Next Article in Journal
In Vivo and in Vitro Effects of Secondary Metabolites against Xanthomonas campestris pv. campestris
Previous Article in Journal
First Chemical Constituents from Cordia exaltata Lam and Antimicrobial Activity of Two Neolignans
 
 
Font Type:
Arial Georgia Verdana
Font Size:
Aa Aa Aa
Line Spacing:
Column Width:
Background:
Article

Iodine-Catalyzed Prins Cyclization of Homoallylic Alcohols and Aldehydes

by
Kachi R. Kishore Kumar Reddy
1,
Iara M. L. Rosa
2,
Antônio C. Doriguetto
2,
Erick L. Bastos
1 and
Luiz F. Silva, Jr.
1,*
1
Instituto de Química - Universidade de São Paulo, Av. Prof. Lineu Prestes, 748, CP 26077, CEP 05513-970 São Paulo SP, Brazil
2
Laboratório de Cristalografia, Instituto de Química, Universidade Federal de Alfenas, Rua Gabriel Monteiro da Silva 714, 37130-000 Alfenas, Minas Gerais, Brazil
*
Author to whom correspondence should be addressed.
Molecules 2013, 18(9), 11100-11130; https://doi.org/10.3390/molecules180911100
Submission received: 24 July 2013 / Revised: 6 August 2013 / Accepted: 23 August 2013 / Published: 10 September 2013
(This article belongs to the Section Organic Chemistry)

Abstract

:
The iodine-catalyzed Prins cyclization of homoallylic alcohols and aldehydes was investigated under metal-free conditions and without additives. Anhydrous conditions and inert atmosphere are not required. The reaction of 2-(3,4-dihydronaphthalen-1-yl)propan-1-ol and 21 aldehydes (aliphatic and aromatic) in CH2Cl2 in the presence of 5 mol % of iodine gave 1,4,5,6-tetrahydro-2H-benzo[f]isochromenes in 54%–86% yield. Under similar conditions, the Prins cyclization of six alcohols containing an endocyclic double bond (primary, secondary, or tertiary) led to dihydropyrans in 52%–91% yield. The acyclic homoallylic alcohols gave 4-iodo-tetrahydropyran in 29%–41% yield in the presence of 50 mol % of iodine. This type of substrate is the main limitation of the methodology. The relative configuration of the products was assigned by NMR and X-ray analysis. The mechanism and the ratio of the products are discussed, based on DFT calculations.

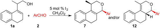
1. Introduction

The Prins cyclization is a powerful method for the synthesis of hydropyrans [1,2,3,4,5,6,7,8,9,10,11,12,13,14,15,16,17,18,19]. Several natural products were obtained using this reaction as an important step [7,8,20,21,22,23,24,25]. Typically, this transformation is carried out treating a mixture of a homoallylic alcohol and a carbonyl compound in the presence of an acid (Bronsted or a Lewis) (Scheme 1). One of the possible Lewis acids for Prins cyclization is iodine [26,27,28], which was used in stoichiometric amount in the presence of excess of homoallylic alcohols [29,30], Herein, we describe that a series of new pyrans can be obtained through Prins cyclization using 5 mol % of iodine and equimolar amounts of homoallylic alcohols and aldehydes in an efficient manner [31]. Anhydrous conditions and inert atmosphere are not required in this metal-free protocol.
Scheme 1. General mechanism for Prins cyclization.
Scheme 1. General mechanism for Prins cyclization.
Molecules 18 11100 g009

2. Results and Discussion

2.1. Discovering the Iodine-Catalyzed Prins Cyclization

Aiming to synthesize O-heterocyclic compounds, we decided to investigate the reaction of the homoallylic alcohol 1a with iodine in the presence of NaHCO3. Under these conditions, naphthalene 6a and the benzo[f]isochromene 7a were isolated (Scheme 2). The cyclic ether 6a is formed from an overall 5-endo-trig iodocyclization [32,33,34,35,36], followed by aromatization. The compound 7a is formed by an iodine-induced fragmentation of 1a [35,37,38,39], which generates formaldehyde. The Prins cyclization of 1a and formaldehyde gives the isochromene 7a (Scheme 3) [29,30]. To give further evidence for these mechanisms, d2-1a was prepared and submitted to the same reaction conditions, giving d2-6a and d4-7a in 36 and 22% yield, respectively (Scheme 2).
Scheme 2. Reaction of homoallylic alcohol 1a with Iodine.
Scheme 2. Reaction of homoallylic alcohol 1a with Iodine.
Molecules 18 11100 g010
Scheme 3. Fragmentation and Prins cyclization of homoallylic alcohol 1a.
Scheme 3. Fragmentation and Prins cyclization of homoallylic alcohol 1a.
Molecules 18 11100 g011

2.2. Scope of the Iodine-Catalyzed Prins Cyclization: Aromatic Aldehydes

The Prins cyclization of 1a and p-anisaldehyde (2b) was investigated in detail to optimize the preparation of 7a (Table 1) [31]. We found that the desired product 7a can be obtained in 75% yield using 5 mol % of I2 (entry 4). This condition was used in the Prins cyclization of 1a and other aldehydes. The reaction of HI and HOI, which are formed in the reaction medium, gives I2 and H2O, thus explaining the catalytic use of I2 [40]. The regeneration of I2 is possible because iodide does not act as nucleophile, i.e., is not incorporated in the product, differing from the work of Yadav and co-workers [29,30]. However, we cannot exclude the participation of HI and of HOI to promote the Prins cyclization.
Table 1. Prins cyclization of 1a and p-anisaldehyde (2b) a. Molecules 18 11100 i160
Table 1. Prins cyclization of 1a and p-anisaldehyde (2b) a. Molecules 18 11100 i160
Entry2b (equiv)I2 (equiv)Yield of 7b
12.31.154% b
22.10.571% c
31.00.281%
41.00.0575%
51.00-- d
a Ratio estimated by NMR. Relative configuration assigned by NOESY. b aldehyde recovered: 31%. c aldehyde recovered: 67%. d No reaction.
Once optimized conditions were found, the reactions of 1a with a broad selection of aromatic aldehydes were performed. Prins cyclization products were obtained in 60%–86% yield (Table 2). Besides the expected isochromene 7, the isomeric alkenes 12 were also formed, typically as a minor component. The distribution between the pyrans 7 and 12 is discussed in the mechanism section below. The reaction tolerates the presence of electron donating (Me, OMe and NHAc) and electron withdrawing groups (Br and NO2). It can also be performed with aldehydes bearing substituents in the ortho position (entries 4, 10 and 13), including the sterically demanding aldehyde 2g, although in this case the major product is the pyran 12g (entry 5).
Table 2. Iodine-catalyzed Prins cyclization of 1a and aromatic aldehydes a,b. Molecules 18 11100 i161
Table 2. Iodine-catalyzed Prins cyclization of 1a and aromatic aldehydes a,b. Molecules 18 11100 i161
EntryAldehydeProduct (Yield)
1 Molecules 18 11100 i001 Molecules 18 11100 i014
2 Molecules 18 11100 i002 Molecules 18 11100 i015
3 Molecules 18 11100 i003 Molecules 18 11100 i016
4 Molecules 18 11100 i004 Molecules 18 11100 i017
5 Molecules 18 11100 i005 Molecules 18 11100 i018
6 Molecules 18 11100 i006 Molecules 18 11100 i019
7 Molecules 18 11100 i007 Molecules 18 11100 i020
8 Molecules 18 11100 i008 Molecules 18 11100 i021
9 Molecules 18 11100 i009 Molecules 18 11100 i022
10 Molecules 18 11100 i010 Molecules 18 11100 i023
11 Molecules 18 11100 i011 Molecules 18 11100 i024
12 Molecules 18 11100 i012 Molecules 18 11100 i025
13 Molecules 18 11100 i013 Molecules 18 11100 i026
a 1a (1.0 equiv), aldehyde (1.0 equiv), I2 (5 mol %), CH2Cl2. b ratio estimated by NMR.
In all cases, the two groups in the isochromenes 7 possess a cis relationship with respect to the pyran ring. The relative configurations were assigned by NMR analysis, including NOESY experiments. X-ray analysis of the bromo derivative 7k gave further evidence for the relative configuration of isochromenes 7.
Figure 1 is an ORTEP-3 view of 7k, which was solved in the space group P212121. Since 7k is a chiral molecule crystallized in a chiral space group containing just one molecule in the asymmetric unit its crystal structure contains a pure enantiomer [41]. Moreover, due to the presence of the bromine atom, which has an anomalous scattering large enough to permit the refinement of the Flack parameter [42], the absolute structure of 7k was unambiguously determined in this study. Thus, the chiral atoms present the following configurations: C7(S), C9(R).
Figure 1. ORTEP-3 view of 7k showing the atom labeling, configuration of the chiral atoms and 50% probability ellipsoids. H atoms are shown as spheres of arbitrary radii.
Figure 1. ORTEP-3 view of 7k showing the atom labeling, configuration of the chiral atoms and 50% probability ellipsoids. H atoms are shown as spheres of arbitrary radii.
Molecules 18 11100 g001

2.3. Scope of the Iodine-Catalyzed Prins Cyclization: Aliphatic Aldehydes

The iodine-catalyzed Prins cyclization of homoallylic alcohol 1a and several aliphatic aldehydes was next investigated (Table 3). Depolymerization of paraformaldehyde occurs in situ and the Prins cyclization of the formaldehyde formed in situ with 1a gave 7a (entry 1).
Table 3. Iodine-catalyzed Prins cyclization of 1a and aliphatic aldehydes a.
Table 3. Iodine-catalyzed Prins cyclization of 1a and aliphatic aldehydes a.
Molecules 18 11100 i162
EntryAldehydeProduct (Yield)
1(CH2O)n
2a
Molecules 18 11100 i101
2MeCHO
2p
Molecules 18 11100 i102
3 Molecules 18 11100 i103 Molecules 18 11100 i113
4 Molecules 18 11100 i104 Molecules 18 11100 i114
5 Molecules 18 11100 i105 Molecules 18 11100 i115
6 Molecules 18 11100 i106 Molecules 18 11100 i116
7 Molecules 18 11100 i107 Molecules 18 11100 i117
a 1a (1.0 equiv), aldehyde (1.0 equiv), I2 (5 mol %), CH2Cl2.
The desired products were also obtained using several aliphatic aldehydes, including sterically demanding ones, such as 2qs (entries 3–5), albeit for 2s a significant amount of 12s was formed. Treatment of 1a with the α,β-unsaturated aldehydes 2t and 2u gave the desired isochromenes 7t and 7u, respectively, in good yield (entries 6 and 7).

2.4. Scope of the Iodine-Catalyzed Prins Cyclization: Homoallylic Alcohols

After studying the reaction of several aliphatic and aromatic aldehydes, the behavior of different homoallylic alcohols was investigated using p-anisaldehyde (2b), as the carbonyl component. The reaction of endocyclic homoallylic alcohols was first studied (Table 4).
Table 4. Prins cyclization of homoallylic alcohols bearing endocyclic double bonds with 2b.
Table 4. Prins cyclization of homoallylic alcohols bearing endocyclic double bonds with 2b.
EntryAlcoholProduct (Yield)
1 Molecules 18 11100 i121 Molecules 18 11100 i131
2 Molecules 18 11100 i122 Molecules 18 11100 i132
3 Molecules 18 11100 i123 Molecules 18 11100 i133
4 Molecules 18 11100 i124 Molecules 18 11100 i134
5b Molecules 18 11100 i125 Molecules 18 11100 i135
6 Molecules 18 11100 i126 Molecules 18 11100 i136
7 Molecules 18 11100 i127 Molecules 18 11100 i137
a alcohol 1 (1.0 equiv), aldehyde (1.0 equiv), I2 (5 mol %), CH2Cl2. b aldehyde 2k. c aldehyde 2h.
The iodine-catalyzed Prins cyclization can also be performed with endocyclic homoallylic alcohols bearing the double bond in five and seven-membered rings (entries 1 and 2). Homoallylic alcohols with different side chains can be used as substrate (entries 3–5), including tertiary (entry 6) and secondary alcohols (entry 7). The bromo derivative 15e (entry 5) was isolated as nice crystals and its structure was confirmed by X-ray analysis (Figure 2, see Supplementary Information for details), supporting the relative configuration assigned by NMR. Compound 15e is a chiral molecule crystallized in a centrosymmetric space group, P21/c. Therefore, its crystal structure is an 50:50 equimolar mixture of a pair of enantiomers (1R,4S/1S,4R) in a well-defined arrangement. Figure 2 shows the 1R,4S-enantiomer structure C7(S) and C9(R) of 15e.
Figure 2. ORTEP-3 view of 15e (1R,4S-conformer) showing the atom labeling, configuration of the chiral atoms and 50% probability ellipsoids. H atoms are shown as spheres of arbitrary radii.
Figure 2. ORTEP-3 view of 15e (1R,4S-conformer) showing the atom labeling, configuration of the chiral atoms and 50% probability ellipsoids. H atoms are shown as spheres of arbitrary radii.
Molecules 18 11100 g002
Analyzing the intramolecular geometry, it is observed that the individual rings in 7k and 15e assume similar geometries: (a) rings A and D are, as expected, very planar; (b) ring B is in half-chair conformation, with atoms O1 and C8 in the flap positions; (c) ring C is in twist-boat conformation. Another similarity is observed comparing the ring B substituents: In both structures the methyl (or ethyl in 15e) and bromophenyl groups are in axial and bisectional positions respectively related to ring B.
In Figure 3, the equivalent 1R,4S-enantiomers of 7k and 15e are superimposed in a capped stick fashion. The overlay of molecular backbones clearly shows the conformational similarity between homologous atoms in rings A and B and their first neighbor atoms. Indeed, 7k and 15e adopt a very similar conformation in terms of the torsion angles about the bonds by which the bromophenyl ring links the polycyclic three ring system: C6-C5-C7-C11 = 119.0(2) and C4-C5-C7-O1 = 62.5(2)° for 7k, and 120.2(2) and 63.3(3)°, respectively, for 15e.
Figure 3. MERCURY view showing the superposition of equivalent conformers of 7k (light gray) and 15e (dark gray). The insert shows the rings C in a same view, which rotated 90° considering a vertical axis through center ring. The hydrogen atoms were hidden for the representation clarity.
Figure 3. MERCURY view showing the superposition of equivalent conformers of 7k (light gray) and 15e (dark gray). The insert shows the rings C in a same view, which rotated 90° considering a vertical axis through center ring. The hydrogen atoms were hidden for the representation clarity.
Molecules 18 11100 g003
On the other hand, the molecular overlay also shows that the homologous atoms in rings C and D do not match. In fact, despite having the same 6-member ring shape, i.e., a twist-boat conformation, the ring C orientation in 7k strongly differs from that one found in 1R,4S-enantiomer of 15e. As consequence the D rings also do not match themselves. The insert of Figure 3 illustrates the rotated conformation of ring C comparing 7k and 15e. Interestingly, the superimposition of the pure 1R,4S-enantiomer of S15 with the opposite one of S97 (1S,4R) shows that rings D and C match (Figure 4).
Figure 4. MERCURY view showing the superposition of opposite conformers of 7k (light gray) and 15e (dark gray). The hydrogen atoms were hidden for the representation clarity.
Figure 4. MERCURY view showing the superposition of opposite conformers of 7k (light gray) and 15e (dark gray). The hydrogen atoms were hidden for the representation clarity.
Molecules 18 11100 g004
The molecular geometries were studied through MOGUL [43], a knowledge base that takes a molecule submitted either manually or by another computer program via an instruction-file interface and perform substructure searches of the Cambridge Structural Database (CSD) for, typically, all its bond, angles and torsion angles. In both structures, all bond lengths and angles are in agreement with the expected ones, when compared with the similar structures and considering a good refinement.
The crystal packing in 7k and 15e is dominated by Van der Waals close contacts. In both structures the molecules are self-assembled generating a double chain along the unit cell b axis involving molecules related to 21-fold screw axis (Figure 5). Surprisingly, despite the chemical, molecular conformational, and space group symmetry differences comparing 7k and 15e, the 1-D structure along its respective unit cell b axis are very similar (Figure 5). This supramolecular synthon is itself linked by Van der Waals forces along unit cell a and c axis completing the 3-D network of the two structures (Figure 6).
Figure 5. A partial packing diagram for (a) 7k and (b) 15e, showing the double chain formed along the respective unit cell b axes. The hydrogen atoms were hidden for representation clarity.
Figure 5. A partial packing diagram for (a) 7k and (b) 15e, showing the double chain formed along the respective unit cell b axes. The hydrogen atoms were hidden for representation clarity.
Molecules 18 11100 g005
Figure 6. The crystal packing illustration of (a) 7k and (b) 15e onto the ac plane. Hydrogen atoms were omitted for clarity.
Figure 6. The crystal packing illustration of (a) 7k and (b) 15e onto the ac plane. Hydrogen atoms were omitted for clarity.
Molecules 18 11100 g006
The final stage to understand the scope of the iodine-catalyzed Prins cyclization was the investigation of the reactivity of a series of acyclic homoallylic alcohols with p-anisaldehyde (2b) (Table 5).
Table 5. Iodine-catalyzed Prins cyclization of acyclic homoallylic alcohols with 2b a.
Table 5. Iodine-catalyzed Prins cyclization of acyclic homoallylic alcohols with 2b a.
EntryAlcoholProduct (Yield)
1 Molecules 18 11100 i141 Molecules 18 11100 i151
2 Molecules 18 11100 i142 Molecules 18 11100 i152
3 Molecules 18 11100 i143 Molecules 18 11100 i153
4 Molecules 18 11100 i144 Molecules 18 11100 i154
5 Molecules 18 11100 i145 Molecules 18 11100 i155
6b1l5l (81%)
7c1l5l (84%)
a I2 (50 mol %), CH2Cl2. b 1 equiv of I2. c 1 equiv of I2 and 2 equiv of alcohol [30].
In the reaction of alcohols 1hl the carbocation intermediate 4 (cf. Scheme 1) reacts with iodide giving 4-iodo-tetrahydropyrans 5hl, as product, instead of dihydropyran. Iodine is not regenerated in the medium and the catalytic cycle is interrupted. Thus, as expected, the yields of the reaction are clearly related to the amount of iodine. Using 0.5 equiv of iodine the yields were 33%–40% (entries 1–5), whereas using 1 equiv. [29,30], the yield jumped to 81%–84% (entries 6–7). Using 0.2 equiv of iodine, compound 5h was obtained in 5% yield. The 4-iodo-hydropyrans 5hl were isolated as a single diastereomers, corresponding to the equatorial attack of the iodide [5,44].
In the Prins cyclization with the monoterpene isopulegol (1m), the carbocation intermediate 4m reacts with water (formed in situ) giving the alcohols (+)-16m and (+)-17m, in a 5:1 mixture, respectively. These products were obtained in very good yield (81%), using 5 mol % of iodine. The attack of the water to the carbocation intermediate 4m occurs at the equatorial position preferentially, as expected (Scheme 4) [5,44].
Scheme 4. Iodine-catalyzed Prins cyclization of isopulegol (1m).
Scheme 4. Iodine-catalyzed Prins cyclization of isopulegol (1m).
Molecules 18 11100 g012

2.5. Mechanistic Insights Based on DFT Calculations

The mechanism of the Prins cyclization of aldehydes and homoallylic alcohols was investigated by DFT theoretical calculations. The following topics were addressed: (i) the preferential formation of the cis diastereomer of compound 7 (Table 2 and Table 3); and (ii) the preferential formation of 7 instead of 12 (Table 2).
The formation of compound 7h (Table 2, Entry 6, 8:1 cis:trans) was selected as the model reaction for the theoretical study. The cis diastereoselectivity has been rationalized assuming the preferential formation of the intermediate (E)-3 as well as repulsive steric interactions that compromise the rotation around the dihedral angle formed between the 1,2-dihydronaphthalene ring and the benzylidene(propyl)oxonium moiety (i.e., Me–CH–(C=C), φ1) [31,45]. To verity this hypothesis, the structure of the intermediate carbocations (E)- and (Z)-3h in two different twist-boat conformations of the 1,2-dihydronaphtalene ring (namely A and B) were optimized in the gas phase and the rotational barrier around the dihedral angle φ1 was determined.
The barrier for the E/Z isomerization of 3h is around 40 kJ mol–1 (Scheme 5), corroborating the preferential formation of (E)-3h, despite the fact that the non-stereospecific nucleophilic attack of the alcohol 1a on the carbonyl moiety may give, a priori, both E- and Z- oxocarbenium ions 3h. Furthermore, the potential barrier for the rotation of the dihedral angle φ1 is around 60 kJ mol–1 (Figure S1), supporting our initial hypothesis that the repulsive steric interaction between the methyl group and the aromatic hydrogen (H16) compromises the rotation around the dihedral angle φ1 [31,45]. However, the E/Z diastereomers of 3h still can undergo the electrophilic addition step from both faces of the 1,2-dihydronaphtalene ring in two different half-chair conformations of ring C. Scheme 5 provides an outline of the reaction paths leading to oxonium intermediates of type 4h in which the C12–C11 is staggered. Electrophilic addition leading to cyclization is spontaneous in all cases, due to the formation of a more stable carbocation 4h, compared to oxocarbenium ions 3h. As discussed above, (E)-3h is more stable than (Z)-3h in both conformers selected. However, conformer A of (11R)-cis-4h is in average 25 kJ mol–1 more stable than other diastereomers. Consequently, the favorable conversion of (E)-3h into (11R)-cis-4h seems to be the cause for the preferential formation of cis-7h. However, considering the activation barriers for the formation of (11R)-cis-4h and (11R)-trans-4h, (19 kJ mol–1 and 14 kJ mol–1, respectively) and the more exergonic formation of the trans diastereomer, one cannot rule out the possible preferential formation of the trans diastereomer depending on the substitution pattern of 3 (Table S1). Animations showing the reaction coordinate (imaginary frequency) for electrophilic addition step giving both cis and trans isomers are available in the SI.
Scheme 5. Formation of cis- and trans-4h after the non-stereospecific formation of the oxonium ion 3h. Optimized minimum geometries and relative ΔG° (in kJ mol–1, highlighted) were obtained at the B3LYP/6-31+G(d,p) level.
Scheme 5. Formation of cis- and trans-4h after the non-stereospecific formation of the oxonium ion 3h. Optimized minimum geometries and relative ΔG° (in kJ mol–1, highlighted) were obtained at the B3LYP/6-31+G(d,p) level.
Molecules 18 11100 g013
The elimination reaction involving cis- or trans-4 was investigated determining the relative stability of products 7 and 12. First, the elimination of 4s was selected as model system since 7s and 12s are produced by elimination in roughly equimolar amounts (7s/12s ratio = 1.5). The Boltzmann ratio 7s/12s is 1.6 (ΔG° = 1.2 kJ mol–1, Table S1), which (although is in the limit of accuracy of the method) is in very good agreement with the experimental values. Next, the exclusive formation of 7h instead of 12h in the elimination reaction of 4h was investigated comparing the relative stability of both products. Figure 7 shows that both cis- and trans-7h are more stable than the corresponding isomers 12h, independent on the conformation of the ring C.
Figure 7. Energy diagram comparing products 7h and 12h in two different conformations of ring C.
Figure 7. Energy diagram comparing products 7h and 12h in two different conformations of ring C.
Molecules 18 11100 g007
Stereoelectronic effects in the elimination step (from 4 to 7, Scheme 3) were investigated by natural bond orbital (NBO) analysis. The second order perturbation theory analysis of the NBOs indicate that the σ(C–H11) is a much better electron donor to the p-type antibonding lone pair (LP*) at the C10 than the σ(C–H9) for all diastereomers of 4h, i.e., stabilization energy of the σ(C–H11) → LP*(C10) is 35 kJ mol−1, whereas for σ(C–H9) the stabilization is negligible. However, for (11S)-cis-4h both donor-acceptor interactions σ(C–H11) → LP*(C10) and σ(C–H9) → LP*(C10) are stabilizing (40 kJ mol−1 and 16 kJ mol−1, respectively). The occupancy of the LP*(C10) NBO of (11R)-cis-4h is 0.633 vs. 0.579 for (11S)-cis-4h; furthermore, atomic charges determined by natural population analysis (NPA) indicate charges of 0.346 and 0.400 for (11R)- and (11S)-cis-4h, respectively. Figure 8 depicts relevant NBOs for (11R)- and (11S)-cis-4h.
Figure 8. Relevant NBOs for the stablization of cis-4h. Some atoms were removed for clarity. Color mapped surfaces indicate orbital superposition in red and blue; contour value: 0.062.
Figure 8. Relevant NBOs for the stablization of cis-4h. Some atoms were removed for clarity. Color mapped surfaces indicate orbital superposition in red and blue; contour value: 0.062.
Molecules 18 11100 g008
Briefly, results from theoretical calculations indicate that in the case of 3h, the formation of the E isomer is, as predicted before [31,45], preferable to other isomers because rotation around the φ1 dihedral angle and E/Z isomerization of oxocarbenion ions 3 are both not thermodynamic favorable (Table S1 and Scheme 5). The relative stability of one of the E isomers favors the formation of the (11R)-cis-4h carbocation compared to (11S)-cis-4h, which originates from the electrophilic attack from the opposite face of the 1,2-dihydronaphtalene ring. The activation barrier for the formation of the cis- and trans-4h indicates an earlier transition state in the case of the conversion of (Z)-3h to trans-4h. Therefore, if the substitution pattern favors the Z isomer of the oxocarbenium ion 3, the preferential formation of the trans product would be possible. The formation of the product 7 is related to its higher stability when compared to 12. Furthermore, NBO analysis indicate that between the two possible cis-4h intermediates, the 11R has the H11 in a better alignment with the p-type LP*(C10), reducing the overall charge at the carbon and favoring the formation of product cis-7h by elimination.

3. Experimental

3.1. Materials and Methods

All commercially available reagents were used without further purification unless otherwise noted. Commercially available isopulegol was purified by flash column chromatography (15% AcOEt in hexanes) and other homoallylic alcohols 1al were synthesized as previously reported [36,46]. 1m is commercially available. THF and Benzene were freshly distilled from sodium/benzophenone. CH2Cl2 was freshly distilled over CaH2. TLC analyses were performed in silica gel plates, using UV and/or p-anisaldehyde solution for visualization. Flash column chromatography was performed using silica gel 200–400 mesh (Aldrich, St. Louis, USA). Melting points are uncorrected. All NMR analyses were recorded using CDCl3 as solvent and TMS as internal pattern in Bruker (AC200) or Varian (INOVA300) spectrometers. IR spectra were measured on a Perkin-Elmer 1750-FT. HRMS analysis were performed on a Bruker Daltonics Microtof Eletrospray. The experimental procedures for the preparation of compounds 6a, 7ab were previously reported [31].

3.2. Prins Cyclizations

Prins cyclization of 1a and 2c. General Procedure for Iodine-Catalyzed Prins cyclization. To a stirred solution of 1a (0.078 g, 0.414 mmol) and 2c (0.050 mL, 0.41 mmol) in CH2Cl2 (5 mL), was added I2 (0.0052, 0.021 mmol). The mixture was refluxed for 3 h. Na2SO3 (0.0030 g, 0.021 mmol) and H2O (10 mL) were added. The aqueous phase was extracted with AcOEt (3 × 5 mL). The combined organic was washed with brine (5 mL) and dried over anhydrous MgSO4. The solvent was removed under reduced pressure. The crude product was purified by flash column chromatography (5% AcOEt in hexane), affording 7c (cis:trans = 1.3:1, 0.11 g, 0.35 mmol, 84%) as colorless viscous oil. The relative configuration was assigned by NMR analysis, including NOESY experiments of enriched samples of cis-7c and trans-7c that were obtained after successive purifications of the product by flash column chromatography (1% AcOEt in hexanes).
(±)-cis-2,4,5,6-Tetrahydro-4-(2-methoxyphenyl)-1-methyl-1H-benzo[f]isochromene (cis-7c). IR (film): 3063, 2960, 2936, 2836, 1599, 1491, 1462, 756, 736 cm−1. 1H-NMR (300 MHz, CDCl3) δ: 1.41 (d, J = 6.9 Hz, 3H), 1.77–1.87 (m, 1H), 1.94–2.05 (m, 1H), 2.67 (t, J = 7.9 Hz, 2H), 2.76–2.78 (m, 1H), 3.83–3.87 (m, 1H), 3.87 (s, 3H), 3.98 (dd, J = 10.8, 3.3 Hz, 1H), 5.70 (s, 1H), 6.91–6.97 (m, 2H), 7.08–7.16 (m, 2H), 7.21–7.27 (m, 1H), 7.29–7.38 (m, 3H). 13C-NMR (75 MHz, CDCl3) δ: 18.5, 24.4, 28.0, 28.8, 55.6, 70.2, 73.0, 110.9, 120.7, 122.1, 126.4, 127.6, 128.5, 129.3, 131.8, 133.7, 134.0, 135.8, 157.9. LRMS m/z (rel. int.): 306 (M+∙, 25), 264 (17), 245 (13), 231 (10), 199 (11), 141 (17), 135 (100). HRMS [ESI(+)] calcd. for [C21H22O2+Na+] 329.1517, found 329.1494.
(±)-trans-2,4,5,6-Tetrahydro-4-(2-methoxyphenyl)-1-methyl-1H-benzo[f]-isochromene (trans-7c). IR (film): 3060, 3018, 2959, 2929, 2835, 1599, 1587, 1489, 1462, 756, 736 cm−1. 1H-NMR (300 MHz, CDCl3) δ: 1.26 (d, J = 7.0 Hz, 3H), 1.81–2.04 (m, 2H), 2.62–2.81 (m, 3H), 3.54 (dd, J = 11.2, 2.6 Hz, 1H), 3.81–3.95 (m, 1H), 3.90 (s, 3H), 5.75 (s, 1H), 6.86–6.96 (m, 2H), 7.11–7.39 (m, 6H). 13C-NMR (75 MHz, CDCl3) δ: 18.2, 25.8, 28.1, 28.3, 55.6, 66.1, 71.5, 110.8, 119.7, 122.3, 126.3, 126.7, 127.6, 129.3, 129.6, 132.3, 132.8, 133.7, 136.3, 158.3. LRMS m/z (rel. int.): 306 (M+∙, 32), 264 (18), 245 (16), 231 (8), 199 (11), 141 (19), 135 (100). HRMS [ESI(+)] calcd. for [C21H22O2+Na+] 329.1517, found 329.1511.
Prins cyclization of 1a and 2d. The reaction was performed following the general procedure, but using 1a (0.096 g, 0.51 mmol), 2d (0.060 mL, 0.41 mmol), CH2Cl2 (5 mL), I2 (0.0065, 0.025 mmol). A mixture of 7d and 12d (cis:trans:12d = 4.2:2.5:1, 0.12 g, 0.43 mmol, 84%) was obtained as a colorless viscous oil. This mixture was subjected to another flash column chromatography (1% AcOEt in hexanes). Partially pure samples could be obtained for characterization separately.
(±)-cis-2,4,5,6-Tetrahydro-1-methyl-4-p-tolyl-1H-benzo[f]isochromene (cis-7d). IR (film): 3058, 3024, 2954, 2919, 2849, 1272, 1178, 1109, 766, 754 cm−1. 1H-NMR (200 MHz, CDCl3) δ: 1.43 (d, J = 6.8 Hz, 3H), 1.68–2.05 (m, 2H), 2.35 (s, 3H), 2.67 (t, J = 7.6 Hz, 2H), 2.73–2.78 (m, 1H), 3.88 (dd, J = 10.9, 1.8 Hz, 1H), 3.97 (dd, J = 10.8, 2.8 Hz, 1H), 5.09 (s, 3H), 7.08–7.19 (m, 3H), 7.21–7.29 (m, 3H), 7.30–7.47 (m, 2H). 13C-NMR (50 MHz, CDCl3) δ: 18.7, 21.2, 24.5 28.0, 28.9, 70.0, 80.5, 122.1, 126.5, 126.6, 127.7, 128.6, 129.2, 131.9, 133.1, 133.8, 135.7, 137.7, 138.0. LRMS m/z (rel. int.): 290 (M+∙, 18), 276 (14), 275 (72), 257 (8), 247 (25), 229 (10), 215 (8), 203 (13), 171 (9), 155 (11), 128 (29), 127 (22), 119 (93), 91 (88), 65 (51), 43 (100). HRMS [ESI(+)] calcd. for [C21H22O+Na]+ 313.1563, found 313.1535.
(±)-(4R,4aR)-4,4a,5,6-Tetrahydro-1-methyl-4-p-tolyl-2H-benzo[f]isochromene (12d) and (±)-trans-2,4,5,6-tetrahydro-1-methyl-4-p-tolyl-1H-benzo[f]isochromene (trans-7d). IR (film): 3059, 3020, 2925, 2873, 1716, 1452, 1273, 1103, 1038, 816, 760 cm−1. 1H-NMR (200 MHz, CDCl3) δ: 12d: 1.21–1.81 (m, 2H), 1.92 (s, 3H), 2.53 (s, 3H), 2.60–2.87 (m , 3H), 4.10 (d, J = 9.6 Hz, 1H), 4.24 (d, J = 17.2 Hz, 1H), 4.35 (d, J = 16.6 Hz, 1H), 7.11–7.41 (m, 7H), 7.44 (d, J = 3.0 Hz, 1H), trans-7d: 1.22 (d, J = 6.8 Hz, 3H), 2.34 (s, 3H), 3.50 (dd, J = 11.3, 3.3 Hz, 1H), 3.99 (d, J = 11.3, 3.7 Hz, 1H), 5.17 (s, 1H). Other signals overlap with the major diastereomer. 13C-NMR (75 MHz, CDCl3) δ: 12d: 16.6, 21.2, 26.1, 28.3, 40.7, 71.3, 83.3, 125.0, 126.3, 126.5, 126.6, 127.6, 129.1, 128.4, 128.9, 129.1, 132.6, 136.2, 137.7, 137.9, 138.0, 138.1. trans-7d: 17.9, 21.2, 26.0, 28.2, 28.2, 66.7, 78.8, 122.6, 127.0, 127.3, 127.6, 129.2, 129.6, 129.7, 130.2, 132.6, 133.5, 133.7, 134.8, 136.2, 136.3. LRMS m/z (rel. int.): 290 (M+∙, 17), 275 (72), 247 (25), 229 (10), 215 (8), 203 (13), 155 (11), 128 (29), 127 (21), 119 (93), 91 (88), 65 (51), 43 (100). HRMS [ESI(+)] calcd. for [C21H22O+Na]+ 313.1563, found 313.1532.
Prins cyclization of 1a and 2e. The reaction was performed following the general procedure, but using 1a (0.080 g, 0.42 mmol), 2e (0.050 mL, 0.42 mmol), CH2Cl2 (5 mL), I2 (0.0054, 0.021 mmol). A mixture of 7e and 12e (cis:trans:12e = 7.7:2.5:1, 0.11 g, 0.37 mmol, 86%) was obtained as colorless viscous oil. This mixture was subjected to another flash column chromatography (1% AcOEt in hexanes) for characterization.
(±)-2,4,5,6-Tetrahydro-1-methyl-4-m-tolyl-1H-benzo[f]isochromene (7e). IR (film): 3060, 3022, 2963, 2930, 1718, 1488, 1459, 1451, 1278, 1200, 1115, 766, 746 cm−1. 1H-NMR (200 MHz, CDCl3) δ: cis-7e: 1.45 (d, J = 6.8 Hz, 3H), 1.69–2.06 (m, 2H), 2.34 (s, 3H), 2.67 (t, J = 8.0 Hz, 2H), 2.74–2.78 (m, 1H), 3.97 (dd, J = 10.8, 2.8 Hz, 1H), 3.88 (dd, J = 10.9, 1.8 Hz, 1H), 5.09 (s, 3H), 7.08–7.19 (m, 3H), 7.21–7.29 (m, 3H), 7.30–7.47 (m, 2H). trans-7e: 1.22 (d, J = 6.8 Hz, 3H), 2.37 (s, 3H), 3.51 (dd, J = 11.2, 4 Hz, 1H), 4.41 (dd, J = 10.5, 2.8 Hz, 1H). Other signals overlap with the major diastereomer. 13C-NMR (50 MHz, CDCl3) δ: cis-7e: 18.8, 21.4, 24.4, 28.0, 28.9, 70.4, 80.8, 122.1, 125.3, 125.8, 126.5, 126.6, 127.7, 128.4, 128.5, 129.0, 129.3, 131.9, 133.0, 133.8, 135.7, 138.2, 140.5. LRMS m/z (rel. int.): 290 (M+∙, 37), 249 (11), 248 (69), 247 (39), 233 (25), 215 (11), 155 (17), 141 (15), 129 (33), 119 (100). HRMS [ESI(+)] calcd. for [C21H22O+Na]+ 313.1563, found 313.1541.
(±)-(4R,4aR)-4,4a,5,6-Tetrahydro-1-methyl-4-m-tolyl-2H-benzo[f]isochromene (12e). IR (film): 3094, 2925, 2869, 1648, 1484, 1445, 1101, 913, 760, 745 cm−1. 1H-NMR (500 MHz, CDCl3) δ: 1.48–1.56 (m, 1H), 1.75–1.81 (m, 1H), 1.92 (t, J = 1.0 Hz, 3H), 2.36 (s, 3H), 2.59–2.64 (m, 1H), 2.67–2.73 (m, 1H), 2.76–2.82 (m, 1H), 4.10 (d, J = 9.5 Hz, 1H), 4.26 (ddd, J = 16.5, 3.0, 1.0 Hz, 1H), 4.35 (dd, J = 16.5, 1.0 Hz, 1H), 7.08–7.10 (m, 1H), 7.12–7.15 (m, 2H), 7.16–7.18 (m, 1H), 7.19–7.20 (m, 1H), 7.24–7.27 (m, 2H), 7.43 (dd, J = 7.5, 1.5, 1H). 13C-NMR (75 MHz, CDCl3) δ: 16.6, 21.4, 26.1, 28.3, 40.7, 71.3, 83.5, 124.8, 125.0, 126.7, 126.9, 128.2, 128.3, 128.4, 128.8, 128.9, 129.7, 134.8, 137.9, 138.1, 141.0. LRMS m/z (rel. int.): 290 (M+∙, 1.4), 233 (9.8), 215 (2.5), 170 (100). HRMS [ESI(+)] calcd. for [C21H22O+Na]+ 313.1563, found 313.1555.
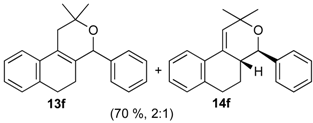
Prins cyclization of 1a and 2f. The reaction was performed following the general procedure, but using 1a (0.081 g, 0.43 mmol), 2f (0.050 mL, 0.41 mmol), CH2Cl2 (5 mL), I2 (0.0055, 0.022 mmol). Compound 3f (cis:trans = 1.5:1, 0.089 g, 0.30 mmol, 70%) was obtained as colorless viscous oil. This mixture was subjected to another flash column chromatography (1% AcOEt in hexanes). Pure samples could be obtained for characterization.
(±)-cis-2,4,5,6-Tetrahydro-1-methyl-4-o-tolyl-1H-benzo[f]isochromene (cis-7f). White solid, m.p. 155–157 °C. IR (film): 3060, 3017, 2954, 2919, 2850, 1486, 1458, 1122, 761, 734 cm−1. 1H-NMR (300 MHz, CDCl3) δ: 1.38 (d, J = 6.9 Hz, 3H), 1.79–2.04 (m, 2H), 2.50 (s, 3H), 2.66–2.72 (m, 2H), 2.79–2.81 (m, 1H), 3.83 (dd, J = 11.1, 2.4 Hz, 1H), 3.96 (dd, J = 11.1, 3.3 Hz, 1H), 5.40 (s, 1H), 7.10–7.15 (m, 2H), 7.17–7.21 (m, 3H), 7.25–7.27 (m, 1H), 7.31–7.35 (m, 2H). 13C-NMR (75 MHz, CDCl3) δ: 18.3, 19.3, 24.6, 27.9, 28.8, 70.2, 77.2, 122.1, 126.1, 126.5, 127.7, 128.0, 130.6, 1334, 133.8, 135.8, 137.4, 138.2. LRMS m/z (rel. int.): 290 (M+∙, 73), 248 (70), 247 (55), 234 (17), 233 (100). HRMS [ESI(+)] calcd. for [C21H22O+Na]+ 313.1563, found 313.1584.
(±)-trans-2,4,5,6-Tetrahydro-1-methyl-4-o-tolyl-1H-benzo[f]isochromene (trans-7f). Viscous oil. IR (film): 3062, 3017, 2962, 2918, 2897, 1485, 1457, 1119, 1036, 765, 749, 739 cm−1. 1H-NMR (500 MHz, CDCl3) δ: 1.25 (d, J = 6.5 Hz, 3H), 1.85 (ddd, J = 15.5, 5.1, 5.0 Hz, 1H), 2.00–2.04 (m, 1H), 2.50 (s, 3H), 2.64–2.85 (m, 3H), 3.54 (dd, J = 11.5, 3.0 Hz, 1H), 3.92–3.94 (m, 1H), 5.45 (s, 1H), 7.09–7.17 (m, 4H), 7.19–7.23 (m, 2H), 7.29–7.32 (2H). 13C-NMR (75 MHz, CDCl3) δ: 18.2, 19.2, 26.2, 28.2, 28.3, 29.7, 77.2, 122.5, 125.2, 126.4, 126.5, 127.6, 128.1, 129.0, 130.9, 132.9, 133.7, 136.3, 136.5, 138.4. LRMS m/z (rel. int.): 290 (M+∙, 48), 248 (47), 247 (35), 233 (65), 215 (13), 199 (11), 128 (26), 119 (100). HRMS [ESI(+)] calcd. for [C21H22O+Na]+ 313.1563, found 313.1573.
Prins cyclization of 1a and 2g. The reaction was performed following the general procedure, but using 1a (0.17 g, 0.89 mmol), 2g (0.12 mL, 0.89 mmol), CH2Cl2 (5 mL), I2 (0.011 g, 0.045 mmol). A mixture of 7g and 12g (cis:trans:12g = 1.4:1:6.2, 0.16 g, 0.53 mmol, 60%) was obtained as colorless viscous oil. This mixture was subjected to another flash column chromatography (1% AcOEt in hexanes). Partially pure samples could be obtained for characterization.
(±)-(4R,4aR)-4,4a,5,6-Tetrahydro-1-methyl-4-(2,6-dimethylphenyl)-2H-benzo[f]isochromene (12g). Solid, m.p: 148–150 °C. IR (film): 3066, 3015, 2919, 2857, 2797, 1443, 1374, 1106, 1095, 762, 735 cm−1. 1H-NMR (200 MHz, CDCl3) δ: 1.43–1.64 (m, 1H), 1.69–1.84 (m, 1H), 1.95 (s, 3H), 2.42 (s, 3H), 2.51 (s, 3H), 2.73–2.97 (m, 3H), 4.19 (d, J = 16.6 Hz, 1H), 4.35 (d, J = 16.4 Hz, 1H), 4.67 (d, J = 10.0 Hz, 1H), 7.04–7.22 (m, 6H), 7.43–7.47 (m, 1H). 13C-NMR (75 MHz, CDCl3) δ: 16.8, 27.4, 28.4, 38.9, 71.3, 79.2, 124.9, 126.7, 127.3, 127.5, 128.8, 129.1, 129.8, 134.7, 136.6, 137.4. LRMS m/z (rel. int.): 304 (M+∙, 0.34), 247 (2.5), 232 (1.0), 171 (9.7), 170 (100). HRMS [ESI(+)] calcd. for [C22H24O+Na] 327.1725, found 327.1732.
(±)-2,4,5,6-Tetrahydro-1-methyl-4-(2,6-dimethylphenyl)-1H-benzo[f]isochromene (7g). IR (film): 3095, 3062, 3021, 2917, 2855, 2731, 1486, 1377, 1126, 1101, 776, 729 cm−1. 1H-NMR (500 MHz, CDCl3) δ: cis-7g: 1.44 (d, J = 7.0 Hz, 1H), 1.74–1.82 (m, 2H), 2.19 (s, 3H), 2.42 (s, 3H), 2.51–2.93 (m, 3H), 4.08 (d, J = 11.2, 1.5 Hz, 1H), 4.05 (d, J = 11.5, 2.7 Hz, 1H), 5.59 (s, 1H), 6.98–7.24 (m, 7H), 7.30 (d, J = 7.0 Hz, 1H), trans-7g: 1.05 (d, J = 7.0 Hz, 1H), 1.50–1.71 (m, 2H), 2.48 (s, 3H), 2.49 (s, 3H), 3.16–3.22 (m, 1H), 3.52 (d, J = 11.5, 10.5Hz, 1H), 4.32 (d, J = 11.2, 6.0 Hz, 1H), 5.72 (s, 1H), 6.88 (d, J = 7.0 Hz, 1H). Other signals overlap with the major diastereomer. 13C-NMR (50 MHz, CDCl3) δ: cis-7g: 17.9, 21.0, 21.2, 23.7, 28.1, 28.6, 72.3, 77.6, 122.0, 123.3, 125.9, 126.39, 126.45, 127.6, 127.8, 128.2, 129.9, 132.3, 133.9, 134.0, 135.7, 137.5, 138.4. trans-7g: 16.1, 19.6, 21.0, 25.1, 27.8, 28.3, 72.3, 76.2, 125.3, 127.2, 127.3, 127.7, 128.0, 129.9, 134.0, 134.7, 135.7, 136.2, 137.0, 138.5. LRMS m/z (rel. int.): cis-7g: 304 (M+∙, 50), 262 (31), 261 (22), 248 (11), 247 (71), 229 (17), 152 (14), 141 (20), 133 (100), trans-7g: 304 (67), 262 (45), 261 (30), 248 (15), 247 (100). HRMS [ESI(+)] calcd. for [C22H24O+Na] 327.1725, found 327.1717.
Prins cyclization of 1a and 2i. The reaction was performed following the general procedure, but using 1a (0.075 g, 0.40 mmol), 2i (0.065 g, 0.40 mmol), CH2Cl2 (5 mL), I2 (0.0051 g, 0.020 mmol). A mixture of 7i (cis:trans = 20:3.2, 0.933 g, 0.28 mmol, 70%) was obtained as colorless viscous oil.
(±)-N-(4-(2,4,5,6-tetrahydro-1-methyl-1H-benzo[f]isochromen-4-yl)phenyl)acetamide (7i). IR (film): 3308, 3197, 3123, 3059, 2964, 2929, 2871, 1684, 1671, 1601, 1540, 1411, 1372, 1318, 1267, 767 736 cm−1. 1H-NMR (200 MHz, CDCl3) δ: cis-7i: 1.43 (d, J = 6.8 Hz, 3H), 1.64–1.98 (m, 2H), 2.15 (s, 3H), 2.60–2.68 (m, 2H), 2.73–2.78 (m, 1H), 3.87 (d, J = 10.9, 2.0 Hz, 1H), 3.96 (d, J = 11.0, 3.0 Hz, 1H), 5.09 (s, 1H), 7.06–7.20 (m, 3H), 7.23–7.51 (m, 5H).
trans-7i: 1.21 (d, J = 6.8 Hz, 3H), 2.08 (s, 3H), 3.50 (dd, J = 11.4, 3.8 Hz, 1H), 5.16 (s, 1H). Other signals overlap with the major compound. 13C-NMR (75 MHz, CDCl3) δ: cis-7i: 18.8, 24.4, 24.6, 27.9, 28.8, 70.3, 80.2, 119.7, 122.1, 126.5 126.7, 127.7, 129.3, 132.0, 133.7, 135.7, 137.8, 168.3. trans-7i: 17.9, 24.6, 28.1, 28.2, 77.2, 78.6, 119.7, 122.6, 125.3, 126.3, 126.5, 127.6, 129.8, 132.9, 136.6, 137.1. LRMS m/z (rel. int.): 333 (M+∙, 28), 292 (13), 291 (69), 290 (45), 288 (20), 249 (18), 233 (13), 162 (55), 155 (12), 141 (13), 129 (15), 128 (23), 115 (16), 43 (100). HRMS [ESI(+)] calcd. for [C22H23O2+Na] 356.1626, found 356.1633.
Prins cyclization of 1a and 2j. The reaction was performed following the general procedure, but using 1a (0.056 g, 0.30 mmol), 2j (0.055 g, 0.30 mmol), CH2Cl2 (5 mL), I2 (0.0038 g, 0.015 mmol). A mixture of 7j and 12j (cis:trans:12j = 12.5:0.01:1, 0.091 g, 0.26 mmol, 85%) was obtained as a colorless viscous oil. Aldehyde 2j (12%) was also recovered. This mixture was subjected to another flash column chromatography (1% AcOEt in hexanes). Partially pure samples could be obtained for characterization.
(±)-cis-4-(4-Bromophenyl)-2,4,5,6-tetrahydro-1-methyl-1H-benzo[f]isochromene (cis-7j). IR (film): 3065, 2962, 2927, 1712, 1487, 1462, 1453, 1276, 768, 735 cm−1. 1H-NMR (200 MHz, CDCl3) δ: 1.43 (d, J = 7.0 Hz, 3H), 1.67–2.05 (m, 2H), 2.57–2.80 (m, 3H), 3.87 (dd, J = 11.0, 2.0 Hz, 1H), 3.95 (dd, J = 11.0, 3.0 Hz, 1H), 5.08 (s, 1H), 7.07–7.12 (m, 1H), 7.15–7.21 (m, 1H), 7.24–7.35 (m, 4H), 7.46 (t, J = 2.0 Hz, 1H), 7.51 (t, J = 1.8 Hz, 1H). 13C-NMR (50 MHz, CDCl3) δ: 18.8, 24.3, 27.9, 28.8, 70.4, 80.1, 122, 126.5, 126.8, 127.7, 130.3, 131.7, 132.2, 132.3, 133.5, 135.6, 139.8. LRMS m/z (rel. int.): 356 (M+∙+2, 20), 354 (M+∙, 20), 314 (47), 312 (47), 233 (46), 215 (32), 185 (60), 183 (60), 129 (100). HRMS [ESI(+)] calcd. for [C20H19BrO+H] 355.0698, found 355.0549.
(±)-(4R,4aR)-4-(4-bromophenyl)-4,4a,5,6-tetrahydro-1-methyl-2H-benzo[f]isochromene (12j) and (±)-trans-4-(4-bromophenyl)-2,4,5,6-tetrahydro-1-methyl-1H-benzo[f]isochromene (trans-7j). IR (film): 3067, 2956, 2926, 1719, 1590, 1484, 1454, 1271, 757, 733 cm−1. 1H-NMR (200 MHz, CDCl3) δ: 12j: 1.37–2.05 (m, 2H), 1.92 (s, 3H), 2.60–2.79 (m, 3H), 4.10 (d, J = 9.6 Hz, 3H), 4.23 (dd, J = 16.5, 1.4 Hz, 1H), 4.35 (d, J = 15.4 Hz, 1H), 7.07–7.52 (m, 7H), 7.66–7.78 (m, 1H). trans-7j: 1.21 (d, J = 6.8 Hz, 3H), 3.50 (dd, J = 11.4, 4.0 Hz, 1H), 5.16 (s, 1H). Other signals overlap with the major diastereomer. 13C-NMR (50 MHz, CDCl3) δ: 12j: 16.5, 26.0, 28.2, 40.8, 67.0, 78.4, 125.1, 125.3, 126.7, 126.9, 128.4, 128.9, 129.3, 130.8, 131.0, 131.5, 131.8, 132.4, 134.6, 137.7. trans-7j: 17.8, 25.9, 28.1, 28.2, 71.2, 82.3, 121.9, 122.3, 122.7, 126.8, 127.6, 129.4, 129.8, 133.1, 133.5, 135.1, 136.2, 138.2, 140.2. LRMS m/z (rel. int.): 356 (M+∙+2, 20), 354 (M+∙, 20), 314 (41), 312 (47), 233 (40), 215 (27), 185 (47), 183 (53), 157 (17), 155 (29), 129 (100). HRMS [ESI(+)] calcd. for [C20H19BrO+H] 355.0698, 357.0677, found 355.0319, 357.0301.
Prins cyclization of 1a and 2k. The reaction was performed following the general procedure, but using 1a (0.39 g, 2.1 mmol), 2k (0.24 mL, 2.1 mmol), CH2Cl2 (10 mL), I2 (0.026 g, 0.10 mmol). Compound cis-7k (0.55 g, 1.5 mmol, 75%) was obtained as a colorless solid.
(±)-cis-4-(3-Bromophenyl)-2,4,5,6-tetrahydro-1-methyl-1H-benzo[f]isochromene (cis-7k). m.p. 154 °C. IR (film): 3060, 2959, 2917, 1487, 1460, 788, 732 cm−1. 1H-NMR (500 MHz, CDCl3) δ: 1.45 (d, J = 6.5 Hz, 3H), 1.75–1.81 (m, 1H), 1.94–2.00 (m, 1H), 2.61–2.72 (m, 2H), 2.76–2.77 (m, 1H), 3.88 (dd, J = 11.0, 2.0 Hz, 1H), 3.95 (dd, J = 11.0, 3.0 Hz, 1H), 5.08 (s, 1H), 7.10 (d, J = 7.0 Hz, 1H), 7.16 (td, J = 7.5, 1.0 Hz, 1H), 7.21–7.26 (m, 2H), 7.33 (d, J = 6.5 Hz, 1H), 7.34 (d, J = 7.5 Hz, 1H), 7.44–7.46 (m, 1H), 7.55 (t, J = 1.5 Hz, 1H). 13C-NMR (75 MHz, CDCl3) δ: 18.8, 24.3, 27.9, 28.9, 70.4, 80.2, 122.2, 122.6, 126.5, 126.8, 127.3, 127.7, 130.1, 131.4, 131.7, 132.0, 132.4, 133.5, 135.6, 143.0. LRMS m/z (rel. int.): 356 (M+∙+2, 25), 354 (M+∙, 25), 314 (45), 312 (46), 233 (33), 215 (25), 185 (36), 183 (34), 157 (22), 155 (22), 129 (100). HRMS [ESI(+)] calcd. for [C20H19BrO+Na] 377.0518, 379.0509, found 377.0516, 379.0504.
Prins cyclization of 1a and 2l. The reaction was performed following the general procedure, but using 1a (0.094 g, 0.50 mmol), 2l (0.092 g, 0.50 mmol), CH2Cl2 (5 mL), I2 (0.0063, 0.025 mmol). A mixture of 7l and 12l (cis:12l = 11.1:1, 0.11 g, 0.31 mmol, 62%) was obtained as a colorless viscous oil.
(±)-cis-4-(2-Bromophenyl)-2,4,5,6-tetrahydro-1-methyl-1H-benzo[f]isochromene (cis-7l) and (±)-(4R,4aR)-4-(2-bromophenyl)-4,4a,5,6-tetrahydro-1-methyl-2H-benzo[f]isochromene (12l). IR (film): 3062, 2962, 2928, 1470, 1438, 759, 732 cm−1. 1H-NMR (500 MHz, CDCl3) δ: cis-7l: 1.43 (d, J = 7.0 Hz, 3H), 1.75–1.82 (m, 1H), 2.00–2.08 (m, 1H), 2.60–2.73 (m, 2H), 2.77–2.81 (m, 1H), 3.88 (dd, J = 10.7, 2.5 Hz, 1H), 4.00 (dd, J = 10.7, 3.5 Hz, 1H), 5.69 (s, 1H), 7.01–7.18 (m, 3H), 7.28–7.46 (m, 3H), 7.45 (dd, J = 7.7, 1.5 Hz, 1H), 7.59 (dd, J = 7.7, 1.5 Hz, 1H). 12l: 1.93 (d, J = 1.0 Hz, 3H), 4.33 (s, 2H), 4.78 (d, J = 9.5 Hz, 2H). Other signals overlap with the major diastereomer. 13C-NMR (75 MHz, CDCl3) δ: cis-7l: 18.8, 24.3, 27.9, 28.8, 70.4, 78.7, 122.2, 125.5, 126.5, 126.7, 127.7, 127.8, 129.7, 129.9, 132.4, 132.7, 132.9, 133.6, 135.7, 139.7. 12l: 16.5, 25.7, 28.4, 41.2, 71.6, 80.4, 125.1, 125.46, 125.53, 127.9, 128.3, 128.8, 129.0, 129.4, 132.6. LRMS m/z (rel. int.): 356 (M+∙+2, 21), 354 (M+∙, 24), 314 (38), 312 (38), 232 (55), 215 (34), 185 (34), 183 (38), 157 (19), 155 (20), 129 (83), 128 (100). HRMS [ESI(+)] calcd. for [C20H19BrO+Na] 377.0517, 379.0497, found 377.0516, 379.0504.
Prins cyclization of 1a and 2n. The reaction was performed following the general procedure, but using 1a (0.094 g, 0.50 mmol), 2n (0.076 g, 0.50 mmol), CH2Cl2 (5 mL), I2 (0.0063, 0.025 mmol). Compound 7n (cis:trans = 16.7:1, 0.12 g, 0.38 mmol, 76%) was obtained as a white solid.
(±)-cis-2,4,5,6-Tetrahydro-1-methyl-4-(3-nitrophenyl)-1H-benzo[f]isochromene (cis-7n). m.p. 104–105 °C. IR (film): 3061, 3020, 2963, 2927, 2249, 1727, 1486, 1451, 768, 735 cm−1. 1H-NMR (500 MHz, CDCl3) δ: 1.43 (d, J = 7.0 Hz, 3H), 1.74–1.80 (m, 1H), 2.08–2.16 (m, 1H), 2.59–2.73 (m, 2H), 2.78–2.82 (m, 1H), 3.86 (dd, J = 11.0, 2.0 Hz, 1H), 3.98 (dd, J = 11.0, 3.0 Hz, 1H), 5.24 (s, 1H), 7.11 (dd, J = 7.5, 1.0 Hz, 1H), 7.16 (td, J = 7.5, 1.5 Hz, 1H), 7.23–7.26 (m, 2H), 7.33 (d, J = 6.5 Hz, 1H), 7.44–7.48 (m, 1H), 7.58 (td, J = 7.0, 1.5 Hz 1H), 7.66 (dd, J = 8.0, 1.0 Hz, 1H), 7.84 (dd, J = 8.0, 1.0 Hz, 1H). 13C-NMR (75 MHz, CDCl3) δ: 19.0, 24.4, 27.8, 28.8, 70.5, 79.9, 122.3, 123.3, 123.7, 126.6, 127.1, 127.8, 129.5 131.1, 133.1, 133.3, 134.7, 135.5, 143.0, 148.4. LRMS m/z (rel. int.): 321 (M+∙, 11), 279 (33), 150 (28), 129 (100). HRMS [ESI(+)] calcd. for [C20H19NO3+Na] 344.1263, found 344.1253.
Prins cyclization of 1a and 2o. The reaction was performed following the general procedure, but using 1a (0.094 g, 0.50 mmol), 2o (0.076 g, 0.50 mmol), CH2Cl2 (5 mL), I2 (0.0063, 0.025 mmol). A mixture of 7o and 12o (cis:12o = 10:1, 0.14 g, 0.42 mmol, 85%) was obtained as a colorless viscous oil.
(±)-cis-2,4,5,6-Tetrahydro-1-methyl-4-(2-nitrophenyl)-1H-benzo[f]isochromene (cis-7o) and (±)-(4R,4aR)-4,4a,5,6-tetrahydro-1-methyl-4-(2-nitrophenyl)-2H-benzo[f]isochromene (12o). IR (film): 3065, 2962, 2928, 2253, 1527, 1488, 1450, 768, 735 cm−1. 1H-NMR (500 MHz, CDCl3) δ: cis-7o: 1.43 (d, J = 7.0 Hz, 3H), 1.74–1.80 (m, 1H), 2.08–2.16 (m, 1H), 2.59–2.73 (m, 2H), 2.78–2.82 (m, 1H), 3.86 (dd, J = 11.0, 2.0 Hz, 1H), 3.98 (dd, J = 11.0, 3.0 Hz, 1H), 5.79 (s, 1H), 7.11 (dd, J = 7.5, 1.0 Hz, 1H), 7.16 (td, J = 7.5, 1.5 Hz, 1H), 7.23–7.26 (m, 1H), 7.33 (d, J = 6.5 Hz, 1H), 7.44–7.48 (m, 1H), 7.58 (td, J = 7.0, 1.5 Hz, 1H), 7.66 (dd, J = 8.0, 1.0 Hz, 1H), 7.84 (dd, J = 8.0, 1.0 Hz, 1H). 12o: 1.68–1.73 (m, 1H), 1.58–1.64 (m 1H), 1.91 (t, J = 1.0 Hz, 3H), 4.27 (dd, J = 16.5, 1.5 Hz, 1H), 4.32 (dd, J = 16.5, 1.0 Hz, 1H), 4.92 (d, J = 9.5 Hz, 1H), 7.41 (dd, J = 7.2, 1.5 Hz, 1H), 7.63 (dd, J = 7.2, 1.0 Hz, 1H), 7.72 (dd, J = 8.0, 1.5 Hz, 1H), 7.82 (dd, J = 8.2, 1.5 Hz, 1H). Other signals overlap with the major diastereomer. 13C-NMR (75 MHz, CDCl3) δ: cis-7o: 18.9, 24.4, 27.9, 28.6, 70.7, 74.3, 122.3, 123.9, 126.6, 127.0, 127.7, 129.0 130.4, 131.8, 132.8, 133.1, 133.3, 135.1, 135.7, 150.6. 12o: 16.5, 25.7, 28.2, 40.8, 71.5, 76.2, 123.8, 125.1, 126.8, 127.1, 128.7, 128.8, 129.2, 129.3, 132.8, 134.6, 135.2, 138.0. LRMS m/z (rel. int.): 321 (M+∙, 1.7), 303 (22), 312 (46), 233 (33), 215 (25), 185 (36), 183 (34), 157 (22), 155 (22), 129 (100). HRMS [ESI(+)] calcd. for [C20H19NO3+Na] 344.1263, found 344.1263.
Prins cyclization of 1a and 2q. The reaction was performed following the general procedure, but using 1a (0.084 g, 0.44 mmol), 2q (0.040 mL, 0.44 mmol), CH2Cl2 (5 mL), I2 (0.0056, 0.022 mmol). Compound cis-7q (0.067 g, 0.28 mmol, 62%) was obtained as colorless viscous oil.
(±)-cis-2,4,5,6-Tetrahydro-1-methyl-4-propyl-1H-benzo[f]isochromene (cis-7q). IR (film): 3065, 2965, 2936, 1726, 1457, 760 cm−1. 1H-NMR (200 MHz, CDCl3) δ: 0.93 (t, J = 7.2 Hz, 3H), 1.33 (d, J = 6.8 Hz, 3H), 1.25–1.85 (m, 4H), 1.94–2.30 (m, 2H), 2.50–2.62 (m, 1H), 2.73–2.81 (m, 2H), 3.75 (dd, J = 10.6, 2.5 Hz, 1H), 3.81 (dd, J = 10.6, 1.8 Hz, 1H), 4.22–4.24 (m, 1H), 7.11 (dd, J = 4.7, 1.4 Hz, 2H), 7.16–7.23 (m, 1H), 7.24–7.29 (m, 1H). 13C-NMR (75 MHz, CDCl3) δ: 14.3, 18.0, 18.6, 23.9, 28.2, 29.2, 35.2, 69.8, 76.6, 121.9, 126.3, 126.4, 127.5, 131.3, 133.8, 134.3, 135.3. LRMS m/z (rel. int.): 242 (M+∙, 31), 227 (20), 199 (29), 184 (36), 170 (26), 158 (32), 157 (24), 155 (100). HRMS [ESI(+)] calcd. for [C17H22O+Na] 265.1568, found 265.1556.
Prins cyclization of 1a and 2r. The reaction was performed following the general procedure, but using 1a (0.0932 g, 0.496 mmol), 2r (0.0600 mL, 0.496 mmol), CH2Cl2 (5 mL), I2 (0.0063, 0.024 mmol). Compound 7r (cis:trans = 7.1:1, 0.10 g, 0.36 mmol, 72%) was obtained as colorless viscous oil.
(±)-4-Cyclohexyl-2,4,5,6-tetrahydro-1-methyl-1H-benzo[f]isochromene (7r). IR (film): 3091, 3063, 2930, 2853, 1711, 1451, 1451, 763 cm−1. 1H-NMR (300 MHz, CDCl3) δ: cis-7r: 1.09–1.28 (m, 4H), 1.34 (d, J = 6.9 Hz, 3H), 1.39–1.51 (m, 1H), 1.53–1.73 (m, 6H), 1.77–1.85 (m, 2H), 1.95–2.07 (m, 1H), 2.15–2.26 (m, 1H), 2.48–2.55 (m, 1H), 2.71–2.82 (m, 2H), 3.72 (dd, J = 10.6, 2.5 Hz, 1H), 3.81 (dd, J = 10.5, 1.2 Hz, 1H), 4.10 (s, 1H), 7.10–7.13 (m, 2H), 7.14–7.25 (m, 1H), 7.27 (d, J = 7.5 Hz, 1H). trans-7r: 3.02 (d, J = 9.6 Hz, 1H), 3.99 (dd, J = 16.2, 1.5 Hz, 1H), 4. 10 (s, 1H), 4.19 (dd, J = 16.2, 0.9 Hz, 1H), other signals overlap with major diastereomer. 13C-NMR (75 MHz, CDCl3) δ: cis-7r: 18.7, 23.6, 26.0, 26.4, 26.7, 27.2, 28.2, 29.4, 30.4, 39.7, 70.0, 81.2, 121.8, 126.2, 126.4, 127.4, 131.8, 133.0, 134.5, 135.3. trans-7r: 16.5, 26.1, 26.6, 26.9, 27.6, 28.4, 31.3, 35.6, 70.7, 84.3, 124.8, 126.5, 127.2, 128.3, 128.9, 129.8, 135.5, 137.6. LRMS m/z (rel. int.): 282 (M+∙, 20), 267 (9), 224 (6), 199 (30), 197 (6), 187 (12), 186 (89), 181 (16), 171 (32), 170 (68), 169 (20), 158 (44), 157 (24), 156 (16), 155 (100). HRMS [ESI(+)] calcd. for [C20H26O+H] 283.2062, found 283.2613.
Prins cyclization of 1a and 2t. The reaction was performed following the general procedure, but using 1a (0.092 g, 0.49 mmol), 2t (0.070 mL, 0.49 mmol), CH2Cl2 (5 mL), I2 (0.0062 g, 0.024 mmol). Compound 7t (cis:trans= 2:1, 0.081 g, 0.34 mmol, 69%) was obtained as a colorless viscous oil. The relative configuration was assigned based on NOESY experiments of an enriched sample of cis-7t (cis:trans = 12:1) and enriched sample of trans-7t (cis:trans = 1:10) that were obtained after successive purifications of the product by flash column chromatography (1% AcOEt in hexanes).
(±)-cis-2,4,5,6-tetrahydro-1-methyl-4-((E)-prop-1-enyl)-1H-benzo[f]isochromene (cis-7t). IR (film): 2964, 2931, 2878, 2833, 1714, 1489, 1451, 1127, 768, 738 cm−1. 1H-NMR (300 MHz, CDCl3) δ: 1.30 (d, J = 6.9 Hz, 3H), 1.76 (dd, J = 6.4, 1.8 Hz, 3H), 1.94–2.03 (m, 1H), 2.05–2.20 (m, 1H), 2.63–2.67 (m, 1H), 3.73 (t, J = 7.2 Hz, 2H), 3.81 (s, 1H), 3.82 (s, 1H), 4.51 (d, J = 8.1 Hz, 1H), 5.46 (ddq, J = 15.1, 8.2, 1.8 Hz, 1H), 5.85 (dqd, J = 15.1, 6.4, 0.6 Hz, 1H), 7.11–7.13 (m, 2H), 7.15–7.27 (m, 2H). 13C-NMR (75 MHz, CDCl3) δ: 17.8, 18.4, 24.2, 28.1, 28.8, 69.6, 78.7, 122.0, 126.39, 126.42, 127.6, 129.1, 130.5, 131.0, 131.2, 132.9, 135.6. LRMS m/z (rel. int.): 240 (M+∙, 85), 225 (26), 198 (82), 197 (80), 183 (99), 181 (17), 179 (18), 177 (18), 165 (55), 155 (61), 153 (28), 152 (39), 141 (57), 129 (100). HRMS [ESI(+)] calcd. for [C17H21O+H]+ 241.1592, found 241.1589.
(±)-trans-2,4,5,6-Tetrahydro-1-methyl-4-((E)-prop-1-enyl)-1H-benzo[f]isochromene (trans-7t). IR (film): 3067, 3022, 2964, 2931, 2878, 1708, 1451, 1380, 1127, 768, 738 cm−1. 1H-NMR (300 MHz, CDCl3) δ: 1.16 (d, J = 6.9 Hz, 3H), 1.72 (ddd, J = 9.0, 1.6, 0.6 Hz, 3H), 1.91–2.00 (m, 1H), 2.06–2.18 (m, 1H), 2.69–2.80 (m, 3H), 3.55 (dd, J = 11.2, 3.6 Hz, 1H), 4.03 (dd, J = 11.1, 3.9 Hz, 1H), 4.57 (d, J = 7.5 Hz, 1H), 5.51 (ddq, J = 15.4, 7.3, 1.5 Hz, 1H), 5.77 (dqd, J = 15.2, 6.4, 0.6 Hz, 1H), 7.12–7.14 (m, 2H), 7.15–7.19 (m, 2H). 13C-NMR (75 MHz, CDCl3) δ: 17.7, 17.9, 25.5, 28.19, 28.21, 67.2, 77.4, 122.4, 126.26, 126.29, 127.5, 128.2, 130.5, 131.3, 133.1, 133.8, 136.1. LRMS m/z (rel. int.): 240 (M+∙, 97), 225 (21), 199 (16), 198 (76), 197 (70), 183 (82), 181 (16), 179 (18), 166 (17), 165 (43), 155 (43), 153 (27), 152 (24), 141 (52), 129 (100). HRMS [ESI(+)] calcd. for [C17H21O+H]+ 241.1592, found 241.1581.
Prins cyclization of 1a and 2u. The reaction was performed following the general procedure, but using 1a (0.104 g, 0.556 mmol), 2u (0.070 mL, 0.556 mmol), CH2Cl2 (5 mL), I2 (0.0071, 0.028 mmol). Compound 7u (cis:trans = 3:1, 0.111 g, 0.368 mmol, 66%) was obtained as colorless viscous oil. The relative configuration was assigned by NMR analysis, including NOESY experiments, of enriched samples of cis-7u and trans-7u that were obtained after successive purifications of the product by flash column chromatography (1% AcOEt in hexanes).
(±)-cis-2,4,5,6-Tetrahydro-1-methyl-4-styryl-1H-benzo[f]isochromene (cis-7u). IR (film): 3070, 3020, 2954, 2917, 2849, 1461, 1375, 1117, 756 cm−1. 1H-NMR (300 MHz, CDCl3) δ: 1.34 (d, J = 6.9 Hz, 3H), 2.02–2.26 (m, 2H), 2.68–2.77 (m, 3H), 3.87 (s, 1H), 3.88 (s, 1H), 4.74 (d, J = 8.1 Hz, 1H), 6.17 (J = 13.9, 8.1 Hz,1H), 6.73 (d, J = 15.9 Hz, 1H), 7.10–7.15 (m, 2H), 7.17–7.25 (m, 2H), 7.27–7.30 (m, 2H), 7.31–7.35 (m, 1H), 7.36–7.43 (m, 2H). 13C-NMR (75 MHz, CDCl3) δ: 18.4, 24.3, 28.1, 28.8, 69.6, 78.6, 122.1, 126.4, 126.57, 126.64, 127.6, 127.8, 128.5, 128.6, 131.7, 132.3, 133.8, 134.1, 135.6, 136.5. LRMS m/z (rel. int.): 302 (M+∙, 47), 301 (25), 287 (4), 260 (16), 259 (13), 241 (8), 210 (15), 198 (16), 197 (89), 181 (17), 165 (27), 156 (19), 155 (100). HRMS [ESI(+)] calcd. for [C22H22O+Na]+ 325.1568, found 325.1330.
(±)-trans-2,4,5,6-Tetrahydro-1-methyl-4-styryl-1H-benzo[f]isochromene (trans-7u). IR (film): 3058, 3025, 2959, 2926, 2871, 2834, 1490, 1450, 1121, 967, 765, 694 cm−1. 1H-NMR (500 MHz, CDCl3) δ: 1.21 (d, J = 7.0 Hz, 3H), 1.98–2.08 (m, 1H), 2.18–2.26 (m, 1H), 2.70–2.84 (m, 3H), 3.63 (dd, J = 11.0, 3.5 Hz, 1H), 4.10 (dd, J = 11.0, 4.0 Hz, 1H), 4.81 (d, J = 7.0 Hz, 1H), 6.25 (dd, J = 15.7, 7.0 Hz, 1H), 7.12–7.44 (m, 9H). 13C-NMR (50 MHz, CDCl3) δ: 17.8, 25.6, 28.1, 28.2, 28.2, 67.1, 77.1, 122.4, 125.2, 126.3, 126.4, 126.5, 127.6, 131.9, 132.3, 133.5, 133.6, 136.1. LRMS m/z (rel. int.): 302 (M+∙, 44), 301 (23), 260 (17), 259 (11), 210 (14), 207 (15), 197 (67), 179 (15), 165 (29), 155 (100). HRMS [ESI(+)] calcd. for [C22H22O+Na]+ 325.1568, found 325.1355.
Prins cyclization of 1b and 2b. The reaction was performed following the general procedure, but using 1b (0.104 g, 0.600 mmol), 2b (0.073 mL, 0.60 mmol), CH2Cl2 (5 mL), I2 (0.030, 0.076 mmol). Compound 13b was obtained as a pale brown oil (3:1 cis:trans, 0.142 g, 0.486 mmol, 81%).
(±)-1-(4-Methoxyphenyl)-4-methyl-1,3,4,9-tetrahydroindeno[2,1-c]pyran (13b). IR (film): 3020, 2961, 2906, 1512, 1246, 832 cm−1. 1H-NMR (200 MHz, CDCl3) δ: cis-13b: 1.48 (d, J = 7.0 Hz, 3H), 2.74–2.82 (m, 1H), 2.99 (br, 1H), 3.06–3.95 (br, 1H), 3.80 (s, 3H), 3.95–3.97 (m, 2H); trans-13b: 1.34 (d, J = 7.0 Hz, 3H), 2.88 (br, 1H), 3.20 (br, 1H), 3.44–3.53 (m, 1H), 3.84–3.88 (m, 2H). Other signals overlap with the major diastereomer. 13C-NMR (75 MHz, CDCl3) δ: cis-13b: 18.2, 28.7, 37.8, 55.3, 70.4, 78.6, 113.9, 118.5, 123.8, 124.4, 126.3, 129.1, 129.6, 133.2, 140.1, 143.1, 144.1, 159.5.
trans-13b: 16.4, 28.8, 38.3, 55.2, 67.7, 77.1, 113.8, 119.4, 123.8, 124.4, 126.2, 129.6, 132.8, 140.3, 140.4, 141.0, 143.2, 144.0, 159.5. LRMS m/z (rel. int.): 292 (M+∙, 3.9), 250 (7.1), 215 (6.0), 202 (14), 141 (19.7), 135 (100). HRMS [ESI(+)] calcd. for [C20H20O2+ Na]+ 315.1356, found 315.1355, [C20H20O2+ H]+ 293.1536, found 293.1537.
Prins cyclization of 1c and 2b. The reaction was performed following the general procedure, but using 1c (0.121 g, 0.600 mmol), 2b (0.073 mL, 0.60 mmol), CH2Cl2 (5 mL), I2 (0.030, 0.076 mmol). Compounds cis-14c (0.110 g, 0.344 mmol, 57%) and trans-14c (0.038 g, 0.118 mmol, 20%) were obtained as colorless oil.
(±)-(4S,4aR)-4-(4-Methoxyphenyl)-1-methyl-2,4,4a,5,6,7-hexahydrobenzo[3,4]cyclohepta-[1,2-c]pyran (cis-14c). IR (film): 3061, 3035, 3012, 2927, 1513, 1249, 830, 760, 751 cm−1. 1H-NMR (200 MHz, CDCl3) δ: 1.45 (s, 3H), 1.56–1.75 (m, 1H), 1.82–1.90 (m, 2H), 2.00–2.09 (m, 1H), 2.53–2.58 (m, 1H), 2.69–2.90 (m, 2H), 3.87 (s, 3H), 3.98 (d, J = 16.6 Hz, 1H), 4.17 (d, J = 16.2 Hz, 1H), 4.67 (d, J = 4.0 Hz, 1H), 6.95 (d, J = 8.6 Hz, 2H), 7.12–7.15 (m, 1H), 7.22–7.30 (m, 3H), 7.39 (d, J = 8.8 Hz, 2H). 13C-NMR (50 MHz, CDCl3) δ: 15.36, 25.68, 33.59, 34.50, 40.00, 55.18, 66.13, 78.86, 113.49, 125.80, 126.79, 127.41, 128.70, 128.72, 128.82, 132.21, 133.58, 140.85, 141.19, 158.86. LRMS m/z (rel. int.): 320 (M+∙, 0.08), 263 (1.9), 203 (1.8), 202 9 (3.2), 186 (1.1), 185 (17.3), 184 (100.0). HRMS [ESI(+)] calcd. for [C22H24O2+H]+ 321.1849, found 321.1860.
(±)-(4R,4aR)-4-(4-Methoxyphenyl)-1-methyl-2,4,4a,5,6,7-hexahydrobenzo[3,4]cyclohepta-[1,2-c]-pyran (trans-14c). IR (film): 3062, 3012, 2926, 1514, 1246, 832, 759 cm−1. 1H-NMR (200 MHz, CDCl3) δ: 1.23–1.30 (m, 1H), 1.44–1.69 (m, 2H), 1.57 (s, 3H), 1.86–1.93 (m, 1H), 2.08 (br, 1H), 2.55–2.79 (m, 2H), 3.80 (s, 3H), 4.40 (s, 2H), 4.827 (d, J = 2.6 Hz, 1H), 6.84–6.91 (m, 2H), 7.14–7.24 (m, 6H). 13C-NMR (50 MHz, CDCl3) δ: 15.1, 27.3, 30.5, 36.0, 43.3, 55.2, 70.7, 78.4, 113.4, 125.6, 126.60, 126.62, 126.66, 128.93, 133.2, 136.3, 141.7, 142.1, 158.2. LRMS m/z (rel. int.): 320 (M+∙, 0.05), 186 (0.9), 185 (10.3), 184 (100.0). HRMS [ESI(+)] calcd. for [C22H24O2+H]+ 321.1849, found 321.1864.
Prins cyclization of 1d and 2b. The reaction was performed following the general procedure, but using 1d (0.104 g, 0.600 mmol), 2b (0.073 mL, 0.60 mmol), CH2Cl2 (5 mL), I2 (0.0076 0.030 mmol). Compound 13d (0.159 g, 0.544 mmol, 91%) was obtained as colorless viscous oil.
(±)-4-(4-Methoxyphenyl)-1,4,5,6-tetrahydro-2H-benzo[f]isochromene (13d). IR (film): 3061, 3003, 2836, 1713, 1606, 1511, 761, 735 cm−1. 1H-NMR (200 MHz,CDCl3) δ: 1.83–1.91 (m, 2H), 2.41–2.50 (m, 1H), 2.68–2.77 (m, 3H), 3.78 (s, 3H), 3.83–3.92 (m, 1H), 4.04–4.15 (m, 1H), 5.13 (s, 1H), 6.86 (d, J = 8.4 Hz, 2H), 7.08–7.19 (m, 2H), 7.23–7.31 (m, 4H). 13C-NMR (50 MHz, CDCl3) δ: 25.11, 25.15, 27.87, 55.21, 62.24, 78.96, 113.71, 121.74, 126.45, 126.66, 126.84, 127.30, 130.00, 132.01, 133.59, 135.10, 135.14, 159.46. LRMS- m/z (rel. int.): 292 (M+∙, 92), 264 (16), 263 (31), 233 (16), 135 (100). HRMS [ESI(+)] calcd. for [C20H20O2+H]+ 293.1536, found 293.1543.
Prins cyclization of 1e and 2b. The reaction was performed following the general procedure, but using 1e (0.10 g, 0.49 mmol), 2b (0.060 mL, 0.49 mmol), CH2Cl2 (5 mL), I2 (0.0063, 0.025 mmol). Compound 13e (cis:trans = 2.3:1, 0.12 g, 0.37 mmol, 76%) was obtained as a colorless viscous oil. This mixture was subjected to another flash column chromatography (1% AcOEt in hexanes). Pure samples were obtained for characterization.
(±)-cis-1-Ethyl-2,4,5,6-tetrahydro-4-(4-methoxyphenyl)-1H-benzo[f]isochromene (cis-13e). IR (film): 3061, 3015, 2959, 2930, 2873, 1606, 1510, 1460, 1249, 1034, 766, 736 cm−1. 1H-NMR (200 MHz, CDCl3) δ: 0.99 (t, J = 7.4 Hz, 3H), 1.79–2.04 (m, 2H), 1.57–1.68 (m, 2H), 2.54–2.56 (m, 1H), 2.69–2.81 (m, 2H), 3.70 (dd, J = 11.7, 2.8 Hz, 1H), 3.88 (dd, J = 11.6, 3.6 Hz, 1H), 5.15 (s, 1H), 6.84–6.90 (m, 2H), 7.13–7.17 (m, 2H), 7.25–7.29 (4H). 13C-NMR (50 MHz, CDCl3) δ: 11.9, 24.3, 26.2, 28.2, 34.9, 55.2, 62.2, 78.1, 113.7, 122.3, 126.3, 126.5, 127.7, 130.4, 131.4, 131.7, 132.7, 136.3, 159.5. LRMS m/z (rel. int.): 320 (M+∙, 20), 264 (42), 263 (35), 233 (18), 139 (11), 135 (100). HRMS [ESI(+)] calcd. for [C22H24O2+Na]+ 343.1674, found 343.1652.
(±)-trans-1-Ethyl-2,4,5,6-tetrahydro-4-(4-methoxyphenyl)-1H-benzo[f]isochromene (trans-13e). IR (film): 2962, 2934, 2876, 1603, 1511, 1452, 1441, 1255, 1171, 1110, 831, 767 cm−1. 1H-NMR (200 MHz, CDCl3) δ: 1.08 (t, J = 7.6 Hz, 3H), 1.76–2.00 (m, 4H), 2.39–2.43 (m, 1H), 2.58–2.74 m, 2H), 3.80 (s, 3H), 3.80–3.88 (m, 1H), 4.10 (dd, J = 11.0, 1.6 Hz, 1H), 5.07 (s, 1H), 6.84–6.92 (m, 2H), 7.11–7.15 (m, 2H), 7.22–7.57 (m, 4H). 13C-NMR (50 MHz, CDCl3) δ: 12.5, 24.5, 24.7, 28.0, 36.0, 55.3, 66.3, 80.3, 113.9, 113.7, 121.9, 126.5, 126.6, 127.7, 129.8, 130.4, 131.3, 131.5, 133.1, 133.4, 133.9, 133.9, 135.8, 159.6. LRMS m/z (rel. int.): 320 (M+∙, 21), 264 (55), 263 (50), 233 (21), 135 (100). HRMS [ESI(+)] calcd. for [C22H24O2+Na]+ 343.1674, found 343.1553.
Prins cyclization of 1e and 2k. The reaction was performed following the general procedure, but using 1e (0.10 g, 0.51 mmol), 2k (0.060 mL, 0.51 mmol), CH2Cl2 (5 mL), I2 (0.0065 g, 0.026 mmol). Compound 15e (0.15 g, 0.41 mmol, 80%) was obtained as a colorless solid.
(±)-4-(3-Bromophenyl)-1-ethyl-2,4,5,6-tetrahydro-1H-benzo[f]isochromene (15e). m.p. 125.2 °C. IR (film): 3102, 3053, 2956, 2926, 1488, 1461, 884, 793, 766, 727, 696 cm−1. 1H-NMR (200 MHz, CDCl3) δ: 1.10 (d, J = 7.4 Hz, 3H), 1.70–2.07 (m, 4H), 2.40–2.44 (m, 1H), 2.61–2.71 (m, 2H), 3.84 (dd, J = 11.1, 2.4 Hz, 1H), 4.12 (dd, J = 11.1, 1.6 Hz, 1H), 5.07 (s, 1H), 7.08–7.22 (m, 3H), 7.24–7.27 (m, 2H), 7.33 (dt, J = 7.8, 1.4 Hz, 1H), 7.45 (ddd, J = 7.6, 2.0, 1.4 Hz, 1H), 7.53 (t, J = 1.8 Hz, 1H). 13C-NMR (50 MHz, CDCl3) δ: 12.5, 24.3, 24.7, 27.9, 36.0, 66.4, 80.2, 122.0, 122.6, 126.5, 126.8, 127.3, 127.7, 130.1, 131.4, 131.7, 131.8, 132.2, 133.5, 135.6, 143.2. LRMS m/z (rel. int.): 370 (M+∙, 18), 368 (M+∙, 18), 314 (46), 312 (49), 233 (37), 215 (24), 185 (48), 183 (44), 157 (25), 155 (28), 129 (100). HRMS [ESI(+)] calcd. for [C21H21BrO+Na] 391.0673, 393.0653, found 391.0664, 393.0646.
Prins cyclization of 1g and 2b. The reaction was performed following the general procedure, but using 1g (0.10 g, 0.49 mmol), 2b (0.060 mL, 0.49 mmol), CH2Cl2 (5 mL), I2 (0.0063, 0.025 mmol). Compound 13g (cis:trans = 12.5:1, 0.83 g, 0.35 mmol, 52%) was obtained as a colorless viscous oil.
(±)-2,4,5,6-Tetrahydro-4-(4-methoxyphenyl)-1,2-dimethyl-1H-benzo[f]isochromene (13g). IR (film): 3062, 3031, 2971, 2934, 2887, 2834, 1609, 1511, 1488, 1452, 1245, 1033, 832, 767, 732 cm−1. 1H-NMR (500 MHz, CDCl3) δ: cis-13g: 1.28 (d, J = 6.5 Hz, 3H), 1.30 (d, J = 6.5 Hz, 3H), 1.75–1.81 (m, 1H), 1.89–1.96 (m, 1H), 2.59–2.70 (m, 3H), 3.79 (s, 3H), 4.01 (qd, J = 6.5, 2.5 Hz, 1H), 5.13 (s, 1H), 6.85–6.88 (m, 2H), 7.08 (dd, J = 7.2, 1.0 Hz, 2H), 7.13 (td, J = 7.2, 1.0 Hz, 2H), 7.22 (dd, J = 8.0, 1.0 Hz, 1H), 7.24–7.33 (m, 3H).
trans-13g: 1.11 (d, J = 4.5 Hz, 3H), 1.12 (d, J = 3.5 Hz, 3H), 3.76 (s, 3H), 3.96 (q, J = 3.0 Hz, 1H), 5.20 (s, 1H), other signals overlap with the major diastereomer. 13C-NMR (50 MHz, CDCl3) δ: cis-13g: 13.6, 18.5, 24.3, 28.1, 32.8, 55.3, 73.0, 81.4, 113.9, 121.8, 126.4, 126.5, 127.7, 129.8, 133.06, 133.12, 133.3, 133.9, 135.7, 159.5. LRMS m/z (rel. int.): 320 (M+∙, 15), 264 (44), 263 (40), 233 (19), 135 (100). HRMS [ESI(+)] calcd . for [C22H24O2+Na]+ 343.1674, found 343.1667.
Prins cyclization of 1h and 2b. The reaction was performed following the general procedure, but using 1h (0.10 g, 0.70 mmol), 2b (0.085 mL, 0.70 mmol), CH2Cl2 (5 mL), I2 (0.089, 0.35 mmol). Compound 5h (0.092 g, 0.23 mmol, 33%) was obtained as a white solid.
(±)-(2R,4R,6R)-Tetrahydro-4-iodo-2-(4-methoxyphenyl)-6-phenyl-2H-pyran (5h). m.p. 115–117 °C. IR (film): 3065, 3033, 3004, 2921, 2249, 1514, 1249, 909, 733 cm−1. 1H-NMR (500 MHz, CDCl3) δ: 2.22–2.36 (m, 2H), 2.57–2.66 (m, 2H), 3.79 (s, 3H), 4.49–4.59 (m, 3H), 6.86.12 (t, J = 2.1 Hz, 1H), 6.89 (t, J = 3.0 Hz, 1H), 7.24–7.32 (m, 1H), 7.33–7.41 (m, 6H). 13C-NMR (75 MHz, CDCl3) δ: 21.7, 29.7, 47.0, 47.1, 55.3, 80.6, 80.9, 113.8, 125.7, 127.1, 127.7, 128.4, 133.4, 141.2, 159.1. LRMS m/z (rel. int.): 394 (M+∙, 0.1), 267 (5), 161 (15), 160 (19), 159 (19), 144 (15), 137 (43), 136 (44), 135 (81), 131 (56), 130 (51), 129 (72), 127 (86), 115 (60), 107 (16), 106 (22), 105 (35), 92 (18), 91 (50), 78 (19), 77 (100). HRMS [ESI(+)] calcd. for [C18H19IO2+H]+ 395.0508, found 395.0500.
Prins cyclization of 1i and 2b. The reaction was performed following the general procedure, but using 1i (0.0762 g, 0.495 mmol), 2b (0.0600 mL, 0.495 mmol), CH2Cl2 (5 mL), I2 (0.00626, 0.247 mmol). Compound 5i (0.0822 g, 0.205 mmol, 41%) was obtained as colorless viscous oil.
(±)-(2S,4R,6R)-2-Cyclohexyltetrahydro-4-iodo-6-(4-methoxyphenyl)-2H-pyran (5i). IR (film): 2924, 2851, 1612, 1513, 1248, 1066, 1035, 826, 551 cm−1. 1H-NMR (300 MHz, CDCl3) δ: 1.00–1.15 (m, 3H), 1.15–1.25 (m, 3H), 1.42–1.53 (m, 1H), 1.62–1.80 (m, 5H), 1.84–1.91 (m, 1H), 1.94–2.20 (m, 1H), 2.34–2.57 (m, 1H), 3.22 (ddd, J = 11.1, 6.0, 1.8 Hz, 1H), 3.79 (s, 3H), 4.28 (dd, J = 11.1, 1.8 Hz, 1H), 4.40 (tt, J = 12.3, 4.2 Hz, 1H), 6.84–6.88 (m, 2H), 7.23–7.28 (m, 2H). 13C-NMR (75 MHz, CDCl3) δ: 23.8, 26.1, 26.2, 26.5, 28.6, 28.9, 42.0, 42.8, 47.4, 55.3, 80.0, 83.3, 113.7, 126.9, 133.9, 159.0. LRMS m/z (rel. int.): 400 (M+∙, 0.2), 273 (10), 161 (8), 138 (9), 137 (100). HRMS [ESI(+)] calcd. for [C18H25IO2+H]+ 401.0977, found 401.1062.
Prins cyclization of 1j and 2b. The reaction was performed following the general procedure, but using 1j (0.0426 g, 0.495 mmol), 2b (0.0600 mL, 0.495 mmol), CH2Cl2 (5 mL), I2 (0.00626, 0.247 mmol). Compound 5j (0.0471 g, 0142 mmol, 29%) was obtained as colorless viscous oil.
(±)-(2R,4R,6R)-Tetrahydro-4-iodo-2-(4-methoxyphenyl)-6-methyl-2H-pyran (5j). IR (film): 3067, 3036, 2970, 2954, 2835, 1613, 1514, 1250, 1178, 1055, 1036, 827, 774, 548 cm−1. 1H-NMR (300 MHz, CDCl3) δ: 1.25 (d, J = 6.0 Hz, 3H), 2.00 (td, J = 11.5, 11.0 Hz, 1H), 2.18 (td, J = 11.5, 11.0 Hz, 1H), 2.38 (dqt, J = 12.5, 2.0 Hz, 1H), 2.49 (td, J = 12.5, 2.0 Hz, 1H), 3.59–3.66 (m, 1H), 4.31 (dd, J = 11.0, 2.0 Hz, 1H), 4.40 (tt, J = 12.5, 4.5 Hz, 1H), 6.85–6.86 (m, 1H), 6.87–6.88 (m, 1H), 7.24–7.25 (m, 1H), 7.26–7.27 (m, 1H). 13C-NMR (50 MHz, CDCl3) δ: 21.5, 22.3, 46.6, 46.8, 55.3, 75.2, 80.4, 113.8, 125.3, 127.2, 133.5. LRMS m/z (rel. int.): 332 (M+∙, 0.4), 206 (6), 205 (46), 161 (8), 146 (3), 137 (100). HRMS [ESI(+)] calcd. for [C13H17IO2+Na]+ 355.0171, found 355.0164.
Prins cyclization of 1k and 2b. The reaction was performed following the general procedure, but using 1k (0.0496 g, 0.495 mmol), 2h (0.0600 mL, 0.495 mmol), CH2Cl2 (5 mL), I2 (0.00626, 0.247 mmol). Compound 5k (0.0642 g, 0185 mmol, 37%) was obtained as colorless viscous oil.
(±)-(2R,3S,4S)-3-Ethyltetrahydro-4-iodo-2-(4-methoxyphenyl)-2H-pyran (5k). IR (film): 2958, 2933, 2872, 2848, 1516, 1444, 1257, 1088, 1029, 826, 814, 545 cm−1. 1H-NMR (300 MHz, CDCl3) δ: 0.66 (t, J = 7.8 Hz, 3H), 1.36–1.30 (m, 1H), 1.48–1.62 (m, 2H), 2.02–2.12 (m, 1H), 2.45–2.53 (m, 1H), 2.57–2.71 (m, 1H), 3.51 (td, J = 11.8, 2.1 Hz, 1H), 3.80 (s, 3H), 3.81–3.85 (m, 1H), 4.12 (d, J = 9.9 Hz, 1H), 4.35 (td, J = 11.7, 4.5), 6.85–6.90 (m, 2H), 7.23–7.28 (m, 2H). 13C-NMR (75 MHz, CDCl3) δ: 8.3, 25.0, 33.2, 41.5, 51.5, 55.3, 69.7, 83.2, 113.8, 128.3, 132.7, 159.5. LRMS m/z (rel. int.): 346 (M+, 0.05), 220 (3), 219 (20), 137 (52), 135 (15), 83 (38), 77 (11), 67 (85), 55 (100). HRMS [ESI(+)] calcd. for [C14H19IO2+Na]+ 369.0327, found 369. 0333.
Prins cyclization of 1l and 2b with 0.5 equiv of Iodine. The reaction was performed following the general procedure, but using 1l (0.0496 g, 0.495 mmol), 2b (0.0600 mL, 0.495 mmol), CH2Cl2 (5 mL), I2 (0.0626, 0.247 mmol). Compound 5l [30] (0.0689 g, 0.199 mmol, 40%) was obtained as colorless viscous oil.
Prins cyclization of 1l and 2b with 1 equiv of Iodine. The reaction was performed following the general procedure, but using 1l (0.0496 g, 0.495 mmol), 2b (0.0600 mL, 0.496 mmol), CH2Cl2 (5 mL), I2 (0.1252, 0.495 mmol). Compound 5l [30] (0.139 g, 0.402 mmol, 81%) was obtained as colorless viscous oil.
Prins cyclization of 1l and 2b with 1 equiv of Iodine and 2 equiv of 2b. The reaction was performed following the general procedure, but using 1l (0.0992 g, 0.990 mmol), 2b (0.0600 mL, 0.495 mmol), CH2Cl2 (5 mL), I2 (0.125, 0.495 mmol). Compound 5l[30] (0.144 g, 0.417 mmol, 84%) was obtained as colorless viscous oil.

3.3. Computational Details

Gaussian09 revision A.01 was used for all calculations [47]. All structures were optimized at the B3LYP/6–31+G(d,p) theoretical levels [48]. Stationary points were characterized as minima by vibrational analysis. All reported energies include zero-point energy (ZPE) as well as thermal corrections (T = 298.15 K) from frequency calculations. Relaxed potential energy surface scan was carried out at the B3LYP/6–31G(d) level. Natural-bonding orbitals (NBO) analysis [49] was carried out by NBO 3.1 as implemented in the Gaussian09 suite of programs.

3.4. X-ray Crystallography

Well-shaped single crystals of 7k and 15e were chosen for the X-ray experiments. The single crystal X-ray diffraction measurements were performed at 150K on a Gemini A-Ultra diffractometer equipped with an Atlas CCD detector using mirror monochromatized CuKα radiation (λ = 1.5418 Å). The programs CrysAlis CCD and CrysAlis RED [50] were used for data collection, cell refinement and data reduction. The structures were solved by direct methods using the software Sir92 [51] and refined by full-matrix least squares on F² using the software SHELXL-2013 [52]. All non-hydrogen atoms were clearly identified and refined with least square of complete matrix in F² with anisotropic parameters considered. H atoms on C atoms were positioned stereochemically and were refined with fixed individual displacement parameters [Uiso(H) = 1.5Ueq(C) for methyl groups or 1.2Ueq(C) for aromatic, methine and methylene groups], using the SHELXL riding model with C-H bond lengths of 0.95, 0.96, 1.00 and 0.99 Å for aromatic, methyl, methine and methylene groups, respectively. WINGX software [53] was used to analyze and prepare the data for publication. Molecular graphics were prepared using ORTEP-3 for Windows [54] and Mercury [55]. Crystal data, data collection procedures, structure determination methods and refinement results are summarized in Table S1. Crystallographic data for the structural analysis of the compounds discussed here have been deposited at the Cambridge Crystallographic Data Centre, 12 Union Road, Cambridge CB2 1EZ, UK, and are available on request quoting the deposition numbers CCDC 948196 and 948057, for 7k and 15e, respectively.

4. Conclusions

The Prins cyclization of homoallylic alcohols and aldehydes can be performed using catalytic amounts of iodine as Lewis acid. Anhydrous conditions and inert atmosphere are not required in this metal-free protocol. The desired O-heterocycles were obtained in 52%–91% yield for 30 examples, including different homoallylic alcohols and several aliphatic and aromatic aldehydes. The main limitation is the use of some acyclic homoallylic alcohols, where the use of stoichiometric iodine is required to obtain good yield of the product. The mechanism and the ratio of the products could be explained by DFT calculations.

Acknowledgments

Silva, Bastos and Kishore thank CAPES, CNPq, and FAPESP for financial support. Prof. Silva thanks S. A. P. Quintiliano for initial experiments. Doriguetto and I. M. L. Rosa express sincere thanks to LabCri-UFMG for the X-ray facilities and to FAPEMIG (PPM-00524-12) and CNPq (476870/2011-9) for financial support.

Conflicts of Interest

The authors declare no conflict of interest.

Supplementary Materials

Additional information regarding X-ray analysis, DFT calculations, and NMR analysis are available at https://www.mdpi.com/1420-3049/18/9/11100/s1.

References

  1. Arundale, E.; Mikeska, L.A. The olefin aldehyde condensation—the Prins reaction. Chem. Rev. 1952, 51, 505–555. [Google Scholar] [CrossRef]
  2. Adams, D.R.; Bhatnagar, S.P. Prins Reaction. Synthesis 1977, 1977, 661–672. [Google Scholar] [CrossRef]
  3. Vasconcellos, M.; Miranda, L.S. M. The Prins cyclization reaction: An efficient stractegy for the stereoselective synthesis of substituted tetrahydropyran rings. Quim. Nova 2006, 29, 834–839. [Google Scholar] [CrossRef]
  4. Pastor, I.M.; Yus, M. The Prins reaction: Advances and applications. Curr. Org. Chem. 2007, 11, 925–957. [Google Scholar] [CrossRef]
  5. Olier, C.; Kaafarani, M.; Gastaldi, S.; Bertrand, M.P. Synthesis of tetrahydropyrans and related heterocycles via prins cyclization; extension to aza-prins cyclization. Tetrahedron 2010, 66, 413–445. [Google Scholar] [CrossRef]
  6. Pastor, I.M.; Yus, M. Focused update on the Prins reaction and the Prins cyclization. Curr. Org. Chem. 2012, 16, 1277–1312. [Google Scholar] [CrossRef]
  7. Dethe, D.H.; Murhade, G. FeCl3 catalyzed Prins-type cyclization for the synthesis of highly substituted indenes: Application to the total synthesis of (+/−)-Jungianol and epi-Jungianol. Org. Lett. 2013, 15, 429–431. [Google Scholar] [CrossRef]
  8. Han, X.; Peh, G.; Floreancig, P.E. Prins-type cyclization reactions in natural product synthesis. Eur. J. Org. Chem. 2013, 1193–1208. [Google Scholar]
  9. Reddy, B.V.S.; Kumar, H.; Borkar, P.; Yadav, J.S.; Sridhar, B. The prins cascade cyclization reaction for the synthesis of angularly-fused tetrahydropyran and piperidine derivatives. Eur. J. Org. Chem. 2013, 1993–1999. [Google Scholar]
  10. Yadav, J.S.; Reddy, Y.J.; Reddy, P.A.N.; Reddy, B.V.S. Stereoselective synthesis of anti-1,3-aminoalcohols via reductive opening of 4-amidotetrahydropyrans derived from the prins/ritter sequence. Org. Lett. 2013, 15, 546–549. [Google Scholar] [CrossRef]
  11. Baishya, G.; Sarmah, B.; Hazarika, N. An environmentally benign Synthesis of Octahydro-2H-chromen-4-ols via modified montmorillonite K10 catalyzed Prins cyclization reaction. Synlett 2013, 24, 1137–1141. [Google Scholar] [CrossRef]
  12. Jasti, R.; Rychnovsky, S.D. Racemization in prins cyclization reactions. J. Am. Chem. Soc. 2006, 128, 13640–13648. [Google Scholar] [CrossRef]
  13. Borkar, P.; van de Weghe, P.; Reddy, B.V.S.; Yadav, J.S.; Gree, R. Unprecedented synergistic effects between weak Lewis and Bronsted acids in Prins cyclization. Chem. Commun. 2012, 48, 9316–9318. [Google Scholar] [CrossRef]
  14. Dziedzic, M.; Furman, B. An efficient approach to the stereoselective synthesis of 2,6-disubstituted dihydropyrans via stannyl-Prins cyclization. Tetrahedron Lett. 2008, 49, 678–681. [Google Scholar] [CrossRef]
  15. Miranda, P.O.; Carballo, R.M.; Martin, V.S.; Padron, J.I. A new catalytic Prins cyclization leading to Oxa- and Azacycles. Org. Lett. 2009, 11, 357–360. [Google Scholar] [CrossRef]
  16. Lu, J.; Song, Z.L.; Zhang, Y.B.; Gan, Z.B.; Li, H.Z. Prins cyclization of Bis(silyl) homoallylic alcohols to form 2,6-cis-Tetrahydropyrans containing a geometrically defined exocyclic vinylsilane: Efficient synthesis of ring B of the bryostatins. Angew. Chem. Int. Ed. 2012, 51, 5367–5370. [Google Scholar] [CrossRef]
  17. Clarisse, D.; Pelotier, B.; Piva, O.; Fache, F. Green chemistry: Solvent- and metal-free Prins cyclization. Application to sequential reactions. Chem. Commun. 2012, 48, 157–159. [Google Scholar]
  18. Pham, M.; Allatabakhsh, A.; Minehan, T.G. An environmentally benign synthesis of cis-2,6-disubstituted tetrahydropyrans via indium-mediated tandem allylation/prins cyclization reaction. J. Org. Chem. 2008, 73, 741–744. [Google Scholar] [CrossRef]
  19. Capim, S.L.; Carneiro, P.H.P.; Castro, P.C.; Barros, M.R.M.; Marinho, B.G.; Vasconcellos, M. Design, Prins-cyclization reaction promoting diastereoselective synthesis of 10 new tetrahydropyran derivatives and in vivo antinociceptive evaluations. Eur. J. Med. Chem. 2012, 58, 1–11. [Google Scholar] [CrossRef]
  20. Crane, E.A.; Scheidt, K.A. Prins-type macrocyclizations as an efficient ring-closing strategy in natural product synthesis. Angew. Chem. Int. Ed. 2010, 49, 8316–8326. [Google Scholar] [CrossRef]
  21. Hiebel, M.A.; Pelotier, B.; Piva, O. Total synthesis of (+/−)-diospongin A via Prins reaction. Tetrahedron 2007, 63, 7874–7878. [Google Scholar] [CrossRef]
  22. Jacolot, M.; Jean, M.; Levoin, N.; van de Weghe, P. The prins reaction using ketones: Rationalization and application toward the synthesis of the portentol skeleton. Org. Lett. 2012, 14, 58–61. [Google Scholar] [CrossRef]
  23. Cheung, L.L.; Marumoto, S.; Anderson, C.D.; Rychnovsky, S.D. Assignment of absolute configuration to SCH 351448 via total synthesis. Org. Lett. 2008, 10, 3101–3104. [Google Scholar] [CrossRef]
  24. Vintonyak, V.V.; Kunze, B.; Sasse, F.; Maier, M.E. Total Synthesis and Biological Activity of Neopeltolide and Analogues. Chem. Eur. J. 2008, 14, 11132–11140. [Google Scholar] [CrossRef]
  25. Chio, F.K.; Warne, J.; Gough, D.; Penny, M.; Green, S.; Coles, S.J.; Hursthouse, M.B.; Jones, P.; Hassall, L.; McGuire, T.M.; Dobbs, A.P. On the choice of lewis acids for the Prins reaction; two total syntheses of (+/−)-Civet. Tetrahedron 2011, 67, 5107–5124. [Google Scholar] [CrossRef]
  26. Togo, H.; Iida, S. Synthetic use of molecular iodine for organic synthesis. Synlett 2006, 2006, 2159–2175. [Google Scholar] [CrossRef]
  27. Stavber, S.; Jereb, M.; Zupan, M. Electrophilic iodination of organic compounds using elemental iodine or iodides. Synthesis 2008, 2008, 1487–1513. [Google Scholar] [CrossRef]
  28. Kupper, F.C.; Feiters, M.C.; Olofsson, B.; Kaiho, T.; Yanagida, S.; Zimmermann, M.B.; Carpenter, L.J.; Luther, G.W., III; Lu, Z.; Jonsson, M.; Kloo, L. Commemorating two centuries of iodine research: An interdisciplinary overview of current research. ngew. Chem. Int. Ed. 2011, 50, 11598–11620. [Google Scholar]
  29. Yadav, J.S.; Reddy, B.V.S.; Krishna, V.H.; Swamy, T.; Kumar, G. Iodine-promoted Prins-cyclization of ketones—A facile synthesis of spirocyclic-4-iodotetrahydropyrans and 5,6-dihydro-2H-pyrans. Can. J. Chem. 2007, 85, 412–415. [Google Scholar] [CrossRef]
  30. Yadav, J.S.; Reddy, B.V.S.; Kumar, G.; Swamy, T. Iodine as a versatile reagent for the Prins-cyclization: An expeditious synthesis of 4-iodotetrahydropyran derivatives. Tetrahedron Lett. 2007, 48, 2205–2208. [Google Scholar] [CrossRef]
  31. Silva, L.F., Jr; Quintiliano, S.A.P. An expeditious synthesis of hexahydrobenzo[f]isochromenes and of hexahydrobenzo[f]isoquinoline via iodine-catalyzed Prins and aza-Prins cyclization. Tetrahedron Lett. 2009, 50, 2256–2260. [Google Scholar] [CrossRef]
  32. Barks, J.M.; Knight, D.W.; Seaman, C.J.; Weingarten, G.G. Predictive models for the overall 5-Endo-trig iodocyclisation of homoallylic alcohols. Tetrahedron Lett. 1994, 35, 7259–7262. [Google Scholar] [CrossRef]
  33. Bedford, S.B.; Bell, K.E.; Bennett, F.; Hayes, C.J.; Knight, D.W.; Shaw, D.E. Model studies of the overall 5-endo-trig iodocyclization of homoallylic alcohols. J. Chem. Soc. Perkin Trans. 1 1999, 1999, 2143–2153. [Google Scholar]
  34. Barks, J.M.; Weingarten, G.G.; Knight, D.W. A study of the stereochemical features of 5-endo-trig iodocyclisations of 2-alkenylcycloalkan-1-ols. J. Chem. Soc. Perkin Trans. 1 2000, 2000, 3469–3476. [Google Scholar]
  35. Knight, D.W. Electrophile-induced 5-endo cyclizations. Prog. Heterocycl. Chem. 2002, 14, 19–51. [Google Scholar] [CrossRef]
  36. Vasconcelos, R.S.; Silva, L.F.; Giannis, A. Synthesis of tetrahydrofurans by cyclization of homoallylic alcohols with Iodine/Iodine(III). J. Org. Chem. 2011, 76, 1499–1502. [Google Scholar] [CrossRef]
  37. Kocovský, P.; Langer, V.; Gogoll, A. Structural requirements for the Thallium(III)-mediated cyclization of unsaturated alcohols. A novel fragmentetion reaction producing 19-Norsteroids. J. Chem. Soc. Chem. Commun. 1990, 1990, 1026–1028. [Google Scholar]
  38. Kocovský, P.; Baines, R.S. Stereoelectronically controlled, Thallium(III)-mediated C-19 degradation of 19-hydroxy steroids. An expedient route to estrone and its congeners via 19-Nor-10beta-hidroxy Intermediates. J. Org. Chem. 1994, 59, 5439–5444. [Google Scholar] [CrossRef]
  39. Silva, L.F., Jr.; Quintiliano, S.A. P.; Ferraz, H.M. C.; Santos, L.S.; Eberlin, M.N. Oxidation of tertiary homoallylic alcohols by thallium trinitrate: Fragmentation vs. ring contraction. J. Braz. Chem. Soc. 2006, 17, 981–988. [Google Scholar] [CrossRef]
  40. Allen, T.L.; Keefer, R.M. The Formation of hypoiodous acid and hydrate Iodine cation by the hydrolysis of Iodine. J. Am. Chem. Soc. 1955, 77, 2957–2960. [Google Scholar]
  41. Flack, H.D. Chiral and achiral crystal structures. Helv. Chim. Acta 2003, 86, 905–921. [Google Scholar] [CrossRef]
  42. Cianci, M.; Helliwell, J.R.; Helliwell, M.; Kaucic, V.; Logar, N.Z.; Mali, G.; Tusar, N.N. Anomalous scattering in structural chemistry and biology. Crystallogr. Rev. 2005, 11, 245–335. [Google Scholar]
  43. Bruno, I.J.; Cole, J.C.; Kessler, M.; Luo, J.; Motherwell, W.D.S.; Purkis, L.H.; Smith, B.R.; Taylor, R.; Cooper, R.I.; Harris, S.E.; et al. Retrieval of crystallographically-derived molecular geometry information. J. Chem. Inf. Comp. Sci. 2004, 44, 2133–2144. [Google Scholar]
  44. Alder, R.W.; Harvey, J.N.; Oakley, M.T. Aromatic 4-tetrahydropyranyl and 4-quinuclidinyl cations. Linking prins with Cope and Grob. J. Am. Chem. Soc. 2002, 124, 4960–4961. [Google Scholar] [CrossRef]
  45. Silva, L.F., Jr; Quintiliano, S.A.P.; Craveiro, M.V.; Vieira, F.Y.M.; Ferraz, H.M.C. Rearrangement of homoallylic alcohols with thallium(III): Diastereoselective synthesis of Indans bearing a beta-hydroxy ketone moiety. Synthesis 2007, 2007, 355–362. [Google Scholar]
  46. Ferraz, H.M.C.; Silva, L.F., Jr. Construction of functionalized indans by thallium trinitrate promoted ring contraction. Tetrahedron 2001, 57, 9939–9949. [Google Scholar] [CrossRef]
  47. Frisch, M.J.; Trucks, G.W.; Schlegel, H.B.; Scuseria, G.E.; Robb, M.A.; Cheeseman, J.R.; Scalmani, G.; Barone, V.; Mennucci, B.; Petersson, G.A.; et al. Gaussian 09; Revision B.01; Gaussian, Inc.: Wallingford, CT, USA, 2009. [Google Scholar]
  48. Perdew, J.P.; Burke, K.; Ernzerhof, M. Generalized gradient approximation made simple. Phys. Rev. Lett. 1996, 77, 3865–3868. [Google Scholar] [CrossRef]
  49. Reed, A.E.; Curtiss, L.A.; Weinhold, F. Intermolecular interactions from a natural bond orbital, donor-acceptor viewpoint. Chem. Rev. 1988, 88, 899–926. [Google Scholar]
  50. CrysAlis Pro; 1.7; Oxford Diffraction Ltd: Abingdon, England, 2006.
  51. Altomare, A.; Cascarano, G.; Giacovazzo, C.; Guagliardi, A.; Burla, M.C.; Polidori, G.; Camalli, M. SIRPOW.92—A program for automatic solution of crystal structures by direct methods optimized for powder data. J. Appl. Crystallogr. 1994, 27, 435–436. [Google Scholar]
  52. Sheldrick, G.M. A short history of SHELX. Acta Crystallogr. A 2008, 64, 112–122. [Google Scholar] [CrossRef]
  53. Farrugia, L. WinGX suite for small-molecule single-crystal crystallography. J. Appl. Crystallogr. 1999, 32, 837–838. [Google Scholar] [CrossRef]
  54. Farrugia, L. ORTEP-3 for windows—A version of ORTEP-III with a graphical user interface (GUI). J. Appl. Crystallogr. 1997, 30, 565–565. [Google Scholar] [CrossRef]
  55. Macrae, C.F.; Edgington, P.R.; McCabe, P.; Pidcock, E.; Shields, G.P.; Taylor, R.; Towler, M.; van de Streek, J. Mercury: Visualization and analysis of crystal structures. J. Appl. Crystallogr. 2006, 39, 453–457. [Google Scholar] [CrossRef]
  • Sample Availability: Not available.

Share and Cite

MDPI and ACS Style

Reddy, K.R.K.K.; Rosa, I.M.L.; Doriguetto, A.C.; Bastos, E.L.; Silva, L.F., Jr. Iodine-Catalyzed Prins Cyclization of Homoallylic Alcohols and Aldehydes. Molecules 2013, 18, 11100-11130. https://doi.org/10.3390/molecules180911100

AMA Style

Reddy KRKK, Rosa IML, Doriguetto AC, Bastos EL, Silva LF Jr. Iodine-Catalyzed Prins Cyclization of Homoallylic Alcohols and Aldehydes. Molecules. 2013; 18(9):11100-11130. https://doi.org/10.3390/molecules180911100

Chicago/Turabian Style

Reddy, Kachi R. Kishore Kumar, Iara M. L. Rosa, Antônio C. Doriguetto, Erick L. Bastos, and Luiz F. Silva, Jr. 2013. "Iodine-Catalyzed Prins Cyclization of Homoallylic Alcohols and Aldehydes" Molecules 18, no. 9: 11100-11130. https://doi.org/10.3390/molecules180911100

APA Style

Reddy, K. R. K. K., Rosa, I. M. L., Doriguetto, A. C., Bastos, E. L., & Silva, L. F., Jr. (2013). Iodine-Catalyzed Prins Cyclization of Homoallylic Alcohols and Aldehydes. Molecules, 18(9), 11100-11130. https://doi.org/10.3390/molecules180911100

Article Metrics

Back to TopTop