Next Article in Journal
Metabolite Analysis of Toosendanin by an Ultra-High Performance Liquid Chromatography-Quadrupole-Time of Flight Mass Spectrometry Technique
Previous Article in Journal
Anti-Inflammatory Activity of Iridoids and Verbascoside Isolated from Castilleja tenuiflora
 
 
Font Type:
Arial Georgia Verdana
Font Size:
Aa Aa Aa
Line Spacing:
Column Width:
Background:
Article

Syntheses of Precursors and Reference Compounds of the Melanin-Concentrating Hormone Receptor 1 (MCHR1) Tracers [11C]SNAP-7941 and [18F]FE@SNAP for Positron Emission Tomography

1
University of Vienna, Department of Drug and Natural Product Synthesis, Althanstraße 14, 1090 Vienna, Austria
2
Medical University of Vienna, Department of Biomedical Imaging and Image-guided Therapy, Division of Nuclear Medicine, Währinger Gürtel 18-20, 1090 Vienna, Austria
3
Hospital Pharmacy of the General Hospital of Vienna, Währinger Gürtel 18-20, Vienna 1090, Austria
4
University of Vienna, Department of Pharmaceutical Technology and Biopharmaceutics, Althanstraße 14, 1090 Vienna, Austria
5
University of Vienna, Department of Inorganic Chemistry, Währinger Str. 42, 1090 Vienna, Austria
*
Authors to whom correspondence should be addressed.
Molecules 2013, 18(10), 12119-12143; https://doi.org/10.3390/molecules181012119
Submission received: 12 August 2013 / Revised: 22 September 2013 / Accepted: 22 September 2013 / Published: 30 September 2013
(This article belongs to the Section Medicinal Chemistry)

Abstract

:
The MCH receptor has been revealed as a target of great interest in positron emission tomography imaging. The receptor′s eponymous substrate melanin-concentrating hormone (MCH) is a cyclic peptide hormone, which is located predominantly in the hypothalamus with a major influence on energy and weight regulation as well as water balance and memory. Therefore, it is thought to play an important role in the pathophysiology of adiposity, which is nowadays a big issue worldwide. Based on the selective and high-affinity MCH receptor 1 antagonist SNAP-7941, a series of novel SNAP derivatives has been developed to provide different precursors and reference compounds for the radiosyntheses of the novel PET radiotracers [11C]SNAP-7941 and [18F]FE@SNAP. Positron emission tomography promotes a better understanding of physiologic parameters on a molecular level, thus giving a deeper insight into MCHR1 related processes as adiposity.

1. Introduction

Reports have suggested that the melanin-concentrating hormone (MCH), a cyclic peptide located predominantly in the hypothalamus, plays a significant role in regulation of food intake and stress in rodents. This hormone, which consists of 19 amino acids, regulates physiological functions such as water balance, energy metabolism, general arousal, attention state and is also assumed to be involved in memory and psychiatric disorders, although its role therein still remains largely unknown [1,2,3,4,5,6].
MCH-producing neurons innervate vast parts of the brain [1,2,3,4,5,6], but the lateral hypothalamus where most of these neurons have been localized, is considered as the regulatory center for food intake, body temperature, blood pressure, rhythm of sleep, and the reward center which is closely connected with emotions [5]. Animal experiments with MCH overexpressing mice proved the correlation between adiposity and MCH expression: compared with genetic unmodified mice, MCH-OE mice were hyperphagic, hyperleptinaemic, and had higher blood concentrations of glucose. Additionally, these animals were significantly hyperinsulinaemic and showed insulin resistance after insulin injection [3,7,8].
As described by Kokkotou et al [8], the adipose-derived hormone leptin determines the regulation of the expression of MCH, other hypothalamic hormones, and the expression of the MCH receptor (MCHR). By gaining deeper insight in the function of the MCHR1 through positron emission tomography (PET), useful information about adiposity can be obtained for future research [3,9]. PET is an important tool both in medical diagnostics and clinical research of molecular processes due to its non-invasive nature as an imaging technique. Based on the already established selective, high-affinity MCHR1 antagonist SNAP-7941 (1), which has anorectic, antidepressant, and anxiolytic effects [10,11,12,13,14], the present study aimed at the synthesis and evaluation of precursors and reference standards of the novel MCH receptor 1 PET tracers [11C]SNAP-7941 (1a) and [18F]FE@SNAP (4a) [15,16] (Figure 1).
Figure 1. Structure of SNAP-7941 and derivatives 1a6.
Figure 1. Structure of SNAP-7941 and derivatives 1a6.
Molecules 18 12119 g001
In particular, this paper focuses on the synthesis of the novel MCHR1 PET tracers’ 1a and 4a, non-radioactive reference compound FE@SNAP 4 as well as the precursors SNAP-acid 2 and TOE@SNAP 3, which represents the preliminary non-radioactive work paving the way for the subsequent radiosyntheses [15,16].
Compounds 2, 3, and 5 can either serve as precursors for radioactive labeling or regarding 3 for non-radioactive fluorination. The reference compounds 1, 4, and 6 serve as standards for the quality control of the radiosyntheses. Regarding the tracer[11C]SNAP-7941 (1a), racSNAP-7941 1 [10,11,12,13,14] can be used as a reference compound. In-vivo studies, biodistribution, and micro PET investigations of the radiotracers[11C]SNAP-7941 1a and [18F]FE@SNAP 4a are going to be future challenges directly based on this work.

2. Results and Discussion

All SNAP derivatives and intermediates were produced as racemates, deviating from Borowsky et al [1]. The complete reaction sequence is depicted in Scheme 1Scheme 14. Instead of using methoxymethyl acetoacetate as a starting material for the subsequent Biginelli cyclization, a series of different beta-ketoesters 813 carrying different protecting groups for easier cleavage was synthesized (Scheme 1).
Scheme 1. Syntheses of β-ketoesters 813.
Scheme 1. Syntheses of β-ketoesters 813.
Molecules 18 12119 g003
Therefore, the first step of the reaction pathway was the preparation of 5-(methoxyacetyl)-2,2-dimethyl-1,3-dioxane-4,6-dione) (7) from Meldrum′s acid, which was then reacted with altogether six different alcohols in toluene at 80 °C overnight to give β-ketoesters 813. Depending on the alcohol, six different protecting groups were attached as esters: p-methoxybenzyl, 2-(trimethylsilyl)ethyl, t-butyl, 2-(allyloxy)ethyl and 2-(tert-butyldiphenyl-silyloxy)ethyl. The comparison of yields is given in Graph 1 of Figure 2.
As shown in Scheme 2, Scheme 4, Scheme 5 and Scheme 6, the synthesis of racSNAP-7941 1 was accomplished according to the literature without any modifications to the reaction conditions [17]. Derivatives 2934 have been substituted with different protecting groups instead of the methyl ester moiety. The Biginelli cyclization reaction was conducted based on an alternative method of Murali Dhar et al. [18]. SNAP derivatives 2932 were used for the synthesis of the precursor SNAP-acid 2, compounds 33 and 34 served as starting material for the hydroxyethyl derivative 35, as depicted in Scheme 10.
The syntheses leading to 2 and the allyl protected derivatives 11, 18, 25, and 32 were performed as already described by Philippe et al. [15], as were those of compounds 3 and 4 [16]. The syntheses of the already known compounds 1, 14, 21 and 28 were carried out according to Schönberger [17]. For completeness of this paper, they are depicted in Scheme 2, Scheme 4, Scheme 5 and Scheme 6 as well.
In the next step, a Biginelli reaction was performed using urea, the respective beta ketoesters 813 or methoxymethyl acetoacetate, and difluorobenzaldehyde as starting materials, followed by addition of copper oxide, acetic acid, and boron trifluoride diethyl etherate in THF. The mixtures were refluxed for 8 hours to give the seven different pyrimidinones 1420 (Scheme 2).
Scheme 2. Biginelli cyclizations.
Scheme 2. Biginelli cyclizations.
Molecules 18 12119 g004
Figure 2/Graph 2 shows a comparison of the different yields of pyrimidinones 1520 related to the protecting groups. Cyclization using the t-butylester 10, for example, gave only 30% of the corresponding pyrimidinone 17, whereas the best yields were accomplished using the allyl protected ester 11. Allyl pyrimidinone 18 was obtained in an excellent 90% yield.
Figure 2. Yields for different steps in the synthesis of the six SNAP derivatives. Graph 1: synthesis of β-ketoesters 813; graph 2: Biginelli cyclization of 1520; graph 3: synthesis of 2227 in a one-pot two-step reaction; graph 4: synthesis of the SNAP derivatives 2934.
Figure 2. Yields for different steps in the synthesis of the six SNAP derivatives. Graph 1: synthesis of β-ketoesters 813; graph 2: Biginelli cyclization of 1520; graph 3: synthesis of 2227 in a one-pot two-step reaction; graph 4: synthesis of the SNAP derivatives 2934.
Molecules 18 12119 g002
Unfortunately, while reacting the t-butyltrimethysilyloxyethyl protected ester 12 the protecting group was cleaved during the cyclization step, affording hydroxyethyl pyrimidinone 12a as shown in Scheme 3. Hence, the protecting group had to be reattached in an additional step.
Scheme 3. Biginelli cyclization with t-butyltrimethylsilyloxyethyl protected ester 12.
Scheme 3. Biginelli cyclization with t-butyltrimethylsilyloxyethyl protected ester 12.
Molecules 18 12119 g005
A 3-bromopropylcarbamoyl side chain was attached to the pyrimidinones 1420 in a one-pot two-step reaction, yielding compounds 2127 (Scheme 4). Again, the allyl protected compound 25 was obtained in excellent yields of 85% as shown in Figure 2/Graph 3.
Scheme 4. Attachment of the 3-bromopropylcarbamoyl side chain to pyrimidinones 1420.
Scheme 4. Attachment of the 3-bromopropylcarbamoyl side chain to pyrimidinones 1420.
Molecules 18 12119 g006
The side chain 28 was attached onto compounds 2127 by addition of potassium carbonate, giving racSNAP-7941 1 or SNAP derivatives 2934 (Scheme 5), respectively, exhibiting a similar pattern of yields as in the previous reactions in correlation to the corresponding protection group (Figure 2/Graph 4).
Scheme 5. Syntheses of the SNAP derivatives 1, 2934.
Scheme 5. Syntheses of the SNAP derivatives 1, 2934.
Molecules 18 12119 g007
The N-(piperidinylphenyl)acetamide side chain 28 was obtained according to Schönberger [17] via Suzuki coupling, hydrogenation and acetylation followed by cleavage of the t-butyloxycarbonyl protecting group as shown in Scheme 6.
Scheme 6. Synthesis of N-(piperidinyl)acetamide compound 28.
Scheme 6. Synthesis of N-(piperidinyl)acetamide compound 28.
Molecules 18 12119 g008
Compounds 2932 were subjected to cleavage reactions in order to obtain SNAP-acid 2. Unfortunately, only the t-butyl protected compound 31 and the allyl protected compound 32 could be converted into the free carboxylic acid 2 (Scheme 7).
Scheme 7. Cleavage of esters 31 and 32 to furnish SNAP-acid 2.
Scheme 7. Cleavage of esters 31 and 32 to furnish SNAP-acid 2.
Molecules 18 12119 g009
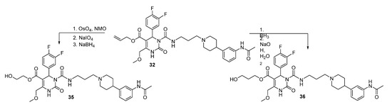
In total, regarding the superior yields of 32 as shown in Figure 2, the synthesis of allyl ester 32 was established as the most effective route of preparing the PET precursor SNAP-acid 2. Additionally, allyl ester 32 served as starting material for the hydroxyethyl ester HE@SNAP 35 as well as for the hydroxypropyl ester HP@SNAP 36, which were subjected to tosylation for subsequent fluorination (Scheme 8). The tosylated compounds 3 and 5 were prepared as two alternative precursors of the desired target compounds 4 and 6, in order to compare the feasibility of fluorination of the tosyl ethyl derivative 3 to the tosyl propyl derivative 5.
Scheme 8. Synthesis of hydroxylethyl and hydroxypropyl esters 35 and 36.
Scheme 8. Synthesis of hydroxylethyl and hydroxypropyl esters 35 and 36.
Molecules 18 12119 g010
The synthesis of 35 required three reaction steps, starting with the oxidation of the allyl protecting group using osmium tetroxide performed by adapting and combining different methods [19,20,21]. This yielded 2,3-dihydroxypropyl ester 32a, as depicted in Scheme 9.
Scheme 9. Synthesis of hydroxyethyl ester 35 via glycol cleavage.
Scheme 9. Synthesis of hydroxyethyl ester 35 via glycol cleavage.
Molecules 18 12119 g011
Scheme 10. Synthesis of hydroxyethyl ester 35 via SNAP derivatives 33 and 34.
Scheme 10. Synthesis of hydroxyethyl ester 35 via SNAP derivatives 33 and 34.
Molecules 18 12119 g012
Then, a glycol cleavage of the 2,3-dihydroxypropyl group was performed with sodium periodate adapting methods of Botti et al. [22] and Adam et al. [23] to yield aldehyde 32b, which was subjected to reduction under standard conditions with sodium borohydride [24] to give 2-hydroxylethyl ester 35.
The hydroxypropyl analogue 36 was synthesized in a one-pot two-step reaction as shown above in Scheme 9 adapting the methods of Heidecke/Lindhorst and Park et al. [25,26]. The cleavage to hydroxypropyl ester 36 was accomplished in an anti-Markovnikov reaction using a borane-tetrahydrofuran complex and hydrogen peroxide. Although the unconsumed starting material could be partially recovered by column chromatography, the reaction afforded only a moderate 26% yield. A second and third approach to HE@SNAP 35 was made accessible by the cleavage of the protecting groups of SNAP derivatives 33 and 34, respectively (Scheme 10).
The protecting group of compound 33 was cleaved in a standard procedure [27] using tetrabutyl-ammonium fluoride, while the allyloxyethyl ester 34 had to be isomerized first with a Wilkinson catalyst as depicted in Scheme 11. Isomerization of the allyl group was conducted in the presence of diazabicyclooctane and the catalyst, adapting a method of Smith et al. [28]. Mercury-induced cleavage of the newly formed vinyl ether [29] give satisfying yields, regarding the feasibility of recycling the starting material.
Scheme 11. Reaction sequence to hydroxyethyl ester 35.
Scheme 11. Reaction sequence to hydroxyethyl ester 35.
Molecules 18 12119 g013
Compounds 35 and 36 were used for tosylation yielding 2-(tosyloxy)ethyl ester TOE@SNAP 3 and 3-(tosyloxy)propyl ester TOP@SNAP 5, respectively. Since common tosylation methods [30,31,32] were not applicable, tosylation was achieved using silver oxide and tosyl chloride in the presence of potassium iodide adapting a method of Bouzide et al. [33]. Comparing the yields, TOE@SNAP 3 was obtained with 63%, whereas the tosylpropyl derivative 5 gave a poorer 31% yield (Scheme 12).
Scheme 12. Preparation of tosylated SNAP derivatives 3 and 5.
Scheme 12. Preparation of tosylated SNAP derivatives 3 and 5.
Molecules 18 12119 g014
The tosylated derivatives 3 and 5 were intended to be used for the following fluorination to afford the final compounds 4 and 6 (Scheme 13).
Scheme 13. Conversion of tosylated SNAP precursors 3 and 5.
Scheme 13. Conversion of tosylated SNAP precursors 3 and 5.
Molecules 18 12119 g015
Unfortunately, different fluorination methods such as reactions with tetrabutylammonium fluoride [30], crown ether Kryptofix® K2.2.2 and potassium fluoride [34], or tetrabutylammonium-(triphenylsilyl) difluorosilicate [35] were unsuccessful. Minor yields of 4 (2%–3%) could be obtained by fluorination with cesium fluoride [36] and tetrabutylammoniumhydrogen difluoride [37]. Conversion of compound 5 to fluoropropyl ester 6 under similar reaction conditions was confirmed by high resolution mass spectrometry (HRMS) analysis but purification and isolation could not be accomplished due to the probable instability of this product. Attempting to react the hydroxyethyl derivative 35 with diaminosulfur trifluoride by adapting a method of Shanab [30] did not provide the fluoroethyl ester 4 either.
Hence, another approach to 4 and 6 had to be established leading to the Steglich esterification [16,38,39] of SNAP-acid 2 (Scheme 14) which is therefore employed as a precursor for the reference compound FE@SNAP 4, for the PET tracer[11C]SNAP-7941 1a via 11C-methylation [15], and for the second tracer [18F]FE@SNAP 4a [16].
Scheme 14. Conversion of SNAP-acid 2 to fluorinated derivatives 4 and 6.
Scheme 14. Conversion of SNAP-acid 2 to fluorinated derivatives 4 and 6.
Molecules 18 12119 g016
Acid 2 was reacted with dicyclohexylcarbodiimide, 4-dimethylaminopyridine, and fluoroethanol or fluoropropanol, respectively, giving the fluoroethylated reference compound 4 in trace yields of 4% but again did not afford 6 in acceptable quantity, although the conversion was confirmed via mass spectrometry. Fluoropropyl ester 6 could not be isolated by different chromatographic purification methods. Therefore, the synthesis of the propylated compounds 36, 5, and 6 was not further pursued due to the better yields and superior purification properties of the ethylated compounds 35, 3, and 4.

3. Experimental

3.1. General

All commercial chemicals and solvents used in the synthetic steps were purchased from Aldrich (Vienna, Austria) or Fisher Scientific (Vienna, Austria) and used as received. Reactions were monitored by thin layer chromatography (TLC) using appropriate developing solvents and pre-coated silica gel plates (UV 254 nm) purchased from Merck and Co. (Vienna, Austria). 1H-NMR and 13C-NMR spectra were recorded on a Bruker Avance DPX-200 spectrometer,a Varian UnityPlus 500 spectrometer or a Bruker Avance 500 spectrometer. Chemical shifts are reported in δ (ppm) relative to tetramethylsilane (TMS) as internal standard and multiplicities are given as singlet (s), doublet (d), quartet (q), multiplet (m) and broad singlet (br s). IR-spectra were recorded on a Perkin Elmer FT-IR Spectrum 1000 spectrophotometer. High resolution mass spectral data were obtained on a Finnigan MAT 8230 or on a Finnigan MAT 900 S. Elemental analyses were performed at the Mass Spectrometry Centre of the Faculty of Chemistry (University of Vienna).

3.2. Syntheses

Synthesis of compounds 1, 14, 21 and 28 was conducted according to Schönberger [17]. Synthesis of compounds 2, 7, 11, 18, 25 and 32 was conducted according to Philippe et al. [15]. Synthesis of compounds 3 and 4 was conducted according to Philippe et al. [16].
3-(Tosyloxy)propyl-3-(3-(4-(3-acetamidophenyl)piperidin-1-yl)propyl-carbamoyl)-4-(3,4-difluoro-phenyl)-6-(methoxymethyl)-2-oxo-1,2,3,4-tetrahydropyrimidine-5-carboxylate (5). To a stirred solution of alcohol 36 (116 mg, 0.18 mmol) in CH2Cl2 (1.0 mL), freshly produced Ag2O (83 mg, 0.36 mmol), tosyl chloride (69 mg, 0.36 mmol) and KI (60 mg, 0.36 mmol) were added. The mixture was stirred at 40 °C until completion of the reaction (TLC-monitoring). Thereafter, the reaction mixture was filtered and the solvent evaporated in vacuo. The residue was purified via column chromatography (silica gel, eluent: CH2Cl2/MeOH 9:1) to give 23 mg (26.1%) of product 5. 1H-NMR (200 MHz, CDCl3): δ (ppm) 1.87–1.97 (m, 8H, 9b-CH2, 19-CH2, 22,22′-(CH2)2), 2.05–2.08 and 3.08–3.15 (m, 4H, 21,21′-(CH2)2), 2.15 (s, 3H, 32-CH3), 2.42–2.51 (m, 6H, Tos-CH3, 20-CH2, 23-CH), 3.37–3.40 (m, 2H, 18-CH2), 3.45 (s, 3H, 7-OCH3), 3.94–4.04 (m, 2H, 9c-OCH2), 4.10–4.18 (m, 2H, 9a-OCH2), 4.65 (s, 2H, 6-OCH2), 6.58 (s, 1H, 3-CH), 6.92 (d, 1H, J = 7.2 Hz, 29-CH), 7.04–7.26 (m, 5H, 11-CH, 14-CH, 15-CH, 27-CH, 28-CH), 7.30-7.34 (m, 2H, 3′,3′′-(CH)2), 7.44 (s, 1H, 30-NH), 7.72–7.76 (m, 2H, 2′,2′′-(CH)2), 7.99 (s, 1H, 1-NH), 8.96 (t, 1H, J = 5.2 Hz, 17-NH); 13C-NMR (50 MHz, CDCl3): δ (ppm) 21.6 (Tos-CH3), 24.5 (32-CH3), 26.0 (19-CH2), 29.6 (9b-CH2), 32.4 (22,22′-(CH2)2), 39.4 (18-CH2), 42.2 (23-CH), 52.9 (3-CH), 54.1 (21,21′-(CH2)2), 56.4 (20-CH2), 59.1 (7-OCH3), 60.4 (9c-CH2OH), 66.6 (9a-OCH2), 68.0 (6-OCH2), 101.2 (4-C), 116.0/116.3 (11-CH), 117.2/117.5 (14-CH), 117.7 (27-CH), 118.1 (25-CH), 122.7 (29-CH), 122.9/123.0/123.1/123.2 (15-CH), 127.8 (2′,2′′-(CH)2), 128.9/129.0 (28-CH), 129.9 (3′,3′′-(CH)2), 132.7 (1′-C), 137.5 (10-C), 138.3 (26-C), 144.9 (4′-C), 146.6 (5-C), 146.8 (24-C), 152.1 (2-CO), 153.2 (16-CO), 163.8 (8-COO), 168.6 (31-CON); MS: m/z (%) 812 (1), 371 (46), 286 (56), 231 (43), 71 (29), 70 (100), 65 (28), 57 (38), 56 (55); HRMS: Calcd. for C40H48F2N5O9S [M + H]+: 812.3141. Found: 812.3148.
4-Methoxybenzyl 4-methoxy-3-oxobutanotate (8). 5-(2-Methoxyacetyl)-2,2-dimethyl-1,3-dioxane-4,6-dione (7, 724 mg, 3.35 mmol) and (4-methoxyphenyl)methanol (925 mg, 6.69 mmol) in toluene (10.0 mL) were heated to 80 °C for 24 h. After cooling to room temperature the solvent was removed in vacuo and the residue was partly purified by column chromatography (silica gel, eluent: petroleum ether/EtOAc 3:1) to give 372 mg (44.0%) of 8 as a brown oil. The crude product was reacted without further purification in the next step.
2-(Trimethylsilyl)ethyl 4-methoxy-3-oxobutanoate (9). A mixture of 5-(2-methoxyacetyl)-2,2-dimethyl-1,3-dioxane-4,6-dione (7, 3.60 g, 16.65 mmol) and 2-(trimethylsilyl)ethanol (4.8 mL, 3.94 g, 33.32 mmol) in toluene (50.0 mL) was heated to 80 °C for 24 h. After cooling to room temperature the solvent was removed in vacuo and the residue was purified by column chromatography (silica gel, eluent: petroleum ether/EtOAc 9:1) to give 2.35 g (61.0%) of 9 as a light brown oil. 1H-NMR (200 MHz, CDCl3): δ (ppm) −0.01 (s, 9H, Si(CH3)3), 0.91–1.00 (m, 2H, SiCH2), 3.36 (s, 3H, OCH3), 3.43 (s, 2H, 2-CH2), 4.03 (s, 2H, 4-OCH2), 4.12–4.21 (m, 2H, OCH2); 13C-NMR (50 MHz, CDCl3): δ (ppm) −1.7 (Si(CH3)3), 17.1 (SiCH2), 45.8 (2-CH2), 59.2 (OCH3), 63.6 (OCH2), 77.2 (4-OCH2), 167.0 (1-COO), 201.5 (3-CO); MS m/z (%): 232 (1), 147 (8), 117 (8), 75 (64), 74 (12), 73 (100), 72 (9), 59 (9), 45 (12); HRMS: Calcd. for C8H16O4Si [M – C2H4]: 204.0818. Found: 204.0813.
t-Butyl 4-methoxy-3-oxobutanoate (10). 5-(2-Methoxyacetyl)-2,2-dimethyl-1,3-dioxane-4,6-dione (7, 6.40 g, 19.60 mmol) and 2-methylpropan-2-ol (9.00 g, 121.42 mmol) were dissolved in toluene (90.0 mL) and the mixture was stirred for 24 h at 80 °C. After cooling to room temperature, the solvent and excess alcohol were removed in vacuo and the residue was purified by column chromatography (RP silica gel, eluent: ACN/H2O 9:1) and Kugelrohr distillation (b.p. ca 260 °C) to give compound 10 as a brown oil (3.44 g, 62.0%). 1H-NMR (200 MHz, CDCl3): δ (ppm) 1.40 (s, 9H, t-but-(CH3)3), 3.34 (s, 2H, 2-CH2), 3.36 (s, 3H, 5-OCH3), 4.02 (s, 2H, 4-CH2); 13C-NMR (50 MHz, CDCl3): δ (ppm) 27.8 (t-but-(CH3)3), 47.0 (2-CH2), 59.1 (OCH3), 77.1 (4-OCH2), 81.9 (t-but-C), 166.0 (1-COO), 201.8 (3-CO); MS: m/z (%) 132 (5), 115 (6), 87 (4), 69 (5), 59 (33), 58 (8), 57 (100), 56 (13), 45 (51), 43 (16), 42 (11), 41 (26); HRMS: Calcd. for C5H8O4 [M – C4H8]: 132.0423. Found: 132.0424.
2-(t-Butyldiphenylsilyloxy)ethyl 4-methoxy-3-oxobutanoate (12). First, 2-(t-butyldiphenylsilyloxy)-ethanol was freshly prepared. To a mixture of ethylene glycol (5.59 g, 90.00 mmol), imidazole (6.13 g, 90.00 mmol), and absolute CH2Cl2 (140 mL) t-butylchlorodiphenylsilane (23.03 mL, 24.74 g, 90.00 mmol) dissolved in absolute CH2Cl2 was added dropwise at 0 °C. After stirring for 24 h at room temperature, the reaction mixture was extracted with water to remove unreacted ethylene glycol. The solvent was removed under reduced pressure to give 21.81 g (81.1%) of 2-(t-butyldiphenyl-silyloxy)ethanol as a colorless oil which crystallized upon cooling to afford colorless crystals. The crude product (21.69 g, 72.19 mmol) was used for the next step without further purification and heated to 80 °C for 24 h with 5.23 g (24.21 mmol) of 5-(2-methoxyacetyl)-2,2-dimethyl-1,3-dioxane-4,6-dione (7) in toluene (73.0 mL). After cooling to room temperature the solvent was removed in vacuo and the residue was purified by column chromatography (reversed-phase silica gel, eluent: acetonitrile/H2O 4:1→1:0) to give 3.10 g (10.4%) of 12 as reddish brown oil. 1H-NMR (200 MHz, CDCl3): δ (ppm) 1.07 (s, 9H, t-but-(CH3)3), 3.40 (s, 3H, OCH3), 3.49 (s, 2H, 2-CH2), 3.85–3.90 (m, 2H, 9b-OCH2), 4.08 (s, 2H, 4-OCH2), 4.24–4.29 (m, 2H, 9a-OCH2), 7.37–7.45 (m, 6H, 2′-(CH)2, 4′-(CH)2, 6′-(CH)2), 7.66–7.70 (m, 4H, 3′-(CH)2, 5′-(CH)2); 13C-NMR (50 MHz, CDCl3): δ (ppm) 19.1 (t-but-C), 26.7 (t-but-(CH3)3), 45.6 (2-CH2), 59.3 (OCH3), 61.7 (9b-OCH2), 66.3 (9a-OCH2), 77.2 (4-OCH2), 127.7 (3′-(CH)2, 5′-(CH)2), 129.7 (4′-(CH)2), 133.2 (1′-(C)2), 135.5 (2′-(CH)2, 6′-(CH)2), 166.9 (1-COO), 201.3 (3-CO); MS: m/z (%) 383 (4), 349 (3), 243 (18), 199 (89), 185 (24), 184 (48), 165 (65), 154 (42), 139 (24), 111 (56), 94 (23), 69 (33), 45 (100); HRMS: m/z calcd. for C23H30O5SiNa [M + Na]+: 437.1760. Found: 437.1760.
2-Hydroxyethyl 4-(3,4-difluorophenyl)-6-(methoxymethyl)-2-oxo-1,2,3,4-tetrahydropyrimidine-5-carboxylate (12a). To a well-stirred solution of allyloxyethyl 4-methoxy-3-oxobutanoate (12, 3.00 g, 7.24 mmol), 3,4-difluorobenzaldehyde (1.20 g, 8.44 mmol) and urea (0.73 g, 12.15 mmol) in THF (7.0 mL), Cu2O (117 mg, 0.82 mmol), glacial acetic acid (47 µL) and boron trifluoride diethyl etherate (1.29 mL, 1.46 g, 10.32 mmol) were added. The resulting reaction mixture was heated under reflux for 8 h. After cooling to room temperature the mixture was poured onto a mixture of ice (12 g) and NaHCO3 (2 g). The resulting cloudy solution was filtered over Celite and washed with CH2Cl2 (10 mL). The biphasic solution was separated in a separatory funnel and the aqueous phase was washed with CH2Cl2 (3 × 7 mL). The combined organic layers were dried over Na2SO4, filtered and evaporated in vacuo. The crude product was purified by column chromatography (silica gel, eluent: CH2Cl2/MeOH 9:1) to give 0.90 g (36.3%) of 12a as yellow oil. 1H-NMR (200 MHz, CDCl3): δ (ppm) 3.44 (s, 3H, 7-OCH3), 3.71 (m, 2H, 9b-CH2OH), 4.12–4.20 (m, 2H, 9a-OCH2), 4.63 (s, 2H, 6-OCH2), 5.37 (d, J = 2.4 Hz, 3-CH), 6.77 (s, 1H, 2a-CH), 7.02–7.18 (m, 3H, 11-CH, 14-CH, 15-CH), 7.75 (s, 1H, 1-NH); 13C-NMR (50 MHz, CDCl3): δ (ppm) 54.3 (3-CH), 59.1 (7-OCH3), 60.9 (9b-CH2OH), 65.9 (9a-OCH2), 68.5 (6-OCH2), 98.2 (4-C), 115.4/115.8 (11-CH), 117.3/117.7 (14-CH), 122.4/122.5 (15-CH), 140.5 (10-C), 148.2 (5-C), 152.3 (2-CO), 164.8 (8-COO); MS: m/z (%) 342 (22), 310 (14), 280 (33), 267 (74), 253 (27), 229 (100), 221 (24), 167 (50), 153 (38), 45 (40); HRMS: m/z calcd. for C15H16F2N2O5Na [M + Na]+: 365.0925. Found: 365.0932.
Allyloxyethyl 4-methoxy-3-oxobutanoate (13). A mixture of 5-(2-methoxyacetyl)-2,2-dimethyl-1,3-dioxane-4,6-dione (7, 38.74 g, 179.20 mmol) and allyl alcohol (57.4 mL, 537.60 mmol) in toluene (10.0 mL) was heated to 80 °C for 24 h. After cooling to room temperature the solvent was removed in vacuo and the residue was purified by bulb-to-bulb distillation to give 20.04 g (51.7%) of 13 as a yellow oil. 1H-NMR (200 MHz, CDCl3): δ (ppm) 3.36 (s, 2H), 3.65 (m, 2H), 3.96–3.99 (m, 2H), 4.04 (s, 2H), 4.22–4.27 (m, 2H), 5.27 (d, J = 19.1, 2H), 5.88 (m, 1H); 13C-NMR (50 MHz, CDCl3): δ (ppm) 45.6, 59.2, 64.3, 67.5, 71.9, 77.1, 117.1, 134.4, 166.9, 201.3; MS: m/z (%) 73 (23), 69 (37), 60 (23), 57 (41), 55 (60), 43 (100), 42 (17), 41 (87); HRMS: m/z calcd. for C10H16O5: 216.0998. Found: 216.1003.
4-Methoxybenzyl 4-(3,4-difluorophenyl)-6-(methoxymethyl)-2-oxo-1,2,3,4-tetrahydropyrimidine-5-carboxylate (15). To a well-stirred solution of 4-methoxybenzyl 4-methoxy-3-oxobutanoate (8, 330 mg, 1.31 mmol), 3,4-difluorobenzaldehyde (192 mg, 1.35 mmol) and urea (118 mg, 1.96 mmol) in THF (1.2 mL), Cu2O (19 mg, 0.13 mmol), glacial acetic acid (7.6 µL) and boron trifluoride diethyl etherate (0.2 mL, 240 mg, 1.69 mmol) were added. The resulting reaction mixture was heated under reflux for 8 h. After cooling to room temperature the mixture was poured onto ice (2 g) and NaHCO3 (200 mg). The resulting cloudy solution was filtered over Celite and washed with CH2Cl2 (5 mL). The biphasic solution was separated in a separatory funnel and the aqueous phase was washed with CH2Cl2 (3 × 30 mL). The combined organic layers were dried over Na2SO4, filtered and evaporated in vacuo. The product was partly purified by column chromatography (silica gel, eluent: EtOAc/MeOH 4:1) to give 315 mg (57.5%) of 15 as a yellow oil. The crude product was reacted without further purification in the next step.
2-(Trimethylsilyl)ethyl 4-(3,4-difluorophenyl)-6-(methoxymethyl)-2-oxo-1,2,3,4-tetrahydropyrimidine-5-carboxylate (16). To a well-stirred solution of 2-(trimethylsilyl)ethyl 4-methoxy-3-oxobutanoate (9, 2.35 g, 10.11 mmol), 3,4-difluorobenzaldehyde (1.48 mg, 10.41 mmol) and urea (910 mg, 15.17 mmol) in THF (8.7 mL), Cu2O (146 mg, 1.02 mmol), glacial acetic acid (59 µL) and boron trifluoride diethyl etherate (1.6 mL, 1.82 g, 12.80 mmol) were added. The resulting reaction mixture was heated under reflux for 8 h (TLC monitoring EtOAc/hexane 1:1). After cooling to room temperature the mixture was poured onto ice (15 g) and NaHCO3 (3 g). The resulting cloudy solution was filtered over Celite and washed with CH2Cl2 (12 mL). The biphasic solution was separated in a separatory funnel and the aqueous phase was washed with CH2Cl2 (3 × 10 mL). The combined organic layers were dried over Na2SO4, filtered and evaporated in vacuo. The crude product was purified by column chromatography (silica gel, eluent: CH2Cl2/MeOH 9:1) to give 2.05 mg (51.0%) of 16 as yellow oil. 1H-NMR (200 MHz, CDCl3): δ (ppm) −0.01 (s, 9H, 9c-Si(CH3)3), 0.84–0.93 (m, 2H, 9b-SiCH2), 3.42 (s, 3H, 7-OCH3), 4.05–4.14 (m, 2H, 9a-OCH2), 4.62 (s, 2H, 6-OCH2), 5.31 (s, 2H, 2a-NH), 6.96 (s, 1H, 3-CH), 7.01–7.15 (m, 3H, 11-CH, 14-CH, 15-CH), 7.65 (s, 1H, 1-NH); 13C-NMR (50 MHz, CDCl3): δ (ppm) −1.7 (9c-Si(CH3)3), 17.4 (9b-SiCH2), 54.3 (3-CH), 59.0 (7-OCH3), 62.3 (9a-OCH2), 68.5 (6-OCH2), 98.8 (4-C), 115.4/115.8 (11-CH), 117.1/117.6 (14-CH), 122.4/122.5 (15-CH), 140.5 (10-C), 147.1 (5-C), 152.5 (2-CO), 165.0 (8-COO); MS m/z (%): 398 (1), 370 (11), 355 (27), 323 (13), 293 (11), 281 (11), 257 (10), 253 (9), 225 (10), 185 (10), 167 (13), 84 (12), 75 (13), 73 (100), 45 (26); HRMS: Calcd. for C18H24F2N2O4SiNa [M + Na]+: 421.1371. Found: 421.1365.
t-Butyl-4-(3,4-difluorophenyl)-6-(methoxymethyl)-2-oxo-1,2,3,4-tetrahydropyrimidine-5-carboxylate (17). To a stirred mixture of t-butyl 4-methoxy-3-oxobutanoate 10 (3.00 g, 15.94 mmol), 3,4-difluorobenzaldehyde (1.8 mL, 2.33 g, 16.40 mmol) and urea (1.44 g, 23.98 mmol) in THF (14.0 mL), Cu2O (230 mg, 1.61 mmol) and CH3COOH were added at room temperature, followed by dropwise addition of boron trifluoride diethyl etherate (2.5 mL, 2.88 g, 20.20 mmol). The resulting mixture was stirred and refluxed for 8 h. After cooling to room temperature, the reaction mixture was poured into a mixture of ice (25 g) and NaHCO3 (5 g). The resulting mixture was filtered over Celite and washed with CH2Cl2 (20 mL). The organic phase was separated from the filtrate and the aqueous layer was extracted with CH2Cl2 (3 x 15 mL). The combined organic layers were dried over Na2SO4 and the solvent was evaporated in vacuo to give 4.92 g of raw product (a brown oil) that was purified via column chromatography (silica gel, eluent: CH2Cl2/MeOH 9:1) to give compound 17 as a yellow oil (1.74 g, 30.8%). 1H-NMR (200 MHz, CDCl3): δ (ppm) 1.32 (s, 9H, t-but-(CH3)3), 3.41 (s, 3H, 7-OCH3), 4.60 (s, 2H, 6-OCH2), 5.24 (s, 1H, 3-CH), 7.00–7.08 (m, 3H, 11-CH, 14-CH, 15-CH), 7.60 (s, 1H, NH); 13C-NMR (50 MHz, CDCl3): δ (ppm) 28.0 (t-but-(CH3)3), 54.7 (3-CH), 58.9 (7-OCH3), 68.5 (6-OCH2), 81.1 (t-but-C), 99.9 (4-C), 115.4/115.7 (11-CH), 117.1/117.4 (14-CH), 122.37/ 122.45/122.5/122.6 (15-CH), 140.7 (10-C), 146.3 (5-C), 152.5 (2-C), 164.03 (8-COO); MS: m/z (%) 354 (1), 298 (11), 265 (6), 221 (6), 185 (39), 121 (11), 71 (23), 70 (12), 69 (22), 57 (100), 55 (20), 43 (19), 41 (17); HRMS: Calcd. for C17H20F2N2O4Na [M + Na]+: 377.1289. Found: 377.1284.
2-(t-Butyldiphenylsilyloxy)ethyl 4-(3,4-difluorophenyl)-6-(methoxymethyl)-2-oxo-1,2,3,4-tetrahydro-pyrimidine-5-carboxylate (19). To a mixture of 2-hydroxyethyl 4-(3,4-difluorophenyl)-6-(methoxymethyl)-2-oxo-1,2,3,4-tetra­hydropyrimidine-5-carboxylate (12a, 0.78 g, 2.28 mmol), imidazole (155 mg, 2.28 mmol), and absolute CH2Cl2 (140 mL), tert-butylchlorodiphenylsilane (0.6 mL, 626 mg, 2.28mmol) dissolved in absolute CH2Cl2 was added dropwise at 0 °C. After stirring for 24 h at room temperature, the solvent was removed under reduced pressure and the residue was purified by column chromatography (silica gel, eluent: CH2Cl2/MeOH 9:1) to give 1.20 g (90.7%) of 19 as a colorless oil. 1H-NMR (200 MHz, CDCl3): δ (ppm) 1.06 (s, 9H, t-but-(CH3)3), 3.42 (s, 3H, 7-OCH3), 3.79–3.83 (m, 2H, 9b-OCH2), 4.06–4.29 (m, 2H, 9a-OCH2), 4.63 (s, 2H, 6-OCH2), 5.27 (d, 1H, J = 2.9 Hz, 3-CH), 6.59 (s, 1H, 2a-NH), 6.96–7.15 (m, 3H, 11-CH, 14-CH, 15-CH), 7.36–7.46 (m, 6H, 2′-(CH)2, 4′-(CH)2, 6′-(CH)2), 7.63–7.76 (m, 5H, 1-NH, 3′-(CH)2, 5′-(CH)2); 13C-NMR (50 MHz, CDCl3): δ (ppm) 19.1 (t-but-C), 26.7 (t-but-(CH3)3), 54.4 (3-CH), 59.0 (7-OCH3), 62.0 (9b-OCH2), 65.4 (9a-OCH2), 68.5 (6-OCH2), 98.4 (4-C), 115.3/115.7 (11-CH), 117.2/117.5 (14-CH), 122.4/122.5/122.6 (15-CH), 127.7 (3′-(CH)2, 5′-(CH)2), 129.8 (4′-(CH)2), 133.1 (1′-(C)2), 135.4 (2′-(CH)2, 6′-(CH)2), 140.4 (10-C), 147.5 (5-C), 152.3 (2-CO), 164.6 (8-COO); MS: m/z (%) 580 (1), 523 (18), 493 (4), 282 (15), 281 (100), 251 (51), 238 (12), 235 (12), 199 (18), 165 (18), 140 (30), 135 (12), 45 (10); HRMS: m/z calcd. for C31H34F2N2O5SiNa [M + Na]+: 603.2103. Found: 603.2121.
Allyloxyethyl 4-(3,4-difluorophenyl)-6-(methoxymethyl)-2-oxo-1,2,3,4-tetrahydropyrimidine-5-carboxylate (20). To a well-stirred solution of allyloxyethyl 4-methoxy-3-oxobutanoate (13, 20.04 g, 98.68 mmol), 3,4-difluorobenzaldehyde (9.8 mL, 12.55 g, 88.34 mmol) and urea (7.95 g, 132.51 mmol) in THF (113 mL), Cu2O (1.26 g, 8.83 mmol), glacial acetic acid (506 µL) and boron trifluoride diethyl etherate (114.8 mL, 130.17 g, 917.04 mmol) were added. The resulting reaction mixture was heated under reflux for 8 h. After cooling to room temperature the mixture was poured on a mixture of ice (125 g) and NaHCO3 (25 g). The resulting cloudy solution was filtered over Celite and washed with CH2Cl2 (5 mL). The biphasic solution was separated in a separatory funnel and the aqueous phase was washed with CH2Cl2 (3 × 40 mL). The combined organic layers were dried over Na2SO4, filtered and evaporated in vacuo. The crude product was purified by column chromatography (silica gel, eluent: EtOAc/petroleum ether 3:1) to give 9.00 g (24.4%) of 20 as yellow oil. 1H-NMR (200 MHz, CDCl3): δ (ppm) 3.43 (s, 3H), 3.94–4.23 (m, 6H), 4.63 (s, 2H), 5.16–5.29 (m, 2H), 5.76–5.96 (m, 1H), 6.52 (s, 1H), 7.04–7.21 (m, 3H), 7.66 (s, 1H); 13C-NMR (50 MHz, CDCl3): δ (ppm) 54.5, 59.1, 63.3, 67.7, 68.5, 71.9, 98.4, 115.6/115.9, 117.2, 117.4/117.6, 134.2, 147.6, 152.2, 164.5; MS: m/z (%) 382 (14), 280 (51), 269 (28), 222 (31), 221 (39), 167 (51), 45 (35), 41 (100); HRMS: m/z calcd for C18H21O5F2N2: 383.1419. Found: 383.1426; CHN: calcd for C18H21O5F2N2·H2O: C, 55.20; H, 5.16; N, 7.15. Found: C, 54.60; H, 5.10; N, 6.82.
4-Methoxybenzyl 3-((3-bromopropyl)carbamoyl)-4-(3,4-difluorophenyl)-6-(methoxymethyl)-2-oxo-1,2,3,4-tetrahydropyrimidine-5-carboxylate (22). To a solution of 4-methoxybenzyl 4-(3,4-difluorophenyl)-6-(methoxymethyl)-2-oxo-1,2,3,4-tetrahydropyrimidine-5-carboxylate (15, 252 mg, 0.60 mmol) and 4-nitrophenylchloroformate (425 mg, 2.11 mmol) in THF (7.5 mL), LiHMDS (1.7 mL, 284 mg, 1.70 mmol, 1 M in THF) was added dropwise at -78 °C. After 10 min the reaction was quenched with water (190 µL) and the mixture was allowed to warm to 0 °C. After addition of K2CO3 (333 mg, 2.41 mmol) and 3-aminopropylbromide hydrobromide (396 mg, 1.69 mmol) the reaction mixture was stirred at room temperature overnight. The yellow suspension was washed with saturated aqueous NaHCO3 and the biphasic solution was separated in a separatory funnel. The aqueous phase was extracted with Et2O (2 × 20 mL). The combined organic layers were dried over Na2SO4 and evaporated in vacuo. The crude product was purified by column chromatography (silica gel, eluent: CH2Cl2/MeOH 9:1) to give 70 mg (19.9%) of 22 as yellow oil. 1H-NMR (200 MHz, CDCl3): δ (ppm) 1.20-1.25 (m, 2H, 20-CH2), 1.99–2.08 (m, 2H, 19-CH2), 3.39–3.41 (m, 2H, 18-CH2), 3.43 (s, 3H, 7-OCH3), 3.91 (s, 3H, PMB-OCH3), 4.63 (s, 2H, 6-OCH2), 5.46 (s, 2H, PMB-OCH2), 6.59 (s, 1H, 3-CH), 6.79–6.85 (m, 3H, 11-CH, 14-CH, 15-CH), 6.99–7.14 (m, 4H, PMB-2′-CH, 3′-CH, 5′-CH, 6′-CH), 7.72 (s, 1H, 1-NH), 8.86 (t, 1H, J = 4.4 Hz, 17-NH); 13C-NMR (50 MHz, CDCl3): δ (ppm) 30.4 (20-CH2), 32.1 (19-CH2), 39.1 (18-CH2), 53.2 (3-CH), 55.2 (PMB-OCH3), 59.2 (7-OCH3), 66.7 (PMB-OCH2), 68.0 (6-OCH2), 106.9 (4-C), 113.9 (PMB-3′-CH, 5′-CH), 116.0/116.4 (11-CH), 117.1/117.4 (14-CH), 123.1 (15-CH), 130.3 (PMB-2′-CH, 6′-CH), 145.7 (2-CO), 153.3 (16-CO), 167.6/167.7 (8-COO), 5-C and 10-C not found; MS m/z (%): 325 (57), 294 (81), 279 (31), 265 (29), 222 (20), 137 (28), 121 (100), 45 (37); HRMS: Calcd. for C25H26F2N3O6Br [M − H]-: 580.0903. Found: 580.0895.
2-(Trimethylsilyl)ethyl 3-((3-bromopropyl)carbamoyl)-4-(3,4-difluorophenyl)-6-(methoxymethyl)-2-oxo-1,2,3,4-tetrahydropyrimidine-5-carboxylate (23). To a solution of 2-(trimethylsilyl)ethyl 4-(3,4-difluorophenyl)-6-(methoxymethyl)-2-oxo-1,2,3,4-tetrahydropyrimidine-5-carboxylate (16, 590 mg, 1.48 mmol) and 4-nitrophenylchloroformate (1.05 mg, 5.18 mmol) in THF (18.5 mL), LiHMDS (4.2 mL, 694 mg, 4.15 mmol, 1 M in THF) was added dropwise at ‒78 °C. After 10 min the reaction was quenched with water (460 µL) and the mixture was allowed to warm to 0 °C. After addition of K2CO3 (819 mg, 5.93 mmol) and 3-aminopropylbromide hydrobromide (973 mg, 4.44 mmol), the reaction mixture was stirred at room temperature overnight. The yellow suspension was washed with saturated aqueous NaHCO3 and the biphasic solution was separated in a separatory funnel. The aqueous phase was extracted with Et2O (2 × 20 mL). The combined organic layers were dried over Na2SO4 and evaporated in vacuo. The crude product was purified by column chromatography (silica gel, eluent: EtOAc/petroleum ether 1:1 and CH2Cl2/MeOH 9.5:0.5) to give 490 mg (59.0%) of 23 as yellow oil. 1H-NMR (200 MHz, CDCl3): δ (ppm) 0.14 (s, 9H, 9c-Si(CH3)3), 1.05–1.15 (m, 2H, 9b-SiCH2), 1.34–1.41 (m, 2H, 20-CH2), 2.18–2.28 (m, 19-CH2), 3.49–3.56 (m, 18-CH2), 3.59 (s, 3H, 7-OCH3), 4.18–4.35 (m, 2H, 9a-OCH2), 4.81 (s, 2H, 6-OCH2), 6.78 (s, 1H, 3-CH), 7.12–7.39 (m, 3H, 11-CH, 14-CH, 15-CH), 7.87 (s, 1H, 1-NH), 9.02 (t, 1H, J = 5.6 Hz, 17-NH); 13C-NMR (50 MHz, CDCl3): δ (ppm) −1.7 (9c-Si(CH3)3), 17.5 (9b-SiCH2), 30.4 (20-CH2), 32.2 (19-CH2), 39.1 (18-CH2), 53.0 (3-CH), 59.1 (7-OCH3), 63.1 (9a-OCH2), 68.1 (6-OCH2), 101.9 (4-C), 116.0/116.4 (11-CH), 117.1/117.4 (14-CH), 123.0/123.1 (15-CH), 137.4/137.5 (10-C), 147.4/147.6 (5-C), 152.5 (2-CO), 153.3 (16-CO), 164.3 (8-COO); MS m/z (%): 536 (100), 508 (4), 436 (15), 421 (9), 378 (71), 350 (40), 328 (3), 306 (5), 278 (17), 234 (14); HRMS: Calcd. for C22H30O5F2N3BrSiNa [M + Na]+: 584.1004. Found: 584.1008.
t-Butyl-3-(3-bromopropylcarbamoyl)-4-(3,4-difluorophenyl)-6-(methoxymethyl)-2-oxo-1,2,3,4-tetra-hydropyrimidine-5-carboxylate (24). To a solution of pyrimidinone 17 (1.65 g, 4.66 mmol) and p-nitrophenylchloroformate (3.29 g, 16.32 mmol) in THF (60.0 mL), LiHMDS (13.0 mL, 2.18 g, 13.03 mmol, 1 M in THF) was slowly added at −78 °C. After 10 min, the reaction was completed by addition of H2O (1.5 mL), warmed to 0 °C and neutralised with K2CO3 (2.57 g, 18.60 mmol). Thereafter, 3-aminopropylbromide hydrobromide (3.06 g, 13.98 mmol) was added and the reaction mixture was allowed to warm to room temperature overnight. The resulting yellow suspension was washed with NaHCO3 twice, the layers were separated and the aqueous layer was extracted with Et2O. The combined organic layers were dried over Na2SO4. After purification of the raw product (5.23 g, brown oil) via column chromatography (silica gel, eluent: CH2Cl2/MeOH 9.5:0.5), the bromide 24 could be obtained as a yellow oil (1.41 g, 58.2%). 1H-NMR (200 MHz, CDCl3): δ (ppm) 1.23 (t, 2H, J = 7.1 Hz, 20-CH2), 1.39 (s, 9H, t-but-(CH3)3), 2.04–2.21 (m, 2H, 19-CH2), 3.35–3.42 (m, 2H, 18-CH2), 3.45 (s, 3H, 7-OCH3), 4.65 (s, 2H, 6-OCH2), 6.54 (s, 1H, 3-CH), 7.02–7.23 (m, 3H, 11-CH, 14-CH, 15-H), 7.73 (s, 1H, 1-NH), 8.91 (t, 1H, J = 5.6 Hz, 17-NH); 13C-NMR (50 MHz, CDCl3): δ (ppm) 28.1 (t-but-(CH3)3), 30.5 (20-CH2Br), 32.1 (19-CH2), 39.1 (18-CH2), 53.6 (3-CH), 59.0 (7-OCH3), 68.1 (6-OCH2), 81.7 (t-but-C), 103.1 (4-C), 116.1/116.4 (11-CH), 117.0/117.3 (14-CH), 123.1 (15-CH), 137.8 (10-C), 147.5 (5-C), 152.5 (2-CO), 153.4 (16-CO), 163.3 (8-COO); MS: m/z (%) 518 (1), 353 (4), 322 (44), 297 (73), 279 (34), 266 (100), 265 (37), 221 (16), 185 (14), 167 (10), 57 (33), 41 (30); HRMS: Calcd. for C21H26F2N3O5BrNa [M + Na]+: 540.0922. Found: 540.0904.
2-(t-Butyldiphenylsilyloxy)ethyl 3-((3-bromopropyl)carbamoyl)-4-(3,4-difluorophenyl)-6-(methoxy­methyl)-2-oxo-1,2,3,4-tetrahydropyrimidine-5-carboxylate (26). To a solution of 2-(t-butyl-diphenylsilyloxy)ethyl 4-(3,4-difluorophenyl)-6-(methoxymethyl)-2-oxo-1,2,3,4-tetrahydro­pyrimidine-5-carboxylate (19, 1.10 g, 1.89 mmol) and 4-nitrophenylchloroformate (1.34 g, 6.65 mmol) in THF (24.0 mL), LiHMDS (5.3 mL, 892 mg, 5.33 mmol, 1 M in THF) was added dropwise at −78 °C. After 10 min the reaction was quenched with water (9.0 mL) and the mixture was allowed to warm to 0 °C. After addition of K2CO3 (1.05 g, 7.60 mmol) and 3-aminopropylbromide hydrobromide (1.25 g, 5.71 mmol) the reaction mixture was stirred at room temperature overnight. The yellow suspension was washed with saturated aqueous NaHCO3 and the biphasic solution was separated in a separatory funnel. The aqueous phase was extracted with Et2O. The combined organic layers were dried over Na2SO4 and evaporated in vacuo. The crude product was purified by column chromatography (silica gel, eluent: EtOAc/petroleum ether 1:1) to give 1.16 g (82.2%) of 26 as a yellow oil. 1H-NMR (200 MHz, CDCl3): δ (ppm) 0.96 (s, 9H, t-but-(CH3)3), 1.17–1.24 (m, 2H, 20-CH2), 2.01–2.11 (m, 2H, 19-CH2), 3.32–3.51 (m, 5H, 18-CH2, 7-OCH3), 3.74–3.79 (m, 2H, 9b-OCH2), 4.12–4.24 (m, 2H, 9a-OCH2), 4.61 (s, 2H, 6-OCH2), 6.64 (s, 1H, 3-CH), 6.78–7.20 (m, 3H, 11-CH, 14-CH, 15-CH), 7.28–7.37 (m, 6H, 2′-(CH)2, 4′-(CH)2, 6′-(CH)2), 7.54–7.58 (m, 4H, 3′-(CH)2, 5′-(CH)2), 7.73 (s, 1H, 1-NH), 8.86 (t, J = 5.7 Hz, 17-NH); 13C-NMR (50 MHz, CDCl3): δ (ppm) 19.0 (t-but-C), 26.6 (t-but-(CH3)3), 30.4 (20-CH2), 32.1 (19-CH2), 39.1 (18-CH2), 53.2 (3-CH), 59.1 (7-OCH3), 61.8 (9b-OCH2), 65.7 (9a-OCH2), 68.1 (6-OCH2), 101.6 (4-C), 115.5/115.8/116.2 (11-CH), 117.2/117.5 (14-CH), 123.0/123.1/ 123.2 (15-CH), 127.7 (3′-(CH)2, 5′-(CH)2), 129.8 (4′-(CH)2), 133.1 (1′-(C)2), 135.4 (2′-(CH)2, 6′-(CH)2), 137.4 (10-C), 145.9 (5-C), 152.5 (2-CO), 153.3 (16-CO), 164.6 (8-COO); MS: m/z (%) 768 (53), 686 (2), 603 (100), 560 (47), 540 (16), 460 (1), 238 (2); HRMS: m/z calcd for C35H40F2N3O6BrSiNa [M + Na]+: 766.1736. Found: 766.1728.
Allyloxyethyl 3-((3-bromopropyl)carbamoyl)-4-(3,4-difluorophenyl)-6-(methoxymethyl)-2-oxo-1,2,3,4-tetrahydropyrimidine-5-carboxylate (27). To a solution of allyloxyethyl 4-(3,4-difluorophenyl)-6-(methoxymethyl)-2-oxo-1,2,3,4-tetrahydropyrimidine-5-carboxylate (20, 9.00 g, 23.56 mmol) and 4-nitrophenylchloroformate (16.65 g, 82.60 mmol) in THF (300.0 mL), LiHMDS (66.08 mL, 11.06 g, 66.08 mmol, 1 M in THF) was added dropwise at −78 °C. After 10 min the reaction was quenched with water (9.0 mL) and the mixture was allowed to warm to 0 °C. After addition of K2CO3 (13.03 g, 94.40 mmol) and 3-aminopropylbromide hydrobromide (15.50 g, 70.80 mmol) the reaction mixture was stirred at room temperature overnight. The yellow suspension was washed with saturated aqueous NaHCO3 and the biphasic solution was separated in a separatory funnel. The aqueous phase was extracted with Et2O. The combined organic layers were dried over Na2SO4 and evaporated in vacuo. The crude product was purified by column chromatography (silica gel, eluent: CH2Cl2/MeOH 10:1) to give 6.60 g (51.3%) of 27 as a yellow oil. 1H-NMR (200 MHz, CDCl3): δ (ppm) 2.02–2.08 (m, 2H), 3.36–3.47 (m, 5H), 3.60–3.62 (m, 2H), 3.94–4.29 (m, 6H), 4.65 (s, 1H), 5.15–5.28 (m, 2H), 5.75–5.94 (m, 1H), 6.64 (s, 1H), 7.02–7.25 (m, 3H), 7.77 (s, 1H), 8.89 (t, J = 5.6 Hz, 1H); 13C-NMR (50 MHz, CDCl3): δ (ppm) 30.4, 32.1, 39.1, 59.1, 63.7, 67.6, 68.1, 71.9, 101.5, 116.0/116.4, 117.1, 117.3/117.4, 122.9, 134.2, 137.8, 146.0, 152.5, 153.2, 163.9; MS: m/z (%) 546 (2), 381 (64), 350 (52), 311 (30), 280 (48), 279 (100), 249 (33), 222 (47), 220 (32), 167 (29), 41 (91); HRMS: m/z calcd. for C22H26O6BrF2N3H: 548.1035. Found (M+1)+: 548.1044; CHN: Calcd. for C22H26O6BrF2N3H·H2O: C, 47.58; H, 4.73; N, 7.57. Found: C, 47.47; H, 4.81; N, 7.28.
4-Methoxybenzyl 3-((3-(4-(3-acetamidophenyl)piperidin-1-yl)propyl)carbamoyl-4-(3,4-difluoro-phenyl)-6-(methoxymethyl)-2-oxo-1,2,3,4-tetrahydropyrimidine-5-carboxylate (29). Under an argon atmosphere a mixture of N-(3-(piperidin-4-yl)phenyl)acetamide (28, 109 mg, 0.50 mmol), 4-methoxybenzyl 3-((3-bromopropyl)carbamoyl)-4-(3,4-difluorophenyl)-6-(methoxymethyl)-2-oxo-1,2,3,4-tetrahydropyrimidine-5-carboxylate (22, 190 mg, 0.33 mmol) and K2CO3 (480 mg, 3.40 mmol) in ACN (12.6 mL) was stirred at 35 °C for 37 h. The resulting yellow suspension was filtered and the filtration residue was washed with EtOAc. After removal of the solvent in vacuo the obtained oily residue was dissolved in EtOAc (10 mL) and the organic phase was washed with saturated aqueous NaHCO3 (2 × 8 mL). The aqueous phase was washed with EtOAc (2 × 10 mL) and the combined organic layers were dried over Na2SO4, filtered and evaporated in vacuo. The obtained residue was purified by column chromatography (silica gel, eluent: CH2Cl2/MeOH 10:1) to give 75 mg (30.3%) of 29 as yellow oil. 1H-NMR (200 MHz, CDCl3): δ (ppm) 1.67–1.79 (m, 6H, 19-CH2, 22,22′-(CH2)2), 2.00–2.13 and 3.08–3.13 (m, 7H, 21,21′-(CH2)2, 32-CH3), 2.48–2.51 (m, 3H, 20-CH2, 23-CH), 3.29–3.41 (m, 5H, 7-OCH3, 18-CH2), 3.78 (s, 3H, PMB-OCH3), 4.65 (d, 2H, J = 2.6 Hz, 6-OCH2), 6.62 (d, 1H, J = 6.2 Hz, 3-CH), 6.81–7.22 (m, 10H, 11-CH, 14-CH, 15-CH, 27-CH, 28-CH, 29-CH, 2′-CH, 3′-CH, 4′-CH, 5′-CH), 7.39 (25-CH), 7.97 (br s, 1H, 30-NH), 8.15 (s, 1H, 1-NH), 8.96–8.98 (m, 1H, 17-NH); 13C-NMR (50 MHz, CDCl3): δ (ppm) 24.3 (32-CH3), 25.8 (19-CH2), 32.2 (22,22′-(CH2)2), 39.2 (18-CH2), 42.0 (23-CH), 53.2 (3-CH), 53.9 (21,21′-(CH2)2), 55.2 (PMB-OCH3), 56.1 (20-CH2), 59.0 (7-OCH3), 66.3 (PMB-OCH2), 68.0 (6-OCH2), 101.9 (4-C), 113.9 (3′-CH, 5′-CH), 116.0/116.3 (11-CH), 117.0/117.4 (14-CH), 117.8 (27-CH), 118.0 (25-CH), 122.7 (29-CH), 123.0 (15-CH), 127.4 (1′-C), 128.8 (28-CH), 130.0 (2′-CCH, 6′-CH), 137.8 (10-C), 138.4 (26-C), 145.9 (5-C), 146.5 (24-C), 152.3 (2-CO), 153.2 (16-CO), 164.1 (8-COO), 168.8 (31-CON), 4’-C not found; MS m/z (%): 301 (8), 231 (82), 213 (17), 167 (8), 153 (10), 121 (100), 95 (12), 70 (16), 57 (20); HRMS: Calcd. for C38H43F2N5O7: 720.3209. Found: 720.3216.
2-(Trimethylsilyl)ethyl 3-((3-(4-(3-acetamidophenyl)piperidin-1-yl)propyl-carbamoyl)-4-(3,4-difluoro-phenyl)-6-methoxymethyl)-2-oxo-1,2,3,4-tetrahydropyrimidine-5-carboxylate (30). Under an argon atmosphere a mixture of N-(3-(piperidin-4-yl)phenyl)acetamide (28, 251 mg, 1.15 mmol), 2-(trimethylsilyl)ethyl 3-((3-bromopropyl)carbamoyl)-4-(3,4-difluorophenyl)-6-(methoxymethyl)-2-oxo-1,2,3,4-tetrahydropyrimidine-5-carboxylate (23, 420 mg, 0.75 mmol) and K2CO3 (1.09 g, 7.89 mmol) in ACN (28.0 mL) was stirred at 35 °C for 37 h. The resulting yellow suspension was filtered and the filtration residue was washed with EtOAc. After removal of the solvent in vacuo the obtained oily residue was dissolved in EtOAc (20 mL) and the organic phase was washed with saturated aqueous NaHCO3 (2 × 15 mL). The aqueous phase was washed with EtOAc (2 × 20 mL) and the combined organic layers were dried over Na2SO4, filtered and evaporated in vacuo. The obtained residue was purified by column chromatography (silica gel, eluent: CH2Cl2/MeOH 9:1 + 0.5% TEA) to give 240 mg (45.8%) of 30 as a yellow oil. 1H-NMR (200 MHz, CDCl3): δ (ppm) −0.02 (s, 9H, 9c-Si(CH3)3), 0.93–1.02 (m, 2H, 9b-SiCH2), 1.76 (m, 6H, 19-CH2, 22,22′-(CH2)2), 1.96–2.08 and 2.98–3.03 (m, 4H, 21,21′-(CH2)2), 2.15 (s, 3H, 32-CH3), 2.43 (t, 3H, J = 6.8 Hz, 20-CH2, 23-CH), 3.31–3.41 (m, 2H, 18-CH2), 3.44 (s, 3H, 7-OCH3), 4.15–4.24 (m, 2H, 9a-OCH2), 4.68 (s, 2H, 6-OCH2), 6.69 (s, 1H, 3-CH), 6.93 (d, 1H, J = 7.6 Hz, 29-CH), 7.03–7.35 (m, 5H, 11-CH, 14-CH, 15-CH, 27-CH, 28-CH), 7.49 (s, 1H, 25-CH), 8.05 (s, 1H, 30-NH), 8.25 (s, 1H, 1-NH), 9.02 (t, 1H, J = 5.1 Hz, 17-NH); 13C-NMR (50 MHz, CDCl3): δ (ppm) −1.8 (9c-Si(CH3)3), 17.3 (9b-SiCH2), 24.2 (32-CH3), 26.2 (19-CH2), 32.7 (22,22′-(CH2)2), 39.4 (18-CH2), 42.4 (23-CH), 52.9 (3-CH), 54.1 (21,21′-(CH2)2), 56.5 (20-CH2), 58.9 (7-OCH3), 63.0 (9a-OCH2), 67.9 (6-OCH2), 102.0 (4-C), 115.9/116.2 (11-CH), 116.9/117.3 (14-CH), 117.6 (27-CH), 118.2 (25-CH), 122.5 (29-CH), 122.8/122.9 (15-CH), 128.6 (28-CH), 137.6 (10-C), 138.2 (26-C), 145.8 (5-C), 147.0 (24-C), 152.3 (2-CO), 153.1 (16-CO), 164.3 (8-COO), 168.7 (31-CON); MS m/z (%): 700 (26), 600 (2), 345 (8), 259 (4), 231 (4); HRMS: Calcd. for C35H48F2N5O6Si [M + H]+: 700.3342. Found: 700.3343.
t-Butyl-3-(3-(4-(3-acetamidophenyl)piperidin-1-yl)propylcarbamoyl)-4-(3,4-difluorophenyl)-6-(methoxymethyl)-2-oxo-1,2,3,4-tetrahydropyrimidine-5-carboxylate (31). To a solution of N-(3-(piperidin-4-yl)phenyl)acetamide (28, 140 mg, 0.64 mmol) in ACN (16.0 mL), bromide 24 (215 mg, 0.41 mmol) and K2CO3 (605 mg, 4.38 mmol) were added under argon atmosphere and the mixture was stirred at 35 °C for 37 h. The yellow slurry was filtered, washed with EtOAc and the filtrate was evaporated to dryness. The oily residue was dissolved in EtOAc and washed twice with saturated NaHCO3. Then the aqueous phase was extracted with EtOAc. The combined organic layers were dried over Na2SO4 and evaporated in vacuo prior to purification by column chromatography (silica gel, eluent: CH2Cl2/MeOH 10:1). Product 31 was obtained as a yellow-brownish oil (133 mg, 49.4%). 1H-NMR (200 MHz, CDCl3): δ (ppm) 1.41 (t-but-(CH3)3), 1.74–1.78 (m, 6H, 19-CH2, 22,22′-(CH2)2), 1.94–2.07 and 2.98–3.03 (m, 4H, 21,21′-(CH2)2), 2.15 (s, 3H, 32-CH3), 2.37–2.44 (m, 3H, 20-CH2, 23-CH), 3.32–3.39 (m, 2H, 18-CH2), 3.44 (s, 3H, 7-CH3), 4.66 (s, 2H, 6-CH2), 6.58 (s, 1H, 3-CH), 6.94 (d, 1H, J = 7.3 Hz, 29-CH), 7.03–7.34 (m, 6H, 11-CH, 14-CH, 15-CH, 25-CH, 27-CH, 28-CH), 7.45 (s, 1H, 30-NH), 7.82 (s, 1H, 1-NH), 9.00 (t, 1H, J = 5.2 Hz, 17-NH); 13C-NMR (50 MHz, CDCl3): δ (ppm) 24.4 (32-CH3), 26.4 (19-CH2), 28.1 (t-but-(CH3)3), 32.9 (22,22′-(CH2)2), 39.5 (18-CH2), 42.5 (23-CH), 53.5 (3-CH), 54.3 (21,21′-(CH2)2), 56.5 (20-CH2), 59.0 (7-OCH3), 68.0 (6-OCH2), 103.3 (4-C), 116.0/116.4 (11-CH), 116.9/117.3 (14-CH), 117.6 (27-CH), 118.3 (25-CH), 122.7 (29-CH), 123.0/123.09/123.14/123.2 (15-CH), 128.8 (28-CH), 138.0 (10-C), 138.1 (26-C), 144.8 (5-C), 147.2 (24-C), 152.3 (2-CO), 153.3 (16-CO), 163.5 (8-COO), 168.5 (31-CON); MS: m/z (%) 679 (100, [M + Na]+), 657 (20, [M + H]+), 621 (10), 601 (17), 324 (23), 302 (49); HRMS: Calcd. for C34H44F2N5O6 [M + H]+: 656.3260. Found: 656.3277; IR: (ν) (cm−1) 3304, 2925, 1709, 1608, 1516, 1392, 1366, 1278, 1230, 1164, 1119, 1080, 772, 732, 701.
2-(t-Butyldiphenylsilyloxy)ethyl 3-((3-(4-(3-acetamidophenyl)piperidin-1-yl)propyl)carbamoyl-4-(3,4-difluorophenyl)-6-(methoxymethyl)-2-oxo-1,2,3,4-tetrahydropyrimidine-5-carboxylate (33). Under an argon atmosphere a mixture of N-(3-(piperidin-4-yl)phenyl)acetamide (28) (239 mg, 1.09 mmol), 2-(t-butyldiphenylsilyloxy)ethyl 3-((3-bromopropyl)carbamoyl)-4-(3,4-difluorophenyl)-6(methoxymethyl)- 2-oxo-1,2,3,4-tetrahydropyrimidine-5-carboxylate (26, 775 mg, 1.04 mmol) and K2CO3 (1.52 g, 11.00 mmol) in ACN (40 mL) was stirred at 35 °C for 37 h. The resulting yellow suspension was filtered and the filtration residue was washed with EtOAc. After removal of the solvent in vacuo the obtained oily residue was dissolved in EtOAc and the organic phase was washed with saturated aqueous NaHCO3. The aqueous phase was washed with EtOAc and the combined organic layers were dried over Na2SO4, filtered and evaporated in vacuo. The obtained residue was purified by column chromatography (silica gel, eluent: CH2Cl2/MeOH 9:1) to give 428mg (47.7%) of 33 as a yellow oil. 1H-NMR (200 MHz, CDCl3): δ (ppm) 1.01 (s, 9H, t-but-(CH3)3), 1.25–1.32 (m, 2H, 20-CH2), 1.74–1.94 (m, 6H, 19-CH2, 22,22′-(CH2)2), 2.01–2.09 and 3.09–3.14 (m, 4H, 21,21′-(CH2)2), 2.14 (s, 3H, 32-CH3), 2.48–2.60 (m, 3H, 20-CH2, 23-CH), 3.30-3.41 (m, 5H, 18-CH2, 7-OCH3), 3.79–3.84 (m, 2H, 9b-OCH2), 4.13–4.32 (m, 2H, 9a-OCH2), 4.65 (s, 2H, 6-OCH2), 6.69 (s, 1H, 3-CH), 6.90-7.26 (m, 7H, 11-CH, 14-CH, 15-CH, 25-CH, 27-CH, 28-CH, 29-CH), 7.33–7.42 (m, 6H, 2′-(CH)2, 4′-(CH)2, 6′-(CH)2), 7.59–7.63 (m, 5H, 3′-(CH)2, 5′-(CH)2, 30-NH), 8.15 (s, 1H, 1-NH), 8.86 (t, J = 5.7 Hz, 17-NH); 13C-NMR (50 MHz, CDCl3): δ (ppm) 19.0 (t-but-C), 24.3 (32-CH3), 25.8 (19-CH2), 26.6 (t-but-(CH3)3), 32.1 (22,22′-(CCH2)2), 39.2 (18-CH2), 42.0 (23-CH), 53.1 (3-CH), 53.8 (21,21′-(CH2)2), 56.0 (20-CH2), 59.0 (7-OCH3), 61.8 (9b-OCH2), 65.6 (9a-OCH2), 68.0 (6-OCH2), 101.7 (4-C), 115.8/116.2 (11-CH), 117.1/117.4 (14-CH), 117.8 (27-CH), 118.0 (25-CH), 122.9/ 122.8/123.0/123.1 (15-CH), 127.7 (3′-(CH)2, 5′-(CH)2), 128.8 (28-CH), 129.7 (4′-(CH)2), 133.0 (1′-(C)2), 135.4 (2′-(CH)2, 6′-(CH)2), 137.6 (10-C), 138.3 (26-C), 146.1 (5-C), 146.4 (24-C), 152.3 (2-CO), 153.1 (16-CO), 164.1 (8-COO), 168.7 (31-CON); MS: m/z (%) 883 (1), 523 (12), 281 (100), 231 (44), 199 (18), 168 (19), 140 (16), 70 (30), 57 (65), 56 (33), 45 (44), 43 (60), 41 (28); HRMS: m/z calcd. for C48H57F2N5O7Si: 882.4074. Found: 882.4087.
Allyloxyethyl 3-((3-(4-(3-acetamidophenyl)piperidin-1-yl)propyl)carbamoyl-4-(3,4-difluorophenyl)-6-(methoxymethyl)-2-oxo-1,2,3,4-tetrahydropyrimidine-5-carboxylate (34). Under an argon atmosphere a mixture of N-(3-(piperidin-4-yl)phenyl)acetamide (28, 4.04 mg, 18.47 µmol), allyloxyethyl 3-((3-bromopropyl)carbamoyl)-4-(3,4-difluorophenyl)-6-(methoxymethyl)-2-oxo-1,2,3,4-tetrahydropyrimidine-5-carboxylate (27, 6.60 g, 12.08 mmol) and K2CO3 (17.58 g, 127.20 mmol) in ACN (12.6 mL) was stirred at 35 °C for 37 h. The resulting yellow suspension was filtered and the filtration residue was washed with EtOAc. After removal of the solvent in vacuo the obtained oily residue was dissolved in EtOAc and the organic phase was washed with saturated aqueous NaHCO3. The aqueous phase was washed with EtOAc and the combined organic layers were dried over Na2SO4, filtered and evaporated in vacuo. The obtained residue was purified by column chromatography (silica gel, eluent: CH2Cl2/MeOH 9:1) to give 2.66 g (32.2%) of 34 as a yellow oil. 1H-NMR (200 MHz, CDCl3): δ (ppm) 1.72–1.81 (m, 6H), 1.99, 2.99 (m, 4H), 2.11 (s, 3H), 2.39 (m, 2H), 2.42 (m, 1H), 3.29, 3.39 (m, 2H), 3.37 (s, 3H), 3.55–3.60 (m, 2H), 3.92, 3.94 (d, J = 5.6 Hz, 2H), 4.17, 4.29 (m, 2H), 4.63 (m, 2H), 5.12–5.26 (m, 2H), 5.81 (m, 1H), 6.65 (s, 1H), 6.90 (d, J = 7.44, 1H), 6.98–7.19 (m, 5H), 7.25 (s, 1H), 7.44 (s, 1H), 7.95 (s, 1H), 8.98 (t, J = 5.3 Hz, 1H); 13C-NMR (50 MHz, CDCl3): δ (ppm) 24.4, 26.3, 32.8, 39.5, 42.5, 53.1, 54.2, 56.5, 58.9, 63.6, 67.6, 67.9, 71.9, 101.7, 115.9/116.3, 116.9, 117.2/117.3, 117.6, 118.2, 112.7, 122.8, 128.7, 134.2, 137.8, 138.2, 146.2, 147.16, 152.3, 153. 0, 164.0, 168.6; MS: m/z (%) 280 (33), 231 (100), 221 (21), 167 (34), 70 (26), 45 (21), 44 (21), 43 (54), 42 (31), 41 (57); HRMS: m/z calcd. for C35H43O7F2N5H: 684.3209. Found (M+1)+: 684.3195; CHN: calcd. for C35H43O7F2N5H•H2O: C, 59.90; H, 6.19; N, 9.98. Found: C, 59.09; H, 6.35; N, 9.69.
(E)-2-Prop-1-en-1-yloxy)ethyl 3-((3-(4-(3-acetamidophenyl)piperidin-1-yl)propyl)carbamoyl-4-(3,4-difluorophenyl)-6-(methoxymethyl)-2-oxo-1,2,3,4-tetrahydropyrimidine-5-carboxylate (34a). To a solution of allyloxyethyl 3-((3-(4-(3-acetamidophenyl)piperidin-1-yl)propyl)carbamoyl-4-(3,4-difluorophenyl)-6-(methoxymethyl)-2-oxo-1,2,3,4-tetrahydropyrimidine-5-carboxylate (34, 1.45 g, 2.12 mmol) and DABCO (1.00 g, 8.90 mmol) in EtOH (20 mL, 90%), RhCl(PPh3)3 (0.51 g, 0.55 mmol) was added. The reaction mixture was stirred for 15 min, cooled to room temperature, and then quenched with water. The aqueous phase was extracted with Et2O and dried with Na2SO4. After evaporation of the solvent, the crude product 34a was used for the next step without further purification.
2-Hydroxyethyl 3-((3-(4-(3-acetamidophenyl)piperidine-1-yl)propyl)carbamoyl-4-(3,4-difluoro­phenyl)-6-(methoxymethyl)-2-oxo-1,2,3,4-tetrahydropyrimidine-5-carboxylate (35). Method 1(from 32): To a solution of OsO4 (2.5% in t-butanol, 0.5 mL, 0.04 mmol), N-methyl morpholine N-oxide monohydrate (46 mg, 0.39 mmol), H2O (0.8 mL), acetone (0.3 mL), and t-butanol (0.5 mL), allyl ester 32 (250 mg, 0.39 mmol) dissolved in dioxane (0.5 mL) was added dropwise. After stirring at room temperature overnight, the mixture was treated with celite (62 mg) and NaHSO3 (5 mg) and filtered over celite. After evaporation of the solvent, the crude 2,3-dihydroxypropyl ester 32a obtained was used for the next step.
To a solution of 32a (267 mg) in CH2Cl2 (0.6 mL), a solution of NaIO4 (93 mg, 0.44 mmol) in H2O (0.6 mL) was added. The two-layered mixture was stirred for 3–4 h, followed by separation of the organic layer. After evaporation of the solvent and drying in vacuo, the crude residue 32b was used in the next step without any further purification.
To a solution of 32b (88 mg) in MeOH (3.0 mL), NaBH4 (6.0 mg, 0.15 mmol) was added in portions under stirring, followed by stirring for another 45 min. The reaction was quenched with water, and the mixture extracted three times with Et2O. The organic layer was washed with water. After evaporation of the solvent the crude product was purified via column chromatography (silica gel, eluent: CH2Cl2/MeOH 10:1) to give 12 mg of 35 (13.3%) as a yellow oil.
Method 2(from 33): To a solution of 2-(t-butyldiphenylsilyloxy)ethyl 3-((3-(4-(3-acetamidophenyl)piperidin-1-yl) propyl)carbamoyl-4-(3,4-difluorophenyl)-6-(methoxymethyl)-2-oxo-1,2,3,4-tetrahydropyrimidine-5-carboxylate (33) in THF (6.5 mL), TBAF (0.5 mL, 452 mg, 1.73, 1M in THF) was added dropwise. After stirring for 1.5 h at room temperature, the reaction was quenched with water (0.3 mL) and evaporated to dryness. The crude product was purified by column chromatography (reversed-phase silica gel, eluent: ACN/H2O 5:1 and silica gel, eluent: EtOAc/MeOH 10:1) to give 126 mg (40.3%) of 35 as a yellow oil.
Method 3(from 34a): A solution of HgCl2 (1.02 g, 3.76 mmol) in acetone/H2O (10:1, 10 mL) was added dropwise over a period of 3 min under stirring to a solution of (E)-2-(prop-1-en-1-yloxy)ethyl 3-((3-(4-(3-acetamidophenyl)piperidin-1-yl)propyl)carbamoyl)-4-(3,4-difluorophenyl)-6-(methoxy-methyl)-2-oxo-1,2,3,4-tetrahydropyrimidine-5-carboxylate 34a and HgO (1.02 g, 4.71 mmol) in acetone/H2O (10:1, 30 mL). After completion of the reaction (TLC-monitoring), HgO was removed by filtration over celite and the product was evaporated to dryness. The residue was purified by column chromatography (silica gel, eluent: CH2Cl2/MeOH 10:1) where part of the educt 34a could be recovered and used in another reaction again. The product was obtained in good yield (677 mg, 70.8%). 1H-NMR (200 MHz, CDCl3): δ (ppm) 1.74–1.85 (m, 6H, 19-CH2, 22,22′-(CH2)2), 2.02–2.09 and 3.01–3.06 (m, 4H, 21,21′-(CH2)2), 2.09 (s, 3H, 32-CH3), 2.42–2.45 (m, 3H, 20-CH2, 23-CH), 3.27–3.31 (m, 2H, 18-CH2), 3.39 (s, 3H, 7-OCH3), 3.74 (t, 2H, J = 4.4 Hz, 9b-CH2OH), 4.10-4.20 (m, 2H, 9a-OCH2), 4.62 (s, 2H, 6-OCH2), 6.62 (s, 1H, 3-CH), 6.86 (d, 1H, J = 7.5 Hz, 29-CH), 6.94–7.23 (m, 5H, 11-CH, 14-CH, 15-CH, 27-CH, 28-CH), 7.33–7.39 (m, 2H, 25-CH, 30-NH), 8.53 (s, 1H, 1-NH), 8.99 (t, 1H, J = 5.4 Hz, 17-NH); 13C-NMR (50 MHz, CDCl3): δ (ppm) 24.1 (32-CH3), 25.8 (19-CH2), 32.2 (22,22′-(CH2)2), 39.2 (18-CH2), 42.0 (23-CH), 53.0 (3-CH), 53.9 (21,21′-(CH2)2), 56.1 (20-CH2), 58.9 (7-OCH3), 60.3 (9b-CH2OH), 66.2 (9a-OCH2), 67.9 (6-OCH2), 101.6 (4-C), 115.8/116.1 (11-CH), 117.1/117.4 (14-CH), 117.8 (27-CH), 118.0 (25-CH), 122.6 (29-CH), 122.7/122.8 (15-CH), 128.7 (28-CH), 137.6 (10-C), 138.3 (26-C), 146.4 (5-C), 147.4 (24-C), 152.2 (2-CO), 153.2 (16-CO), 164.1 (8-COO), 169.0 (31-CON); MS: m/z (%) 644 (32), 345 (16), 302 (100), 259 (17), 231 (20), 160 (4), 114 (5); HRMS: Calcd. for C32H40F2N5O7 [M + H]+: 644.2896. Found: 644.2902.
3-Hydroxypropyl-3-(3-(4-(3-acetamidophenyl)piperidin-1-yl)propylcarbamoyl)-4-(3,4-difluorophenyl)-6-(methoxymethyl)-2-oxo-1,2,3,4-tetrahydropyrimidine-5-carboxylate (36). A solution of BH3-THF (1M, 0.31 mmol, 0.3 mL) was added dropwise to a solution of allyl ester 32 (131 mg, 0.21 mmol) in THF. The mixture was stirred at room temperature for 30 min prior to elimination of excess hydride ions via addition of water (0.4 mL). 3M NaOH solution (0.2 mL) and H2O2 solution (30%, 0.2 mL) were then added to the mixture. The stirred solution was heated to 60 °C for 2 h. Thereafter, the solution was cooled to room temperature and the solvent evaporated in vacuo. H2O was added and the reaction mixture was washed several times with CH2Cl2. The combined organic layers were dried over Na2SO4 and evaporated in vacuo. The intermediate product (108 mg) gave after purification by column chromatography (silica gel, eluent: CH2Cl2/MeOH 10:1) 43 mg of educt 32 and 23 mg of product 36 (26.1%). 1H-NMR (500 MHz, CDCl3): δ (ppm) 1.81–1.95 (22,22′-(CH2)2), 1.82 (m, 9b-CH2), 1.84 (m, 19-CH2), 2.16 and 3.13 (21,21′-(CH2)2), 2.17 (s, 32-CH3), 2.50 (m, 23-CH), 2.54 (m, 20-CH2), 3.33 and 3.41 (m, 18-CH2), 3.45 (s, 7-CH3), 3.52–3.64 (m, 9c-CH2), 4.22–4.31 (m, 9a-CH2), 4.67 (s, 6-CH2), 6.64 (s, 3-CH), 6.94 (d, 1H, J = 7.7 Hz, 29-CH), 7.08 (m, 14-CH), 7.09 (m, 15-CH), 7.18 (m, 11-CH), 7.21 (m, 28-CH), 7.39 (d, 1H, J = 7.9 Hz, 27-CH), 7.42 (s, 25-CH), 7.76 (s, 30-NH), 7.96 (s, 1-NH), 8.98 (t, 1H, J = 5.6 Hz, 17-NH); 13C-NMR (126 MHz, CDCl3): δ (ppm) 24.6 (32-CH3), 25.9 (19-CH2), 31.6 (9b-CH2), 32.2 (22,22′-(CH2)2), 39.3 (18-CH2), 42.0 (23-CH), 53.0 (3-CH), 54.1 (21,21′-(CH2)2), 56.3 (20-CH2), 59.1 (7-OCH3), 58.7 (9C-CH2OH), 61.5 (9a-OCH2), 68.1 (6-OCH2), 101.4 (4-C), 116.2 (d, J = 17.7, 11-CH), 117.4 (d, J = 17.3, 14-CH), 117.9 (27-CH), 118.1 (25-CH), 122.8 (29-CH), 123.1 (dd, J = 6.3, 3.6, 15-CH), 129.0 (28-CH), 137.6 (10-C), 138.3 (26-C), 146.5 (24-C), 146.6 (5-C), 150.0 (12- or 13-CF), 150.1 (12- or 13-CF), 152.2 (2-C), 153.3 (16-C), 164.5 (8-C), 168.6 (31-C); 19F-NMR (471 MHz, CDCl3): δ (ppm) -136.7 (m, 12- or 13-CF), -138.1 (m, 12- or 13-CF); MS: m/z (%) 658 (48), 345 (5), 302 (100), 259 (13), 231 (14), 160 (5), 113 (5); HRMS: Calcd. for C33H47F2N5O7Na [M + Na]+: 680.3271. Found: 680.2858.

4. Conclusions

Based on the increasing need for antiobesity drugs, two novel PET tracers for the MCHR1 have recently been developed, to investigate the role of the MCHR1 in terms of adiposity. The selective high-affinity MCHR1 antagonist SNAP-7941 1 was used as a promising basis for the development of the PET tracers[11C]SNAP-7941 1a and [18F]FE@SNAP 4a [1,15,16,17]. This paper focuses on the synthesis of the non-radioactive precursors and reference compounds of[11C]SNAP-7941 1a and [18F]FE@SNAP 4a.
While the racemic receptor antagonist 1 [10,11,12,13,14] itself served as a reference compound for the preparation of[11C]SNAP-7941 1a, a new reference compound had to be synthesized for the novel fluoroethyled tracer [18F]FE@SNAP 4a as already published by Philippe et al. [15,16]. The carboxylic acid derivative SNAP-acid 2 served as precursor for the 11C-methylation to afford the PET tracer[11C]SNAP-7941, while [18F]FE@SNAP was meant to be obtained in a first approach by 18F-fluorination of the newly prepared tosylate 3.
The synthesis of these polyfunctional SNAP derivatives comprised many commonly used syntheses, including numerous methods attempting to cleave the methyl ester of 1 to prepare SNAP-acid 2, which unfortunately were unsuccessful. Therefore, new approaches to obtain the desired derivatives accessible had to be established. A rationale for the failure of these demethylation methods could lay: (1) in the electron density which is distributed from the adjacent nitrogen to the carbonyl carbon through the conjugated double bond and thus, hinders the attack of nucleophiles (like OH) and (2) in the circumstance that acidic conditions may affect the amide bonds. In summary, due to the failure of cleaving the methyl ester 1, four different protecting groups (carboxyl esters) were chosen, leading to SNAP derivatives 2932. Finally, the precursor SNAP-acid 2 could be prepared through cleavage of the allyl protecting group of compound 32 [15,16]. Allyl-SNAP 32 was not only obtained in excellent yields compared with the other three protected derivatives, but was also used as starting material for two more SNAP derived compounds 35 and 36.
As precursor for the tosylated compound 3, HE@SNAP 35 was synthesized using three different methods, starting from either 32 or from the new derivatives 33 or 34, respectively. Compound 35 was reacted to tosylate TOE@SNAP 3, which could not be fluorinated in satisfying yields to furnish fluoroethyl ester FE@SNAP 4. Additionally, in order to increase yields and feasibility of the fluorination step, a series of propylated compounds was prepared. Allyl ester 32 was reacted to the hydroxypropyl ester HP@SNAP 35, followed by tosylation giving tosylpropyl ester TOP@SNAP 5. Similarly to fluoroethyl ester FE@SNAP 4, fluorination of 5 provided fluoropropyl ester FP@SNAP 6 only in low yields. The conversion was proved by mass spectrometry, but the isolation of 5 was hampered by decomposition during column chromatography.
Finally, fluoroethylation of the free SNAP-acid 2 (but not fluoropropylation) was achieved via Steglich esterification using DCC and DMAP. Thus, SNAP-acid 2 finally served as precursor for the radiosynthetically produced tracer[11C]SNAP-7941 1a as well as for the non-radioactive reference compound FE@SNAP 4 instead of tosylate 3, which is used as precursor for the tracer [18F]FE@SNAP 4a [15,16]. After radioactive labeling at the Medical University of Vienna [15,16], biodistribution and micro PET experiments will be the next step of this ongoing project, as recently shown by Philippe et al. [40].

Acknowledgments

This research was funded by the Austrian Science Fund (FWF P20977-B09) awarded to M. Mitterhauser.

Conflicts of Interest

The authors declare no conflict of interest.

References

  1. Borowsky, B.; Durkin, M.M.; Ogozalek, K.; Marzabadi, M.R.; DeLeon, J.; Heurich, R.; Lichtblau, H.; Shaposhnik, Z.; Daniewska, I.; Blackburn, T.P.; et al. Antidepressant, anxiolytic and anorectic effects of a melanin-concentrating hormone-1 receptor antagonist. Nat. Med. 2002, 8, 825–830. [Google Scholar]
  2. Bittencourt, J.C.; Elias, C.F. Diencephalic origins of melanin-concentrating hormone immunoreactive projections to medial septum/diagonal band complex and spinal cord using two retrograde fluorescent tracers. Ann. N.Y. Acad. Sci. 1993, 680, 462–465. [Google Scholar] [CrossRef]
  3. Qu, D.; Ludwig, D.S.; Gammeltoft, S.; Piper, M.; Pelleymounter, M.A.; Cullen, M.J.; Mathes, W.F.; Przypek, J.; Kanarek, R.; Maratos-Flier, E. A role for melanin-concentrating hormone in the central regulation of feeding behavio. Nature 1996, 380, 243–247. [Google Scholar] [CrossRef]
  4. Bittencourt, J.C.; Presse, F.; Arias, C.; Peto, C.; Vaughan, J.; Nahon, J.L.; Vale, W.; Sawchenko, P.E. The melanin-concentrating hormone system of the rat brain: An immuno- and hybridization histochemical characterization. J. Comp. Neurol. 1992, 319, 218–245. [Google Scholar]
  5. Francke, F. Funktionelle Untersuchungen an den MCH-Rezeptor 1 interagierenden Proteinen MIZIP und Neurochondrin. Ph.D. Dissertation, Universität Hannover, Hannover, German, 2005. [Google Scholar]
  6. Bittencourt, J.C.; Frigo, L.; Rissman, R.A.; Casatti, C.A.; Nahon, J.-L.; Bauer, J.A. The distribution of melanin-concentrating hormone in the monkey brain (Cebus apella). Brain Res. 1998, 804, 140–143. [Google Scholar]
  7. Ludwig, D.S.; Tritos, N.A.; Mastaitis, J.W.; Kulkarni, R.; Kokkotou, E.; Elmquist, J.; Lowell, B.; Flier, J.S.; Maratos-Flier, E. Melanin-concentrating hormone overexpression in transgenic mice leads to obesity and insulin resistance. J. Clin. Invest. 2001, 107, 379–386. [Google Scholar] [CrossRef]
  8. Kokkotou, E.G.; Tritos, N.A.; Mastaitis, J.W.; Slieker, L.; Maratos-Flier, E. Melanin-concentrating hormone receptor is a target of leptin action in the mouse brain. Endocrinology 2001, 142, 680–686. [Google Scholar] [CrossRef]
  9. Salon, J.A.; Laz, T.M.; Nagorny, R.; Wilson, A.E.; Craig, D.A. DNA encoding a human melanin concentrating hormone receptor (MCH1) and uses thereof. U.S. Patent 20,040,038,855, 5 August 2004. [Google Scholar]
  10. Borowsky, B.; Blackburn, T.P.; Ogozalek, K. Human melanin concentrating hormone receptor MCH1,its DNA, its synthetic ligands and diagnostic and therapeutic uses thereof. U.S. Patent 2,003,082,623, 1 May 2003. [Google Scholar]
  11. Lagu, B.; Wetzel, J.; Marzabadi, M.R.; DeLeon, J.E.; Gluchowski, C.; Noble, S.; Nagarathnam, D.; Chiu, G. Selective melanin concentrating hormone-1 (MCH1) receptor antagonists and uses thereof. WO 2002006245, 24 January 2002. [Google Scholar]
  12. Marzabadi, M.R.; Wetzel, J.; DeLeon, J.E.; Lagu, B.; Gluchowski, C.; Noble, S.; Nagarathnam, D. Selective melanin concentrating hormone-1 (MCH1) receptor antagonists and uses thereof. U.S. Patent 20,030,069,261, 13 April 2003. [Google Scholar]
  13. Marzabadi, M.; Jiang, A.; Lu, K.; Chien, C.-A.; DeLeon, J.; Wetzel, J. Spirocyclic piperidines as mch1 antagonists and uses thereof. WO 2004004714 15 January 2004. [Google Scholar]
  14. Salon, J.; Laz, T.M.; Nagorny, R.; Wilson, A.E. DNA encoding a human melanin concentrating hormone receptor (MCH1) and uses thereof. WO 2002002744, 10 January 2002. [Google Scholar]
  15. Philippe, C.; Schirmer, E.; Mitterhauser, M.; Shanab, K.; Lanzenberger, R.; Karanikas, G.; Spreitzer, H.; Viernstein, H.; Wadsak, W. Radiosynthesis of[11C]SNAP-7941-the first PET-tracer for the melanin concentrating hormone receptor 1 (MCHR1). Appl. Rad. Isot. 2012, 70, 2287–2294. [Google Scholar] [CrossRef]
  16. Philippe, C.; Ungersböck, J.; Schirmer, E.; Zdravkovic, M.; Nics, L.; Zeilinger, M.; Shanab, K.; Lanzenberger, R.; Karanikas, G.; Spreitzer, H.; et al. [18F]FE@SNAP-A new PET tracer for the melanin concentrating hormone receptor 1 (MCHR1): Microfluidic and vessel-based approaches. Bioorg. Med. Chem. 2012, 20, 5936–5940. [Google Scholar] [CrossRef]
  17. Schönberger, J. Studie zur Entwicklung neuer Leitstrukturen für die medikamentöse Adipositastherapie. Ph.D. Dissertation, Technische Universität Darmstadt, Darmstadt, German, 2006. [Google Scholar]
  18. Murali Dhar, T.G.; Nagarathnam, D.; Marzabadi, M.R.; Lagu, B.; Wong, W.C.; Chiu, G.; Tyagarajan, S.; Miao, S.W.; Zhang, F.; Sun, W.; et al. Design and synthesis of novel alpha(1)(a) adrenoceptor-selective antagonists. 2. Approaches to eliminate opioid agonist metabolites via modification of linker and 4-methoxycarbonyl-4-phenylpiperidine moiety. J. Med. Chem. 1999, 42, 4778–4793. [Google Scholar] [CrossRef]
  19. Valenti, P.; Recanatini, M.; da Re, P.; Galimbeni, W.; Avanzi, N.; Filippeschi, S. Xanthone Analogue of Geiparvarin. Arch. Pharm. 1985, 318, 923–926. [Google Scholar] [CrossRef]
  20. Shuter, E.; Duong, H.; Hutton, C.A.; McLeod, M.D. The enantioselective synthesis of APTO and AETD: polyhydroxylated beta-amino acid constituents of the microsclerodermin cyclic peptides. Org. Biomol. Chem. 2007, 5, 3183–3189. [Google Scholar] [CrossRef]
  21. Gokel, G.W.; Hernandez, J.C.; Viscariello, A.M.; Arnold, K.A.; Campana, C.F.; Echegoyen, L.; Fronczek, F.R.; Gandour, R.D.; Morgan, C.R.; Trafton, J.E.; et al. Steroidal lariat ethers: A new class of macrocycles and the crystal structure of N-(cholesteryloxycarbonyl)aza-15-crown-5. J. Org. Chem. 1987, 52, 2963–2968. [Google Scholar] [CrossRef]
  22. Botti, P.; Pallin, T.D.; Tam, J.P. Cyclic peptides from linear unprotected peptide precursors through thiazolidine formation. J. Am. Chem. Soc. 1996, 118, 10018–10024. [Google Scholar] [CrossRef]
  23. Adam, J.-M.; de Fays, L.; Laguerre, M.; Ghosez, L. Asymmetric synthesis of cyclic β-hydroxyallylsilanes via sequential allyltitanation-ring closing metathesis. Tetrahedron 2004, 60, 7325–7344. [Google Scholar] [CrossRef]
  24. Gattermann, L.; Wieland, H. Die Praxis des organischen Chemikers; Walter de Gruyter: Berlin, Germany, 1982; p. 540. [Google Scholar]
  25. Heidecke, C.D.; Lindhorst, T.K. Iterative synthesis of spacered glycodendrons as oligomannoside mimetics and evaluation of their antiadhesive properties. Chem. Eur. J. 2007, 13, 9056–9067. [Google Scholar] [CrossRef]
  26. Park, Y.S.; Lee, E.J.; Chun, Y.S.; Yoon, Y.D.; Yoon, K.B. Long-lived charge-separation by retarding reverse flow of charge-balancing cation and zeolite-encapsulated Ru(bpy)(3)(2+) as photosensitized electron pump from zeolite framework to externally placed viologen. J. Am. Chem. Soc. 2002, 124, 7123–7135. [Google Scholar] [CrossRef]
  27. Crimmins, M.T.; Al-Awar, R.S.; Vallin, I.M.; Hollins, W.G.; O′Mahony, R.; Lever, J.G.; Bankaitis-Davis, D.M. Asymmetric total synthesis of (+)-milbemycin D. J. Am. Chem. Soc. 1996, 118, 7513–7528. [Google Scholar] [CrossRef]
  28. Smith, A.B.; Empfield, J.R.; Rivero, R.A.; Vaccaro, H.A.; Duan, J.; Sulikowski, M.M. Total synthesis of (±)-breynolide, an aglycon derivative of the orally active hypocholesterolemic agent breynin A. J. Am. Chem. Soc. 1992, 114, 9419–9434. [Google Scholar] [CrossRef]
  29. Gigg, R.; Warren, C.D. The allyl ether as a protecting group in carbohydrate chemistry. Part II. J. Chem. Soc. C 1968, 1968, 1903–1911. [Google Scholar] [CrossRef]
  30. Shanab, K. Synthese Von Precursoren Von A3-Adenosin-Rezeptor PET-Tracern—Im Dienste Der Nuklearmedizin; vdm Verlag: Wien, Austria, 2008. [Google Scholar]
  31. Lambert, C.; Mease, R.C.; Avren, L.; Le, T.; Sabet, H.; McAfee, J.G. Radioiodinated (aminostyryl)-pyridinium (ASP) dyes: New cell membrane probes for labeling mixed leukocytes and lymphocytes for diagnostic imaging. Nucl. Med. Biol. 1996, 23, 417–427. [Google Scholar] [CrossRef]
  32. Velusamy, S.; Kumar, J.S.K.; Punniyamurthy, T. Cobalt(II) catalyzed tosylation of alcohols withp-toluenesulfonic acid. Tetrahedron Lett. 2004, 45, 203–205. [Google Scholar] [CrossRef]
  33. Bouzide, A.; LeBerre, N.; Sauvé, G. Silver(I) oxide-mediated facile and practical sulfonylation of alcohols. Tetrahedron Lett. 2001, 42, 8781–8783. [Google Scholar] [CrossRef]
  34. Radeke, H.; Hanson, K.; Yalamanchili, P.; Hayes, M.; Zhang, Z.-Q.; Azure, M.; Yu, M.; Guaraldi, M.; Kagan, M.; Robinson, S.; et al. Synthesis and biological evaluation of the mitochondrial complex 1 inhibitor 2-[4-(4-Fluorobutyl)benzylsulfanyl]-3-methylchromene-4-one as a potential cardiac positron emission tomography tracer. J. Med. Chem. 2007, 50, 4304–4315. [Google Scholar] [CrossRef]
  35. Pilcher, A.S.; Ammon, H.L.; de Shong, P. Utilization of tetrabutylammonium triphenylsilyldifluoride as a fluoride source for nucleophilic fluorination. J. Am. Chem. Soc. 1995, 117, 5166–5167. [Google Scholar] [CrossRef]
  36. Kim, D.W.; Ahn, D.-S.; Oh, Y.-H.; Lee, S.; Kil, H.S.; Oh, S.J.; Lee, S.J.; Kim, J.S.; Ryu, J.S.; Moon, D.H.; et al. A new class of SN2 reactions catalyzed by protic solvents: Facile fluorination for isotopic labeling of diagnostic molecules. J. Am. Chem. Soc. 2006, 128, 16394–16397. [Google Scholar] [CrossRef]
  37. Moughamir, K.; Atmani, A.; Mestdagh, H.; Rolando, C.; Francesch, C. Activation of tetrabutylammonium hydrogen difluoride with pyridine: A mild and efficient procedure for nucleophilic fluorination. Tetrahedron Lett. 1998, 39, 7305–7306. [Google Scholar] [CrossRef]
  38. Organic Chemistry Portal Home Page. Available online: http://www.organic-chemistry.org/namedreactions/steglich-esterification.shtm (accessed on 15 April 2003).
  39. Guo, J.; Knapp, D.W.; Boegeman, S. A practical preparation of enantiomerically pure (R)- and (S)-2-bromohexadecanoic acids. Tetrahedron Asymm. 2000, 11, 4105–4111. [Google Scholar] [CrossRef]
  40. Philippe, C.; Nics, L.; Zeilinger, M.; Kuntner, C.; Wanek, T.; Mairinger, S.; Shanab, K.; Spreitzer, H.; Viernstein, H.; Wadsak, W.; et al. Preclinical in vitro & in vivo evaluation of [(11)C]SNAP-7941—The first PET tracer for the melanin concentrating hormone receptor 1. Nucl. Med. Biol. 2013, 40, 919–925. [Google Scholar] [CrossRef]
  • Sample Availability: Samples of the compounds 136 are available from the authors.

Share and Cite

MDPI and ACS Style

Schirmer, E.; Shanab, K.; Datterl, B.; Neudorfer, C.; Mitterhauser, M.; Wadsak, W.; Philippe, C.; Spreitzer, H. Syntheses of Precursors and Reference Compounds of the Melanin-Concentrating Hormone Receptor 1 (MCHR1) Tracers [11C]SNAP-7941 and [18F]FE@SNAP for Positron Emission Tomography. Molecules 2013, 18, 12119-12143. https://doi.org/10.3390/molecules181012119

AMA Style

Schirmer E, Shanab K, Datterl B, Neudorfer C, Mitterhauser M, Wadsak W, Philippe C, Spreitzer H. Syntheses of Precursors and Reference Compounds of the Melanin-Concentrating Hormone Receptor 1 (MCHR1) Tracers [11C]SNAP-7941 and [18F]FE@SNAP for Positron Emission Tomography. Molecules. 2013; 18(10):12119-12143. https://doi.org/10.3390/molecules181012119

Chicago/Turabian Style

Schirmer, Eva, Karem Shanab, Barbara Datterl, Catharina Neudorfer, Markus Mitterhauser, Wolfgang Wadsak, Cécile Philippe, and Helmut Spreitzer. 2013. "Syntheses of Precursors and Reference Compounds of the Melanin-Concentrating Hormone Receptor 1 (MCHR1) Tracers [11C]SNAP-7941 and [18F]FE@SNAP for Positron Emission Tomography" Molecules 18, no. 10: 12119-12143. https://doi.org/10.3390/molecules181012119

APA Style

Schirmer, E., Shanab, K., Datterl, B., Neudorfer, C., Mitterhauser, M., Wadsak, W., Philippe, C., & Spreitzer, H. (2013). Syntheses of Precursors and Reference Compounds of the Melanin-Concentrating Hormone Receptor 1 (MCHR1) Tracers [11C]SNAP-7941 and [18F]FE@SNAP for Positron Emission Tomography. Molecules, 18(10), 12119-12143. https://doi.org/10.3390/molecules181012119

Article Metrics

Back to TopTop