Abstract
A series of thieno[2,3-b]thiophene moiety-containing bis-cyanopyrazoles 5a–c, bis-aminopyrazole 9 and bis-pyridazine derivatives 11 were synthesized and evaluated in vitro for their antimicrobial potential. The antimicrobial activity of some selected products was evaluated and showed good results. 5,5'-(3,4-Dimethylthieno[2,3-b]thiophene-2,5-diyl)bis(3-acetyl-1-(4-chlorophenyl)-1H-pyrazole-4-carbonitrile) (5d) was found to be more potent than the standard drug amphotericin B against Geotricum candidum and equipotent to amphotericin Bagainst Syncephalastrum racemosum. In addition, it was found to be equipotent to the standard drug Penicillin G against Staphylococcus aureus. Moreover, it was more potent than the standard drug streptomycin against Pseudomonas aeruginosa and Escherichia coli.
1. Introduction
Thieno[2,3-b]thiophenes possess important biological activities, including antiinflammatory [1,2], antimicrobial [3], analgesic [4] properties, antiproliferative activity [5], antagonism of α1 adrenoceptors [6] and prevention of cartilage destruction in articular diseases [7], In addition, thieno[2,3-b]thiophenes have shown useful reactivity as co-polymerization agents [8] and as semiconductors [9]. On the other hand, the synthesis of pyrazoles remains of great interest owing to their wide applications in the agrochemical and pharmaceutical industry due to their herbicidal, fungicidal, insecticidal, analgesic, antipyretic and anti-inflammatory properties [10,11]. Pyridazine compounds are also commonly used as anticancer [12], antituberculosis [13], antihypertensive [14], antifungal [15,16], or antimicrobial [17,18,19,20] agents, due to their intense biological activity. Encouraged by all these findings and in continuation of our ongoing research program investigating the utilisation of 3,3'-(3,4-dimethylthieno[2,3-b]thiophene-2,5-diyl)bis(3-oxopropanenitrile) (1) as a versatile and useful building block for the synthesis of a wide variety of bis-heterocyclic systems [21,22,23,24,25], we report in the present work an efficient and rapid method for the synthesis of a series of bis-cyanopyrazole, bis-aminopyrazole and bis-pyridazine derivatives containing thieno[2,3-b]thiophene as a base unit.
2. Results and Discussion
2.1. Chemistry
Treatment of 3,3'-(3,4-dimethylthieno[2,3-b]thiophene-2,5-diyl)bis(3-oxopropanenitrile) (1) [21] with hydrazonoyl chloride 2a [26] in ethanolic sodium ethoxide solution at room temperature furnished a single product, for which the two possible structures 5a and 6a can be envisaged (Scheme 1), but elemental analyses and spectral data were in complete accordance with the bis-cyanopyrazole structure 5a. The IR spectrum of compound 5a revealed the absence of amino and carbonyl bands. Its 1H-NMR spectrum revealed a singlet signal at δ 2.3 corresponding to methyl protons, in addition to aromatic multiplet protons in the δ 7.46–8.0 region. Moreover, the mass spectrum of product 5a exhibited a molecular ion peak at m/z 654. Prompted by the foregoing results and to generalize this finding we also studied the reaction of the thieno[2,3-b]thiophene 1 with other hydrazonoyl chlorides 2b [27] or 2c,d [28] or 2e–g [29] under the same experimental conditions and thus obtained the respective bis-cyanopyrazole derivatives 5b,c. The structure of the isolated products 5b–g were established from their elemental analyses and spectral data (see Experimental).
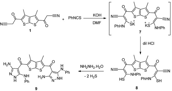
Treatment of the thieno[2,3-b]thiophene 1 with phenyl isothiocyanate, in dimethylformamide, and in the presence of potassium hydroxide, at room temperature, followed by treatment with dilute hydrochloric acid, afforded a yellow-colored product identified 2-cyano-3-mercapto-3-(phenylamino)acryloyl)-3,4-dimethylthieno[2,3-b]thiophene-2-carbonyl)-3-mercapto-3-(phenylamino) acrylonitrile (8) (Scheme 2).
The structure of the latter product was confirmed on the basis of its elemental analysis and spectral data. The IR spectrum of compound 8 showed absorption bands at 3411, 2207 and 1714 cm−1 corresponding to NH, nitrile and carbonyl groups, respectively. Its 1H-NMR spectrum revealed a singlet signal at δ 2.49 and two D2O-exchangeable signals at δ 7.07 and 14.07 due to methyl, NH, and SH protons, respectively, in addition to aromatic multiplet protons in the δ 7.29–8.02 region. Refluxing of the thieno[2,3-b]thiophene 8 with hydrazine hydrate afforded bis-aminopyrazole 9.
Scheme 1.
Synthesis of bis-cyanopyrazole derivatives 5a–g.
Scheme 1.
Synthesis of bis-cyanopyrazole derivatives 5a–g.

Scheme 2.
Synthesis of thieno[2,3-b]thiophene 8 and bis-aminopyrazole 9.
Scheme 2.
Synthesis of thieno[2,3-b]thiophene 8 and bis-aminopyrazole 9.

The 1H-NMR spectrum of 9 revealed the absence of SH proton and showed a singlet signal at δ 2.49 and two D2O-exchangeable signals at δ 4.55 and at δ 7.93 corresponding to methyl, NH2, and NH proton, respectively, in addition to aromatic multiplet protons in the region δ 7.31–7.45.
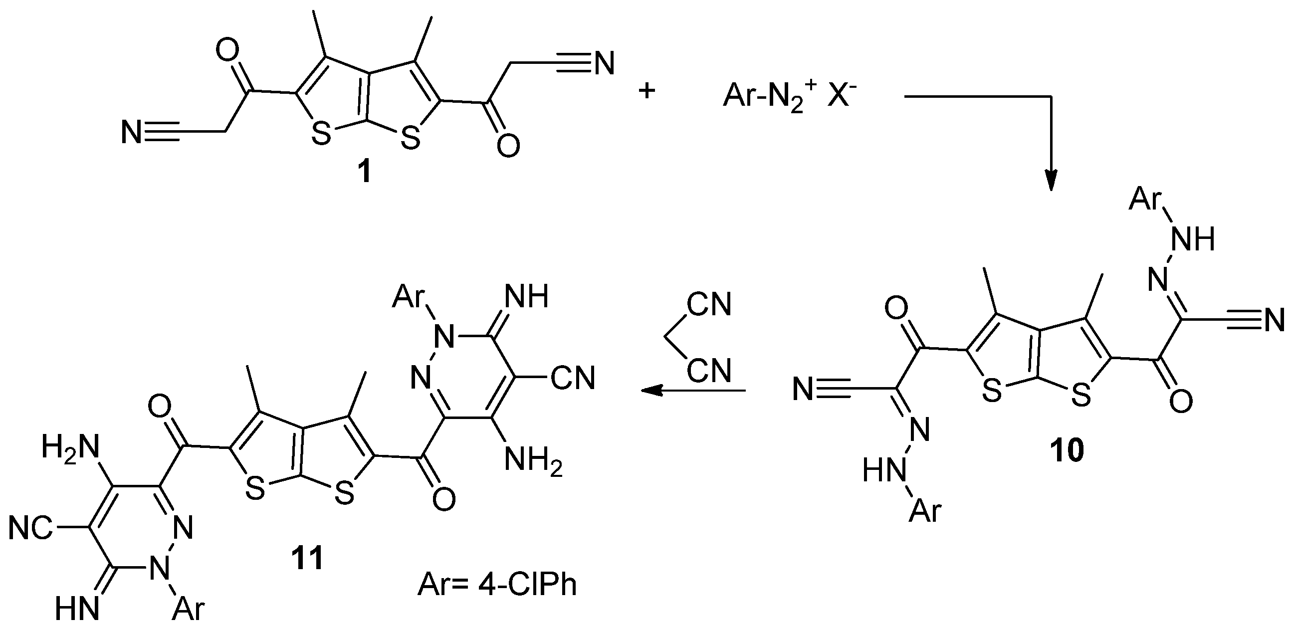
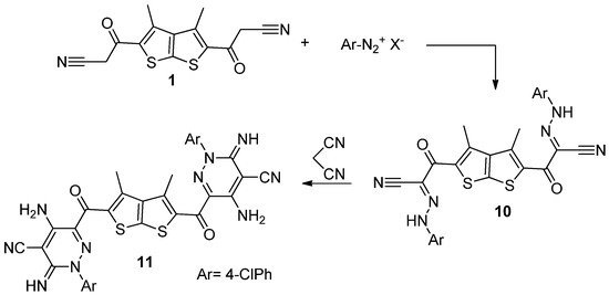
Treatment of hydrazone 10 [21] with malononitrile in DMF, afforded bis-pyridazine 11 (Scheme 3). The structure of the latter product was established on the basis of its elemental analysis and spectral data. For example, its IR spectrum revealed two absorption band at v = 1651, 2214 cm−1, assignable to carbonyl and nitrile groups, in addition to bands at v = 3175–3410 cm−1 due to NH2 and NH. Its 1H-NMR spectrum showed two singlet signals at δ 2.49 ppm due to methyl groups, and two signals (D2O-exchangeable) at δ 4.1 and 7.48 ppm assignable to NH2, and NH protons, respectively. Moreover, the mass spectrum of the product 11 exhibited a molecular ion peak at m/z 711.
Scheme 3.
Synthesis of bis-pyridazine 11.
Scheme 3.
Synthesis of bis-pyridazine 11.

2.2. Antimicrobial Evaluation
The newly synthesized target compounds 5b,c and 11 were evaluated for their in vitro antibacterial activity against Streptococcus pneumoniae and Bacillis subtilis as examples of Gram-positive bacteria and Pseudomonas aeruginosa and Escherichia coli as examples of Gram-negative bacteria. They were also evaluated for their in vitro antifungal potential against the fungal strains Aspergillus fumigatus, Syncephalastrum racemosum, Geotricum candidum and Candida albicans. The organisms were tested against the activity of solutions of concentrations (5 μg/mL) and using inhibition zone diameter (IZD) in mm as criterion for the antimicrobial activity (agar diffusion method). The fungicide amphotericin B and the bactericides penicillin G and streptomycin were used as references to evaluate the potency of the tested compounds under the same conditions. The results are summarized in Table 1 and Table 2, Figure 1 and Figure 2.
Table 1.
Antifungal activities of the synthesized compounds 5c,d and 11.
| Compound Tested | Micoorganisms | |||
|---|---|---|---|---|
| Aspergillus Fumigatus | Geotrichum Candidum | Candida albicans | Syncephalastrum racemosum | |
| 5c | 17.3 ± 0.4 | 21.3 ± 0.4 | NA | 14.8 ± 0 |
| 5d | 22.4 ± 0.5 | 29.7 ± 0.2 | NA | 19.8 ± 0.8 |
| 11 | 18.9 ± 0.3 | 23.4 ± 0.4 | NA | 16.5 ± 0.2 |
| Amphotericin B | 23.7 ± 0.1 | 28.7 ± 0.2 | 25.4 ± 0.1 | 19.7 ± 0.2 |
NA: No activity, data are expressed in the form of mean ± SD.
Table 2.
Antibacterial activities of the synthesized compounds 5c,d and 11.
| Compound Tested | Gram-Positive Bacteria | Gram-Negative Bacteria | ||
|---|---|---|---|---|
| S. aureus | B. subtilis | P. aeruginosa | E. coli | |
| 5c | 18.6 ± 0.3 | 20.9 ± 0.5 | 17.4 ± 0.2 | 20.3 ± 0.4 |
| 5d | 23.8 ± 0.5 | 27.4 ± 0.6 | 20.7 ± 0.2 | 26.8 ± 0.2 |
| 11 | 20.4 ± 0.4 | 23.1 ± 0.2 | 19.6 ± 0.1 | 22.2 ± 0.5 |
| Penicillin G | 23.8 ± 0.2 | 32.4 ± 0.3 | - | - |
| Streptomycin | - | - | 20.3 ± 0.1 | 24.9 ± 0.3 |
NA: No activity, data are expressed in the form of mean ± SD. Mean zone of inhibition in mm ± Standard deviation beyond well diameter (6 mm) produced on a range of environmental and clinically pathogenic microorganisms using (5 mg/mL) concentration of tested samples.
Figure 1.
Antifungal activities of the synthesized compounds 5c,d and 11 against micoorganisms—1. Aspergillus fumgatus; 2. Geotrichum candidum; 3. Candida albicans; 4. Syncephalastrum racemosum.
Figure 1.
Antifungal activities of the synthesized compounds 5c,d and 11 against micoorganisms—1. Aspergillus fumgatus; 2. Geotrichum candidum; 3. Candida albicans; 4. Syncephalastrum racemosum.

Figure 2.
Antibacterial activities of the synthesized compounds 5c,d and 11 against micoorganisms—1. Staphylococcus aureus; 2. Bacillis subtilis; 3. Pseudomonas aeruginosa; 4. Escherichia coli.
Figure 2.
Antibacterial activities of the synthesized compounds 5c,d and 11 against micoorganisms—1. Staphylococcus aureus; 2. Bacillis subtilis; 3. Pseudomonas aeruginosa; 4. Escherichia coli.

The results in Table 1 revealed that 5,5'-(3,4-dimethylthieno[2,3-b]thiophene-2,5-diyl)bis(3-acetyl-1-(4-chlorophenyl)-1H-pyrazole-4-carbonitrile) (5d) was found to be more potent than the standard drug Amphotericin B against Geotricum candidum. Also, it was equipotent to the standard drug, amphotericin B against Syncephalastrum racemosum. In addition, it was found to be equipotent to the standard drug penicillin G against Staphylococcus aureus. Moreover, it was more potent than the standard drug streptomycin against Pseudomonas aeruginosa and Escherichia coli. All compounds exhibited almost no activity against Candida albicans. The structure antimicrobial activity relationship of the synthesized compounds 5c and 5d revealed that the maximum activity was attained with compound 5d, having a pyrazole nucleus with chloro substituent in the phenyl group.
3. Experimental
All melting points were measured on a Gallenkamp melting point apparatus (Weiss-Gallenkamp, London, UK). The infrared spectra were recorded in potassium bromide disks on a pye Unicam SP 3300 and Shimadzu FT IR 8101 PC infrared spectrophotometers (Pye Unicam Ltd. Cambridge, England and Shimadzu, Tokyo, Japan, respectively). The NMR spectra were recorded on a Bruker VX-500 NMR spectrometer (Varian, Palo Alto, CA, USA). 1H-NMR spectra were run at 500 MHz and 13C-NMR spectra were run at 125 MHz in deuterated dimethylsulphoxide (DMSO-d6). Chemical shifts were related to that of the solvent. Mass spectra were recorded on a Shimadzu GCMS-QP 1000 EX mass spectrometer at 70 e.V. Elemental analyses were carried out at the Micro-analytical Center of Cairo University, Giza, Egypt. The biological evaluation of the products 5c,d and 11 were carried out in the Medical Mycology Laboratory of the Regional Center for Mycology and Biotechnology of Al-Azhar University, Cairo, Egypt. Thieno[2,3-b]thiophene 1 [21], hydrazonoyl chlorides 2a [26], 2b [27], 2c,d [28], 2e–g [29], and hydrazone 10 [21] were prepared following the literature procedures.
3.1. Reaction of Thieno[2,3-b]thiophene 1 with Hydrazonoyl Halides
General Procedure
Thieno[2,3-b]thiophene 1 (0.3 g, 1 mmol) was added to an ethanolic sodium ethoxide solution [prepared from sodium metal (46 mg, 2 mmol) and absolute ethanol (20 mL)] with stirring. After stirring the resulting solution for 15 min, the appropriate hydrazonoyl halide 2a–g (2 mmol) was added portionwise and the reaction mixture was stirred further for 12 h at room temperature. The solid that formed was filtered off, washed with water and dried. Recrystallization from the proper solvent afforded the corresponding pyrazole derivatives 5a–g in 45–55% yields.
5,5'-(3,4-Dimethylthieno[2,3-b]thiophene-2,5-diyl)bis(1,3-diphenyl-1H-pyrazole-4-carbonitrile) (5a). Yield 48%, mp > 300 °C (DMF/EtOH); IR (KBr) v max: 2226 (C≡N), 2909 (aliphatic CH) cm−1; 1H-NMR: δ 2.3 (s, 6H, 2CH3), 7.46–8.0 (m, 20H, ArH); 13C-NMR: δ 13.88, 93.26, 114.24, 115.42, 122.91, 125.08, 126.46, 129.21, 129.49, 129.92, 133.65, 138.08, 140.27, 142.54, 144.54, 146.09, 152.23. MS m/z (%) 657 (11.64), 656 (30.71), 655 (M+, 60.86), 654 (63.43), 637 (5.22), 620 (5.82), 619 (6.42), 166 (26.18), 77 (87.63). Anal. Calcd for C40H26N6S2 (654.80): C, 73.37; H, 4.00; N, 12.83; S, 9.79. Found: C, 73.28; H, 4.10; N, 12.77; S, 9.67%.
5,5'-(3,4-Dimethylthieno[2,3-b]thiophene-2,5-diyl)bis(3-acetyl-1-phenyl-1H-pyrazole-4-carbonitrile) (5b). Yield 45%, mp > 300 °C (DMF/EtOH); IR (KBr) v max: 1680 (C=O), 2226 (C≡N), 2915 (aliphatic CH) cm−1; 1H-NMR: δ 2.16 (s, 6H, 2CH3), 2.30 (s, 6H, 2CH3), 7.46–7.98 (m, 10H, ArH); MS m/z (%) 587 (M+, 12.82), 585 (82.77), 464 (33.57), 166 (26.18), 77 (87.63). Anal. Calcd for C32H22N6O2S2 (586.69): C, 65.51; H, 3.78; N, 14.32; S, 10.93. Found: C, 65.62; H, 3.85; N, 14.44 S, 11.03%.
5,5'-(3,4-Dimethylthieno[2,3-b]thiophene-2,5-diyl)bis(3-acetyl-1-p-tolyl-1H-pyrazole-4-carbonitrile) (5c). Yield 45%, mp > 300 °C (DMF/EtOH); IR (KBr) v max: 1680 (C=O), 2226 (C≡N), 2915 (aliphatic CH) cm−1; 1H-NMR: δ 2.16 (s, 6H, 2CH3), 2.30 (s, 6H, 2CH3), 2.79 (s, 6H, 2CH3); 7.46–7.98 (m, 8H, ArH); MS m/z (%) 615 (M+, 18.25), 192 (47.53) 166 (26.18). Anal. Calcd for C34H26N6O2S2 (614.74): C, 66.43; H, 4.26; N, 13.67; S, 10.43. Found: C, 66.52; H, 4.36; N, 13.58; S, 10.23%.
5,5'-(3,4-Dimethylthieno[2,3-b]thiophene-2,5-diyl)bis(3-acetyl-1-(4-chlorophenyl)-1H-pyrazole-4-carbonitrile) (5d). Yield 75%, mp > 300 °C (DMF/EtOH); IR (KBr) v max: 1680 (C=O), 2230 (C≡N), 2990 (aliphatic CH) cm−1; 1H-NMR: δ 2.16 (s, 6H, 2CH3), 2.30 (s, 6H, 2CH3), 7.46–7.98 (m, 8H, ArH); MS m/z (%) 655 (M+, 8.25), 192 (47.53) 166 (26.18). Anal. Calcd for C32H20Cl2N6O2S2 (655.58): C, 58.63; H, 3.07; N, 12.82; Cl, 10.82; S, 9.78. Found: C, 58.72; H, 3.16; N, 12.77; Cl, 10.67; S, 9.93%.
Diethyl 5,5'-(3,4-dimethylthieno[2,3-b]thiophene-2,5-diyl)bis(4-cyano-1-phenyl-1H-pyrazole-3-carboxylate) (5e). Yield 43%, mp > 300 °C (DMF/EtOH); IR (KBr) v max: 1680 (C=O), 2230 (C≡N), 2980 (aliphatic CH) cm−1; 1H-NMR: δ 1.16 (t, 6H, 2CH3), 2.30 (s, 6H, 2CH3), 4.23 (q, 4H, 2CH2), 7.46–7.98 (m, 10H, ArH); MS m/z (%) 647 (M+, 17.66), 648 (M++1, 44.79), 192 (47.53) 166 (26.18), 77 (87.63). Anal. Calcd for C34H26N6O4S2 (646.74): C, 63.14; H, 4.05; N, 12.99; S, 9.92. Found: C, 63.25; H, 4.13; N, 12.83; S, 10.00%.
Diethyl 5,5'-(3,4-dimethylthieno[2,3-b]thiophene-2,5-diyl)bis(4-cyano-1-p-tolyl-1H-pyrazole-3-carboxylate) (5f). Yield 77%, mp > 300 °C (DMF/EtOH); IR (KBr) v max: 1680 (C=O), 2230 (C≡N), 3000 (aliphatic CH) cm−1; 1H-NMR: δ 1.16 (t, 6H, 2CH3), 2.30 (s, 6H, 2CH3), 2.78 (s, 6H, 2CH3), 4.23 (q, 4H, 2CH2), 7.46–7.98 (m, 8H, ArH); MS m/z (%) 676 (33.77), 675 (M+, 24.71), 192 (47.53) 166 (26.18). Anal. Calcd for C36H30N6O4S2 (674.79): C, 64.08; H, 4.48; N, 12.45; S, 9.50. Found: C, 64.18; H, 4.37; N, 12.38; S, 9.37%.
Diethyl 5,5'-(3,4-dimethylthieno[2,3-b]thiophene-2,5-diyl)bis(1-(4-chlorophenyl)-4-cyano-1H-pyrazole-3-carboxylate) (5g). Yield 56%, mp > 300 °C (DMF/EtOH); IR (KBr) v max: 1680 (C=O), 2230 (C≡N), 2980 (aliphatic CH) cm−1; 1H-NMR: δ 1.16 (t, 6H, 2CH3), 2.30 (s, 6H, 2CH3), 4.23 (q, 4H, 2CH2), 7.46–7.98 (m, 8H, ArH); MS m/z (%) 715 (M+, 16.95), 112 (18.34), 111 (49.94). Anal. Calcd for C34H24Cl2N6O4S2 (715.63): C, 57.06; H, 3.38; Cl, 9.91; N, 11.74; S, 8.96. Found: C, 57.18; H, 3.29; Cl, 9.91; N, 11.83; S, 9.85%.
2-Cyano-3-mercapto-3-(phenylamino)acryloyl)-3,4-dimethylthieno[2,3-b]thiophene-2-carbonyl)-3-mercapto-3-(phenylamino)acrylonitrile (8). To a stirred solution of potassium hydroxide (0.11 g, 2 mmol) in DMF (20 mL) was added thieno[2,3-b]thiophene 1 (0.3 g, 1 mmol). After stirring for 30 min, phenyl isothiocyanate (0.27 g, 0.24 mL, 2 mmol) was added to the resulting mixture and stirring was continued for 6 h, then poured onto curshed ice containing hydrochloric acid. The formed solid product was filtered off, washed with water, dried and finally recrystallized from dioxane/ EtOH mixture to afford compound 8 in 82% yield, mp 233–234 °C; IR (KBr) v 3411 (NH), 2207 (C≡N), 1714 (C=O) cm−1; 1H-NMR: δ 2.49 (s, 6H, 2CH3), 7.07 (s, 2H, D2O-exchangeable 2NH), 7.29–8.02 (m, 10H, ArH), 14.07 (s, 1H, D2O-exchangeable SH). MS m/z (%) (M+, not detected), 353 (7.19), 203 (6.36), 166 (6.51), 92 (15.64), 77 (71.78). Anal. Calcd for C28H20N4O2S4 (572.74): C, 58.72; H, 3.52; N, 9.78; S, 22.39. Found: C, 58.66; H, 3.61; N, 9.88; S, 22.24%.
Synthesis of 3,4-dimethylthieno[2,3-b]thiophene-2,5-diyl)bis((3-amino-5-(phenylamino)-1H-pyrazol-4-yl)methanone) (9). A mixture of compound 8 (0.572 g, 1 mmol) and hydrazine hydrate 98% (2 mmol) were heated on a steam bath for 1h, then left to cool. The reaction mixture was triturated with ethanol and the resulting solid product was filtered off and recrystalized from DMF/ethanol to give bis-pyrazole 9 in 48% yield, mp > 300 °C; IR (KBr) v 3400 (NH), 3465 (NH), 1714 (C=O) cm−1; 1H-NMR: δ 2.49 (s, 6H, 2CH3), 4.55 (s, 4H, D2O-exchangeable 2NH2), 7.26 (s, 2H, D2O-exchangeable 2NH), 7.93 (s, 2H, D2O-exchangeable 2NH), 7.31–7.45 (m, 10H, ArH). Anal. Calcd for C28H24N8O2S2 (568.67): C, 59.14; H, 4.25; N, 19.70; S, 11.28. Found: C, 59.22; H, 4.34; N, 19.61; S, 11.33%.
3.2. Reaction of Hydrazone 10 with Malononitrile
To an ethanolic solution of hydrazone 10 (0.58 g, 1 mmol) and malononitrile (0.132 g, 2 mmol) was added few drops of piperidine and the reaction mixture was refluxed for 4 h. The solid product was collected by filtration, washed with ethanol and purified by crystallisation from DMF to afford the bis-pyridazine 11 in 66% yield, mp 208–209 °C; IR (KBr) v 3175, 3244 (NH2), 3333 (NH) 2214 (C≡N), 1651 (C=O) cm−1; 1H-NMR (DMSO-d6): δ 2.49 (s, 6H, 2CH3), 4.1 (s, 4H, D2O-exchangeable 2NH2), 7.31–7.48 (m, 10H, ArH + 2NH); MS m/z (%) 711 (M+, 30.38), 710 (38.26), 272 (34.65), 244 (21.45), 111 (20.70) . Anal. Calcd for C32H20Cl2N10O2S2 (711.60): C, 54.01; H, 2.83; N, 19.68; Cl, 9.96; S, 9.01. Found: C, 54.15; H, 2.78; N, 19.59; Cl, 9.95; S, 8.98%.
4. Conclusions
A novel series of bis-cyanopyrazole, bis-aminopyrazole and bis-pyridazine derivatives with thieno[2,3-b]thiophene moieties were synthesized and evaluated for their antimicrobial activities. In general, most of the tested compounds was found to be equipotent or more potent than the standard drugs.
Acknowledgments
The authors extend their appreciation to the Deanship of Scientific Research at King Saud University for funding this work through the research group project No. RGP-VPP-007.
References
- El-Kerdawy, M.M.; Yousif, M.Y.; El-Emam, A.A.; Moustafa, M.A.; El-Sherbeny, M.A. Synthesis and antiinflammatory activity of certain thienopyrimidine derivatives. Boll. Chim. Farm. 1996, 135, 301–305. [Google Scholar]
- Modica, M.; Santagati, M.; Santagati, A.; Cutuli, V.; Mangano, N.; Caruso, A. Synthesis of new [1,3,4]thiadiazolo[3,2-a]thieno[2,3-d]pyrimidinone derivatives with antiinflammatory activity. Pharmazie 2000, 55, 500–502. [Google Scholar]
- Chambhare, R.V.; Khadse, B.G.; Bobde, A.S.; Bahekar, R.H. Synthesis and preliminary evaluation of some N-[5-(2-furanyl)-2-methyl-4-oxo-4H-thieno[2,3-d]pyrimidin-3-yl]-carboxamide and 3-substituted-5-(2-furanyl)-2-methyl-3H-thieno[2,3-d]pyrimidin-4-ones asantimicrobial agents. Eur. J. Med. Chem. 2003, 38, 89–100. [Google Scholar] [CrossRef]
- Santagati, N.A.; Caruso, A.; Cutuli, V.M.; Caccamo, F. Synthsis and phamacological evaluation of thieno[2,3-d]pyrimidin-2,4-dione and 5H-pyrimido[5,4-b]indol-2,4-dione derivatives. Farmaco 1995, 50, 689–695. [Google Scholar]
- Egbertson, M.S.; Cook, J.J.; Bednar, B.; Prugh, J.D.; Bednar, R.A.; Gaul, S.L.; Gould, R.J.; Hartman, G.D.; Homnick, C.F.; Holahan, M.A.; et al. Non-peptide GPIIb/IIIa inhibitors. 20. Centrally constrained thienothiophene alpha-sulfonamides are potent, long acting in vivo inhibitors of platelet aggregation. J. Med. Chem. 1999, 42, 2409–2421. [Google Scholar] [CrossRef]
- Meyer, M.D.; Altenbach, R.J.; Basha, F.Z.; Carroll, W.A.; Condon, S.; Elmore, S.W.; Kerwin, J.F.; Sippy, K.B.; Tietje, K.; Wendt, M.D.; et al. Structure-activity studies for a novel series of tricyclic substituted hexahydrobenz[e]isoindole α1A adrenoceptor antagonists as potential agents for the symptomatic treatment of benign prostatic hyperplasia (BPH). J. Med. Chem. 2000, 43, 1586–1603. [Google Scholar] [CrossRef]
- Cardile, A.P.V.; Santagati, A.; Gentile, B. Thienopyrimidine derivatives prevent cartilage destruction in articular disease. Farmaco 2001, 56, 959–964. [Google Scholar] [CrossRef]
- Lee, K.; Sotzing, G.A. Poly(thieno[3,4-b]thiophene). A new stable low band gap conducting polymer. Macromolecules 2001, 34, 5746–5747. [Google Scholar] [CrossRef]
- Heeney, M.; Bailey, C.; Genevicius, K.; Shkunov, M.; Sparrowe, D.; Tierney, S.; McCulloch, U. Stable polythiophene semiconductors incorporating thieno[2,3-b]thiophene. J. Am. Chem. Soc. 2005, 127, 1078–1079. [Google Scholar] [CrossRef]
- Elguero, J. Comprehensive Heterocyclic Chemistry; Katritzky, A., Ed.; Pergamon Press: Oxford, UK, 1984; Volume 5, p. 277. [Google Scholar]
- Elguero, J. Comprehensive Heterocyclic Chemistry; Shintai, I., Ed.; Elsevier: Oxford, UK, 1986; Volume 5, p. 3. [Google Scholar]
- Butnariu, R.M.; Caprosu, M.D.; Bejan, V.; Angalagiu, I.I.; Ungureanu, M.; Poiata, A.; Tuchilus, C.; Florescu, M. Pyridazine and phthalazine derivatives with potential antimicrobial activity. J. Heterocycl. Chem. 2007, 44, 1149–1152. [Google Scholar] [CrossRef]
- Caprosu, M.; Butnariu, R.; Mangalagiu, I.I. Synthesis and antimicrobial activity of some new pyridazine derivatives. Heterocycles 2005, 65, 1871–1879. [Google Scholar] [CrossRef]
- Dima, S.; Caprosu, M.; Ungureanu, M.; Grosu, G.; Petrovanu, M. New derivatives of 1-methyl-phthalazine with antimicrobial and fungistatic action. Ann. Pharm. Fr. 1999, 5, 415–416. [Google Scholar]
- Dodge, D. Herbicides and Plant Metabolism; Cambridge University Press: Cambridge, UK, 1989; p. 114. [Google Scholar]
- Drochioiu, G.; Sunel, V.; Oniscu, C.; Basu, C.; Murariu, M. The breakdown of plant biostructure followed by amino acids determination. Roum. Biotechnol. Lett. 2001, 6, 155–165. [Google Scholar]
- Drochioiu, G.; Strajeriu, S.; Petrovanu, M.; Druta, I. Plant genetic resources newsletter. 2002, 129, 47–51. [Google Scholar]
- Druta, I.; Cuciac, C.; Danac, R.; Avram, E.; Rotaru, A.; Drochioiu, G. The phytotoxic effect of some new monoquaternary salts of 4,4'-bipyridyl and 1,10-phenanthroline. Pak. J. Appl. Sci. 2002, 2, 145–150. [Google Scholar] [CrossRef]
- Druta, I.; Danac, R.; Ungureanu, M.; Drochioiu, G. Antimicrobial activity of new derivatives of 1,10-phenanthroline, Ann. Pharm. Fr. 2002, 60, 348–351. [Google Scholar]
- Gokçe, M.; Dogruer, D.; Sahin, M.F. Synthesis and antinociceptive activity of 6-substituted-3-pyridazinone derivatives. Farmaco 2001, 56, 233–237. [Google Scholar] [CrossRef]
- Mabkhoot, Y.N. Synthesis and analysis of some bis-heterocyclic compounds containing sulphur. Molecules 2009, 14, 1904–1914. [Google Scholar] [CrossRef]
- Mabkhoot, Y.N.; Kheder, N.A.; Al-Majid, A.M. Facile and convenient synthesis of new thieno[2,3-b]thiophene derivatives. Molecules 2010, 15, 9418–9426. [Google Scholar] [CrossRef]
- Kheder, N.A.; Mabkhoot, Y.N.; Farag, A.M. Synthesis and antimicrobial evaluation of some bis(thioxopyridine), bis(pyrazolo[3,4-b]pyridine), bis(thieno[2,3-b]pyridine), bis(1,3,4-thiadiazole) and bis(thiophene) derivatives. Heterocycles 2008, 75, 2937–2948. [Google Scholar] [CrossRef]
- Kheder, N.A. Convenient synthesis of novel bis(hydrazone) and bis(indole) derivatives. Heterocycles 2009, 78, 1281–1288. [Google Scholar] [CrossRef]
- Kheder, N.A. Synthesis of some novel bis(pyrazole), bis(pyridine) and bis pyrazolo[5,1-c]-1,2,4-triazine derivatives. Heterocycles 2009, 78, 1815–1822. [Google Scholar] [CrossRef]
- Wolkoff, P. A new method of preparing hydrazonyl halides. Can. J. Chem. 1975, 53, 1333–1335. [Google Scholar] [CrossRef]
- Dieckmann, W.; Platz, L. By a new methode of formation of Osotetrazonen. Chem. Ber. 1905, 38, 2986–2990. [Google Scholar] [CrossRef]
- Eweiss, N.F.; Osman, A. Synthesis of heterocycles. Part II. New routes to acetyl thiadiazolines and alkylazothiazoles. J. Heterocycl. Chem. 1980, 17, 1713–1717. [Google Scholar] [CrossRef]
- Shawali, A.S.; Eweiss, N.F.; Hassaneen, H.M.; Al-gharib, M.S. Synthesis and rearrangement of ethyl aryloxyglyoxalate arylhydrazones. Bull. Chem. Soc. Jpn. 1975, 48, 365–366. [Google Scholar] [CrossRef]
- Sample Availability: Samples of the compounds 5–11 are available from the authors.
© 2013 by the authors; licensee MDPI, Basel, Switzerland. This article is an open access article distributed under the terms and conditions of the Creative Commons Attribution license (http://creativecommons.org/licenses/by/3.0/).