Abstract
Baclofen (1) is a potent and selective agonist for bicuculline-insensitive GABAB receptors and is used clinically as an antispastic and muscle relaxant agent. In the search for new bioactive chemical entities that bind specifically to GABAB receptors, we report here the synthesis of certain baclofen homologues, namely (R,S)-5-amino-3-arylpentanoic acid hydrochlorides (R,S)-1a–h as well as (R,S)-5-amino-3-methylpentanoic acid [(RS)-1i] to be evaluated as GABABR agonists. Compound 1a is an agonist to GABAB receptors with an EC50 value of 46 μM on tsA201 cells transfected with GABAB1b/GABAB2/Gqz5, being the most active congener among all the synthesized compounds.
1. Introduction
4-Aminobutanoic acid (GABA) is the well-known inhibitory neurotransmitter in the mammalian central nervous system where it exerts its effects through ionotropic (GABAA/C) receptors and metabotropic (GABAB) receptors [1]. Cloning and photoaffinity labeling experiments of the GABAB receptor demonstrated two isoforms, designated GABAB1a and GABAB1b which dimerize with the GABAB2 receptor subunit to produce functionally active GABAB receptors [2]. 4-Amino-3-(4-chlorophenyl)butanoic acid (baclofen, 1, Figure 1) is the classical GABAB agonist and interacts with GABAB receptors stereospecifically. The GABAB agonistic activity of racemic baclofen is known to reside primarily in the R-(-)-enantiomer [3]. (R,S)-Baclofen (1) is used clinically for the treatment of spasticity associated with brain and spinal cord injuries [4], drug addiction and alcoholism [5], gastroesophageal reflux disease (GERD) [6], cancer pain [7] and overactive bladder [8]. Recently, R-(−)-baclofen is under development for the treatment of behavioral symptoms of Fragile X Disorder [9].
(R)-5-Amino-3-(4-chlorophenyl)pentanoic acid (2), the homologue of baclofen (1), has been shown to exhibit a quite remarkable functional pharmacological profile in guinea pig ileum as compared to that of baclofen [10]. On the other hand, the homologue, (R,S)-5-amino-2-(4-chlorophenyl)pentanoic acid (3), does not interact detectably with GABAB receptors [11]. Moreover, 5-aminopentanoic acid (DAVA, 4) is a nonselective GABAB antagonist [12]. Using baclofen (1) and DAVA (4) as two GABAB receptor prototypic ligands, a number of structural hybrids, namely (R,S)-5-amino-3-arylpentanoic acid hydrochlorides (RS)-1a–h (Figure 1), containing scaffolds of compounds 2 and 4 were synthesized and pharmacologically characterized as GABAB agonists. The importance of the aromatic moiety on GABAB agonistic activity of compounds (RS)-1a–h was also addressed via the synthesis and pharmacological evaluation of their aliphatic analogue, compound 1i.
Figure 1.
Chemical structures of baclofen (1), (R)-homobaclofen (2), (RS)-5-amino-2-(4-chloro- phenyl)pentanoic acid (3), 5-aminopentanoic acid (DAVA, 4) and the target compounds (RS)-1a–i.
Figure 1.
Chemical structures of baclofen (1), (R)-homobaclofen (2), (RS)-5-amino-2-(4-chloro- phenyl)pentanoic acid (3), 5-aminopentanoic acid (DAVA, 4) and the target compounds (RS)-1a–i.

2. Results and Discussion
2.1. Chemistry
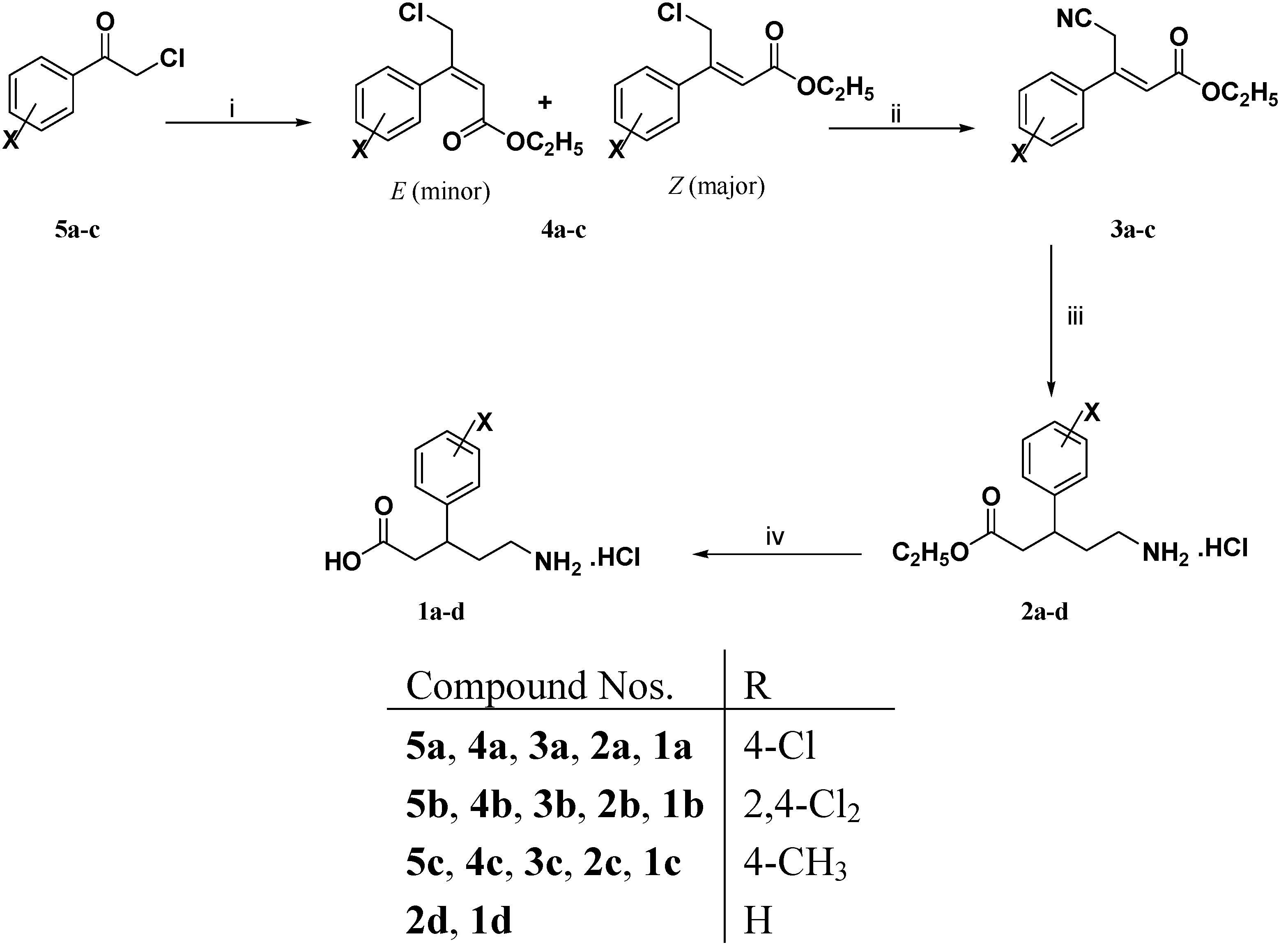
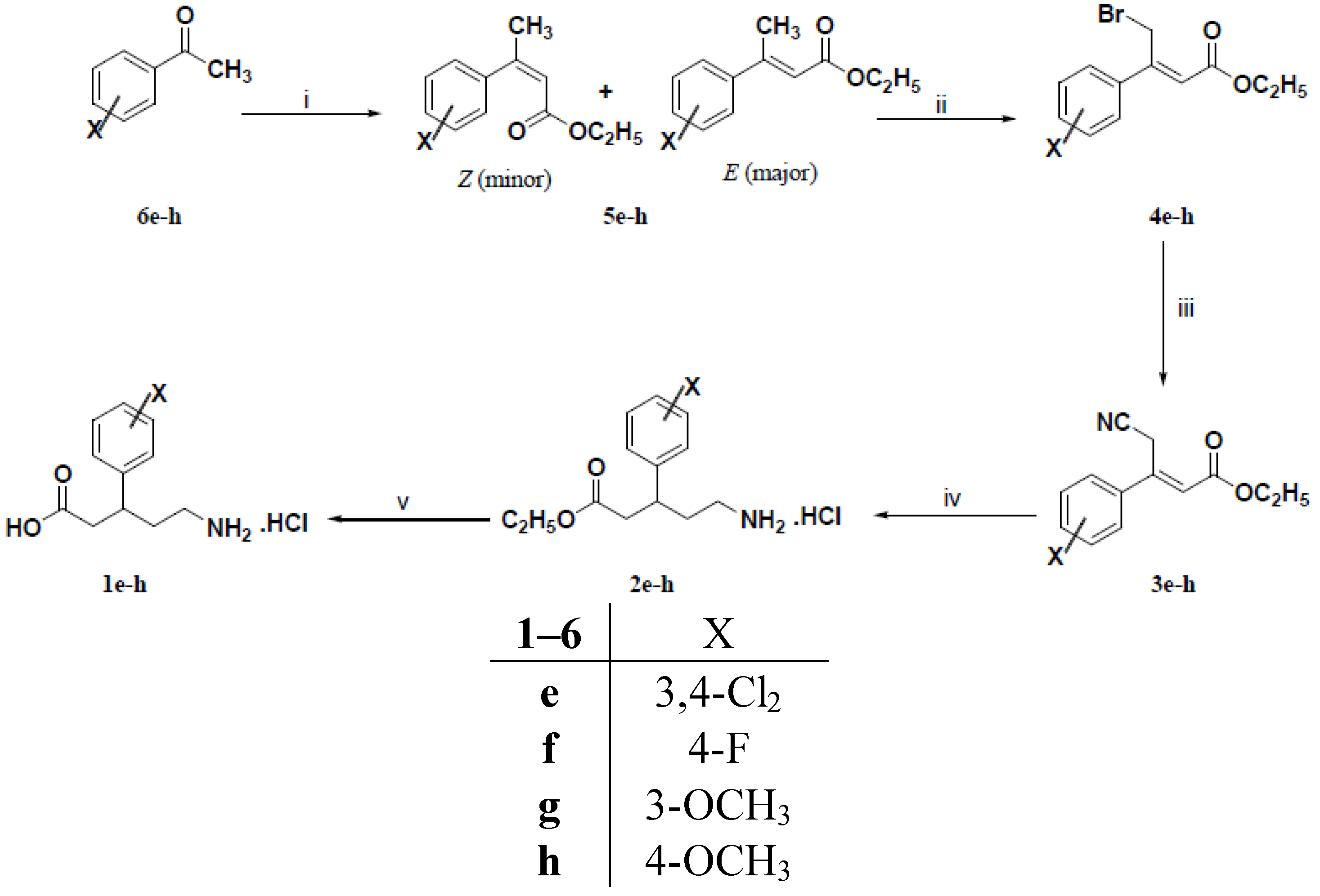
An examination of the literature revealed that there are two common synthetic strategies, namely the Horner-Wadsworth-Emmons (HWE) reaction and Knoevenagel condensation, which can be used to prepare the intermediate cyano esters 3a–c, 3e–h and 5i. Therefore, HWE was applied for preparation of both 3a–c and 3e–h while Knoevenagel condensation was adopted to get 5i, depending on the commercial availability of their respective starting materials. Accordingly, an allylic bromination step was required jointly with the HWE reaction to prepare compounds 3e–h, while only the HWE reaction and Knoevenagel condensation were required to prepare the cyano esters 3a–c and 5i, respectively.
The synthetic pathways which were adopted to synthesize the target compounds 1a–i are illustrated in Scheme 1, Scheme 2 and Scheme 3. Thus, 3-aryl-4-chloro-2-butenoic acid ethyl esters 4a–c have been successfully produced by applying the HWE reaction on substituted acetophenones 5a–c using triethyl phosphonoacetate and sodium hydride in 1,2 dimethoxyethane following the procedure cited by Wadsworth and Emmons [13] (Scheme 1). The 13C-NMR chemical shift differences between C-1, C-3 and in particular C-4 for the (E) and (Z)-isomers of 4a–c are consistent with the observed differences for (E) and (Z)-isomers mentioned by Allan and Tran [14].
It is noteworthy that substitution at the ortho position of the phenyl ring in 2-chloro-1-(2,4-dichlorophenyl)-1-ethanone (5b) increased the proportion of (E)-isomer in the produced diasteromeric mixture of 4-chloro-3-(2,4-dichlorophenyl)-2-butenoic acid ethyl ester (4b), which is in accordance with the findings of Jones and Maisey [15].
Scheme 1.
Synthesis of the target compounds 1a–d.
Scheme 1.
Synthesis of the target compounds 1a–d.

Reagents and conditions: (i) (EtO)2POCH2COOEt/NaH/dry 1,2-dimethoxyethane/50 °C/18 h; (ii) (C2H5)4N CN/CH3CN/50 °C/18 h; (iii) H2/Pd/C or PtO2/4 bar/95% C2H5OH/conc. HCl /25 °C/18 h; (iv) 5N HCl/reflux/4h.
3-Aryl-4-chloro-2-butenoic acid ethyl esters 4a–c (as diasteromeric mixtures) were subjected to a nucleophilic displacement of the halogen with potassium cyanide in aqueous ethanol to obtain 3-aryl-4-cyano-2-butenoic acid ethyl esters 3a–c via the trivial procedure mentioned by Ives and Sames [16]. Unfortunately, the starting materials decomposed and we did not obtain the anticipated compounds 3a–c in any detectable amounts. This troublesome nucleophilic substitution reaction was successfully achieved using a stoichiometric amount of 3-aryl-4-chloro-2-butenoic acid ethyl esters 4a–c (as diasteromeric mixtures) and tetraethylammonium cyanide (TEAC). The reaction mixture was stirred at 50 °C in acetonitrile for 18 h according to the reported procedure [17]. The crude compounds 3a–c were purified by column chromatography using the appropriate solvent system to afford mainly (E)-3a–c in 42%–66% yields. Use of a catalytic amount of TEAC instead of a stoichiometric amount to produce 3a–c led to a dramatic decrease in the yields.
(E)-3-Aryl-4-cyano-2-butenoic acid ethyl esters 3a–c are multifunctional molecules and we aimed to reduce selectively both nitrile and double bond functionalities without affecting the ester functionality to afford the title compounds (R,S)-5-amino-3-aryl-pentanoic acid hydrochlorides 1a–d. Catalytic hydrogenation is one of the most powerful methods in the arsenal of the synthetic medicinal chemistry facilitating the chemical synthesis of a myriad of bio-active molecules both in research laboratories and industrial settings. Accordingly, 3a–c were subjected to catalytic hydrogenation using a catalytic amount of PtO2 (for 3a and 3b) or 10% Pd/C (for 3c) and concentrated hydrochloric acid in 95% ethanol on a Parr shaker apparatus under 4 bar of H2 for 18 h at room temperature to give (R,S)-5-amino-3-aryl-pentanoic acid ethyl ester hydrochlorides 2a–c.
It is noteworthy that catalytic hydrogenation of (E)-4-cyano-3-(2,4-dichlorophenyl)-2-butenoic acid ethyl ester (3b) using 10% Pd/C was accompanied by dehalogenation to give (R,S)-5-amino-3-phenylpentanoic acid ethyl ester hydrochloride (2d).
Without further purification the ester functionality of (R,S)-5-amino-3-arylpentanoic acid ethyl ester hydrochlorides 2a–d was hydrolyzed by refluxing (R,S)-2a–d in 5 N hydrochloric acid for 4 h. The crude (R,S)-1a–d were recrystallized from the isopropanol to afford the target compounds (R,S)-1a–d in 69%–76% yields. The structures of 1a–d have been established through microanalytical, IR, 1H- NMR, 13C-NMR, and mass spectral data.
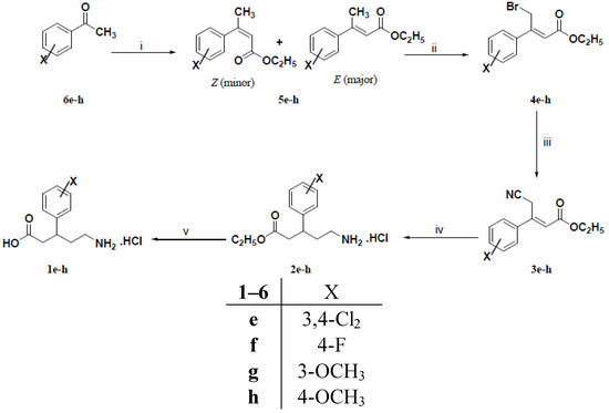
Synthesis of the title compounds 1e–h is portrayed in Scheme 2. The synthetic pathway was commenced with the preparation of (Z)-3-aryl-4-bromo-2-butenoic acid ethyl esters 4e–h. Chemoselective allylic bromination of 3-aryl-2-butenoic acid ethyl esters 5e–h (as diasteromeric mixtures) was accomplished by adopting Wohl-Ziegler bromination.
Scheme 2.
Synthesis of the target compounds 1e–h.
Scheme 2.
Synthesis of the target compounds 1e–h.

Reagents and conditions: (i) (EtO)2POCH2COOEt/KOt-Bu/dry THF/reflux/18h; (ii) NBS/benzoyl peroxide/ CCl4/reflux/24; (iii) (C2H5)4NCN/CH3CN/50 °C/18 h; (iv) H2/Pd/C or PtO2/4 bar/95% C2H5OH/conc. HCl/25 °C/18 h; (v) 5N HCl/reflux/4h.
Compounds 5e–h and a stoichiometric amount of N-bromosuccinimide (NBS) were refluxed in carbon tetrachloride and then a catalytical amount of dibenzoyl peroxide (DBP) was added to the reaction mixture according to the method advocated by Chiefari et al. [18] to afford (Z)-3-aryl-4-bromo-2-butenoic acid ethyl esters 4e–h in moderate yields. The isolated isomers of 4e–h were assigned to be (Z)-isomers based on their 1H-NMR spectral data.
Elaboration of 4e–h to give 3e–h was conducted using the aforementioned procedure for preparation of 3a–c. Subsequently, 3e–h were transformed to the target compounds 1e–h by adopting the same reaction sequence which was previously described for the preparation of compounds 1a–d from 3a–c.
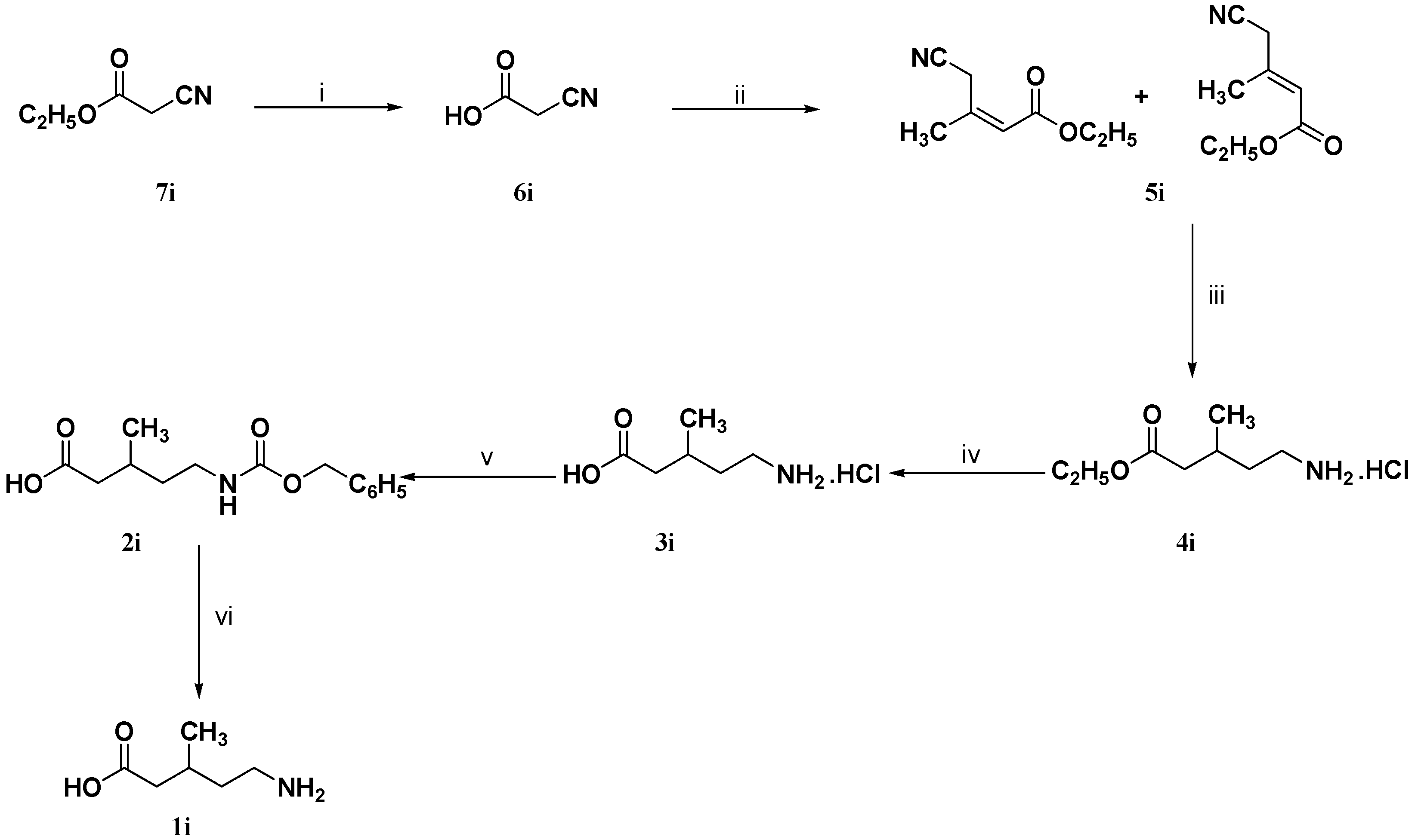
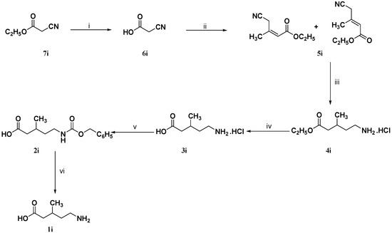
The synthetic plan for the preparation of (R,S)-5-amino-3-methylpentanoic acid (1i) is provided in Scheme 3. Thus, cyanoacetic acid (6i) was subjected to the Knoevenagel reaction using ethyl acetoacetate, ammonium acetate and acetic acid in dry benzene under reflux conditions.
Scheme 3.
Synthesis of the target compound 1i.
Scheme 3.
Synthesis of the target compound 1i.

Reagents and conditions: (i) 1N HCl/100 °C/1.5 h; (ii) Ethyl acetoacetate/ammonium acetate/acetic acid/benzene/reflux/8 h; (iii) H2/Pd/C/conc. HCl/4bar/95% ethanol/25 °C/18 h; (iv) 5N HCl/reflux/4 h/reflux; (v) Benzyl chloroformate/4N NaOH/0 °C/0.5 h; (vi) H2/Pd/C/4 bar/50% 2-propanol/25 °C/18 h.
The produced crude 4-cyano-3-methyl-2-butenoic acid ethyl ester (5i) was distilled (100–102 °C/5 mm) to afford the α,β-unsaturated diasteromeric mixture 5i with an E/Z ratio = 1.7 (lit. [19] = E/Z ratio = 1.5) as detected by 1H-NMR.
4-Cyano-3-methyl-2-butenoic acid ethyl ester (5i, as a diasteromeric mixture) was subjected to catalytic hydrogenation using 10% Pd/C and concentrated hydrochloric acid in 95% ethanol to afford (R,S)-5-amino-3-methylpentanoic acid ethyl ester hydrochloride (4i). Without further purification, the crude 4i was hydrolyzed by reflux in 5 N hydrochloric acid to give (R,S)-5-amino-3-methylpentanoic acid hydrochloride (3i). It has to be mentioned that our attempt to obtain compound 3i in a sufficient pure form by recrystallization was unsuccessful. Accordingly, the amino functionality of 3i was derivatized with a lipophilic moiety to facilitate its purification by a simple acid-base chemical treatment.
(RS)-5-Benzyloxycarbonylamino-3-methylpentanoic acid (2i) has been synthesized by adopting the trivial procedure for protecting the amino groups of amino acids [20]. The crude (R,S)-5-benzyloxy-carbonylamino-3-methylpentanoic acid (2i) was subjected to catalytic hydrogenation to cleave the N-benzyloxycarbonyl protecting group. The crude (R,S)-5-amino-3-methyl-pentanoic acid (1i) was recrystallized from 2-propanol/water to give (R,S)-1i as a white powder (m.p. 164–165 °C; lit. [21]. 133–135 °C) in 69% yield. The structure of (R,S)-1i has been established through microanalytical, IR, 1H- NMR, 13C-NMR, and mass spectral data.
2.2. GABAB Agonistic Activity
We have previously described a robust pharmacological assay of heterodimeric GABABR1b/GABABR2 receptors co-expressed with the chimeric G protein Gαq-z5 in tsA201 cells (a transformed HEK293 cell line). Co-expression of Gαq-z5 convert the endogenous coupling to the Gαi/o signaling pathway to the Gq pathway, which generally leads to more robust assays measured as increases in inositol phosphates or intracellular calcium levels [22]. We have previously shown that the pharmacological profiles of a range of standard agonists using this assay correlate well with other assays using either cell lines with recombinant receptor expression or tissues with endogenous GABABR expression. Furthermore, we have shown that the GABABR antagonists 2-OH-saclofen and CGP35348 can antagonize agonist responses in this assay [23,24]. Finally, like other groups [25], we have not found any pharmacological differences of orthosteric ligands between GABABR1a and GABABR1b subunits co-expressed with GABABR2 using this assay [23]. The assay is thus suitable for characterization of orthosteric GABABR ligands, and in the present study we have characterized the synthesized ligands on GABABR1b/GABABR2 receptors co-expressed with the chimeric G protein Gαq-z5 in tsA201 cells measuring responses as increases in intracellular calcium measured by the calcium sensitive fluorescent probe Fluo-4.
The GABAB agonistic activity of the synthesized compounds 1a–i is summarized in Table 1. Compounds 1a, 1e and 1f are active as GABABR agonists (EC50 value 46–170 μM, Figure 2) whereas compounds 1b, 1c, 1d, 1g, 1h and 1i (EC50 > 300 μM) are considered inactive as GABABR agonists in the GABABR subtype used in our assay.
Table 1.
GABAB agonistic activity of the target compounds 1a–i.
| Compound No. | R | EC50 (μM) | pEC50 ± SEM |
| 1a | 4-Cl-C6H5 | 46 | 4.34 ± 0.1 |
| 1b | 2,4-Cl2-C6H3 | >300 | <3.52 |
| 1c | 4-CH3-C6H4 | >300 | <3.52 |
| 1d | C6H5 | >300 | <3.52 |
| 1e | 3,4-Cl2-C6H3 | 130 | 3.89 ± 0.1 |
| 1f | 4-F-C6H4 | 170 | 3.77 ± 0.3 |
| 1g | 3-OCH3-C6H4 | >300 | <3.52 |
| 1h | 4-OCH3-C6H4 | >300 | <3.52 |
| 1i | CH3 | >300 | <3.52 |
| (RS)-baclofen | - | 5.8 | 5.24 ± 0.1 |
Figure 2.
Concentration-response curves of compounds 1a, 1e, 1f and (RS)-baclofen on wild type GABABR1b co-expressed with GABABR2 and the chimeric G protein Gαq-z5. The curves are representative for the average pharmacological profile of the agonists. The Ca2+ measurement assays were performed as described in the materials and methods section.
Figure 2.
Concentration-response curves of compounds 1a, 1e, 1f and (RS)-baclofen on wild type GABABR1b co-expressed with GABABR2 and the chimeric G protein Gαq-z5. The curves are representative for the average pharmacological profile of the agonists. The Ca2+ measurement assays were performed as described in the materials and methods section.

Regarding the structure-activity relationship in the synthesized series 1a–i, it has to be mentioned that mono-substitution on the aromatic moiety attached to the 3-position of the DAVA backbone with a halogen, especially a para-chloro, is optimum for GABABR agonistic activity. The synthesized compounds which evoked GABABR agonistic activity have the following decreasing order of activity: 1a > 1e > 1f. On the other hand, substitution in the para-position of the aromatic moiety in the three position of the DAVA backbone with methoxy, methyl or no substitution led to loss of GABABR agonistic activity (EC50 > 300 μM). These results are comparable with the previously published results of GABAB agonists [26]. The lack of GABABR agonistic activity of compound 1b bearing a 2,4-dichloro aromatic moiety in the three position of the DAVA backbone could be attributed to steric reasons which affect the interaction of 1b with the binding regions of GABAB receptors. In addition, replacement of the aryl moiety in the three position of the DAVA backbone with a methyl group, i.e., compound 1i, led to a loss of GABABR agonistic activity. Compounds 1b, 1c, 1d, 1g, 1h and 1i which showed EC50 > 300 μM as GABABR agonists were evaluated as GABABR antagonists at 1 mM concentration against 10 μM GABA, but none of these compounds were effective as GABABR antagonists.
3. Experimental
3.1. Chemistry
3.1.1. General
Melting points were determined using a capillary melting point apparatus (Gallenkamp, Sanyo) and are uncorrected. Infrared (IR) spectra were recorded as thin layer films (for oils) or as pellets (for solids) with BIO-RAD spectrometer and values are represented in cm−1. NMR (1H-NMR and 13C- NMR) spectra were recorded on a Bruker AC 250 spectrometer (at 250 MHz for 1H-NMR and 63 MHz for 13C-NMR) and chemical shift values were recorded in ppm on the δ scale. All samples were measured at room temperature. The 1H-NMR data are presented as follows: Chemical shifts, multiplicity, number of protons, assignment. Column chromatography was carried out on silica gel 60 (0.063–0.200 mm) obtained from Merck. Elemental analyses were performed by the microanalytical section of the Institute of Inorganic Chemistry, University of Würzburg, Würzburg, Germany.
3.1.2. General Procedure for the Preparation of 3-Aryl-4-chloro-2-butenoic Acid Ethyl Esters 4a–c
Triethyl phosphonoacetate (2.92 g, 13 mmol) was added dropwise to a cold (5–10 °C) stirred slurry of 60% sodium hydride (0.52 g, 13 mmol) in dry 1,2 dimethoxyethane (20 mL). After complete addition, the reaction mixture was stirred at ambient temperature for 30 min or until gas evolution ceased. A solution of the appropriate ketone 5a–c (10 mmol) in dry 1,2 dimethoxyethane (10 mL) was then added dropwise to the resulting solution. The reaction mixture was heated under stirring at 50 °C for 18 h. The reaction mixture was cooled to room temperature, poured into water (100 mL) and extracted with diethyl ether (3 × 50 mL). The organic extract was dried (Na2SO4), filtered and evaporated under vacuum to afford viscous oils which were purified by column chromatography using petroleum ether (40–60 °C): Diethyl ether (9:1) to give compounds 4a–c in 40%–88% yields as pale yellow viscous oils.
(Z)-4-Chloro-3-(4-chlorophenyl)-2-butenoic acid ethyl ester [(Z)-4a]. Yield 80%; IR (neat): ν (cm−1) = 1711, 1628, 1492, 1176, 1160; 1H-NMR (CDCl3): δ (ppm) = 1.15 (t, J = 7.33 Hz, 3H, CH3–CH2–), 4.08 (q, J = 7.33 Hz, 2H, –CH2–CH3), 4.88 (s, 2H, 4-H), 6.03 (s, 1H, 2-H), 7.20 (d, JAB = 8.85 Hz, 2H, Harom.), 7.30 (d, JAB = 8.85 Hz, 2H, Harom.); 13C-NMR (CDCl3): δ (ppm) = 14.6 (CH3–CH2–), 39.4 (C-4), 61.1 (–CH2–CH3), 121.0 (C-2), 128.5, 129.4, 136.2, 137.0 (Carom.), 151.8 (C-3), 165.7 (C-1).
(E)-4-Chloro-3-(4-chlorophenyl)-2-butenoic acid ethyl ester [(E)-4a]. Yield 8%; IR (neat): ν (cm−1) = 1720, 1651, 1491, 1225, 1163; 1H-NMR (CDCl3): δ (ppm) = 1.16 (t, J = 7.03 Hz, 3H, CH3–CH2–), 4.07 (q, J = 7.03 Hz, 2H, –CH2–CH3), 4.31 (d, J = 1.23 Hz, 2H, 4-H), 6.28 (t, J = 1.23 Hz, 1H, 2-H), 7.21 (d, JAB = 8.55 Hz, 2H, Harom.), 7.39 (d, JAB = 8.55 Hz, 2H, Harom.); 13C-NMR (CDCl3): δ (ppm) = 14.3 (CH3–CH2–), 48.7 (C-4), 121.5 (C-2), 128.8, 129.5, 135.0, 135.7 (Carom.), 151.3 (C-3), 165.5 (C-1).
(Z)-4-Chloro-3-(2,4-dichlorophenyl)-2-butenoic acid ethyl ester [(Z)-4b]. Yield 48%; IR (neat): ν (cm−1) = 1707, 1641, 1581, 1436, 1341, 1186; 1H-NMR (CDCl3): δ (ppm) = 1.11 (t, J = 7.03 Hz, 3H, CH3–CH2–), 4.04 (q, J = 7.03 Hz, 2H, –CH2–CH3), 4.79 (s, 2H, 4-H), 5.70 (s, 1H, 2-H), 6.98–7.22 (m, 3H, Harom.); 13C-NMR (CDCl3): δ (ppm) = 14.6 (CH3–CH2–), 40.9 (C-4), 61.3 (–CH2–CH3), 124.6 (C-2), 127.6, 129.9, 130.0, 132.1, 135.7, 136.9, (Carom.), 151.9 (C-3), 165.2 (C-1).
(E)-4-Chloro-3-(2,4-dichlorophenyl)-2-butenoic acid ethyl ester [(E)-4b]. Yield 34%; IR (neat): ν (cm−1) = 1720, 1585, 1473, 1226, 1164; 1H-NMR (CDCl3): δ (ppm) = 1.14 (t, J = 7.03 Hz, 3H, CH3–CH2–), 4.06 (q, J = 7.03 Hz, 2H, –CH2–CH3), 4.31 (s, 2H, 4-H), 6.39 (t, J = 1.23 Hz, 1H, 2-H), 7.13–7.48 (m, 3H, Harom.); 13C-NMR (CDCl3): δ (ppm) = 14.3 (CH3–CH2–), 47.4 (C-4), 60.9 (–CH2–CH3), 123.4 (C-2), 127.4, 129.7, 130.9, 132.8, 134.8, 135.2, (Carom.), 149.3 (C-3), 164.8 (C-1).
(Z)-4-Chloro-3-(4-methylphenyl)-2-butenoic acid ethyl ester [(Z)-4c]. Yield 36%; IR (neat): ν (cm−1) = 1710, 1626, 1609, 1173, 1158; 1H-NMR (CDCl3): δ (ppm) = 1.37 (t, J = 7.03 Hz, 3H, CH3–CH2–), 2.42 (s, 3H, 4–CH3), 4.29 (q, J = 7.03 Hz, 2H, –CH2–CH3), 5.12 (s, 2H, 4-H), 6.27 (s, 1H, 2-H), 7.26 (d, JAB = 8.25 Hz, 2H, Harom.), 7.50 (d, JAB = 8.25 Hz, 2H, Harom.). 13C-NMR (CDCl3): δ (ppm) = 14.6 (CH3–CH2–), 21.7 (4–CH3), 39.5 (C-4), 60.9 (–CH2 –CH3), 119.7 (C-2), 127.0, 129.9, 135.6, 140.4, (Carom.), 153.0 (C-3), 166.0 (C-1).
(E)-4-Chloro-3-(4-methylphenyl)-2-butenoic acid ethyl ester [(E)-4c]. Yield 4%; IR (neat): ν (cm−1) = 1703, 1607, 1512, 1225, 1163; 1H-NMR (CDCl3): δ (ppm) = 1.15 (t, J = 7.03 Hz, 3H, CH3–CH2–), 2.40 (s, 3H, 4–CH3), 4.07 (q, J = 7.03 Hz, 2H, –CH2–CH3), 4.33 (d, J = 1.23 Hz, 2H, 4-H), 6.26 (t, J = 1.23 Hz, 1H, 2-H), 7.16 (d, JAB = 8.25 Hz, 2H, Harom.), 7.23 (d, JAB = 8.25 Hz, 2H, Harom.); 13C-NMR (CDCl3): δ (ppm) = 14.4 (CH3–CH2–), 21.8 (4–CH3), 48.9 (C-4), 120.5 (C-2 ), 127.9, 129.3, 134.2, 138.9 (Carom.), 152.6 (C-3), 165.9 (C-1).
3.1.3. General Procedure for the Preparation of 3-Aryl-2-butenoic Acid Ethyl Esters 5e–h
To a cold (5–10 °C) solution of potassium t-butoxide (1.46 g, 13 mmol) in dry tetrahydrofuran (20 mL) was added dropwise triethyl phosphonoacetate (2.92 g, 13 mmol). The resulting solution was stirred at room temperature for 30 min. A solution of the appropriate ketone 6e–h (10 mmol) in dry tetrahydrofuran (10 mL) was added dropwise to the resulting solution. The reaction mixture was refluxed under stirring for 18 h. The reaction mixture was concentrated under vacuum, diluted with water (100 mL) and extracted with diethyl ether (3 × 50 mL). The combined organic extracts were dried (Na2SO4), filtered and evaporated under reduced pressure to give viscous oils which were purified by column chromatography using petroleum ether (40–60 °C): Diethyl ether (9:1) to afford compounds 5e–h in 75%–91% yields as pale yellow viscous oils.
(E)-3-(3,4-Dichlorophenyl)-2-butenoic acid ethyl ester [(E)-5e]. Yield 78%; IR (neat): ν (cm−1) = 1711, 1630, 1469, 1277, 1169; 1H-NMR (CDCl3): δ (ppm) = 1.21 (t, J = 7.03 Hz, 3H, CH3–CH2–), 2.42 (d, J = 1.23 Hz, 3H, 4-H), 4.12 (q, J = 7.03 Hz, 2H, –CH2–CH3), 5.99 (q, J = 1.23 Hz, 1H, 2-H), 7.10–7.44 (m, 3H, Harom.); 13C-NMR (CDCl3): δ (ppm) = 14.7 (CH3–CH2–), 18.1 (C-4), 60.5 (–CH2–CH3), 118.8 (C-2), 125.9, 128.7, 130.8, 133.2, 133.4, 142.5 (Carom.), 152.9 (C-3), 166.7 (C-1).
(Z)-3-(3,4-Dichlorophenyl)-2-butenoic acid ethyl ester [(Z)-5e]. Yield 6%; IR (neat): ν (cm−1) = 1717, 1644, 1472, 1229, 1165; 1H-NMR (CDCl3): δ (ppm) = 1.16 (t, J = 7.00 Hz, 3H, CH3–CH2–), 2.17 (d, J = 1.53 Hz, 3H, 4-H), 4.07 (q, J = 7.00 Hz, 2H, –CH2–CH3), 5.96 (q, J = 1.53 Hz, 1H, 2-H), 7.05–7.46 (m, 3H, Harom.). 13C-NMR (CDCl3): δ (ppm) = 14.4 (CH3–CH2–), 27.3 (C-4), 60.5 (CH2–CH3), 119.4 (C-2), 126.9, 129.3, 130.3, 132.1, 132.5, 141.1 (Carom.), 152.9 (C-3) 165.8 (C-1).
(E)-3-(4-Fluorophenyl)-2-butenoic acid ethyl ester [(E)-5f] [27]. Yield 69%; IR (neat): ν (cm−1) = 1710, 1631, 1602, 1508, 1233, 1157; 1H-NMR (CDCl3): δ (ppm) = 1.32 (t, J = 7.03 Hz, 3H, CH3–CH2–), 2.57 (d, J = 1.23 Hz, 3H, 4-H), 4.22 (q, J = 7.03 Hz, 2H, –CH2–CH3), 6.10 (q, J = 1.23 Hz, 1H, 2-H), 7.02–7.11 (m, 2H, Harom.), 7.43–7.49 (m, 2H, Harom.). 13C-NMR (CDCl3): δ (ppm) = 14.7 (CH3–CH2–), 18.3 (C-4), 60.3 (CH2–CH3), 115.8 (d, JC-3`, F& C-5`, F = 21.99 Hz, C-3` and C-5`), 117.5 (C-2), 128.5 (d, JC-2`, F& C-6`,F = 7.64 Hz, C-2` and C-6`), 138.6 (d, JC-1`, F = 2.87 Hz, C-1`), 154.6 (C-3), 163.6 (d, JC-4`, F = 249.45 Hz, C-4`), 167.1 (C-1).
(Z)-3-(4-Fluorophenyl)-2-butenoic acid ethyl ester [(Z)-5f]. Yield 10%; IR (neat): ν (cm−1) = 1718, 1638, 1603, 1509, 1226, 1153; 1H-NMR (CDCl3): δ (ppm) = 1.00 (t, J = 7.00 Hz, 3H, CH3–CH2–), 2.05 (d, J= 1.53 Hz, 3H, 4-H), 3.89 (q, J = 7.00 Hz, 2H, –CH2–CH3), 5.79 (q, J = 1.53 Hz, 1H, 2-H), 6.86–6.97 (m, 2H, Harom. ), 7.04–7.12 (m, 2H, Harom.). 13C-NMR (CDCl3): δ (ppm) = 14.4 (CH3–CH2–), 27.6 (C-4), 60.2 (–CH2–CH3), 115.3 (d, JC-3`, F& C-5`, F = 21.98 Hz, C-3`and C-5`), 118.5 (C-2), 129.2 (d, JC-2`, F& C-6`, F = 7.60 Hz, C-2` and C-6`), 137.0 (d, JC-1`, F = 3.82 Hz, C-1`), 154.7 (C-3), 162.8 (d, JC-4`, F = 247.41 Hz, C-4`), 166.2 (C-1).
(E)-3-(3-Methoxyphenyl)-2-butenoic acid ethyl ester [(E)-5g] [28]. Yield 82%; IR (neat): ν (cm−1) = 1709, 1627, 1578, 1216, 1156; 1H-NMR (CDCl3): δ (ppm) = 1.35 (t, J = 7.03 Hz, 3H, CH3–CH2–), 2.59 (d, J = 1.23 Hz, 3H, 4-H), 3.85 (s, 3H, OCH3), 4.25 (q, J = 7.03 Hz, 2H, –CH2–CH3), 6.16 (q, J = 1.23 Hz, 1H, 2-H), 6.19–7.34 (m, 4H, Harom.). 13C-NMR (CDCl3): δ (ppm) = 14.7 (CH3–CH2–), 18.4 (C-4), 55.7 (OCH3), 60.3 (–CH2–CH3), 112.5 (C-2), 114.7, 117.7, 119.2, 129.9, 144.2 (Carom.), 155.8 (C-3), 160.0 (Carom. ), 167.2 (C-1).
(Z)-3-(3-Methoxyphenyl)-2-butenoic acid ethyl ester [(Z)-5g]. Yield 9%; IR (neat): ν (cm−1) = 1724, 1599, 1578, 1213, 1151; 1H-NMR (CDCl3): δ (ppm) = 1.13 (t, J = 7.00 Hz, 3H, CH3–CH2–), 2.20 (d, J = 1.53 Hz, 3H, 4-H), 3.83 (s, 3H, OCH3), 4.04 (q, J = 7.00 Hz, 2H, –CH2–CH3), 5.93 (q, J = 1.53 Hz, 1H, 2-H), 6.77–7.33 (m, 4H, Harom.). 13C-NMR (CDCl3): δ (ppm) = 14.4 (CH3–CH2–), 27.5 (C-4), 55.6 (OCH3), 60.2 (–CH2–CH3), 113.1 (C-2), 113.4, 118.3, 119.7, 129.4, 142.7 (Carom.), 155.3 (C-3), 159.6 (Carom.), 166.3 (C-1).
(E)-3-(4-Methoxyphenyl)-2-butenoic acid ethyl ester [(E)-5h] [29]. Yield 71%; IR (neat): ν (cm−1) = 1707, 1603, 1512, 1250, 1153; 1H-NMR (CDCl3): δ (ppm) = 1.34 (t, J = 7.03 Hz, 3H, CH3–CH2–), 2.59 (d, J =1.23 Hz, 3H, 4-H), 3.84 (s, 3H, OCH3), 4.23 (q, J = 7.03 Hz, 2H, –CH2–CH3), 6.14 (q, J = 1.23 Hz, 1H, 2-H), 6.91 (d, JAB = 8.85 Hz, 2H, Harom.), 7.48 (d, JAB = 8.85 Hz, 2H, Harom.). 13C-NMR (CDCl3): δ (ppm) = 14.8 (CH3–CH2–), 18.0 (C-4), 55.7 (OCH3), 60.1 (–CH2–CH3), 114.2 (Carom.), 115.7 (C-2), 128.1, 134.7 (Carom.), 155.2 (C-3), 160.8 (Carom.), 167.5 (C-1).
(Z)-3-(4-Methoxyphenyl)-2-butenoic acid ethyl ester [(Z)-5h]. Yield 4%; IR (neat): ν (cm−1) = 1711, 1606, 1511, 1229, 1156; 1H-NMR (CDCl3): δ (ppm) = 1.17 (t, J = 7.00 Hz, 3H, CH3–CH2– ), 2.20 (d, J = 1.53 Hz, 3H, 4-H), 3.84 (s, 3H, OCH3), 4.07 (q, J = 7.00 Hz, 2H, –CH2–CH3), 5.91 (q, J = 1.53 Hz, 1H, 2-H), 6.91 (d, JAB = 8.85 Hz, 2H, Harom.), 7.23 (d, JAB = 8.85 Hz, 2H, Harom.); 13C-NMR (CDCl3): δ (ppm) = 14.5 (CH3–CH2–), 27.5 (C-4), 55.6 (OCH3), 60.1 (–CH2–CH3), 113.6 (Carom.), 117.5 (C-2), 128.9, 133.1 (Carom.), 155.3 (C-3), 159.8 (Carom.), 166.5 (C-1).
3.1.4. General Procedure for the Preparation of (Z)-3-Aryl-4-bromo-2-butenoic Acid Ethyl Esters 4e–h
A mixture of 3-aryl-2-butenoic acid ethyl esters 5e–h (9 mmol) and N-bromosuccinimide (1.69 g, 10 mmol) was refluxed with stirring. Benzoyl peroxide (0.02 g) was added to the reaction mixture and refluxing was continued for further 24 h. The reaction mixture was chilled and the solid succinimide was filtered off. The filtrate was dried (Na2SO4), filtered and evaporated under reduced pressure to give viscous oils which were purified by column chromatography using petroleum ether (40–60 °C): Diethyl ether (9:1) to yield mainly (Z)-3-aryl-4-bromo-2-butenoic acid ethyl esters 4e–h in 59%–71% yields as light brown viscous oils.
(Z)-4-Bromo-3-(3,4-dichlorophenyl)-2-butenoic acid ethyl ester [(Z)-4e]. Yield 59% as light brown viscous oil; IR (neat): ν (cm−1) = 1711, 1626, 1474, 1290, 1178; 1H-NMR (CDCl3): δ (ppm) = 1.36 (t, J = 7.03 Hz, 3H, CH3–CH2–), 4.29 (q, J = 7.03 Hz, 2H, –CH2–CH3), 4.93 (s, 2H, 4-H), 6.19 (s, 1H, 2-H), 7.38–7.65 (m, 3H, Harom.); 13C-NMR (CDCl3): δ (ppm) = 14.6 (CH3–CH2–), 26.3 (C-4), 61.2 (–CH2–CH3), 121.4 (C-2), 126.3, 129.0, 131.2, 133.6, 134.3, 138.9 (Carom.), 151.1 (C-3), 165.5 (C-1).
(Z)-4-Bromo-3-(4-fluorophenyl)-2-butenoic acid ethyl ester [(Z)-4f] [27]. Yield 67% as light brown viscous oil; IR (neat): ν (cm−1) = 1709, 1626, 1610, 1510, 1234, 1162; 1H-NMR (CDCl3): δ (ppm) = 1.36 (t, J = 7.03 Hz, 3H, CH3–CH2–), 4.29 (q, J = 7.03 Hz, 2H, –CH2–CH3), 4.98 (s, 2H, 4-H), 6.19 (s, 1H, 2-H), 7.04–7.17 (m, 2H, Harom.), 7.52–7.60 (m, 2H, Harom.); 13C-NMR (CDCl3): δ (ppm) = 14.6 (CH3–CH2–), 26.9 (C-4), 61.0 (–CH2–CH3), 116.3 (d, JC-3`, F& C-5`, F = 21.57 Hz, C-3`and C-5`), 120.1 (C-2), 129.0 (d, JC-2`, F& C-6`, F = 8.30 Hz, C-2` and C-6`), 134.9 (d, JC-1`, F = 3.43 Hz, C-1`), 152.5 (C-3), 163.9 (d, JC-4`, F = 239.36 Hz, C-4`), 165.9 (C-1).
(Z)-4-Bromo-3-(3-methoxyphenyl)-2-butenoic acid ethyl ester [(Z)-4g] [30]. Yield 73% as light brown viscous oil; IR (neat): ν (cm−1) = 1709, 1625, 1579, 1224, 1161; 1H-NMR (CDCl3): δ (ppm) = 1.37 (t, J = 7.00 Hz, 3H, CH3–CH2– ), 3.87 (s, 3H, OCH3), 4.27 (q, J = 7.00 Hz, 2H, –CH2–CH3), 4.98 (s, 2H, 4-H), 6.23 (s, 1H, 2-H), 6.96–7.39 (m, 4H, Harom.). 13C-NMR (CDCl3): δ (ppm) = 14.6 (CH3–CH2–), 27.1 (C-4), 55.8 (OCH3), 60.9 (–CH2–CH3), 112.9 (C-2), 115.5, 119.4, 120.4, 130.2, 140.4 (Carom.), 153.5 (C-3), 160.2 (Carom. ), 165.9 (C-1).
(Z)-4-Bromo-3-(4-methoxyphenyl)-2-butenoic acid ethyl ester [(Z)-4h] [31]. Yield 71% as pale yellow solid m.p. 80–82 °C; IR (neat): ν (cm−1) = 1701, 1603, 1512, 1250, 1169; 1H NMR (CDCl3): δ (ppm) = 1.36 (t, J = 7.03 Hz, 3H, CH3–CH2–), 3.86 (s, 3H, OCH3), 4.28 (q, J = 7.03 Hz, 2H, –CH2–CH3), 5.01 (s, 2H, 4-H), 6.21 (s, 1H, 2-H), 6.96 (d, JAB = 9.15 Hz, 2H, Harom.), 7.55 (d, JAB = 9.15 Hz, 2H, Harom.). 13C-NMR (CDCl3): δ (ppm) = 14.7 (CH3–CH2–), 26.8 (C-4), 55.8 (OCH3), 60.8 (–CH2–CH3), 118.1 (C-2), 114.6, 128.4, 130.8, 161.4 (Carom.), 152.3 (C-3), 166.2 (C-1).
3.1.5. General Procedure for the Preparation of (E)-3-Aryl-4-cyano-2-butenoic Acid Ethyl Esters 3a–c and 3e–h
A solution of tetraethylammonium cyanide (0.78 g, 5 mmol) in acetonitrile (5 mL) was added dropwise to a stirred solution of 3-aryl-4-chloro-2-butenoic acid ethyl esters 4a–c and/or (Z)-3- aryl-4-bromo-2-butenoic acid ethyl esters 4e–h (5 mmol) in acetonitrile (10 mL) under nitrogen atmosphere. After complete addition, the reaction mixture was heated at 50 °C for 18 h. The reaction mixture was cooled, diluted with diethyl ether (30 mL) and washed with water (3 × 20 mL). The organic layer was dried (Na2SO4) and evaporated under reduced pressure to give dark red viscous oils which were purified by column chromatography using petroleum ether (40–60 °C): Diethyl ether (8:2) to afford mainly (E)–3-aryl-4-cyano-2-butenoic acid ethyl esters 3a–c and/or 3e–h as pale yellow viscous oils in 42%–66% yields
(E)-4-Cyano-3-(4-chlorophenyl)-2-buenoic acid ethyl ester [(E)-3a] [32]. Yield 42%; IR (neat): ν (cm−1) = 2217, 1731, 1591, 1493, 1176, 1162; 1H-NMR (CDCl3): δ (ppm) = 1.21 (t, J = 7.03 Hz, 3H, CH3–CH2–), 3.88 ( s, 2H, 4-H), 4.15 (q. J = 7.03 Hz, 2H, –CH2–CH3), 5.79 (s, 1H, 2-H), 7.39 (s, 4H, Harom.). 13C-NMR (CDCl3): δ (ppm) = 14.4 (CH3–CH2–), 39.7 (C-4), 62.0 (CH2–CH3), 99.9 (C-2), 116.9 (C≡N), 127.9, 129.9, 135.7, 137.1 (Carom.), 154.9 (C-3), 168.8 (C-1).
(E)-4-Cyano-3-(2,4-dichloro-phenyl)-2-butenoic acid ethyl ester [(E)-3b]. Yield 46%; IR (neat): ν (cm−1) = 2223, 1733, 1585, 1472, 1180; 1H-NMR (CDCl3): δ (ppm) = 1.26 (t, J = 7.03 Hz, 3H, CH3–CH2–), 3.93 (s, 2H, 4-H), 4.16 (q, J = 7.03 Hz, 2H, –CH2–CH3), 5.62 (s, 1H, 2-H), 7.26–7.49 (m, 3H, Harom.); 13C-NMR (CDCl3): δ (ppm) = 14.4 (CH3–CH2–), 40.6 (C-4), 61.9 (–CH2–CH3), 105.2 (C-2), 115.8 (C≡N), 127.9, 130.3, 131.8, 132.8, 134.4, 136.1 (Carom.), 155.4 (C-3), 168.4 (C-1).
(E)-4-Cyano-3-(4-methyl-phenyl)-2-butenoic acid ethyl ester [(E)-3c]. Yield 66%; IR (neat): ν (cm−1) = 2214, 1733, 1603, 1314, 1175, 1159; 1H-NMR (CDCl3): δ (ppm) = 1.22 (t, J = 7.03 Hz, 3H, CH3–CH2–), 2.40 (s, 3H, 4`-CH3), 3.90 (s, 2H, 4-H), 4.15 (q, J = 7.03 Hz, 2H, –CH2–CH3), 5.78 (s, 1H, 2-H), 7.23 (d, JAB = 8.23 Hz, 2H, Harom.), 7.38 (d, JAB = 8.23 Hz, 2H, Harom.). 13C-NMR (CDCl3): δ (ppm) = 14.4 (CH3–CH2–), 21.7 (4`-CH3), 39.7 (C-4), 61.9 (–CH2–CH3), 98.3 (C-2), 117.5 (C≡N), 126.4, 130.1, 134.3, 141.4 (Carom.), 155.9 (C-3), 169.1 (C-1).
(E)-4-Cyano-3-(3,4-dichlorophenyl)-2-butenoic acid ethyl ester [(E)-3e]. Yield 44%; IR (neat): ν (cm−1) = 2219, 1732, 1550, 1472, 1179; 1H-NMR (CDCl3): δ (ppm) = 1.05 (t, J = 7.03 Hz, 3H, CH3–CH2–), 3.68 (s, 2H, 4-H), 3.98 (q, J = 7.03 Hz, 2H, –CH2–CH3), 5.61 (s, 1H, 2-H), 7.08–7.37 (m, 3H, Harom.); 13C-NMR (CDCl3): δ (ppm) = 14.4 (CH3–CH2–), 39.6 (C-4), 62.2 (–CH2–CH3), 101.1 (C-2), 116.5 (C≡N), 125.8, 128.5, 131.4, 133.9, 135.2, 137.3, (Carom.),153.9 (C-3), 168.5 (C-1).
(E)-4-Cyano-3-(4-fluorophenyl)-2-butenoic acid ethyl ester [(E)-3f]. Yield 48%; IR (neat): ν (cm−1) = 2217, 1732, 1601, 1511, 1237, 1162; 1H-NMR (CDCl3): δ (ppm) = 1.22 (t, J = 7.00 Hz, 3H, CH3–CH2–), 3.89 (s, 2H, 4-H), 4.16 (q, J = 7.00 Hz, 2H, –CH2–CH3), 5.76 (s, 1H, 2-H), 7.07–7.16 (m, 2H, Harom.), 7.43–7.51 (m, 2H, Harom.); 13C-NMR (CDCl3): δ (ppm) = 14.4 (CH3–CH2–), 39.8 (C-4), 62.0 (–CH2–CH3), 99.4 (C-2), 116.5 (d, JC-3`, F& C-5`, F = 21.95 Hz, C-3` and C-5`), 117.1 (C≡N), 128.6 (d, JC-2`, F& C-6`, F = 8.57 Hz, C-2` and C-6`), 133.5 (d, JC-1`, F = 3.82 Hz, C-1`), 155.1 (C-3), 164.4 (d, JC-4`, F = 252.23 Hz, C-4`), 168.9 (C-1).
(E)-4-Cyano-3-(3-methoxy-phenyl)-2-butenoic acid ethyl ester [(E)-3g]. Yield 53%; IR (neat): ν (cm−1) = 2216, 1733, 1599, 1577, 1229, 1177; 1H-NMR (CDCl3): δ (ppm) = 1.22 (t, J = 7.03 Hz, 3H, CH3–CH2–), 3.84 (s, 3H, OCH3), 3.89 (s, 2H, 4-H), 4.16 (q, J = 7.03 Hz, 2H, –CH2–CH3), 5.79 (s, 1H, 2-H), 6.97–7.37 (m, 4H, Harom.); 13C-NMR (CDCl3): δ (ppm) = 14.4 (CH3–CH2–), 39.8 (C-4), 55.8 (OCH3), 61.9 (–CH2–CH3), 99.7 (C-2), 112.4, 116.2 (Carom.), 117.2 (C≡N), 118.9, 130.5, 138.7 (Carom.), 156.2 (C-3), 160.3 (Carom.), 168.9 (C-1).
(E)-4-Cyano-3-(4-methoxy-phenyl)-2-butenoic acid ethyl ester [(E)-3h] [32]. Yield 45%; IR (neat): ν (cm−1) = 2213, 1732, 1599, 1514, 1251, 1179; 1H-NMR (CDCl3): δ (ppm) = 1.21 (t, J = 7.03 Hz, 3H, CH3–CH2–), 3.84 (s, 3H, OCH3), 3.88 (s, 2H, 4-H), 4.15 (q, J = 7.03 Hz, 2H, –CH2–CH3), 5.72 (s, 1H, 2-H), 6.92 (d, JAB = 8.85 Hz, 2H, Harom.), 7.43 (d, JAB = 8.85 Hz, 2H, Harom.). 13C-NMR (CDCl3): δ (ppm) = 14.4 (CH3–CH2–), 39.6 (C-4), 55.8 (OCH3), 61.9 (–CH2–CH3), 96.9 (C-2), 117.7 (C≡N), 155.3 (C-3), 114.8, 128.1, 129.4, 161.9 (Carom.), 169.2 (C-1).
3.1.6. General Procedure for the Preparation of (R,S)-5-Amino-3-arylpentanoic Acid Hydrochlorides 1a–h
To a solution of (E)–3-aryl-4-cyano-2-butenoic acid ethyl esters 3a–c and/or 3e–h (2 mmol) in 95% ethanol (10 mL) and concentrated hydrochloric acid (1 mL) was added PtO2 (0.05 g) for compounds 3a, 3b, 3e and 3f or 10% Pd/C (0.10 g) for compounds 3b, 3c, 3g and 3h. The reaction mixture was hydrogenated on a Parr shaker apparatus under 4 bar of H2 for 18 h at room temperature. The catalyst was removed by filtration and the solvent was evaporated under reduced pressure to give (RS)-5-amino-3-arylpentanoic acid ethyl ester hydrochlorides 2a–h which were dissolved in 5 N hydrochloric acid (15 mL) and washed with diethyl ether (2 × 10 mL). Without further purification, the aqueous layer was refluxed with stirring for 4 h. The reaction mixture was evaporated under vacuum to give (RS)-5-amino-3-aryl-pentanoic acid hydrochlorides 1a–h which were recrystallized from the isopropanol.
(R,S)-5-Amino-3-(4-chlorophenyl)pentanoic acid hydrochloride (1a). Yield 76% as white solid m.p. 201–203 °C; IR (neat): ν (cm−1) = 3200–2727 and 1726; 1H-NMR (D2O): δ (ppm) = 1.81–2.05 (m, 2H, 4-H), 2.50–2.87 (m, 4H, 2-H and 5-H), 2.99-3.12 (m, 1H, 3-H), 7.17 (d, JAB = 8.55 Hz, 2H, Harom.), 7.26 (d, JAB = 8.55 Hz, 2H, Harom.); 13C-NMR (D2O): δ (ppm) = 33.2 (C-4), 38.0 (C-2), 39.1 (C-3), 41.1 (C-5), 129.2, 129.4, 132.7, 140.9 (Carom.), 176.6 (C-1); MS (EI), m/z (%): 209 (100), 181 (30), 138 (64), 97 (56), 43 (43); MS (CI), m/z (%): 227 [(100), M+].: Anal. Calcd. for C11H15Cl2NO2: C 50.02, H 5.72, N 5.30; found C 49.93, H 5.72, N 5.36.
(R,S)-5-Amino-3-(2,4-chlorophenyl)pentanoic acid hydrochloride (1b). Yield 70% as white solid m.p. 215–217 °C; IR (neat): ν (cm−1) = 3200–2700 and 1728; 1H-NMR (D2O): δ (ppm) = 1.87–2.12 (m, 2H, 4-H), 2.57–2.98 (m, 4H, 2-H and 5-H), 3.58–3.70 (m, 1H, 3-H), 7.20–7.32 (m, 3H, Harom.); 13C-NMR (D2O): δ (ppm) = 32.6 (C-4), 35.0 (C-2), 37.8 (C-3), 39.7 (C-5), 128.3, 129.3, 129.7, 133.1, 134.6, 138.5 (Carom.), 176.3 (C-1); MS (EI), m/z (%): 243 (37), 208 (72), 172 (49), 97 (100), 43 (46); MS (CI), m/z (%): 261 [(100), M+ -1]; Anal. Calcd. for C11H14Cl3NO2: C 44.25, H 4.73, N 4.69; found C 44.10, H 4.76, N 4.79.
(R,S)-5-Amino-3-(4-methylphenyl)pentanoic acid hydrochloride (1c). Yield 78% as white solid m.p. 204–206 °C; IR (neat): ν (cm−1) = 3200-2720 and 1726; 1H-NMR (D2O): δ (ppm) = 1.80–2.03 (m, 2H, 4-H), 2.19 (s, 3H, 4`-CH3), 2.50–2.86 (m, 4H, 2-H and 4-H), 2.96–3.08 (m, 1H, 3-H), 7.12 (s, 4H, Harom.); 13C-NMR (D2O): δ (ppm) = 20.5 (4`-CH3), 33.3 (C-4), 38.1 (C-2), 39.3 (C-3), 41.3 (C-5), 127.8, 129.9, 137.8, 139.2 (Carom.), 176.9 (C-1); MS (CI), m/z (%): 207 [(100), M+]; Anal. Calcd. for C12H18ClNO2: C 59.14, H 7.44, N 5.75; found C 58.75, H 7.39, N 5.76.
(R,S)-5-Amino-3-phenylpentanoic acid hydrochloride (1d). Yield 69% as white solid m.p. 195–196 °C; IR (neat): ν (cm−1) = 3200–2690 and 1724; 1H-NMR (D2O): δ (ppm) = 1.83–2.06 (m, 2H, 4-H), 2.54–2.86 (m, 4H, 2-H and 5-H), 3.00–3.12 (m, 1H, 3-H), 7.18–7.33 (m, 5H, Harom.); 13C-NMR (D2O): δ (ppm) = 33.3 (C-4), 38.1 (C-2), 39.7 (C-3), 41.2 (C-5), 127.8, 127.9, 129.4, 142.3 (Carom.), 176.9 (C-1); MS (EI), m/z (%): 194 [(10) M++ 1], 175 (95), 104 (100), 91 (41), 43 (42); Anal. Calcd. for C11H16ClNO2: C 57.52, H 7.02, N 6.09; found C 57.12, H 7.13, N 5.99.
(R,S)-5-Amino-3-(3,4-chlorophenyl)pentanoic acid hydrochloride (1e). Yield 80% as white solid m.p. 201–203 °C; IR (neat): ν (cm−1) = 3200–2700 and 1715; 1H-NMR (D2O): δ (ppm) = 1.81–2.05 (m, 2H, 4-H), 2.51–2.95 (m, 4H, 2-H and 5-H), 3.00–3.12 (m, 1H, 3-H), 7.09–7.39 (m, 3H, Harom.); 13C-NMR (D2O): δ (ppm) = 32.9 (C-4), 37.9 (C-2), 38.9 (C-3), 40.9 (C-5),127.7, 129.8, 130.7, 131.1, 132.4, 142.9 (Carom.), 176.4 (C-1); MS (CI), m/z (%): 261 [(100), M+ -1]; Anal. Calcd. for C11H14Cl3NO2: C 44.25, H 4.73, N 4.69; found C 44.04, H 4.99, N 4.72.
(R,S)-5-Amino-3-(4-fluorophenyl)pentanoic acid hydrochloride (1f). Yield 81% as white solid m.p. 208–210 °C; IR (neat): ν (cm−1) = 3200–2700 and 1724. 1H-NMR (D2O): δ (ppm) = 1.81–2.05 (m, 2H, 4-H), 2.49–2.87 (m, 4H, 2-H and 5-H), 3.00–3.12 (m, 1H, 3-H), 6.96–7.03 (m, 2H, Harom.), 7.17–7.23 (m, 2H, Harom.); 13C-NMR (D2O): δ (ppm) = 33.3 (C-4), 38.0 (C-2), 38.9 (C-3), 41.3 (C-5), 115.9 (d, JC-3`, F& C5`, F = 21.38 Hz, C-3` and C-5`), 129.5 (d, JC-2`, F& C-6`, F = 8.17 Hz, C-2` and C-6`), 137.9 (d, JC-1`, F = 3.02 Hz, C-1`), 162.0 (d, JC-4`, F = 242.87 Hz, C-4`), 176.8 (C-1); MS (CI), m/z (%): 211 [(100), M+]; Anal. Calcd. for C11H15ClFNO2: C 53.34, H 6.10, N 5.66; found C 53.17, H 6.34, N 5.66.
(R,S)-5-Amino-3-(3-methoxyphenyl)pentanoic acid hydrochloride (1g). Yield 85% as pale yellow solid m.p. 182–184 °C; IR (neat): ν (cm−1) = 3200–2700 and 1722; 1H-NMR (D2O): δ (ppm) = 1.82–2.04 (m, 2H, 4-H), 2.52–2.87 (m, 4H, 2-H and 5-H), 2.98–3.10 (m, 1H, 3-H), 3.69 (s, 3H, OCH3), 6.77–7.25 (m, 4H, Harom.); 13C-NMR (D2O): δ (ppm) = 33.2 (C-4), 38.1 (C-2), 39.7 (C-3), 41.1 (C-5), 55.7 (OCH3), 113.1, 113.6, 120.6, 130.6, 144.2, 159.6 (Carom.), 176.8 (C-1); MS (CI), m/z (%): 223 [(100), M+]; Anal. Calcd. for C12H18ClNO3: C 55.49, H 6.99, N 5.39; found C 55.20, H 7.01, N 5.33.
(R,S)-5-Amino-3-(4-methoxyphenyl)pentanoic acid hydrochloride (1h). Yield 76% as pale yellow solid m.p. 194–195 °C; (neat): ν (cm−1) = 3200–2721 and 1724; 1H-NMR (D2O): δ (ppm) = 1.79–2.03 (m, 2H, 4-H), 2.49–2.86 (m, 4H, 2-H and 5-H), 2.96–3.08 (m, 1H, 3-H), 3.68 (s, 3H, OCH3), 6.86 (d, JAB = 8.85 Hz, 2H, Harom.), 7.15 (d, JAB = 8.85 Hz, 2H, Harom.). 13C-NMR (D2O): δ (ppm) = 33.4 (C-4), 38.1 (C-2), 38.9 (C-3), 41.4 (C-5), 55.8 (OCH3), 114.7, 129.0, 134.8, 158.2 (Carom.), 176.9 (C-1); MS (CI), m/z (%): 223 [(100), M+]; Anal. Calcd. for C12H18ClNO3: C 55.49, H 6.99, N 5.39; found C 55.23, H 7.07, N 5.35.
3.1.7. Synthesis of Cyanoacetic Acid (6i)
A mixture of ethyl cyanoacetate (7i, 10 g, 88 mmol) and 1 N hydrochloric acid (35 mL) was heated at 100 °C for 1.5 h. The reaction mixture was evaporated under reduced pressure to give 7.5 g (100%) of 6i as a colorless crystals m.p. 63–65 °C which was pure enough to be used in the next step without further purification. IR (neat): ν (cm−1) = 3300–2973, 2269, 1725, 1388, 1183; 1H-NMR (DMSO-d6): δ (ppm) = 3.28 (s, 2H, 2-H), 8.1–8.7 (br.s, 1H, COOH); 13C-NMR (DMSO-d6): δ (ppm) = 25.5 (C-2), 116.3 (C≡N), 166.5 (C-1).
3.1.8. Synthesis of 4-Cyano-3-methyl-2-butenoic Acid Ethyl Ester (5i)
A mixture of cyanoacetic acid (6i, 4.51 g, 53 mmol), ethyl acetoacetate (6.51 g, 50 mmol), ammonium acetate (0.77 g, 10 mmol) and acetic acid (1.58 g, 1.5 mL, 26.3 mmol) in benzene (15 mL) was refluxed for 8 h using a Dean-Stark apparatus. The reaction mixture was evaporated under reduced pressure, water (10 mL) was added to the residue and extracted with diethyl ether (3 × 15 mL). The organic layer was separated, dried (Na2SO4) and evaporated under vacuum. The residue was distilled under vacuum to yield 5.2 g (68%) of 5i as a colorless oil b.p. 100–102 °C/5 mm (lit. [19] 130 °C/20 mm) with E/Z ratio = 1.7 as detected by 1H-NMR. IR (neat): ν (cm−1) = 2221, 1733, 1636, 1175, 1161; 1H-NMR (CDCl3): δ (ppm) = 1.24–1.31 (2 x t, 3H, CH3–CH2–), 2.01 [d, J = 1.53 Hz, 3H, (Z)-3-CH3], 2.13 [d, J = 0.93 Hz, 3H, (E)-3-CH3], 3.18 [d, J = 0.90 Hz, 2H, (E)-4-H], 3.42 [s, 2H, (Z)-4-H], 4.12–4.22 (2 × q, 2H, –CH2–CH3), 5.29–5.32 (m, 1H, 2-H); 13C-NMR (CDCl3): δ (ppm) = 14.5 (CH3–CH2–), 21.7 [(E)-3-CH3], 23.8 [(Z)-3-CH3], 41.6 [(Z)-C-4], 43.9 [(E)-C-4], 61.8 (–CH2–CH3), 99.7 [(E)-C-2], 99.8 [(Z)-C-2], 116.6 [(Z)-C≡N], 116.7 [(E)-C≡N], 157.1 [(Z)-C-3], 157.2 [(E)-C-3], 168.9 [(Z)-C-1], 169.2 [(E)-C-1].
3.1.9. Synthesis of (R,S)-5-Benzyloxycarbonylamino-3-methylpentanoic Acid (2i)
To a solution of 4-cyano-3-methyl-2-butenoic acid ethyl ester (5i, 0.77 g, 5 mmol) in 95% ethanol (25 mL) was added concentrated hydrochloric acid (1 mL) and 10% Pd/C (0.26 g). The reaction mixture was hydrogenated on a Parr shaker apparatus under 4 bar of H2 for 18 h at room temperature. The catalyst was removed by filtration and the solvent was evaporated under vacuum to give (RS)-5-amino-3-methyl-pentanoic acid ethyl ester hydrochloride (4i) which was dissolved in 5 N hydrochloric acid (10 mL) and extracted with diethyl ether (3 × 10 mL). Without further purification the aqueous layer was refluxed under stirring for 4 h. The reaction mixture containing (RS)-5-amino-3-methyl-pentanoic acid hydrochloride (3i) was cooled (0–5 °C) and basified using 4 N sodium hydroxide solution (14 mL). To this basic solution was added simultaneously in portions and under cooling (0 °C) benzyl chloroformate (0.85 g, 5 mmol) and 4 N sodium hydroxide solution (1.25 mL) during 30 min. The reaction mixture was extracted with diethyl ether (3 × 10 mL), the aqueous layer was cooled (0–5 °C) and acidified using concentrated hydrochloric acid. The reaction mixture was extracted with diethyl ether (3 × 10 mL), dried (Na2SO4) and evaporated under reduced pressure to give 0.86 g (65%) of 2i as a viscous pale yellow oil which was used in the next step without further purification. IR (neat): ν (cm−1) = 3066–2588, 1699, 1528, 1454, 1523; 1H-NMR (CDCl3): δ (ppm) = 1.02 (d, J = 6.1 Hz, 3H, 3-CH3), 1.39–1.50 (m, 1H, 4-Ha), 1.53–1.67 (m, 1H, 4-Hb), 1.98–2.15 (m, 1H, 3-H), 2.21–2.55 (m, 2H, 2-H), 3.25 (m, 2H, 5-H), 5.03 (br.s 1H, N–H), 5.13 (s, 2H, –CH2–C6H5), 7.37 (s, 5H, Harom.), 10.27 (br.s, 1H, COOH); 13C-NMR (CDCl3): δ (ppm) = 19.9 (3-CH3), 27.9 (C-3), 36.8 (C-4), 39.3 (C-5), 41.7 (C-2), 67.2 (–CH2–C6H5), 127.5, 128.6, 128.9, 136.9 (Carom.), 157 (O=C–N–H), 178.8 (C-1).
3.1.10. Synthesis of (R,S)-5-Amino-3-methylpentanoic Acid (1i)
To a solution of (R,S)-5-benzyloxycarbonylamino-3-methyl-pentanoic acid (2i, 0.53 g, 2 mmol) in 50% 2-propanol (10 mL) was added 10% Pd/C (0.85 g). The reaction mixture was hydrogenated on a Parr shaker apparatus under 4 bar of H2 for 18 h at room temperature. The catalyst was removed by filtration and the solvent was evaporated under vacuum. The residue was recrystallized (2-propanol/water) to give 0.18 g (69%) of 1i as a white powder m.p. 164–165 °C (lit. [21] 133–135 °C). IR (neat): ν (cm−1) = 3019–2659, 1630, 1528, 1460, 1398; 1H-NMR (D2O): δ (ppm) = 0.78 (d, J = 6.73 Hz, 3H, 3-CH3), 1.31–1.58 (m, 2H, 4-H), 1.71–1.85 (m, 1H, 3-H), 1.87–1.96 (m, 1H, 2-Ha), 2.02–2.10 (m, 1H, 2-Hb), 2.77–2.95 (m, 2H, 5-H); 13C-NMR (CDCl3): δ (ppm) = 19.1 (3-CH3), 28.5 (C-3), 33.9 (C-4), 37.9 (C-5), 44.7 (C-2), 181.9 (C-1); MS (CI), m/z (%): 149.1 [(100), M++18]; Anal. Calcd. for C6H13NO2: C 54.94, H 9.99, N 10.68; found C 54.64, H 10.11, N 10.60.
3.2. Pharmacological Evaluation
3.2.1. Materials
Culture media, serum and antibiotics were obtained from Invitrogen (Paisley, UK). The rat GABABR plasmids and the Gαq-z5 construct were generous gifts from Dr. Janet Clark (National Institute of Health, Bethesda, MD, USA) and Dr. Bruce Conklin (University of California, San Francisco, CA, USA). The tsA201 cells were a generous gift from Dr. Penelope S. V. Jones (University of California, San Diego, CA, USA).
3.2.2. Methods
TsA201 cells (a transformed human embryonic kidney (HEK) 293 cell line) [33] were maintained at 37 °C in a humidified 5% CO2 incubator in Dulbecco’s modified Eagle medium (DMEM) supplemented with penicillin (100 U/mL), streptomycin (100 mg/mL) and 10% fetal calf serum. One million cells were split into a 10 cm tissue culture plate and transfected the following day with 0.7 μg GABABR1b-pcDNA3.1, 3.5 μg GABABR2-pcDNA3.1 and 0.7μg Gαq-z5-pcDNA using SuperFect as a DNA carrier according to the protocol by the manufacturer (Qiagen, Hilden, Germany). The day after transfection, cells were split into one poly-d-lysine coated 96-well black-walled–clear-bottomed tissue culture plates in the same medium as mentioned above and incubated overnight. The following day the measurement of intracellular calcium was performed as follows. The media was exchanged with Hanks balanced saline solution containing 1 mM CaCl2, 1 mM MgCl2, 20 mM HEPES, 2.5 mM probencid and 4 μM Fluo-4AM (pH = 7.4). The cells were incubated for 1 h at 37 °C in a humidified 5% CO2 incubator. Cells were then washed twice with the same buffer without Fluo-4AM and finally 100 μL of the buffer was left in the wells. The cell plate was then transferred to the NovoStar (BMG Labtechnologies, Offenburg, Germany) and the basal fluorescence level was adjusted to ~10,000 fluorescence units (FU) using excitation/emission wavelengths of 485–520 nm, respectively. Fluorescence readings were measured for 45 s after addition of ligand and response was calculated as peak response minus basal level. Inactive compounds were also tested as antagonists. Twenty min after application of ligand, 10 μM GABA was added to the well and fluorescence was measured as above.
3.2.3. Data Analysis
All data analysis has been carried out using GraphPad Prism version 6.0c for Mac OS X (GraphPad Software, San Diego, CA, USA). Concentration-response curves have been fitted by non-linear regression using the equation for sigmoidal concentration-response function:
in which X is the logarithm of the agonist concentration, R is the response, Rmax is the maximal response, Rmin is the minimal response and EC50 is the concentration giving half maximum response. All experiments were performed in triplicate and the results are given as mean pEC50 ± S.E.M of 3–4 experiments.
R = Rmin + (Rmax − Rmin)/(1 + 10 ^ (logEC50 − X))
4. Conclusions
Synthesis and GABABR agonistic activity of certain amino acids 1a–i as homologues of the clinically used drug, baclofen (1), are reported. The presence of an aryl moiety in position three of the DAVA backbone is essential for GABABR agonistic activity as replacement of this aryl moiety with a methyl group gave compound 1i which is devoid of GABABR agonistic activity. Additionally, the substitution pattern of this aryl moiety plays an important role in the exhibited GABABR agonistic activity. Thus, mono-substitution on the aromatic moiety attached to the three position of the DAVA backbone with a halogen, especially para-chloro (compound 1a), is optimum for GABABR agonistic activity. Compound 1a showed GABABR agonistic activity with EC50 = 46 μM, being the most active congener in the whole synthesized series.
Acknowledgments
The authors would like to extend their sincere appreciation to the Deanship of Scientific Research at King Saud University for its funding of this research through the Research Group Project no. RGP-VPP-196.
Conflicts of Interest
The authors declare no conflict of interest.
References
- Costantino, G.; Macchiarulo, A.; Guadix, A.E.; Pellicciari, R. QSAR and molecular modeling studies of baclofen analogues as GABAB agonists. Insights into the role of the aromatic moiety in GABAB binding and activation. J. Med. Chem. 2001, 44, 1827–1832. [Google Scholar] [CrossRef]
- Bernard, P.; Guedin, D.; Hibert, M. Molecular modeling of the GABA/GABAB receptor complex. J. Med. Chem. 2001, 44, 27–35. [Google Scholar] [CrossRef]
- Herdeis, C.; Hubmann, H.P. Synthesis of homochiral R-baclofen from S-glutamic acid. Tetrahedron: Asymmetry 1992, 3, 1213–1221. [Google Scholar] [CrossRef]
- Brogden, R.N.; Speight, T.M.; Avery, G.S. Baclofen: A preliminary report of its pharmacological properties and therapeutic efficacy in spasticity. Drugs 1974, 8, 1–14. [Google Scholar] [CrossRef]
- Tayacke, R.J.; Lingford-Hughes, A.; Reed, L.J.; Nutt, D.J. GABABreceptors in addiction and its treatment. Adv. Pharmacol. 2010, 58, 373–396. [Google Scholar] [CrossRef]
- Lidums, I.; Lehmann, A.; Checklin, H.; Dent, J.; Holloway, R.H. Control of transient lower esophageal sphincter relaxation. Gastroenterology 2000, 118, 7–13. [Google Scholar]
- Yomiya, K.; Matsuo, N.; Tomiyasu, S.; Yoshimoto, T.; Tamaki, T.; Suzuki, T.; Matoba, M. Baclofen as an Adjuvant Analgesic for Cancer Pain. Am. J. Hosp. Palliat. Med. 2009, 26, 112–118. [Google Scholar] [CrossRef]
- Taylor, M.C.; Bates, C.P. A double-blind crossover trial of baclofen-a new treatment for the unstable bladder syndrome. Br. J. Urol. 1979, 51, 504–505. [Google Scholar] [CrossRef]
- Xu, F.; Peng, G.; Phan, T.; Dilip, U.; Chen, J.L.; Chernov-Rogan, T.; Zhang, X.; Grindstaff, K.; Annamalai, T.; Koller, K.; Gallop, M.A.; Wustrow, D.J. Discovery of a novel potent GABAB receptor agonist. Bioorg. Med. Chem. Lett. 2011, 21, 6582–6585. [Google Scholar] [CrossRef]
- Karla, R.; Ebert, B.; Thorkildsen, C.; Herdeis, C.; Johansen, T.N.; Nielsen, B.; Krogsgaard-Larsen, P. Synthesis and pharmacology of baclofen homologues, 5-amino-4-(4-chlorophenyl)pentanoic acid and the R- and S-enantiomers of 5-amino-3-(4-chlorophenyl)pentanoic acid. J. Med. Chem. 1999, 42, 2053–2059. [Google Scholar] [CrossRef]
- Prager, R.H.; Schafer, K. Potential GABAB receptor antagonists. X. The synthesis of further analogues of baclofen, phaclofen and saclofen. Aust. J. Chem. 1997, 50, 813–823. [Google Scholar]
- Muhyaddin, M.; Roberts, P.J.; Woodruff, G.N. Presynaptic γ-aminobutyric acid receptors in the rat anococcygeus muscle and their antagonism by 5-aminovaleric acid. Br. J. Pharmacol. 1982, 77, 163–168. [Google Scholar] [CrossRef]
- Wadsworth, W.S.; Emmons, W.D. The utility of phosphonate carbanions in olefin synthesis. J. Am. Chem. Soc. 1961, 83, 1733–1738. [Google Scholar] [CrossRef]
- Allan, R.D.; Tran, H. Synthesis of analogues of GABA. VII* (Z)- and (E)-4-Amino-3-(4-chlorophenyl)but-2-enoic acids as unsaturated baclofen derivatives. Aust. J. Chem. 1981, 34, 2641–2645. [Google Scholar] [CrossRef]
- Jones, G.; Maisey, R.F. Novel structural effects on the stereochemistry of the Wittig reaction with diethyl cyanomethylphosphonate. Chem. Commun. 1968. [Google Scholar] [CrossRef]
- Ives, D.J.G.; Sames, K. The determination of dissociation constants of monobasic acids. Part III. The strengths of some cyano-acids. J. Chem. Soc. 1943. [Google Scholar] [CrossRef]
- Simchen, G.; Kobler, H. Synthese von Nitrilen mit Tetraalkylammoniumcyaniden. Synthesis 1975, 9, 605–607. [Google Scholar] [CrossRef]
- Chiefari, J.; Galanopoulos, S.; Janowski, W.K.; Kerr, D.I.B.; Prager, R.H. The synthesis of phosphonobaclofen, an antagonist of baclofen. Aust. J. Chem. 1987, 40, 1511–1518. [Google Scholar] [CrossRef]
- Simchen, G. Eine neue Pyridinsynthese. Chem. Ber. 1970, 103, 389–397. [Google Scholar] [CrossRef]
- Boissonnas, R.A.; Preitner, G. Etude comparative de la scission de divers groupes de blocage de la fonction α-amino des acides amines. Helv. Chim. Acta 1953, 36, 875–886. [Google Scholar] [CrossRef]
- Wallach, O. Zur Kenntniss der Terpene und der ätherischen Oele. Liebigs Ann. Chem. 1900, 312, 171–210. [Google Scholar] [CrossRef]
- Conklin, B.R.; Farfel, Z.; Lustig, K.D.; Julius, D.; Bourne, H.R. Substitution of three amino acids switches receptor specificity of Gqα to that of Giα. Nature 1993, 363, 274–276. [Google Scholar] [CrossRef]
- Bräuner-Osborne, H.; Krogsgaard-Larsen, P. Functional pharmacology of cloned heterodimeric GABAB receptors expressed in mammalian cells. Br. J. Pharmacol. 1999, 128, 1370–1374. [Google Scholar] [CrossRef] [Green Version]
- Jensen, A.A.; Madsen, B.E.; Krogsgaard-Larsen, P.; Bräuner-Osborne, H. Pharmacological characterization of homobaclofen on wild type and mutant GABAB1b receptors coexpressed with the GABAB2 receptor. Eur. J. Pharmacol. 2001, 417, 177–180. [Google Scholar] [CrossRef]
- Kaupmann, K.; Malitschek, B.; Schuler, V.; Heid, J.; Fröstl, W.; Beck, P.; Mosbacher, J.; Bischoff, S.; Kulik, A.; Shigemoto, R.; et al. GABAB-receptor subtypes assemble into functional heteromeric complexes. Nature 1998, 396, 683–687. [Google Scholar] [CrossRef]
- Berthelot, P.; Vaccher, V.; Flouquet, N.; Debaert, M.; Luyckx, M.; Brunet, C. 3-Thienyl- and 3-furylaminobutyric acids. Synthesis and binding GABAB receptor studies. J. Med. Chem. 1991, 34, 2557–2560. [Google Scholar] [CrossRef]
- Lampe, J.W.; Chou, Y.L.; Hanna, R.G.; Di Meo, S.V.; Erhardt, P.W.; Hagedorn, A.A.; Ingebretsen, W.R.; Cantor, E. Imidazolylphenyl)pyrrol-2-one inhibitors of cardiac cAMP phosphodiesterase. J. Med. Chem. 1993, 36, 1041–1047. [Google Scholar] [CrossRef]
- Malamas, M.S.; Palka, C.L. New synthesis of isoxazolidines. J. Heterocycl. Chem. 1996, 33, 475–478. [Google Scholar] [CrossRef]
- Blankenstein, J.; Afaltz, A. A new class of modular phosphinite oxazoline ligands: Ir-catalyzed enantioselective hydrogenation of alkenes. Angew. Chem. Int. Ed. 2001, 40, 4445–4447. [Google Scholar] [CrossRef]
- Kagabu, S.; Kaku, I. Preparative method for 4-aryl and 4-alkyl-2-thiolenones. Biosci. Biotech. Biochem. 1993, 57, 1899–1901. [Google Scholar] [CrossRef]
- Islam, S.; Ueda, I. Synthesis of allylidenetriphenylphosphoranes and arsorsnes. Dhaka Univ. J. Sci. 1999, 47, 103–107. [Google Scholar]
- Kubo, K.; Ito, N.; Souzu, I.; Isomura, Y.; Homma, H.; Murokami, M. Nitrogen-containing heterocyclic compounds. Brit. Pat. 1588166, 1981. [Google Scholar]
- Chahine, M.; Bennett, P.B.; George Jr., A.L.; Horn, R. Functional expression and properties of the human skeletal muscle sodium channel. Pfluegers Arch. 1994, 427, 136–142. [Google Scholar] [CrossRef]
- Sample Availability: Samples of the compounds 1a–i are available from the authors.
© 2013 by the authors; licensee MDPI, Basel, Switzerland. This article is an open access article distributed under the terms and conditions of the Creative Commons Attribution license (http://creativecommons.org/licenses/by/3.0/).