Interactive Effect of Salicylic Acid on Some Physiological Features and Antioxidant Enzymes Activity in Ginger (Zingiber officinale Roscoe)
Abstract
:1. Introduction
2. Results and Discussion
2.1. Effect of SA Concentration on Leaf Gas Exchange Parameters

2.2. Effect of SA Concentration on Plant Height, Leaf Area and Dry Weight
| Variety | SA(M) | Plant height | Leaf area | Leaf dry weight | Shoot dry weight | Root dry weight | Rhizome dry weight | Total dry weight |
|---|---|---|---|---|---|---|---|---|
| H.Bentong | Control | 56.66 ± 6.75 a | 506.6 ± 15.6 c | 1.79 ± 0.53 b | 1.86 ± 0.67 a | 0.214 ± 0.05 a | 3.42 ± 0.66 a | 7.28 ± 1.51 ab |
| 10−5 | 53.26 ± 5.51 a | 603.6 ± 16.14 abc | 2.31 ± 0.21 b | 2.1 ± 0.49 a | 0.24 ± 0.06 a | 4.03 ± 1.06 a | 8.68 ± 0.71 a | |
| 10−3 | 55.43 ± 4.55 a | 541.3 ± 62.02 c | 2.55 ± 0.65 b | 1.98 ± 0.21 a | 0.227 ± 0.035 a | 3.56 ± 0.78 a | 8.31 ± 1.09 a | |
| H.Bara | Control | 49.24 ± 0.9 a | 592.4 ± 16.1 bc | 2.64 ± 0.29 b | 1.74 ± 0.49 a | 0.252 ± 0.068 a | 0.74 ± 0.11 b | 5.37 ± 0.68 b |
| 10−5 | 48.5 ± 3.12 a | 719.2 ± 91.5 a | 3.72 ± 0.93 a | 2.21 ± 0.37 a | 0.281 ± 0.03 a | 0.99 ± 0.37 b | 7.2 ± 1.73 ab | |
| 10−3 | 48.36 ± 8.4 a | 673.9 ± 32.9 ab | 3.67 ± 0.70 a | 2.13 ± 0.23 a | 0.263 ± 0.06 a | 0.95 ± 0.25 b | 7.01 ± 1.17 ab |
2.3. Nitrate Reductase Activity

2.4. Chlorophyll Content
| H.Bentong | H.Bara | |||||
|---|---|---|---|---|---|---|
| Control | SA 10−5 M | SA 10−3 M | Control | SA 10−5 M | SA 10−3 M | |
| Chl a | 181.95 + 20.85 d | 234.35 + 17.88 c | 256.23 + 2.60 b | 188.87 + 4.13 d | 251.79 + 3.43 b | 279.93 + 3.32 a |
| Chl b | 87.27 + 8.28 b | 102.46 + 25.88 a | 103.84 + 29.75 a | 95.29 + 19.34 b | 96.17 + 12.91 b | 110.35 + 10.32 a |
| Chl a+b | 269.23 + 12.67 d | 336.81 + 12.02 c | 360.07 + 30.52 b | 284.17 + 16.73 d | 347.96 + 9.54 c | 390.29 + 7.08 a |
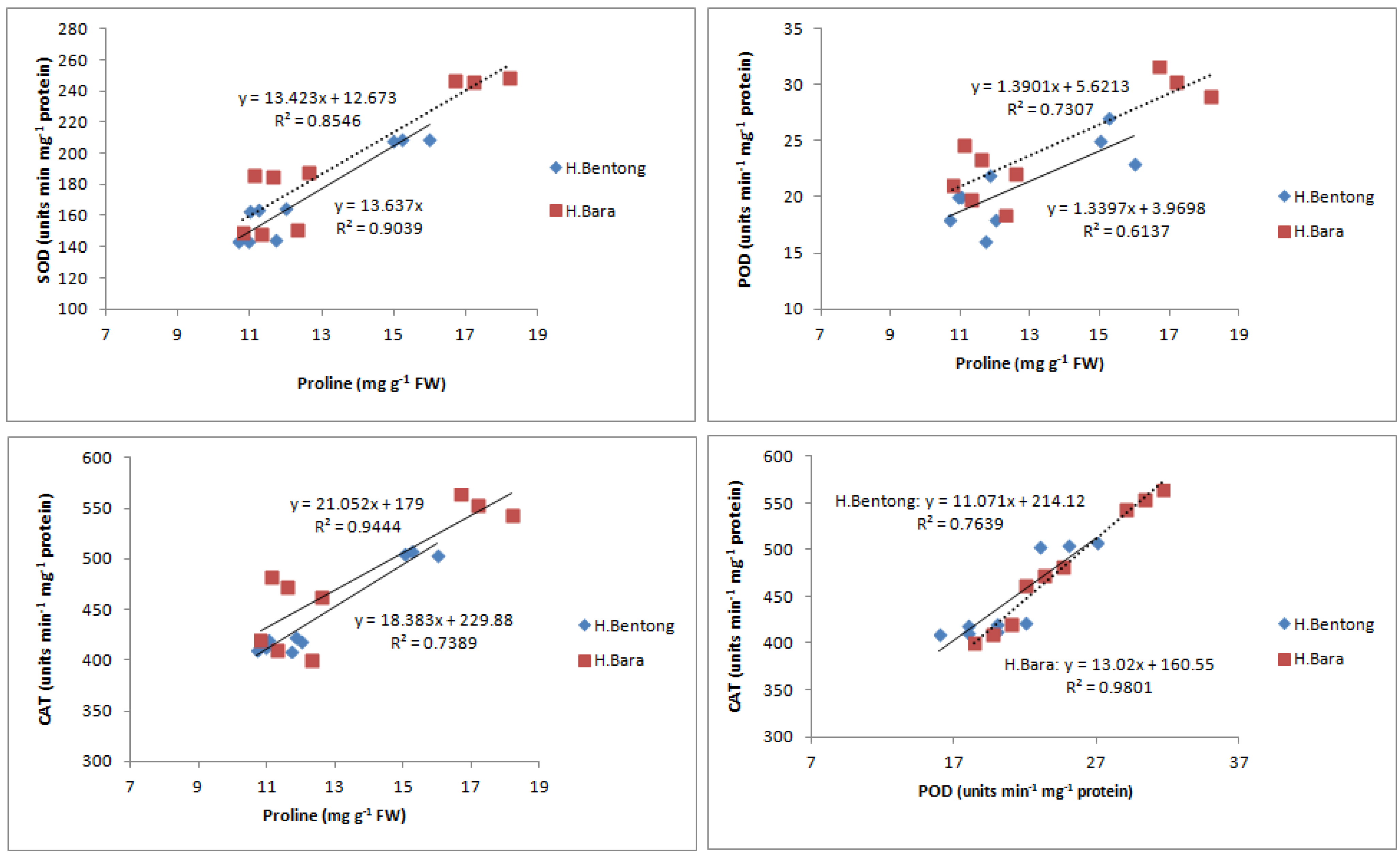
2.5. Antioxidant Enzyme Activities and Proline Content






3. Experimental
3.1. Plant Material and Cultivation
3.2. Photosynthetic Rate, Stomatal Conductance and Transpiration Measurements
3.3. Plant Biomass and Leaf Area Measurements
3.4. Chlorophyll Measurement
3.5. Nitrate Reductase Activity
3.6. Proline Determination
3.7. Antioxidant Enzyme Assays
3.8. Statistical Analysis
4. Conclusions
Acknowledgments
Conflicts of Interest
References
- Amanullah, M.M.; Sekar, S.; Vincent, S. Plant growth substances in crop production. Asian J. Plant Sci. 2010, 9, 215–222. [Google Scholar] [CrossRef]
- Ananieva, E.A.; Alexieva, V.S.; Popova, L.P. Treatment with salicylic acid decreases the effects of paraquat on photosynthesis. J. Plant Physiol. 2002, 159, 685–693. [Google Scholar] [CrossRef]
- Khodary, S.E.A. Effect of salicylic Acid on the growth, photosynthesis and carbohydrate metabolism in salt stressed maize plants. Int. J. Agric. Biol. 2004, 6, 5–8. [Google Scholar]
- Ghasemzadeh, A.; Jaafar, H.Z.E. Effect of salicylic acid application on biochemical changes in ginger (Zingiber officinale Roscoe). J. Med. Plant Res. 2012, 6, 790–795. [Google Scholar]
- Yordanova, R.; Popova, L. Effect of exogenous treatment with salicylic acid on photosynthesis activity and antioxidant capacity of chilled wheat. Gen. Appl. Plant Physiol. 2007, 33, 155–170. [Google Scholar]
- Shraiy, A.M.E.; Hegazi, A.M. Effect of acetylsalicylic acid, indole-3-bytric acid and gibberellic acid on plant growth and yield of pea (Pisum Sativum L.). Aust. J. Basic Appl. Sci. 2009, 3, 3514–3523. [Google Scholar]
- Hayat, S.; Fariduddin, Q.; Ali, B.; Ahmad, A. Effect of salicylic acid on growth and enzyme activities of wheat seedlings. Acta Agron. Hung. 2005, 53, 433–437. [Google Scholar] [CrossRef]
- Ghai, N.; Setia, R.C.; Setia, N. Effects of paclobutrazol and salicylic acid on chlorophyll content, hill activity and yield components in Brassica napus L. Phytomorphology 2002, 52, 83–87. [Google Scholar]
- Larqué-Saavedra, A. Stomatal closure in response to acetylsalicylic acid treatment. Z. Pflanzenphysiol. 1979, 93, 371–375. [Google Scholar]
- Larqué-Saavedra, A. The antitranspirant effect of acetylsalicylic acid on Phaseolus vulgaris L. Physiol. Plantarum 1978, 43, 126–128. [Google Scholar]
- Khan, W.; Prithviraj, B.; Smith, D.L. Photosynthetic responses of corn and soybean to foliar application of salicylates. J. Plant Physiol. 2003, 160, 485–492. [Google Scholar] [CrossRef]
- Kumar, P.; Lakshmi, N.J.; Mani, V.P. Interactive effects of salicylic acid and phytohormones on photosynthesis and grain yield of soybean (Glycine max L.). Physiol. Mol. Biol. Plants 2000, 6, 179–186. [Google Scholar]
- Pancheva, T.V.; Popova, L.P. Effect of salicylic acid on the synthesis of ribulose-1,5,-biphosphate carboxylase/oxygenase in barley leaves. J. Plant Physiol. 1998, 152, 381–386. [Google Scholar] [CrossRef]
- Fariduddin, Q.; Hayat, S.; Ahmad, A. Salicylic acid influences net photosynthetic rate, carboxylation efficiency, nitrate reductase activity and seed yield in Brassica junce. Photosynthetica 2003, 41, 281–284. [Google Scholar] [CrossRef]
- Alonso-Ramírez, A.; Rodríguez, D.; Reyes, D.; Jiménez, J.A.; Nicolás, G.; López-Climent, M.; Gómez-Cadenas, A.; Nicolás, C. Cross-talk between gibberellins and salicylic acid in early stress responses in Arabidopsis thaliana seeds. Plant Sign. Behav. 2009, 4, 750–751. [Google Scholar] [CrossRef]
- Clarke, S.M.; Mur, L.A.J.; Wood, J.E.; Scott, I.M. Salicylic acid dependent signaling promotes basal thermotolerance but is not essential for acquired thermotolerance in Arabidopsis thaliana. Plant J. 2004, 38, 432–447. [Google Scholar] [CrossRef]
- Rajjou, L.; Belghazi, M.; Huguet, R.; Robin, C.; Moreau, A.; Job, C.; Job, D. Proteomic investigation of the effect of salicylic acid on Arabidopsis seed germination and establishment of early defense mechanisms. Plant Physiol. 2006, 141, 910–923. [Google Scholar] [CrossRef]
- Fu, J.; Huang, B. Involvement of antioxidants and lipid peroxidation in the adaptation of two cool-season grasses to localized drought stress. Environ. Exp. Bot. 2001, 45, 105–114. [Google Scholar]
- Ozkur, O.; Ozdemir, F.; Bor, M.; Turkan, I. Physiochemical and antioxidant responses of the perennial xerophyte Capparis ovata Desf to drought. Environ. Exp. Bot. 2009, 66, 487–492. [Google Scholar] [CrossRef]
- Smirnoff, N. The role of active oxygen in the response of plants to water deficit and desiccation. New Phytol. 1993, 125, 27–58. [Google Scholar] [CrossRef]
- Yang, Y.; Han, C.; Liu, Q.; Lin, B.; Wang, J.W. Effect of drought and low light on growth and enzymatic antioxidant system of Picea asperata seedlings. Acta Physiol. Plant. 2008, 30, 433–440. [Google Scholar] [CrossRef]
- Wang, W.B.; Kim, Y.H.; Lee, H.S.; Kim, K.Y.; Deng, X.P.; Kwak, S.S. Analysis of antioxidant enzyme activity during germination of alfalfa under salt and drought stresses. Plant Physiol. Biochem. 2009, 47, 570–577. [Google Scholar] [CrossRef]
- Bassi, R.; Caffarri, S. Lhc proteins and the regulation of photosynthetic light harvesting function by xanthophylls. Photosynth. Res. 2000, 64, 243–256. [Google Scholar] [CrossRef]
- Munné-Bosch, S.; Peñuelas, J. Photo- and antioxidative protection during summer leaf senescence in Pistacia lentiscus L. grown under Mediterranean field conditions. Ann. Bot. 2003, 92, 385–391. [Google Scholar] [CrossRef]
- Ghasemzadeh, A.; Jaafar, H.Z.E. Anticancer and antioxidant activities of Malaysian young ginger (Zingiber officinale Roscoe) varieties grown under different CO2 concentration. J. Med. Plant Res. 2011, 5, 3247–3255. [Google Scholar]
- Ghasemzadeh, A.; Jaafar, H.Z.E. Effect of CO2 enrichment on some primary and secondary metabolites synthesis in ginger (Zingiber officinale Roscoe). Int. J. Mol. Sci. 2011, 12, 1101–1114. [Google Scholar] [CrossRef]
- Ghasemzadeh, A.; Jaafar, H.Z.E.; Rahmat, A. Synthesis of phenolics and flavonoids in ginger (Zingiber officinale Roscoe) and their effects on photosynthesis rate. Int. J. Mol. Sci. 2010, 11, 4539–4555. [Google Scholar] [CrossRef]
- Zhou, X.M.; Mackenzie, A.F.; Madramootoo, C.A.; Smith, D.L. Effects of stem-injected plant growth regulators, with or without sucrose, on grain production, biomass and photosynthetic activity of fieldgrown corn plan. J. Agron. Crop Sci. 1999, 183, 103–110. [Google Scholar]
- Nagasubramaniam, A.; Pathmanabhan, G.; Mallika, V. Studies on improving production potential of baby corn with foliar spray of plant growth regulators. Ann. Rev.Plant Physiol. Plant Mol. Biol. 2007, 21, 154–157. [Google Scholar]
- Jeyakumar, P.; Velu, G.; Rajendran, C.; Amutha, R.; Savery, M.A.J.R.; Chidambaram, S. Varied responses of black gram (Vigna mungo) to certain foliar applied chemicals and plant growth regulators. Legume Res. Int. J. 2008, 31, 110–113. [Google Scholar]
- Singh, B.; Usha, K. Salicylic acid induced physiological and biochemical changes in wheat seedlings under water stress. Plant Growth Regul. 2003, 39, 137–141. [Google Scholar] [CrossRef]
- Singh, S.P. Effect of non-auxinic chemicals on root formation in some ornamental plant cuttings. Adv. Hortic. For. 1993, 3, 207–210. [Google Scholar]
- Hampton, R.E.; Oosterhuis, D.M. Application of phenolic acids to manipulate boll distribution in cotton. Arkansas Farm Res. 1990, 39, 11–18. [Google Scholar]
- Pancheva, T.V.; Popova, L.P.; Uzunova, A.M. Effect of salicylic acid on growth and photosynthesis in barley plants. J. Plant Physiol. 1996, 149, 57–63. [Google Scholar] [CrossRef]
- Christianson, M.L.; Duffy, S.H. Dose-dependent effect of salicylates in a moss, Funaria hygrometrica. J. Plant Growth Regul. 2002, 21, 200–208. [Google Scholar] [CrossRef]
- Gunes, A.; Inal, A.; Alpaslam, M.; Erslan, F.; Bagsi, E.G.; Cicek, N. Salicylic acid induced changes on some physiological parameters symptomatic for oxidative stress and mineral nutrition in maize (Zea mays L.) grown under salinity. J. Plant Physiol. 2007, 164, 728–736. [Google Scholar] [CrossRef]
- Türkyılmaz, B.; Aktaş, L.Y.; Güven, A. Salicylic acid induced some biochemical and physiological changes in Phaseolus vulgaris L. Sci. Eng. J. Firat Univ. 2005, 17, 319–326. [Google Scholar]
- El-Tayeb, M.A. Response of barley grains to the interactive effect of salinity and salicylic acid. Plant Growth Regul. 2005, 45, 215–224. [Google Scholar]
- Majeau, N.; Coleman, J.R. Correlation of carbonic anhydrase and ribulose-1,5-bisphosphate carboxylase/oxygenase expression in pea. Plant Physiol. 1994, 104, 1393–1399. [Google Scholar]
- Okabe, H.; Miyahara, Y.; Yamauchi, T.; Miyahara, K.; Kawasaki, T. Studies on the constituents of Momordica charantia L. I. Isolation and characterization of momordicosides A and B, glycosides of a pentahydroxy-cucurbitane triterpene. Chem. Pharm. Bull. 1980, 28, 2753–2762. [Google Scholar] [CrossRef]
- Uzunova, A.N.; Popova, L.P. Effect of salicylic acid on leaf anatomy and chloroplast ultrastructure of barley plants. Photosynthetica 2000, 38, 243–250. [Google Scholar] [CrossRef]
- Hamilton, E.W.; Heckathorn, S.A. Mitochondrial adaptations to NaCI. Complex I is protected by anti-oxidants and small heat shock proteins, whereas complex II is protected by proline and betaine. Plant Physiol. 2001, 126, 1266–1274. [Google Scholar]
- Holmström, K.O.; Somersalo, S.; Mandal, A.; Palva, T.E.; Welin, B. Improved tolerance to salinityand low temperature in transgenic tobacco producing glycine betaine. J. Exp. Bot. 2000, 51, 177–185. [Google Scholar]
- Mäkelä, P.; Kärkkäinen, J.; Somersalo, S. Effect of glycinebetaine on chloroplast ultrastructure, chlorophyll and protein content, and RuBPCO activities in tomato grown under drought or salinit. Biol. Plantarum. 2000, 43, 471–475. [Google Scholar]
- Türkan, I.; Bor, M.; Özdemir, F.; Koca, H. Differential responses of lipid peroxidation and antioxidants in the leaves of drought-tolerant P. acutifolius Gray and drought-sensitive P. vulgaris L. subjected to polyethylene glycol mediated water stress. Plant Sci. 2005, 168, 223–231. [Google Scholar] [CrossRef]
- Ben Ahmed, C.; Ben Rouina, B.; Sensoy, S.; Boukhris, M.; Ben Abdallah, F. Changes in gas exchange, proline accumulation and antioxidative enzyme activities in three olive cultivars under contrasting water availability regimes. Environ. Exp. Bot. 2009, 67, 345–352. [Google Scholar] [CrossRef]
- Lichtenthaler, H.K.; Wellburn, A.R. Determinations of total carotenoids and chlorophylls a and b of leaf extracts in different solvents. Bioch. Soc. Trans. 1985, 11, 591–592. [Google Scholar]
- Hayat, Q.; Hayat, S.; Ali, B.; Ahmad, A. Auxin analogues and nitrogen metabolism, photosynthesis, and yield of chickpe. J. Plant Nutr. 2009, 32, 1469–1485. [Google Scholar]
- Claussen, W. Proline as a measure of stress in tomato plants. Plant Sci. 2005, 168, 241–248. [Google Scholar] [CrossRef]
- Sample Availability: Samples of the Halia Bentong and Halia Bara are available from the authors.
© 2013 by the authors; licensee MDPI, Basel, Switzerland. This article is an open access article distributed under the terms and conditions of the Creative Commons Attribution license (http://creativecommons.org/licenses/by/3.0/).
Share and Cite
Ghasemzadeh, A.; Jaafar, H.Z.E. Interactive Effect of Salicylic Acid on Some Physiological Features and Antioxidant Enzymes Activity in Ginger (Zingiber officinale Roscoe). Molecules 2013, 18, 5965-5979. https://doi.org/10.3390/molecules18055965
Ghasemzadeh A, Jaafar HZE. Interactive Effect of Salicylic Acid on Some Physiological Features and Antioxidant Enzymes Activity in Ginger (Zingiber officinale Roscoe). Molecules. 2013; 18(5):5965-5979. https://doi.org/10.3390/molecules18055965
Chicago/Turabian StyleGhasemzadeh, Ali, and Hawa Z. E. Jaafar. 2013. "Interactive Effect of Salicylic Acid on Some Physiological Features and Antioxidant Enzymes Activity in Ginger (Zingiber officinale Roscoe)" Molecules 18, no. 5: 5965-5979. https://doi.org/10.3390/molecules18055965
APA StyleGhasemzadeh, A., & Jaafar, H. Z. E. (2013). Interactive Effect of Salicylic Acid on Some Physiological Features and Antioxidant Enzymes Activity in Ginger (Zingiber officinale Roscoe). Molecules, 18(5), 5965-5979. https://doi.org/10.3390/molecules18055965
