Neglschisandrins E–F: Two New Lignans and Related Cytotoxic Lignans from Schisandra neglecta
Abstract
:1. Introduction

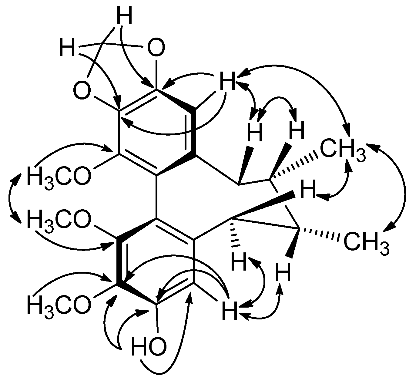
2. Results and Discussion
| 1 | 2 | |||
|---|---|---|---|---|
| Position | δC | δH | δC | δH |
| S | ||||
| 1 | 150.3 (s) | - | 152.3 (s) | - |
| 2 | 137.4 (s) | - | 139.9 (s) | - |
| 3 | 148.8 (s) | - | 152.6 (s) | - |
| 4 | 110.2 (d) | 6.63 (s) | 106.3 (d) | 6.38 (s) |
| 5 | 140.3 (s) | - | 136.5 (s) | - |
| 6 | 35.1 (t) | 2.25 (dd, J = 9.6,13.0) | 125.3 (t) | 6.20 (s) |
| 2.01 (d, J = 13.0) | - | |||
| 7 | 40.9 (d) | 1.79 (m) | 142.2 (s) | - |
| 8 | 33.8 (d) | 1.88 (m) | 34.2 (d) | 2.79 (m) |
| 9 | 38.9 (t) | 2.55 (dd, J = 13.6,7.4) | 42.9 (t) | 3.10 (dd, J = 9,15.1) |
| 2.45 (dd, J = 13.6,1.5) | 2.38 (dd, J = 10.0,15.1) | |||
| 10 | 132.7 (s) | - | 135.3 (s) | - |
| 11 | 106.2 (d) | 6.49 (s) | 111.5 (d) | 6.57 (s) |
| 12 | 147.7 (s) | - | 151.6 (s) | - |
| 13 | 135.1 (s) | - | 139.3 (s) | - |
| 14 | 141.3 (s) | - | 142.5 (s) | - |
| 15 | 122.5 (s) | - | 124.1 (s) | - |
| 16 | 121.3 (s) | - | 122.1 (s) | - |
| 17 | 21.8 (q) | 0.97 (d, J = 7.1) | 18.9 (q) | 1.63 (s) |
| 18 | 12.4 (q) | 0.73 (d, J = 7.1) | 19.4 (q) | 1.03 (d, J = 6.9) |
| MeO-C (1) | 60.1 (q) | 3.50 (s) | 60.7 (q) | 3.61 (s) |
| MeO-C (2) | 61.0 (q) | 3.93 (s) | 60.8 (q) | 3.84 (s) |
| MeO-C (3) | - | - | 55.9 (q) | 3.83 (s) |
| MeO-C (12) | - | - | 55.9 (q) | 3.88 (s) |
| MeO-C (13) | - | - | 60.7 (q) | 3.80 (s) |
| MeO-C (14) | 59.7 (q) | 3.79 (s) | - | - |
| HO-C (3) | 5.68 (brs) | - | ||
| OCH2O | 100.8 (t) | 5.96, 5.95 (d, J = 1.3) | - | - |
| Ang:1' | - | - | 165.2 (s) | - |
| 2' | - | - | 127.8 (s) | - |
| 3' | - | - | 136.8 (d) | 5.86 (m) |
| 4' | - | - | 15.3 (q) | 1.78 (s) |
| 5' | - | - | 20.3 (q) | 1.72 (d, J = 7.1) |



| Compound | Cytotoxicity (EC50, μg/mL) | |
|---|---|---|
| HCT-8 | A549 | |
| 2 | 13.8 | 11.8 |
| 3 | 9.58 | 13.8 |
| 4 | 12.6 | 15.09 |
| 5 | 19.8 | NA a |
| 6 | 7.33 | NA a |
| Paclitaxel | 0.21 | <0.005 |
3. Experimental
3.1. General
3.2. Plant Material
3.3. Extraction and Isolation
3.4. Cytotoxicity Assay
4. Conclusions
Acknowledgments
References
- Chinese Pharmacopoeia Commission, Pharmacopoeia of the People’s Republic of China; People’s Medical Publishing House: Beijing, China, 2010; Volume 1, pp. 61, 227.
- Peng, H.L.; Chen, D.F.; Lan, H.X.; Zhang, X.M.; Gu, Z.; Jiang, M.H. Anti-lipid Peroxidation of Gomisin J on Liver Mitochondria and Cultured Myocardial Cells. Acta Pharmacol. Sin. 1996, 17, 538–541. [Google Scholar]
- Chen, D.F.; Zhang, S.X.; Xie, L.; Xie, J.X.; Chen, K.; Kashiwada, Y.; Zhou, B.N.; Wang, P.; Cosentino, L.M.; Lee, K.H. Anti-AIDS Agents—XXVI. Structure-Activity Correlations of Gomisin-G-related Anti-HIV Lignans from Kadsura interior and of Related Synthetic Analogues. Bioorg. Med. Chem. 1997, 5, 1715–1723. [Google Scholar] [CrossRef]
- Kuo, Y.H.; Huang, R.L.; Kuo, Y.L.K.; Chen, C. F Novel C19 Homolignans, Taiwanschirin A, B, and Cytotoxic Taiwanschirin C, and a New C18 Lignan, Schizanrin A, from Schizandra arisan. J. Org. Chem. 1999, 64, 7023–7027. [Google Scholar] [CrossRef]
- Zhang, X.M.; Chen, D.F.; He, X.J.; Yang, S.; Zheng, P.; Jiang, M.H. Blocking Effects of Heteroclitin D and Gomisin J on L-type Calcium Channels in Ventricular Cells of Guinea Pig. Acta Pharmacol. Sin. 2000, 21, 373–376. [Google Scholar]
- Kuo, Y.H.; Li, S.Y.; Huang, R.L.; Wu, M.D.; Huang, H.C.; Lee, K.H. Schizarin B, C, D, and E, Four New Lignans from Kadsura matsudai and Their Antihepatitis Activities. J. Nat. Prod. 2001, 64, 487–490. [Google Scholar] [CrossRef]
- Lu, Y.; Chen, D.F. Analysis of Schisandra chinensis and Schisandra sphenantera. J. Chromatogr. A 2009, 1216, 1980–1990. [Google Scholar] [CrossRef]
- Yang, G.Y.; Li, Y.K.; Wang, R.R.; Xiao, W.L.; Yang, L.M.; Pu, J.X.; Zheng, Y.T.; Sun, H.D. Dibenzocyclooctadiene Lignans from the Fruits of Schisandra wilsoniana and Their Anti-HIV-1 Activities. J. Asian Nat. Prod. 2010, 12, 470–476. [Google Scholar] [CrossRef]
- Liu, C.C.; Abd El-Razek, M.H.; Liaw, C.C.; Cheng, Y.B.; Chen, C.K.; Chien, C.T.; Kuo, Y.H.; Liou, S.S.; Shen, Y.C. Arisanschinins A-E, Lignans from Schisandra arisanensis hay. Planta Med. 2010, 74, 1605–1610. [Google Scholar]
- Yang, J.M.; Ip, P.S.; Che, C.T.; Yeung, J.H. Relaxant Effects of Schisandra chinensis and Its Major Lignans on Agonists-induced Contraction in Guinea Pig Ileum. Phytomedicine 2011, 18, 1153–1160. [Google Scholar] [CrossRef]
- Mu, H.X.; Li, X.S.; Fan, P.; Yang, G.Y.; Pu, J.X.; Sun, H.D.; Hu, Q.F.; Xiao, W.L. Dibenzocyclooctadiene Lignans from the Fruits of Schisandra rubriflora and Their Anti-HIV-1 Activities. J. Asian Nat. Prod. 2011, 13, 393–399. [Google Scholar] [CrossRef]
- Xue, J.J.; Cao, J.L.; Yang, G.Y.; Pu, J.X.; Sun, H.D.; Hu, Q.F.; Xiao, W.L. Lignans from Schisandra lancifolia. J. Asian Nat. Prod. 2011, 13, 492–497. [Google Scholar] [CrossRef]
- Kang, K.; Lee, K.M.; Yoo, J.H.; Lee, H.J.; Kim, C.Y.; Nho, C.W. Dibenzocyclooctadiene Lignans, Gomisins J and N Inhibit the Wnt/β-catenin Signaling Pathway in HCT116 Cells. Biochem. Biophys. Res. Commun. 2012, 428, 285–291. [Google Scholar] [CrossRef]
- Chen, M.; Xu, X.M.; Liao, Z.H.; Dong, L.; Li, L.; Huang, C.Z. Neglschisandrins A-B: Two New Dibenzocyclooctene Lignans from Schisandra neglecta. Molecules 2008, 13, 548–555. [Google Scholar] [CrossRef]
- Chen, M.; Liao, Z.H.; Xu, X.M.; Wen, Y.; Sun, M.; Zhang, H.X.; Ma, W.H. Neglschisandrins C-D: Two New Dibenzocyclooctene Lignans from Schisandra neglecta. Molecules 2008, 13, 1148–1155. [Google Scholar] [CrossRef]
- Chen, C.C.; Shen, C.C.; Shih, Y.Z.; Pan, T.M. 6-O-Benzoylgomisin, a New Lignan from the Fruits of Schizandra chinensis. J. Nat. Prod. 1994, 57, 1164–1165. [Google Scholar] [CrossRef]
- Wang, H.J.; Chen, Y.Y. Studies of Lignans from Schisandra rubriflora Rhed et Wils. Acta Pharm. Sin. 1985, 20, 832–841. [Google Scholar]
- Ikeya, Y.; Ookawa, N.; Taguchi, H.; Yosioka, I. The Constituents of Schizandra chinensis Baill. II. The Structures of 3 New Lignans, Angeloylgomisin-O, and Angeloylisogomisin-O and Benzoylisogomisin-O. Chem. Pharm. Bull. 1982, 30, 3202–3206. [Google Scholar]
- Ikeya, Y.; Taguchi, H.; Yosioka, I.; Kobayashi, H. Constituents of Schizandra chinensis Baill. 5. Structures of 4 New Lignans, Gomisin-N, Gomisin-O, Epigomisin-O and Gomisin-E, and Transformation of Gomisin-N to Deangeloylgomisin-B. Chem. Pharm. Bull. 1979, 27, 2695–2709. [Google Scholar] [CrossRef]
- Chen, Y.Y.; Yang, Y.Q. Studies on the SGPT-lowering Active Component of the Fruits of Schisandra rubriflora Rhed et Wils. Acta Pharm. Sin. 1982, 17, 312–313. [Google Scholar]
- Ikeya, Y.; Taguchi, H.; Yosioka, I.; Kobayashi, H. Constituents of Schizandra-chinensis Baill. 3. Structures of 4 New Lignans, Gomisin-H and Its Derivatives, Angeloyl-gomisin-H, Tigloyl-gomisin-H and Benzoyl-gomisin-H. Chem. Pharm. Bull. 1979, 27, 1576–1582. [Google Scholar] [CrossRef]
- Ikeya, Y.; Taguchi, H.; Yosioka, I. Constituents of Schizandra-chinensis Baill. 1. Isolation and Structure Determination of 5 New Lignans, Gomisin-A, Gomisin-B, Gomisin-C, Gomisin-F and Gomisin-G and the Absolute Structure of Schizandrin. Chem. Pharm. Bull. 1979, 27, 1383–1394. [Google Scholar] [CrossRef]
- Han, G.Q.; Dai, P.; Xue, R.; Arison, B.H.; Lanki, D.C.; Hwang, S.B. Dibenzocyclooctadiene Lignans with Platelet-activating Factor (PAF) Antagonist Activity from Kadsura heteroclita. J. Chin. Pharm. Sci. 1992, 1, 20–27. [Google Scholar]
- Lei, C.; Huang, S.X.; Chen, J.J.; Pu, J.X.; Yang, L.B.; Zhao, Y.; Liu, J.P.; Gao, X.M.; Xiao, W.L.; Sun, H. Lignans from Schisandra propinqua var. propinqua. Chem. Pharm. Bull. 2007, 55, 1281–1283. [Google Scholar] [CrossRef]
- Chen, M.; Kilgore, N.; Lee, K.H.; Chen, D.F. Rubrisandrins A and B, Lignans and Related Anti-HIV Compounds from Schisandra rubriflora. J. Nat. Prod. 2006, 69, 1697–1901. [Google Scholar] [CrossRef]
- Ghera, E.; Ben-David, Y.; Becker, D. Deoxyschizandrin, Stereochemistry and Total Synthesis. Tetrahedron Lett. 1977, 18, 463–467. [Google Scholar] [CrossRef]
- Chen, M.; Liao, Z.X.; Chen, D.F. Four New Dibenzocyclooctene Lignans from Kadsura renchangiana. Helv. Chim. Acta 2004, 87, 1368–1376. [Google Scholar] [CrossRef]
- Li, H.R.; Feng, Y.L.; Yang, Z.G.; Wang, J.; Daikonya, A.; Kitanaka, S.; Xu, L.Z.; Yang, S.L. New Lignans from Kadsura coccinea and Their Nitric Oxide Inhibitory Activities. Chem. Pharm. Bull. 2006, 54, 1022–1025. [Google Scholar] [CrossRef]
- Liu, J.S.; Li, L. Schisantherins L-O and Acetylschisantherin L from Kadsura coccinea. Phytochemistry 1993, 32, 1293–1296. [Google Scholar] [CrossRef]
- Ikeya, Y.; Taguchi, H.; Yosioka, I. The Constituents of Schizandra chinensis Baill. 10. The Structures of γ-Schizandrin and 4 New Lignans, (−)-Gomisins L1 and L2, (±)-Gomisin M1 and (+)-Gomisin M2. Chem. Pharm. Bull. 1982, 30, 132–139. [Google Scholar] [CrossRef]
- Wu, J.H.; Zhao, M.; Qian, K.D.; Lee, K.H.; Morris-Natschke, S.; Peng, S.Q. Novel N-(3-Carboxyl-9-benzyl-beta-carboline-1-yl)ethylamino Acids: Synthesis, Anti-tumor Evaluation, Intercalating Determination, 3D QSAR Analysis and Docking Investigation. Eur. J. Med. Chem. 2009, 44, 4153–4161. [Google Scholar] [CrossRef]
- Xu, L.J.; Liu, H.T.; Peng, Y.; Xiao, P.G. A Preliminary Pharmacophylogenetic Investigation in Schisandraceae. J. Syst. Evol. 2008, 46, 692–723. [Google Scholar]
- Sample Availability: Samples of the compounds 1 and 2 are available from the authors.
© 2013 by the authors; licensee MDPI, Basel, Switzerland. This article is an open access article distributed under the terms and conditions of the Creative Commons Attribution license (http://creativecommons.org/licenses/by/3.0/).
Share and Cite
Chen, M.; Xu, X.; Xu, B.; Yang, P.; Liao, Z.; Morris-Natschke, S.L.; Lee, K.-H.; Chen, D. Neglschisandrins E–F: Two New Lignans and Related Cytotoxic Lignans from Schisandra neglecta. Molecules 2013, 18, 2297-2306. https://doi.org/10.3390/molecules18022297
Chen M, Xu X, Xu B, Yang P, Liao Z, Morris-Natschke SL, Lee K-H, Chen D. Neglschisandrins E–F: Two New Lignans and Related Cytotoxic Lignans from Schisandra neglecta. Molecules. 2013; 18(2):2297-2306. https://doi.org/10.3390/molecules18022297
Chicago/Turabian StyleChen, Min, Xiumei Xu, Bing Xu, Panpan Yang, Zhihua Liao, Susan L. Morris-Natschke, Kuo-Hsiung Lee, and Daofeng Chen. 2013. "Neglschisandrins E–F: Two New Lignans and Related Cytotoxic Lignans from Schisandra neglecta" Molecules 18, no. 2: 2297-2306. https://doi.org/10.3390/molecules18022297
APA StyleChen, M., Xu, X., Xu, B., Yang, P., Liao, Z., Morris-Natschke, S. L., Lee, K.-H., & Chen, D. (2013). Neglschisandrins E–F: Two New Lignans and Related Cytotoxic Lignans from Schisandra neglecta. Molecules, 18(2), 2297-2306. https://doi.org/10.3390/molecules18022297
