) with respect to the angular quantum number J is plotted in Figure 4. It appears that there is a node at z = α + 1, where the total potential approaches to infinity. This infinite potential barrier separates VTotal (r,θ) into two shells. The lowermost point of the inner shell corresponds to the inner equilibrium point Molecules 19 16122 i055, while the lowermost point of the outer shell corresponds to the outer equilibrium point Molecules 19 16122 i056, as given by Equation (4.18). Also shown in Figure 4 is the total potential of the second excited state, which has three shells separated by the two nodes.

5. State-Dependent Orbital and Spin Dynamics

So far our discussions on molecular quantum dynamics are restricted to the radial vibration motion governed by Equation (4.1a). To take angular dynamics into account, all the three equations in Equation (4.1) have to be considered. In the previous sections we have seen that the QM descriptions of the quantum state Ψn,J,mJ can be reproduced in terms of the state-dependent molecular dynamics. Here, we go one-step further to show that the spin dynamics, which cannot be described by the spatial wave function Ψn,J,mJ, emerges naturally from the molecular dynamics (4.1) in the ground state where orbital angular momentum is zero.
Setting n = J = mJ = 0 and substituting R0,0 (z) = ez/2zα/2/r, Θ0,0 (θ) = Φ0 (ϕ) = 1 into Equation (4.1) yields the 3D quantum dynamics in the ground state:
Molecules 19 16122 i057
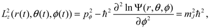
where α and η are given by Equation (A14) with J = 0. We can see that even though the orbital angular quantum number J is set to zero, the angular velocity Molecules 19 16122 i058 is actually not zero. The main reason why spin motion cannot be attributed to orbital motion in standard quantum mechanics is due to the definition of the orbital angular momentum L2. To make this point more apparent, we inspect the expression of L2 defined in Equation (4.2b) with the help of Equation (3.9b):
L 2 = ( M r 2 θ ˙ ) 2 + ħ 2 4 cot 2 θ ħ 2 2 ln Ψ n , J , m J θ 2 + L z 2 sin 2 θ = J ( J + 1 ) ħ 2
In case of J = mJ = 0, we have Molecules 19 16122 i059, ∂2 lnΨn,J,mJ (r,θ,ϕ) / ∂θ2 = ∂2 lnRn,J (r) / ∂θ2 = 0 and the above equation is reduced to:
( M r 2 θ ˙ ) 2 + ( ħ 2 / 4 ) cot 2 θ = 0
In the real domain, the only solution is Molecules 19 16122 i060 and θ = π / 2, which is the well-known spinless motion. However, in the complex domain, Equation (5.3) has a nontrivial solution:
d θ d t = i ħ M r 2 cot θ 2
which is just the θ dynamics in Equation (5.1) in dimensionless form. In other words, the condition of L2 = 0 does not completely nullify the complex-valued angular motion, and we can regard the spin dynamics as the remnant angular dynamics as the orbital angular momentum is zero.
The integration of the θ dynamics with θ = θR + I gives the three regions of trajectories as shown in Figure 5a. Within the Ω0 region, the sign of R / changes alternatively and produces zero mean velocity. Within the Ω region, θR(τ) is monotonically decreasing with a mean value of R / dt equal to −1. Within Ω+ region, θR (τ) is monotonically increasing with a mean value of R / equal to one.
Figure 5. The complex θ(τ) trajectories for the states (a) J = 0, and (b) J = 1 with mJ = 0 solved from Equation (4.1) with r at its equilibrium position. The upper region Ω contains spin-down dynamics with R / < 0, the central region Ω0 contains spinless dynamics exhibiting periodic motion around the equilibrium points and the lower region Ω+ contains spin-up dynamics with R / > 0.
Figure 5. The complex θ(τ) trajectories for the states (a) J = 0, and (b) J = 1 with mJ = 0 solved from Equation (4.1) with r at its equilibrium position. The upper region Ω contains spin-down dynamics with R / < 0, the central region Ω0 contains spinless dynamics exhibiting periodic motion around the equilibrium points and the lower region Ω+ contains spin-up dynamics with R / > 0.
Molecules 19 16122 g005
Although orbital angular momentum is completely depressed by the condition J = mJ = 0, non-zero angular motion does exist in the regions of Ω and Ω+. To relate this remnant angular motion to spin, the next step is to identify the magnitude of this remnant angular momentum. In the regions of Ω and Ω+, we note the following relations for the complex variable θ = θR + I:
cosθ = cosθRcoshθIisinθRsinhθI = e|θI|(cosθRisinθR) / 2, |θI| ≫ 0 ,
sinθ = sinθRcoshθI + icosθRsinhθI = e|θI|(sinθR ± icosθR) / 2, |θI| ≫ 0 .
Therefore, angular momentum in the θ direction becomes:
Molecules 19 16122 i061
In the region Ω0, the θ(τ) dynamics exhibits periodic motion around the equilibrium points and yields zero mean angular velocity. According to the behavior of the θ dynamics, three spin regions can be defined,
Molecules 19 16122 i062
The spin dynamics we discuss so far originates from the wavefunction Ψ = Rn,J (ρJ,mJ (θmJ (ϕ) with ΘJ,mJ (θ) given by Molecules 19 16122 i063, the first-type Legendre function. Indeed, Molecules 19 16122 i063 is only a special solution for ΘJ,mJ (θ) whose general solution can be represented by:
Θ J , m J ( θ ) = B 1 P J m J ( cos θ ) + B 2 Q J m J ( cos θ )
where Molecules 19 16122 i064 is the second-type Legendre function. It can be shown by integration Equation (4.1) with Molecules 19 16122 i065 that the direction of the angular motion produced by Molecules 19 16122 i066 is always anti-parallel to that produced by Molecules 19 16122 i063. Therefore, in the same quantum state specified by the spatial quantum numbers (n,J,mJ), the molecule can behave either according to the spin dynamics with Molecules 19 16122 i067 or to the anti-spin dynamics with Molecules 19 16122 i065. For the former case, we say that the molecule is in a sub-state of (n,J,mJ) denoted by (n,J,mJ,1/2), and for the latter case, the molecule is in the sub-state (n,J,mJ,−1/2). Furthermore, an entangled spin dynamics can be simulated according to the state-dependent molecular dynamics by expressing ΘJ,mJ(θ) as a linear combination of Molecules 19 16122 i063 and Molecules 19 16122 i066 as described by Equation (5.8).
In the ground state, we have seen that the orbital angular motion vanishes and the remnant angular motion in the θ direction emerges as the spin dynamics. We proceed to demonstrate that in excited states, orbital and spin motions coexist and both contribute to angular momentum. To examine the interaction between orbital and spin dynamics, we next consider quantum states with J = 1 and mJ = 0. Since the z-component angular momentum Lz is zero in these quantum states, we are interested in where the orbital angular momentum emerges and how it interacts with the spin angular momentum. The θ and ϕ dynamics for these quantum states are governed by Equations (4.1b) and (4.1c) as:
Molecules 19 16122 i068
The trajectories of θ (t) on the complex θRθI plane are illustrated in Figure 5b, where it can be seen that as in the ground state, three regions representing three angular motions come about. In the region Ω (θI ≫ 0), θR is monotonically decreasing, while in the region Ω+ (θI ≪ 0), θR is monotonically increasing. In the central region Ω0, θR is a periodic function of time. In conjunction with the relation (5.5), the mean angular momentum of Equation (5.9) becomes:
Molecules 19 16122 i069
Comparing with Equation (5.7), we find that in the regions of Ω and Ω+, the angular momentum contains an additional component ħ contributed from the orbital motion J = 1 apart from the spin angular momentum ħ/2, indicating that the orbital angular motion, in the states with J = 1, and mJ = 0, is produced solely by the θ dynamics because of Molecules 19 16122 i070.
For a quantum state with quantum number J ≠ 0 and mJ ≠ 0, the θ and ϕ dynamics can be expressed by:
Molecules 19 16122 i071
Making use of Equation (5.5) once again, we obtain a general expression for the angular momentum in the θ and ϕ directions as:
Molecules 19 16122 i072
In summary, in the Ω0 region, one has zero-mean θ dynamics and a quantized z-component angular momentum mJħ, which is a well-known result in QM; while in the Ω and Ω+ regions, one has an angular momentum ±(J + 1/2)ħ in the θ direction and a zero-mean orbital angular momentum in the ϕ direction, which is otherwise unknown to QM.
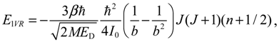
The angular momentum given by Equation (5.12), which is derived from the state-dependent molecular dynamics, provides us with a trajectory-based method to determine the rotational energy of a diatomic molecule and its rotational spectrum. The most used formula of rotational energy takes the following form:
Molecules 19 16122 i073
which treats the molecule as a rigid rotor with moment of inertia I0 = Mr02 / 2. A typical rotational spectrum consists of a series of peaks corresponding to transitions between adjacent levels satisfying ∆J = ±1:
ν rigid = Δ E R h c = B h c ( J + 1 ) ( J + 2 ) B h c J ( J + 1 ) = 2 B ¯ ( J + 1 ) ,     B ¯ = ħ 2 4 h c I 0
The rigid-rotor model assumes a constant internuclear distance r0 and neglects the stretch of the bond as the molecule rotates. To account for bond stretching due to rotation, we consider a refined rotation-energy component ER in the eigenvalue expansion given by Equation (A20), from which the wavenumber of the transition from J + 1 to J can be derived as:
ν non-rigid = 2 B ¯ ( J + 1 ) 4 D ¯ ( J + 1 ) 3 ,     D ¯ = 1 h c E D ( ħ 2 / 4 b I 0 ) 2
where D is a correction factor known as the centrifugal distortion constant. Table 2 lists the measured far infrared absorption spectrum (νexp) [29] for the diatomic molecule H-Cl and the predicted spectrum by the rigid model (νrigid) and the non-rigid model (νnonrigid) with B = 10.58 cm−1 and D = 5.6 × 10−4 cm−1 determined from the molecular parameters listed in Table 1.
Table 2. Comparisons of the four predictions νrigid, νnonrigid, νQHM and νfitting with the measured rotational spectrum νexp.
Table 2. Comparisons of the four predictions νrigid, νnonrigid, νQHM and νfitting with the measured rotational spectrum νexp.
Transitionsνrigid
(cm-1)
νnon-rigid
(cm-1)
νQHM
(cm-1)
νfitting
(cm-1)
νexp
(cm-1)
Molecules 19 16122 i074
J = 0 → 121.1621.1620.8020.8820.880.383%
J = 1 → 242.3242.3041.5741.7441.740.407%
J = 2 → 363.4863.4262.2962.5862.580.463%
J = 3 → 484.6484.4982.9383.3883.320.468%
J = 4 → 5105.8105.52103.47104.14104.130.634%
J = 5 → 6126.96126.48123.87124.83124.730.689%
J = 6 → 7148.12147.35144.11145.45145.370.867%
J = 7 → 8169.28168.13164.16165.97165.891.024%
J = 8 → 9186.65188.81184.01186.40186.231.192%
Instead of using the quantum rotational energy obtained from the eigenvalues of Schrödinger equation, we will give an estimate of the wavenumber of transition based on the classical expression of the rotational energy Molecules 19 16122 i075 with r and Molecules 19 16122 i058 computed by the state-dependent molecular dynamics:
Molecules 19 16122 i076
where Molecules 19 16122 i058 is given by Equation (5.12) and the bond length r is denoted by rJ to emphasize its dependence on the angular quantum number J as given by Equation (4.5) and Equation (A14). An alternative estimate of the wavenumber caused by rotation absorption transition turns out to be:
Molecules 19 16122 i077
With the molecular parameters of HCl given by Table 1, the bond length rJ is calculated by using Equation (4.5) and then substituted into Equation (5.17) to yield the estimated spectrum νQHM.
Table 2 compares the four predictions νrigid, νnonrigid, νQHM and νfitting with the measured rotational spectrum νexp. It can be seen that the wavenumber νfitting is closest to νexp, because νfitting is obtained by tuning the parameters B and D, so that Equation (5.15) best fits the experimental data. The curve fitting gives the best values as B* = 10.44 cm−1 and D* = 5.2 × 10−4 cm−1. The two wavenumbers νnonrigid and νQHM can be compared on the same footing, since both adopt the same molecular parameters listed in Table 1 in the computation. Their difference lies in the model of rotational energy used to compute wavenumbers. The wavenumber νnonrigid is based on the eigen-energy model (A20), while νQHM is based on the QHM model (5.16). Table 2 reveals that the wavenumber νQHM is much closer to the experimental results than νnonrigid.
Theoretically, the description of state-dependent molecular dynamics by QHM is equivalent to QM; however, the actual accuracy depends on the degree of approximation involved in the solution to the wave function. The equilibrium bond length rJ computed from Equation (4.5) is based on the radial wave function Rn,J given by Equation (A13), which is an approximate solution to the radial Schrödinger Equation (A5) by employing the second-order expansion (A6). When the quantum number J increases, the bond length deviates further from the equilibrium position r0 of the Morse potential, and the accuracy of the expansion (A6) gets worse. This tendency explains the degradation of the prediction accuracy of νQHM with respect to the measured rotational spectrum νexp.

6. Conclusions

A new QM/MM approach called quantum Hamilton mechanics (QHM), is proposed in this paper to establish state-dependent molecular dynamics (SDMD) in such a way that the governing equations of SDMD can be derived by MM with solutions compatible with QM. As a complex extension of Bohmian mechanics, QHM is coordinate-independent and especially suitable in curvilinear coordinates to simulate coupled orbital/spin dynamics. The correctness of SDMD has been verified by comparing with the quantum mechanical description of a diatomic molecule for which Schrödinger equation has an analytical solution. The resulting SDMD simultaneously satisfies the continuous-time dynamics governed by MM and the quantized dynamics governed by QM. QHM can be incorporated into the current framework of the mixing quantum/classical Bohmian (MQCB) method to simulate molecular dynamics. The incorporation of QHM with MQCB enables a trajectory interpretation of orbital-spin interaction and makes it possible for us to simulate spin entanglement in molecular dynamics.

Acknowledgments

This work was supported by the Ministry of Science and Technology of Taiwan under Grant No. 102-2221-E-006-201.

Author Contributions

Yang, C.D.: Developed the main principles of quantum Hamilton mechanics and state-dependent molecular dynamics in the paper. Weng, H.J.: Conducted numerical computation and simulation.

Appendix

Solving Schrödinger Equation with 3D Morse Potential

The Schrödinger equation describing the motion of an atomic molecule as shown in Figure 1b takes the following form:
Molecules 19 16122 i078
Whose solution is expressible in terms of the product:
Molecules 19 16122 i079
with Molecules 19 16122 i080 denoting the associated Legendre polynomial. The radial function R(r) satisfies the equation:
Molecules 19 16122 i081
The effective internuclear potential Eeff(r) is modeled by the Morse potential:
VMorse (r) = ED [1 − eβ(rr0)]2 ,
where r0 is the equilibrium bond length, ED is the potential energy for bond formation and β is a parameter controlling the width of the potential well. The three parameters r0, ED, and β are determined from the spectroscopic data.
By rewriting R(r) = φ(r) / r and changing the independent variable from r to y = eβ(rr0), Equation (A3) can be recast into the following form:
Molecules 19 16122 i082
This equation has no analytical solution; an approximate approach is to expand r02 / r2 with respect to y − 1 and retain up to the second-order terms [30]:
Molecules 19 16122 i083
It is noted that as y → 1, we have rr0. Hence, the accuracy of the approximation (A6) is higher when the molecule is closer to its equilibrium position. With this approximation, Equation (A5) becomes:
Molecules 19 16122 i084
where E = E / (β2ħ2 / 2M), ED = ED / (β2ħ2 / 2M), and:
Molecules 19 16122 i085
In order to transfer Equation (A7) into a standard differential equation, we introduce three new parameters:
Molecules 19 16122 i086
and express the solution φ(y) to Equation (A7) in terms of the following form:
φ(z) = ez/2zα/2F(z), z = 2ηy = 2ηeβ(rr0) .
Then Equation (A7) can be reduced to the hypergeometric equation:
Molecules 19 16122 i087
To have a bound solution to the hypergeometric equation, the following condition must be imposed on the constants k and α:
Molecules 19 16122 i088
where the integer n is known as the vibrational quantum number. Under this condition, the radial wave function turns out to be:
Rn,J (r) = r−1ez/2zα/2F(−n,α + 1;z), z = 2ηeβ(rr0),
where F(−n,α + 1;z) is the nth-order hypergeometric polynomial. The parameters α and η in Rn,J (r) are determined by the two quantum numbers n and J as:
Molecules 19 16122 i089
The substitution of the radial wave function Rn,J (r) into Equation (A2) gives the full wave function:
Molecules 19 16122 i090
The bound condition (A12) leads to the quantization of energy. Inserting the definition of α from Equation (A9) to Equation (A12), we obtain:
α2 = (k − 2nv − 1)2 = −4(EEDC0).
Solving for E yields the rotation-dependent energy levels En,J as:
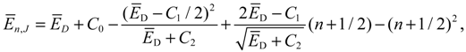
Molecules 19 16122 i091
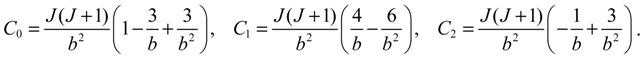
where we note that the three parameters C0, C1 and C2 are functions of the rotational quantum number J as defined in Equation (A8).
For pure vibrational motion with J = 0, we have C0 = C1 = C2 = 0 and Equation (A17) reduces to the pure vibrational energy level:
Molecules 19 16122 i092
The dependence of En,J on the rotational quantum number J can be illustrated by taking Taylor series expansion of En,J with respect to the kinetic rotation energy K = ħ2J(J + 1)/(2Mr02),
En,J = En,0 + ER + E1VR + E2VR + …,
where the second term ER is attributed to a pure rotation motion:
Molecules 19 16122 i093
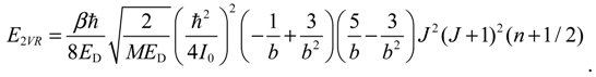
The third and fourth terms in En,J are, respectively, the first-order and second-order vibration-rotation coupling energies:
Molecules 19 16122 i094
Molecules 19 16122 i095

Conflicts of Interest

The authors declare no conflict of interest.

References

  1. Warshel, A.; Levitt, M. Theoretical studies of enzymic reactions: Dielectric, electrostatic and steric stabilization of the carbonium ion in the reaction of lysozyme. J. Mol. Biol. 1976, 103, 227–249. [Google Scholar] [CrossRef] [PubMed]
  2. Laaksonen, A.; Tu, Y. Chapter 1: Methods of incorporating quantum mechanical calculation into molecular dynamics simulation. In Molecular Dynamics: from Classical to Quantum Methods, 1st ed.; Balbuena, P.B., Seminario, J.M., Eds.; Elsevier: Amsterdam, The Netherlands, 1999; Volume 7, pp. 1–29. [Google Scholar]
  3. Kosloff, R. The Fourier method. In Numerical Grid Methods and Their Application to Schrödinger’s Equation, 1st ed.; Cerjan, C., Ed.; Kluwer Academic Publishers: Amsterdam, The Netherlands, 1993; Volume 412, pp. 175–194. [Google Scholar]
  4. Feynman, R.P.; Hibbs, A.R. Quantum Mechanics and Path Integral; McGraw-Hill: New York, NY, USA, 1965. [Google Scholar]
  5. Car, R.; Parrinello, M. A unified approach for molecular dynamics and density-functional theory. Phys. Rev. Lett. 1985, 55, 2471. [Google Scholar] [CrossRef] [PubMed]
  6. Manz, J. Molecular wave packet dynamics. In Theory for Experiments 1926–1996, Femtochemitry and Femtobiology; Sundström, V., Ed.; World Scientific: Singapore, 1998. [Google Scholar]
  7. Berendsen, H.J.C.; Mavri, J. Quantum simulation of reaction dynamics by density matrix evolution. J. Phys. Chem. 1993, 97, 13464–13468. [Google Scholar] [CrossRef]
  8. Billing, G.D. Mixed quantum-classical methods. In Encyclopedia of Computational Chemistry; Schleyer, P.V.R., Ed.; John Wiley and Sons: New York, NY, USA, 1998; pp. 1587–1599. [Google Scholar]
  9. Brickmann, J.; Schmitt, U. Chapter 2: Classical molecular dynamics simulations with quantum degrees of freedom. In Molecular Dynamics: from Classical to Quantum Methods, 1st ed.; Balbuena, P.B., Seminario, J.M., Eds.; Elsevier: Amsterdam, The Netherlands, 1999; Volume 7, pp. 31–60. [Google Scholar]
  10. Billing, G.D. Classical path method in inelastic and reactive scattering. Int. Rev. Phys. Chem. 1994, 13, 309–335. [Google Scholar] [CrossRef]
  11. Tully, J.C. Mixed quantum-classical dynamics. Faraday Discuss. 1998, 110, 407–419. [Google Scholar] [CrossRef]
  12. Gindensperger, E.; Meier, C.; Beswick, J.A. Mixing quantum and classical dynamics using bohmian trajectories. J. Chem. Phys. 2000, 113, 9369–9372. [Google Scholar] [CrossRef]
  13. Gindensperger, E.; Meier, C.; Beswick, J.A. Quantum-classical dynamics including continuum states using quantum trajectories. J. Chem. Phys. 2002, 116, 8–13. [Google Scholar] [CrossRef]
  14. Meier, C.; Beswick, J.A. Femtosecond pump-probe spectroscopy of I2 in a dense rare gas environment: A mixed quantum/classical study of vibrational decoherence. J. Chem. Phys. 2004, 121, 4550–4558. [Google Scholar] [CrossRef] [PubMed]
  15. Gindensperger, E.; Meier, C.; Beswick, J.A.; Heitz, M.-C. Quantum-classical description of rotational diffractive scattering using bohmian trajectories: Comparison with full quantum wave packet results. J. Chem. Phys. 2002, 116, 10051–10059. [Google Scholar] [CrossRef]
  16. Prezhdo, O.V.; Brooksby, C. Quantum backreaction through the bohmian particle. Phys. Rev. Lett. 2001, 86, 3215–3219. [Google Scholar] [CrossRef] [PubMed]
  17. Yang, C.D. Quantum Hamilton mechanics: Hamilton equations of quantum motion, origin of quantum operators, and proof of quantization axiom. Ann. Phys. 2006, 321, 2876–2926. [Google Scholar] [CrossRef]
  18. Yang, C.D.; Cheng, L.L. Optimal guidance law in quantum mechanics. Ann. Phys. 2013, 338, 167–185. [Google Scholar] [CrossRef]
  19. Yang, C.D.; Su, K.C. Reconstructing interference fringes in slit experiments by complex quantum trajectories. Int. J. Quantum Chem. 2013, 113, 1253–1263. [Google Scholar] [CrossRef]
  20. Sanz, A.S.; Miret-Artes, S. A Trajectory Description of Quantum Processes: I. Fundamentals; Springer: Berlin, Germany, 2012. [Google Scholar]
  21. John, M.V. Modified de Broglie-Bohm approach to quantum mechanics. Found. Phys. Lett. 2002, 15, 329–343. [Google Scholar] [CrossRef]
  22. Chou, C.C.; Sanz, A.S.; Miret-Artes, S.; Wyatt, R.E. Hydrodynamic view of wave-packet interference: Quantum caves. Phys. Rev. Lett. 2009, 102. [Google Scholar] [CrossRef] [PubMed]
  23. Wyatt, R.E.; Rowland, B.A. Computational investigation of wave packet scattering in the complex plane: Propagation on a grid. J. Chem. Theor. Comput. 2009, 5, 443–451. [Google Scholar] [CrossRef]
  24. Chou, C.C.; Wyatt, R.E. Quantum trajectories in complex space: One-dimensional stationary scattering. J. Chem. Phys. 2008, 128. [Google Scholar] [CrossRef]
  25. David, J.K.; Wyatt, R.E. Barrier scattering with complex-valued quantum trajectories: Taxonomy and analysis of isochrones. J. Chem. Phys. 2008, 128. [Google Scholar] [CrossRef]
  26. Chou, C.C.; Wyatt, R.E. Quantum vortices within the complex quantum Hamilton-Jacobi formalism. J. Chem. Phys. 2008, 128. [Google Scholar] [CrossRef]
  27. Goldfarb, Y.; Schiff, J.; Tannor, D.J. Complex trajectory method in time-dependent WKB. J. Chem. Phys. 2008, 128. [Google Scholar] [CrossRef]
  28. Goldfarb, Y.; Degani, I.; Tannor, D.J. Semiclassical approximation with zero velocity trajectories. J. Chem. Phys. 2007, 338, 106–112. [Google Scholar]
  29. Hausler, R.L.; Oetjen, R.A. The infrared spectra of HCL, DCL, HBr and NH3 in the region from 40 to 140 microns. J. Chem. Phys. 1953, 21, 1340–1343. [Google Scholar] [CrossRef]
  30. Pekeris, C.L. The rotation-vibration coupling in diatomic molecules. Phys. Rev. 1934, 45, 98–103. [Google Scholar] [CrossRef]

Share and Cite

MDPI and ACS Style

Yang, C.-D.; Weng, H.-J. State-Dependent Molecular Dynamics. Molecules 2014, 19, 16122-16145. https://doi.org/10.3390/molecules191016122

AMA Style

Yang C-D, Weng H-J. State-Dependent Molecular Dynamics. Molecules. 2014; 19(10):16122-16145. https://doi.org/10.3390/molecules191016122

Chicago/Turabian Style

Yang, Ciann-Dong, and Hung-Jen Weng. 2014. "State-Dependent Molecular Dynamics" Molecules 19, no. 10: 16122-16145. https://doi.org/10.3390/molecules191016122

APA Style

Yang, C.-D., & Weng, H.-J. (2014). State-Dependent Molecular Dynamics. Molecules, 19(10), 16122-16145. https://doi.org/10.3390/molecules191016122

Article Metrics

Back to TopTop