Abstract
Biopolymers and their derivatives are being actively investigated as substitutes for petroleum-based polymers. This has generated an intense interest in investigating new solvents, in particular for cellulose, chitin/chitosan, and starch. This overview focuses on recent advances in the dissolution and derivatization of these polysaccharides in solutions of strong electrolytes in dipolar aprotic solvents. A brief description of the molecular structures of these biopolymers is given, with emphases on the properties that are relevant to derivatization, namely crystallinity and accessibility. The mechanism of cellulose dissolution is then discussed, followed by a description of the strategies employed for the synthesis of cellulose derivatives (carboxylic acid esters, and ethers) under homogeneous reaction conditions. The same sequence of presentation has been followed for chitin/chitosan and starch. Future perspectives for this subject are summarized, in particular with regard to compliance with the principles of green chemistry.
1. Scope of the Overview
This overview focuses on recent advances in the dissolution and derivatization of cellulose, chitin/chitosan, and starch in solutions of strong electrolytes dissolved in dipolar aprotic solvents, in particular N,N-dimethylacetamide (DMAC), and dimethylsulfoxide (DMSO). These solvents induce swelling, but do not dissolve some of the above-mentioned biopolymers, namely cellulose and chitin. Addition of certain strong electrolytes, e.g., LiCl or quaternary ammonium fluoride hydrates, however, leads to the formation of clear polysaccharide solutions. This visual aspect does not necessarily mean the formation of molecularly dissolved biopolymer solutions. Aggregate formation has been experimentally demonstrated and is relevant to the accessibility of the hydroxyl groups of the polysaccharide. Consequently, different experimental conditions are required, e.g., for the derivatization of fibrous celluloses, as compared with those of its microcrystalline (MCC) counterpart. The need for considering the physico-chemical characteristics of the polysaccharide solutions is, therefore, justified. With this background, we present here an overview on the dissolution and derivatization of cellulose, chitin/chitosan, and starch by strong electrolytes in the above-mentioned solvents. To our knowledge, this is the first time that derivatization of these polysaccharides is jointly reviewed. After discussing the relevance of the subject to green chemistry, we consider briefly the structures of the above-mentioned polysaccharides. We discuss the outlines of their derivatization under heterogeneous-(industrial) as well as homogeneous reaction conditions. The part on obtaining polysaccharide solutions includes the strategies employed for biopolymer activation, where required, and the mechanism of dissolution. We then discuss the synthetic strategies and reaction conditions that are usually employed for derivatization, and list the results obtained. We dwell more on cellulose derivatives, in particular the esters and ethers, because their synthesis has received more attention; they are also industrially applied on much wider scale than chitin/chitosan and/or starch.
2. Introduction: Relevance to Green Chemistry
The development of polymer technology and consequent increase in world production of petroleum-based polymers has unquestionably resulted in important benefits for diverse industrial sectors. At present, fossil resources, such as petroleum and coal, account for ca. 86% of energy and 96% of organic chemicals [] The environmental problems associated with petroleum-based products, coupled with ever-increased demand on crude oil have led to the perception that renewable alternatives should be seriously considered and developed. For example, it is estimated that within two decades fossil-based resources will not be enough to meet world demand. In this regard, biomass-based raw materials have attracted much interest and proved to be a feasible alternative [,,]. Additionally, synthetic polymers are resistant to chemical, photochemical, and enzymatic degradation. This has led, inter alia, to an increasingly serious waste disposal problems resulting, e.g., in discouraging/banning the use of polyethylene bags in the supermarkets of several countries.
Polymers are currently employed in diverse sectors, including paint, food, cosmetic, car, and building industries. In most of these applications, biopolymers, particularly those from renewable sources such as cellulose, chitin/chitosan, and starch represent interesting alternatives, due to their structural versatility, ready biodegradability, and relatively low cost [,]. Undoubtedly, these eco-friendly polymers are an important contribution in the search for solutions for the waste-disposal problem; the reduction of CO2 emission; the development of biocompatible devices, and edible packing films [,,]. In summary, derivatives of biopolymers are here to stay because of their compliance to the principles of green chemistry, in addition to their favorable properties and competitive cost.
3. Derivatization of Cellulose, Chitin/Chitosan, and Starch
3.1. Relevance of the Molecular Structures of Cellulose, Chitin/Chitosan, and Starch to Biopolymer Processing and Derivatization
Figure 1 shows that the molecular structure of cellulose leads to extensive inter- and intra-molecular hydrogen bonding []. The consequence of this bonding, and van der Waals interactions, [] is that cellulose chains align in a highly ordered state to form crystalline regions, whereas the less ordered segments constitute the amorphous part. The proportion of ordered to disordered regions (index of crystallinity, Ic) of cellulose varies considerably with its origin and the extent of treatment, both physical and chemical, to which the raw material, e.g., wood was submitted.
Figure 1.
Intra- and intermolecular hydrogen bonds in cellulose. The anhydroglucose units, AGUs, are linked by 1,4-β-glycosidic bonds.
This structural feature bears on several aspects of the chemistry and applications of cellulose; we dwell here on cellulose processing and reactivity. For example, cellulose cannot be processed by the techniques most frequently employed for synthetic polymers, namely, injection molding and extrusion from the melt. The reason is that its temperature of melting presumably lies above the temperature of its thermal decomposition. Several commercial cellulose derivatives, in particular cellulose acetate, CA, and nitrate, are soluble, however, in common organic solvents, e.g., acetone, alcohol and chloroform, and can be extruded as fibers, films, rods and sheets. Since the AGU has three free OH groups (at C2, C3 and C6) it is possible, in principle, to obtain derivatives of any degree of substitution, DS, directly by adjusting the molar ratio (derivatizing agent)/AGU. In practice, however, this is not feasible, because: (i) the three hydroxyls have different reactivities both under heterogeneous [], and homogeneous reaction conditions []. (ii) The accessibilities of the same hydroxyl group in the amorphous and crystalline regions are different []. Consequently, it is not feasible to obtain uniformly substituted cellulose derivative with DS, say of 1 to 2.5 directly, i.e., by the (heterogeneous) reaction of a slurry of cellulose in the derivatizing reagent. The reason is that the products obtained will be heterogeneous, even if the (average) DS is achieved. The AGU’s of the amorphous regions will be more substituted than their counterparts in the crystalline regions. This heterogeneity may lead, for example, to serious solubility problems in solvents that are usually industrially employed, e.g., acetone [].
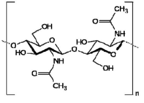
Chitin is a high molecular weight linear homopolymer of β-(1,4)N-acetyl glucosamine []. Similar to cellulose, chitin is a fibrous polymer whose structure is characterized by multiple hydrogen-bonding linkages. The network formed by that set of linkages confers high strength to chitin, see Figure 2.
Figure 2.
Molecular structure of chitin.
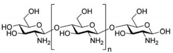
Chitosan is obtained by deacetylation of chitin e.g., by a base. As this reaction is usually incomplete, chitosan is in fact a copolymer containing D-glucosamine and N-acetyl-D-glucosamine as monomers. The monomer are joined by β-(1,4) glycosidic linkage; see Figure 3.
Figure 3.
Molecular structure of chitosan.
Chitin and chitosan can be functionalized at two distinct functional groups, viz., OH and NH2. This has led to intense interest in a number of biotechnological applications that extend to pharmacy (in drug delivery, as hydrogels), food and nutrition, cosmetics, medicine (absorbable sutures, artificial skin, contact lenses, tissue regeneration), waste water processing, textile industry (sorption of dyes), paper industry (imparting wet strength to paper), photography, etc. [,].
Chitin occurs in three different polymorphic forms (α, β and γ), the latter being a variant of the α-form that differs in packing and polarities of adjacent chains in successive sheets [,]. The capacity of solvents to solubilize chitin is dependent on the polymorph considered, which, in turn, varies with physiological role and tissue characteristics of the organism. In both α- and β-polymorphs, the chitin chains are organized in sheets tightly held by a large number of inter-sheet hydrogen bonds that form a tightly packed network. The α-chitin structure is highly crystalline, with both intra- and intermolecular hydrogen bonding (the latter between chains arranged in an antiparallel form) creating an intricate network that limits the access of solvent. Due to its more open structure, as shown in Figure 4, β-chitin is more susceptible than its α-counterpart to intracrystalline swelling. Note that the α-chitin polymorph can be converted into its β-counterpart by treatment with NaOH solution []. In general, however, chitin is a very intractable material due to its internal, highly hydrogen-bonded structure, being only soluble in concentrated acids or in solvent systems, e.g., LiCl/DMAC. Due to its ready protonation, chitosan dissolves in dilute acids, from which it can be extruded as gels and films [].
Figure 4.
Characteristic hydrogen bonding patterns in (a) α-chitin; (b) β-chitin (reproduced from [] with permission).
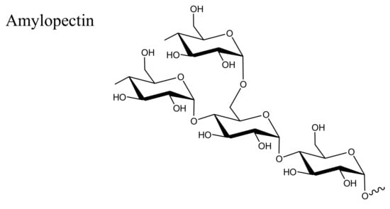
Starch consists of two types of biopolymers: amylose (linear and helical) and amylopectin (branched). Their structures are depicted in Figure 5. Amylose is formed by α(1→4) bound glucose molecules; amylopectin also presents α(1→4) linkages in its linear chain regions; however, it also shows branching points involving α(1→6) bonds, which occur at every 24 to 30 glucose units. Amylose represents ca. 25% of starch, the rest being amylopectin. These figures, however, are dependent on plant origin and also on soil conditions [].

Figure 5.
Molecular structures of amylose and amylopectin.
Starch gelation and retro gradation (a reaction that takes place in gelatinized starch, when amylose and amylopectin chains realign themselves, causing liquid to gel) is an important aspect of starch technology in many areas of application []. Functional characteristics of gels and of gelling process are markedly dependent on starch source and on relative amounts of amylopectin and amylose in starch grain.
Table 1 shows typical amylose and amylopectin contents of some starches [,,]. The relevance of the ratio between the two components is that it bears on the DS of the derivatives. For example, starches with low amylose content exhibit higher DS on acetylation [].
Table 1.
Typical amylose and amylopectin contents of starch from various crops.
In summary, molecular structural features of three biopolymers have important consequences for their processing and derivatization. Some are not soluble in organic solvents; for products with intermediate DS values they cannot be derivatized directly and uniformly (in AGU and along the biopolymer backbone) by heterogeneous reactions; the accessibility of functional groups present depend on Ic, and on the type (primary or secondary) of the (OH) group; chitosan is interesting because it carries two functional groups (OH and NH2) having different nucleophilicity.
3.2. Principles of Polysaccharide Derivatization Under Heterogeneous and Homogeneous Reaction Conditions: Strong Electrolytes in Dipolar Aprotic Solvents
The production of cellulose esters and ethers by industrial processes, i.e., under heterogeneous reaction conditions are well-established processes. Thanks to relatively recent developments (e.g., fast acetylation/fast hydrolysis process for CAs) these processes are cost-effective; there is no immediate need for major changes in industrial plants. For commodity products, e.g., CA and carboxymethyl cellulose (CMC), the properties are “adjusted” by blending several batches. Due to these aspects, derivatization under heterogeneous conditions faces limitations whenever a more rigid control of product characteristics, hence applications, e.g., in filters for hemodialysis where blood compatibility is an essential requirement []. The (unavoidable) decrease of DP during cellulose derivatization under heterogeneous conditions (e.g., due to acid- or base-catalyzed degradation) is, sometimes intentional, e.g., in order to decrease the viscosity of cellulose xanthate in the rayon production process. Blending of the products of several batches leads to products with acceptably reproducible characteristics/performance. A noticeable limitation is that the heterogeneous reaction is not employed commercially for the production of relatively hydrophobic esters, or ethers. These compounds are important because of their lower melting temperature (leading to less drastic extrusion conditions); higher solubility in common organic solvents, and compatibility in blends with relatively hydrophobic polymers. In fact, commercially available ester with the longest acyl group chain is cellulose butyrate. Another problem is connected with obtaining “one-pot” products with mixed substituents, e.g., acetate/butyrate derivatives. This is due to the intrinsic difficulty of controlling the reactivity of two competing reagents (e.g., acetic- and butyric anhydride) under heterogeneous conditions.
On the other end of spectrum is the homogeneous reaction scheme, HRS, in which biopolymer is dissolved in a non-derivatizing solvent, i.e., one that causes dissolution without forming covalent bonds. This is followed by reaction with a derivatizing agent (acid anhydride; acyl chloride/base; alkyl halide/solid NaOH) to give the desired product. A recent interesting extension of HRS is that employed for obtaining ethers, by using ILs with basic counter-ion, because the reaction does not require an inorganic base in order to activate cellulose, hence is carried out under completely homogeneous conditions []. In principle, HRS is free of the consequences of the semi-crystalline structure of cellulose on reactivity because biopolymer chain is decrystallized upon solubilization []. Therefore, products are expected to be essentially regularly substituted, both within AGU and along the biopolymer backbone. Additional advantages of HRS include: little degradation of the starting polymer; high reproducibility; better control of reactions leading to the introduction of two functional groups (as in mixed esters) []. Whereas the relevance to industrial application of negligible cellulose degradation maybe open to question, HRS is definitely superior in terms of much better control of the product characteristics, hence performance. The latter fact is the impetus of continued intense interest in pursuing different aspects of this scheme.
3.2.1. Derivatization of Cellulose Under Homogeneous Reaction Conditions
There are only a few solvents that dissolve cellulose physically, i.e., without forming a covalent bond. These include in N-methylmorpholine N-oxide [], alkaline solutions [], and ionic liquids [,]. Most other molecular solvents cause swelling of cellulose to varying extents, but not complete dissolution. Nevertheless, disruption of these interactions can be readily achieved by using strong electrolytes, SEs, in dipolar aprotic solvents, DAS. Examples of SEs include LiCl and tetraalkylammonium fluoride hydrates (R4NF·xH2O). Examples of the DAS are N,N-dimethylacetamide, DMAC, N-methylpyrrolidin-2-one, and DMSO. Briefly, these electrolytes dissociate in the DAS employed, due to their high polarities and relative permittivity’s. A combination of biopolymer-solvent system interactions, including those with the unsolvated ions, and/or their complexes with DAS disrupt the hydrogen-bond network present, leading to biopolymer dissolution. The importance of components of solvent system and the structural characteristics of cellulose can be shown by the following results: (i) tetra (1-butyl) ammonium chloride and bromide are soluble in DMSO but do not dissolve cellulose []. (ii) in the same DAS, LiCl is more effective than LiBr; (iii) TBAF/DMSO dissolves cellulose at room temperature; the corresponding tetramethylammonium fluoride is ineffective; benzyltrimethyl-ammonium fluoride hydrate is only partially satisfactory [], (iv) MCC dissolves in LiCl/DMAC more readily than fibrous celluloses; dissolution of the latter depend on their DP and Ic; cotton is frequently mercerized in order to facilitate its dissolution [,].
In recent years, LiCl/DMAC and tetrabutylammonium fluoride trihydrate (TBAF) have become popular solvent systems for dissolution of cellulose, chitin/chitosan and starch. The former system was first employed in order to dissolve polyamides and chitin [,,,,]. Its use quickly spread, and the application to dissolve cellulose was reported for the first time almost concomitantly by McCormick [] and Turbak []; the (TBAF) system has been developed thanks to the work of Heinze et al, vide infra. The mechanisms involved in biopolymer dissolution by these solvent systems will be discussed below in more detail.
Despite the advantages of HRS in terms of better product control, there is an obvious need to evaluate the environmental and economic aspects of this approach. Although this discussion is outside the scope of the present overview, we note that published toxicological data show that DMAC [] and DMSO [] are much safer solvents for derivatization than, e.g., dichloromethane [] that is employed in industrial, i.e., heterogeneous preparation of cellulose acetate []. Due to relatively high cost of the SE/DAS system, it is imperative that HRS is optimized in order to be competitive. For example, DMAC, unreacted acetic anhydride, and the produced acetic acid have been recovered, essentially pure, from the reaction mixture by fractional distillation under reduced pressure []. Although no attempt has been made to recover LiCl, it can be precipitated by addition of a suitable, less polar solvent. In principle, heating solutions of quaternary ammonium fluorides may lead to side reactions, e.g., Hofmann elimination []. Therefore understanding details of solvent-biopolymer interactions and physical state of biopolymer in solution, and recycling the components of solvent system are essential elements for commercial success of this process; some of these will be examined in the following sections.
3.2.1.1. Strategies for Cellulose Activation: Solvent Exchange; Water Entrainment by Partial Solvent Distillation; Thermal Activation
Depending on the solvent system employed in order to dissolve cellulose, it is necessary to submit the biopolymer to an “activation” pretreatment step, before its dissolution is attempted. This is the case for LiCl/DMAC; R4NF/DMSO dissolve MCC and fibrous celluloses directly, i.e., without prior activation. The objective of activation is to increase the diffusion of reagents into cellulose supra-molecular structure, by making the crystallite surfaces and the crystalline regions more accessible. This is achieved by inter- and intra-crystalline penetration of activating agent into cellulose, which disrupts strong, water-mediated hydrogen bonding between biopolymer chains [,]. The relevance of this step to the success of reaction is demonstrated by erratic results that are obtained if it is not carried out properly. The following results of cellulose acetylation with 50 wt% acetic anhydride in pyridine, at 30 °C, drive home the point (the figures refer to acetyl content): no activation, 8.8%; pre-treatment with chloroform/pyridine, 26.4%; same pre-treatment with ethanol/chloroform, 27.6% []. Therefore, we start by describing the different strategies that are employed for cellulose activation. Activation by treatment with a base, e.g., NaOH will not be considered in the present account because the base reacts with most of the derivatizing agents, in particular those that are employed for ester and ether formation. The three main methods employed are described below:
Activation by Solvent Exchange
Native or mercerized cellulose can be activated by a solvent exchange scheme, in which the biopolymer is first swollen with water; the latter is displaced by methanol, and then finally by the derivatizing DAS, e.g., DMAC [,,]. For biopolymers of different structural characteristics, sufficient time should be permitted for the chains to be untangled. The larger the Ic and the molar mass of the sample, the longer is the time needed to obtain a clear solution (after addition of LiCl). This method is universal, applicable to all types of cellulose, including bacterial cellulose. It is, however, both laborious and expensive. For example, one day is needed for the activation of MCC, by using 25 mL of water; 64 mL of methanol, and 80 mL of DMAC/g cellulose. Its use is recommended where cellulose dissolution with almost no degradation is required.
Water Entrainment by Partial Solvent Distillation
Activation by distillation of a part of reaction solvent (ca. 25%) is based on the fact that at its boiling point, DAS has sufficiently high vapor pressure to cause extensive fiber swelling. [,,,]. This single-step method is simpler, faster than solvent exchange, and consumes less LiCl for biopolymer dissolution []. Two problems, however, are associated with this method: (i) It does not eliminate water completely, which leads to consumption of a part of acylating agent []; (ii) its use may lead to biopolymer degradation by two routes: The first involves the formation of furan structures by reaction of biopolymer with, N,N-dimethylacetoacetamide, CH3CO-CH2CON(CH3)2, a primary auto-condensation product of DMAC. Reaction of cellulose with this condensation product is slow, and is catalyzed, e.g., by carboxylic acid that is liberated during acylation by a carboxylic anhydride. A faster biopolymer degradation reaction involves N,N-dimethylketeniminium ion [CH2=C=N+(Me)2] that is formed by dehydration of enol tautomer of DMAC [CH2=C(OH)N(Me)2] This extremely reactive electrophile causes random chain cleavage, resulting in pronounced and rather fast changes in the molar mass distribution of cellulose [].
Thermal Activation
Activation can be carried out by heating. Because this treatment may lead to biopolymer “hornification”, it is usually carried out under reduced pressure. In one procedure, a mixture of cellulose and LiCl is heated under reduced pressure until the water in cellulose is removed, followed by introduction of DMAC []. It is important that DAS is also introduced under reduced pressure; establishing atmospheric pressure before the heat-activated polymer is embedded by the solvent leads to erratic results, probably due to pressure-drop induced hornification. This method is simple, less time consuming, and does not cause biopolymer degradation [].
3.2.1.2. Mechanism of Cellulose Dissolution
Alternative models have been advanced in order to explain the mechanism of solubilization, some of which are summarized below, Figure 6 [,,,,]. Most of these are based on the interactions between SE/DAS complex, its component simple- or complex ions (e.g., Li(DMAC)+ macro-cation) and the hydroxyl groups of cellulose [,,,].
Figure 6.
Proposed mechanisms of cellulose-LiCl/DMAC complexation.
The formation of these structures has been probed by NMR spectroscopy. For LiCl/DMAC [], a decrease in 7Li chemical shifts and increase in its peak width at half-height was observed as a function of increasing cellulose concentration. In contrast, no variation in these NMR parameters was observed for LiCl/DMAC solutions in the absence of cellulose, as a function of increasing [LiCl]. Therefore, molecular environment of Li+ progressively changes as cellulose is added to the solution. The interaction presumably involves an exchange between one DMAC molecules in the inner coordination shell of Li+ with a cellulosic hydroxyl group, in a cooperative manner. In addition, the bulky LiCl/DMAC complex would penetrate into the cellulose chains, creating more inner space within 3D biopolymeric structure, thus contributing further to dissolution. This exchange model is shown in Scheme 1 [].
Scheme 1.
Proposed model for cellulose/LiCl/DMAC interaction leading to dissolution; LM refers to DMAC molecules solvating the Li+ ion.
The importance of Cl−·····H-O-Cell, interactions for cellulose dissolution in LiCl/DMAC has been corroborated by the study of solvatochromism in these solutions. The latter term refers to the effect of medium on the spectra, absorption or emission, of certain compounds (solvatochromic substances or probes) whose spectra are especially sensitive to the properties of the medium. These properties include “acidity”, “basicity”, dipolarity, and polarizability. The information on the properties of the medium is usually obtained from the dependence of solvatochromism (i.e., the value of λmax of the probe intra-molecular charge-transfer complex) on some experimental variable, e.g., concentration or solution temperature. These probes have been employed in order to investigate the properties of cellulose proper; DMAC, LiCl-DMAC; and cellulose/LiCl-DMAC solutions [,]. Thus high “acidity” of unsolvated Li+ was reduced in LiCl/DMAC solution indicating the formation of Li+(DMAC)n macro-cation.
Whereas dissolution of cellulose in LiCl/DMAC has little effect on the overall polarity of DAS, the basicity of the medium was affected drastically, indicating strong Cl− ·····H-O-Cell interactions. It was concluded that the basicity of the medium (due to both Cl− and the C=O dipole of DMAC) contributes much more than the corresponding acidity (due essentially to free- and complexed Li+ ion) to cellulose solubilization. These results agree with previous conclusions on the mechanism of cellulose dissolution in DMAC/LiCl []. It is interesting to mention that cellulose dissolution in LiCl/DMSO requires decrystallization pretreatment e.g., by ball-milling or extensive swelling by a base [].
The similarity between dissolution by LiCl/DMAC and TBAF/DMSO has been suggested, as shown in Figure 7. The six-membered “ring” that involves two TBAF molecules and one DMSO [], or the structure in the presence of cellulose, where the biopolymer is shown to substitute one TBAF molecule (our representation) are clearly oversimplifications due to relatively large distance between (C4H9N+) and nucleophilic species in solution, including (F−) counter-ion, and oxygen atoms of the solvent (DMSO; distance R4N+·····O-solvent > 0.35 nm) [,].
Figure 7.
Simplified structures for the interaction of TBAF and DMSO, [] and for cellulose solution in TBAF/DMSO.
Phase diagrams, rheology, and NMR (19F and 1H-NMR, chemical shifts and line widths) have been employed in order to investigate the effect of presence of water on MCC/LiCl-DMAC, and the interactions of cellulose with TBAF/DMSO.
The former study has indicated that the maximum water content that can be present in the samples so that no cellulose precipitation- or liquid crystal formation occurs is always <3 wt%, even in the most concentrated DMAC/LiCl solutions. The amount of water still tolerable in the mixture is strongly dependent on the concentrations of cellulose and LiCl, being inversely proportional to biopolymer []. For solutions of cellulose in TBAF/DMSO, NMR results have indicated that the highly electronegative F− ions act as hydrogen-bond acceptors of Cell-OH groups; this breaks the intermolecular hydrogen bonds between cellulosic chains, leading to dissolution of the biopolymer. Solubilization is enhanced by electrostatic repulsion between the negatively-charged cellulose chains, due to the condensation of F−. Addition of water solvates the fluoride ion, this leads to a decreases of cellulose solubility and, eventually, to solution gelation. This sequence of events is shown in Figure 8 [].
Figure 8.
Schematic representation of the effect of water on solution of cellulose in TBAF/DMSO (reproduced from [] with permission).
The cellulose chains are covered with associated fluoride ions (depicted in green). Added water (depicted in red) solvates a fraction of the F− ions that are associated with cellulose. The resulting desolvated biopolymer chains (depicted in yellow) associate, by combination of hydrogen-bonding and hydrophobic interactions [], leading to subsequent precipitation of the biopolymer (reproduced from [] with permission).
It is important to emphasize that the formation of clear, macroscopically homogeneous cellulose solutions in SEs/DAS does not necessarily mean that chains are molecularly dispersed. Rather they are present as aggregates- designated as “fringed micelles [], whose aggregation numbers (e.g., 11 for MCC; 21 of mercerized-sisal; 40 for mercerized-cotton) depend on the structural properties of cellulose, its concentration, and the method of solution preparation. This aggregation decreases the accessibility of biopolymer, hence the efficiency of its derivatization [].
The consequence of this aggregation is that the efficiency of the reaction, in terms of the ratio (derivatizing agent/AGU) that is required in order to achieve a targeted DS is rarely stoichiometric; employing excess reagent is the role. Table 2 summarizes the results on cellulose dissolution in SEs/DAS.
Table 2.
Dissolution of cellulose from different sources in strong electrolytes/dipolar aprotic solvents.
3.2.1.3. Cellulose Derivatization
A schematic representation of cellulose derivatization by the HRS is shown in Scheme 2.
Scheme 2.
A schematic representation of derivatization by the HRS. Activation and Dissolution lead to the formation of solvated cellulose chains; these react with the derivatizing agent to produce a cellulose derivative.
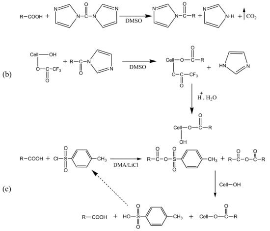
In principle, derivatization of cellulose can be carried out by using either carboxylic acids proper, or their functional derivatives. The latter include: symmetric and asymmetric acid anhydrides and acyl chlorides in the absence, or presence of catalysts; diketenes; vinyl esters; lactones and lactams. Due to relatively low pKa of the hydroxyl groups of sugars (12.3 ± 0.3) [] direct esterification with carboxylic acids is inefficient; these have to be activated in situ before use, as shown in Scheme 3a–c below []. One such acid-activating reagent is dicyclohexyl carbodiimide, DCC, either alone, or in combination with a powerful nucleophile, e.g., 4-pyrrolidinopyridine, Part A.

Scheme 3.
Schemes for the in situ activation of carboxylic acids. (a) shows activation by DCC; (b) shows activation by CDI, resulting in the formation of reactive N-acyl imidazole; (c) shows the formation of mixed anhydride between carboxylic- and toluene sulfonic acid.
First, acid anhydride is produced by the reaction of free acid with DCC. Nucleophilic attack by 4-pyrrolidinonepyridine on the anhydride results in the corresponding, highly reactive, acylpyridinium carboxylate; this leads to formation of cellulose ester, plus a carboxylate anion. The latter undergoes a DCC-mediated condensation with a fresh molecule of acid to produce another molecule of anhydride. N,N-Carbonyldiimidazole (CDI), may substitute DCC for acid activation, the acylating agent is N-acyl imidazole that readily reacts with cellulose to give ester and regenerate imidazole, part B. In another variant, activation is carried out by TsCl/pyridine. As shown, an asymmetric carboxylic-sulfonic acid anhydride is formed, but cellulose attack occurs on the C=O group, since nucleophilic attack on sulfur is slow, and the tosylate moiety is a much better leaving group than the carboxylate group. When the leaving abilities of both groups of the asymmetric anhydride are comparable, mixed esters are obtained. For example, cellulose esters of long-chain fatty acids, e.g., dodecanoate to eicosanoate have been prepared in LiCl/DMAC with this activation method, with almost complete functionalization, DS 2.8–2.9 []. The (mineral) acid-catalyzed formation of mixed acetic-carboxylic anhydride has been employed in order to synthesize mixed esters of acetic and fatty acids, according to scheme shown in Scheme 4 [,].
Scheme 4.
Formation of mixed anhydride of acetic- and fatty carboxylic acid.
The same approach has been employed for obtaining carboxylate-phosphonate mixed esters by the reaction of cellulose with carboxylic-phosphonic mixed anhydride []. Similar to other esterification reactions, there is large preference for tosylation at C6 position of AGU, and all accessible tosyl celluloses (up to DS = 2.3) are soluble in DMSO []. Symmetric carboxylic acid anhydrides are reactive enough to transform cellulose into its esters; see Scheme 5. This simple esterification reaction has furnished important information about structure/reactivity relationships in cellulose chemistry.
Scheme 5.
Schematic representation of the use of acetic anhydride as a derivatizing agent for cellulose.
Thus in the simultaneous reaction of cellulose with mixtures of acetic-, propionic-, and butyric anhydride, the DSAcetate is usually larger than DSPropionate or DSButyrate because of the higher electrophilicity of the acyl group-, and smaller volume of the first anhydride []. The efficiency of acetylation of MCC; mercerized cotton linters; mercerized sisal, as expressed by the dependence of DS on (RCO)2O/AGU is described by the following exponential decay equation:
where (A) and (B) are regression coefficients. Values of (B) were found to correlate linearly with the aggregation number, Nagg, of dissolved cellulose chains, (B) = 1.709 + 0.034 Nagg. This result quantifies the dependence of cellulose accessibility, hence reactivity on its state of aggregation [] For the same cellulose, under distinct reaction conditions, the dependence of DS on the number of carbon atoms of the acyl group of anhydride, Nc, is not linear; it decreases on going from acetic to butyric anhydride, then increases for pentanoic- and hexanoic anhydride, as shown in Figure 9. In the latter we have employed, for convenience, the following reduced degree of substitution:
[DS = DSo + Ae−[(RCO)2O/AGU)/B]]
[DSReduced = (DSCarboxyate − DSButyrate)/(DSHexanoate − DSButyrate)]
Figure 9.
Dependence of DSReduced on Nc in different solvents, under convection- and microwave heating. The DS are: 0.79, 0.38, and 2.40 (butyrate) 1.07, 2.72 and 2.90 (hexanoate), respectively.
This dependence, is not related to the solvent employed (SE/DAS or ionic liquid) or the method of heating, conventional (i.e., by convection) or microwave. This is due to a complex dependence of the ΔH≠ and TΔS≠ terms on Nc [].
Cellulose esterification with anhydrides is catalyzed by nucleophiles, in particular imidazole, pyridine, and 4-(N,N-dimethylamino) pyridine, with a large decrease in reaction time. The reactive species is the N-acyl derivative of the tertiary amine. A recent kinetic study on acylation in LiCl/DMAC has indicated that this rate enhancement, relative to the uncatalyzed reaction, is due to smaller enthalpy, and larger (i.e., less negative) entropy of activation [].
Derivatization by acyl chloride/tertiary amine is shown in Scheme 6; base is employed in order to scavenge the liberated HCl, the results are similar to the reaction with acid anhydrides [].
Scheme 6.
Schematic representation of acylation by carboxylic acid chloride/tertiary amine as a derivatizing agent.
The reaction scheme with alkyl ketene dimers is shown in Scheme 7. Mixed acetoacetic/carboxylic esters have also been synthesized. Having a relatively acidic -methylene group, these β-ketoesters can be cross-linked to produce coatings with excellent solvent resistance [,,,].
Scheme 7.
Representative scheme for the reaction of cellulose with alkylketene dimers. The produced β-ketoesters form enolates that can be employed in cross-linking of cellulose chain.
Vinyl esters: e.g., vinyl acetate, benzoate and laurate have been employed in order to obtain cellulose esters in TBAF/DMSO. This is a (reversible) trans- esterification reaction. Its efficiency is based on the fact that one of the products, vinyl alcohol readily tautomerize to (volatile) acetaldehyde, thus driving the equilibrium to products [].
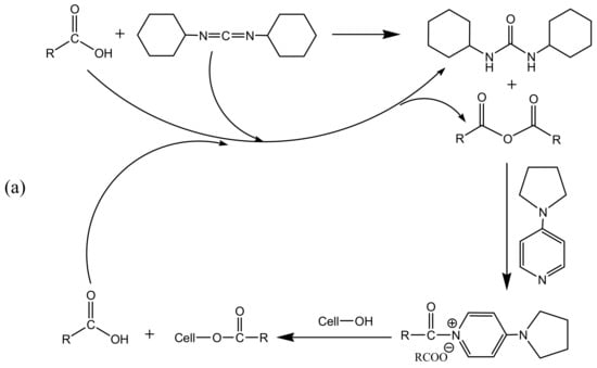
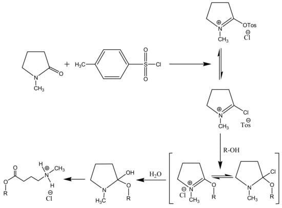
Esters with a cationic charge have been synthesized by the reaction of a lactam (N-methyl-2-pyrrolidinone; ε-caprolactam; N-methyl-2-piperidone) with cellulose in the presence of TsCl, according to Scheme 8, where R-OH refers to cellulose []. Similar strategies have been employed for the synthesis of cellulose esters in R4NF·xH2O/DMSO solutions. This includes the reaction of cellulose with activated carboxylic acids [], acid anhydrides and vinyl esters, [,], carboxylic acid anhydride catalyzed by a diazole or triazole [,]. This solvent system is interesting because: (i) It dissolves cellulose without prior activation; (ii) The efficiency as cellulose solvents depends on the molecular structure of the SE [], (iii) The SE water of hydration leads to side reactions.
Scheme 8.
Schematic representation of the conversion of cellulose (ROH) into cationic ester by the reaction with N-methyl-2-pyrrolidinone.
One of these is hydrolysis of the acylating agent. That is, relatively large molar ratios [anhydride]/[AGU] are usually employed. In this regard, the tetraallylammonium fluoride represents an interesting alternative to TBAF·3H2O because the former is obtained as monohydrate []. The second documented side reaction is hydrolysis of the produced ester either by a general-base catalyzed reaction [], or via proton elimination followed by the formation of ketene. In fact, this hydrolysis reaction is regioselective, showing substantial selectivity for the removal of acyl groups at C-2 and C-3 positions, affording cellulose-6-O-esters with high regioselectivity by one-step reaction, without the use of protecting groups, see Scheme 9 [].
Scheme 9.
Suggested mechanisms for ester hydrolysis by TAAF in DMSO [,].
The fluoride ion is acting either as a general base for water attack on the ester acyl group, part (a) [], or abstracts a hydrogen from the acetate moiety, leading to formation of a good leaving group, ketene, part (b) (reproduced from [] with permission).
Finally, the formation of acyl fluoride (RCOF) by the reaction between TAAF and acetic- or hexanoic anhydride (CH2=CH-CH2)4N+ −F + (RCO)2O→RCOF + (CH2=CH-CH2)4N+ −OCR) has been demonstrated by FTIR. That is, a part of cellulose derivatization probably proceeds by the reaction of cellulose and acyl fluoride [].
Obtaining cellulose esters of other acids, e.g., tosylate; brosylate; mesylate; triflate is important per se, and because these moieties are employed for synthesis of cellulose derivatives with some control over regioselectivity. One such application involves their use as bulky groups, in particular at C6-OH position; this permits derivatization at C2-OH and C3-OH positions, see Scheme 10.
Scheme 10.
Use of tosylate moiety as a bulky group for C6-OH position of cellulose, leading to regioselective reaction at secondary hydroxyl groups (reproduced from [] with permission).
They are also good leaving groups, so that they can be substituted by SN reactions to produce cellulose deoxy derivatives [,]. In fact, this reaction usually occurs during tosylation by TsCl, the ratio of cellulose tosylate/deoxychlorocellulose is calculated from (Cl and S) elemental analysis []. The most extensively studied derivative of this series is the tosylate. It is carried out by reacting dissolved cellulose with tosyl chloride in the presence of TEA at low temperature (5–10 οC) for several hours, followed by ester precipitation and purification. Scheme 11 shows some examples of further SN reactions of cellulose tosylates.

Scheme 11.
Synthesis of cellulose tosylate and its transformation into further products by SN reactions. (a) Transformation into cellulose deoxyamine. If required, the latter group can be quaternized to give cationic cellulose derivative []. The cellulosedeoxy azide can be converted into amines by reduction, part (b) [], or into heterocyclic rings by click chemistry, part (c) [].
The etherification of cellulose in LiCl/DMAC and TBAF/DMSO, even with reactive halides, e.g., allyl- and benzyl bromide is slow and requires long reaction time [,,]. Therefore, an alkali is employed in order to activate cellulose, Scheme 12. An interesting procedure, employed for both cellulose and starch, is so called “induced phase separation”. This involves addition of finely divided, dry NaOH or KOH (usually obtained by employing with ultra Turrax mixers) to the cellulose/LiCl-DMAC solution, leading to the formation of cellulose II or starch reactive gels on the solid particle/solution interface; this enhanced reactivity leads to products with relatively high DS (e.g., 2.2 for CMC) [,,].
Scheme 12.
Allylation of cellulose dissolved in TBAF/DMSO.
Another activation procedure involves imidazole, as shown in the synthesis of 3-O-propargyl cellulose by using thexyldimethylsilyl moieties as protecting groups, Scheme 13 [,]. It is worth mentioning that products with “mixed” functional groups have been synthesized in these solvents, e.g., ethers; [,].
Scheme 13.
Using thexyldimethylsilyl moieties as protecting groups in the regioselective synthesis of cellulose ethers (reproduced from [], with permission).
Cellulose derivatizing agents and conditions most usually employed, as well as main techniques used, are summarized in Table 3. For convenience, we have organized the derivative in the order: Esters of carboxylic- and sulfonic acids; nonionic and ionic ethers, and miscellaneous derivatives.
Table 3.
Agents and conditions for cellulose derivatization and main study techniques.
3.2.2. Dissolution and Derivatization of Chitin/Chitosan and Starch
Similar to cellulose, chitin dissolves in SE/DAS, allowing its derivatization. Although chitosan is soluble in aqueous acids, e.g., acetic acid, and starch can be dissolved DAS without the presence of SE, both biopolymers are included in our discussion of the SE/DAS solvent. The reason is that aqueous acid is not an appropriate medium for the derivatization of chitosan, due to hydrolysis of the derivatizing agent. Additionally, the use of SE/DAS accelerates the dissolution of starch. The mechanisms involved in their dissolution are essentially similar to those shown for cellulose (item 3.2.1.2); see Scheme 14, except that the activation pre-treatment is unnecessary []. Starch water solubility may limit the development of starch-based materials for applications where some hydrophobic character of the end-product is desired [], as for instance in the development of edible packing films, in which water resistance is expected []. Some properties of interest can be introduced, such as thermo plasticity for instance, when starch is submitted to appropriate modifying reactions [].
Scheme 14.
Model for chitin dissolution with LiCl (reproduced from [] with permission).
Table 4 summarizes dissolution and derivatization conditions for starch and chitin/chitosan. Scheme 15 and Scheme 16 show examples of the derivatization of chitin/chitosan, and starch, respectively. For convenience, we have separated the published data on chitin/chitosan from those on starch.
Table 4.
Dissolution and derivatization of chitin/chitosan and starch.
Scheme 15.
Route to the synthesis of chitin derivatives (A); Preparation of water-soluble chitosan derivatives (B).
Scheme 16.
Reaction scheme for starch acylation in molten imidazole, by using carboxylic acid imidazolide obtained in situ (reproduced from [] with permission).
The LiCl/DMAC solvent system has been used more recently in a variety of applications of (bio) technological relevance. One interesting example is its use in a process for fabrication of biogenic chitin nanofibers. The self-assembly process of dissolved chitin is initiated with the addition of water, producing fine nanofibers (of crystalline α-chitin) of ca. 10 nm diameter. Hexafluoro-2-propanol can be used instead of LiCl/DMAC and similar results are obtained when the solvent is evaporated, see Scheme 17.
Scheme 17.
Schematic representation of the preparation of chitin nanofibers (reproduced from [] with permission).
4. Concluding Remarks
The HRS offers interesting opportunities for cellulose chemistry. New, elegant synthetic schemes have been devised in order to control important aspects of biopolymer derivatization, in particular DS of the products and regioselectivity of substitution. The possibilities will continue to be explored, in particular with regard to new solvent systems and synthetic strategies that are consistent with principles of green chemistry. Process optimization calls for extensive kinetic data that should result in economy of time, power consumption, and a decrease of side reactions. Heating by microwave irradiation may prove a valuable tool to enhance reaction efficiency (higher DS in shorter reaction times). Economy of reagents dictates the use of stoichiometric reagent/AGU ratios, where possible.
In conclusion, the perspective for the HRS scheme is bright because it may be employed for obtaining specialty products, where the particularities of polymer structure and the consistency of product properties are central to performance. Examples include nano-composites; “smart” polymers that respond reversibly to external stimuli, and bio-compatible polymeric materials.
Acknowledgments
We thank TWAS (The Academy of Sciences for the Developing World) and CNPq (National Council for Scientific and Technological Research) for a pre-doctoral fellowship to H. Nawaz, and a research productivity fellowship to O. A. El Seoud, and FAPESP (São Paulo research Foundation) for financial support.
Abbreviations and Symbols
AGU: anhydroglucose unit; AdCl: adamantoyl chloride; CA: cellulose acetate; CDI: N,N-carbonyldiimidazole; Cell: cellulose; CMC: carboxymethyl cellulose; DAS: dipolar aprotic solvent; DCC: dicyclohexyl carbodiimide; DMAC: N,N-dimethylacetamide; DMAP: 4-(N,N-dimethylamino)pyridine; DMI:1,3-dimethyl-2-imidazolidinone; DMSO: dimethyl sulfoxide; DLS: dynamic- or quasi-elastic light scattering; DS: degree of substitution of the polysaccharide derivative; ESI-TS: dlectrospary ionization, thermospray; EWNN: alkaline solution of iron sodium tartrate; FAB: fast-atom bombardment; GPC: gel permeation chromatography; HMDS: 1,1,1,3,3,3-hexamethyldisilazane; HRS: homogeneous reaction scheme; Ic: index of crystallinity of the biopolymer; IL: ionic liquid; LS: light scattering; MALLS: multiple-angle laser light scattering; MAPMCl: 4,4'-bis(dimethylamino)diphenylmethyl chloride; MCC: microcrystalline cellulose; NMP: N-methyl-2-pyrrolidinone; RT: room temperature; SAXS: small-angle X-ray scattering; SE: strong electrolyte; SEM: scanning electron microscopy; SLS: static light scattering; TBAF: tetra(1-butyl)ammonium fluoride trihydrate; TDMSCl: thexyldimethylchlorosilane; TEA: triethylamine; TEM: transmission electron microscopy; TsCl: tosyl chloride; WAXD: wide-angle X-ray diffraction.
References
- Binder, J.B.; Raines, R.T. Simple Chemical Transformation of lignocellulosic biomass into furans for fuels and chemicals. J. Am. Chem. Soc. 2009, 131, 1979–1985. [Google Scholar] [CrossRef] [PubMed]
- BeMiller, J.; Whistler, R. Starch Chemistry and Technology, 3rd ed.; Academic Press: Amsterdam, The Netherlands, 2009; p. 879. [Google Scholar]
- Van Zyl, W.H.; Chimphango, A.F.A.; den Haan, R.; Goergens, J.F.; Chirwa, P.W.C. Next generation cellulosic ethanol technologies and their contribution to a sustainable Africa. Interface Focus 2011, 1, 196–211. [Google Scholar] [CrossRef] [PubMed]
- Steinbach, A.; Winkenbach, R.; Ehmsen, H. Material efficiency and sustainable development in chemistry: Where do we stand today? Chem. Ing. Tech. 2011, 83, 295–305. [Google Scholar] [CrossRef]
- Srinivasa, P.C.; Tharanathan, R.N. Chitin/chitosan Safe, ecofriendly packaging materials with multiple potential uses. Food Rev. Int. 2007, 23, 53–72. [Google Scholar] [CrossRef]
- Cao, X.; Sessa, J.D.; Wolf, J.W.; Willett, L.J. Static and dynamic solution properties of corn amylose in N,N-dimethylacetamide with 3% LiCl. Macromolecules 2000, 33, 3314–3323. [Google Scholar] [CrossRef]
- Pinkert, A.; Marsh, K.N.; Pang, S. Reflections on the solubility of Cellulose. Ind. Eng. Chem. Res. 2010, 49, 11121–11130. [Google Scholar] [CrossRef]
- Medronho, B.; Romano, A.; Miguel, M.-G.; Stigsson, L.; Lindman, B. Rationalizing cellulose (in) solubility: reviewing basic physicochemical aspects and role of hydrophobic interactions. Cellulose 2012, 19, 581–587. [Google Scholar] [CrossRef]
- Malm, C.J.; Tanghe, L.O.; Laird, B.C.; Smith, G.D. Relative rates of acetylation of the hydroxyl groups in cellulose acetate. J. Am. Chem. Soc. 1953, 75, 80–84. [Google Scholar] [CrossRef]
- Nawaz, H.; Casarano, R.; El Seoud, O.A. First report on the kinetics of the uncatalyzed esterification of cellulose under homogeneous reaction conditions: a rationale for the effect of carboxylic acid anhydride chain-length on the degree of biopolymer substitution. Cellulose 2012, 19, 199–207. [Google Scholar] [CrossRef]
- Klemm, D.; Phillip, B.; Heinze, T.; Heinze, U.; Wagenknecht, W. Comprehensive Cellulose Chemistry; Wiley-VCH: Weinheim, Germany, 1998; Volume 1, p. 133. [Google Scholar]
- Law, R.C. Cellulose acetate in textile application. Macromol. Symp. 2004, 208, 255–265. [Google Scholar] [CrossRef]
- De Vasconcelos, C.L.; Bezerril, P.M.; Pereira, M.R.; Ginani, M.F.; Fonseca, J.L.C. Viscosity-temperature behavior of chitin solutions using lithium chloride/DMA as solvent. Carbohydr. Res. 2011, 346, 614–618. [Google Scholar] [CrossRef] [PubMed]
- Majeti, N.V.; Kumar, R. A review of chitin and chitosan applications. React. Funct. Polym. 2000, 46, 1–27. [Google Scholar]
- Noishiki, Y.; Takami, H.; Nishiyama, Y.; Wada, M.; Okada, S.; Kuga, S. Alkali induced conversion of beta-chitin to alpha-chitin. Biomacromolecules 2003, 4, 896–899. [Google Scholar] [CrossRef] [PubMed]
- Toffey, A.; Samaranayake, G.; Frazier, C.E.; Glasser, W.G. Chitin derivatives. I. Kinetics of the heat induced conversion of chitosan to chitin. J. Appl. Polym. Sci. 1996, 60, 75–85. [Google Scholar] [CrossRef]
- Khor, E.; Wu, H.; Lim, L.Y.; Guo, C.M. Chitin-Methacrylate: Preparation, Characterization and Hydrogel Formation. Materials 2011, 4, 1728–1746. [Google Scholar] [CrossRef] [PubMed]
- Pillai, C.K.S.; Paul, W.; Sharma, P.C. Chitin and chitosan polymers: Chemistry, solubility and fiber formation. Prog. Polym. Sci. 2009, 34, 641–678. [Google Scholar] [CrossRef]
- Liu, Q. Understanding Starches and Their Role in Foods. p. 316. Available online: http://uqu.edu.sa/files2/tiny_mce/plugins/filemanager/files/4300270/1/2/1574_C007.pdf (accessed on 20 December 2012).
- Brown, A.C. Understanding Food: Principles and Preparation. 2007, p. 362. Available online: http://books.google.com.br/books?id=edPzm5KSMmYC&pg=PA360&source=gbs_toc_r&cad=4#v=onepage&q&f=false (accessed on 20 December 2012).
- Mitchell, J. Starch as a hydrocolloid. Available online: http://www.stepitn.eu/wpcontent/uploads/2010/06/pm18_Unilever_Mitchell_1.pdf (accessed on 20 December 2012).
- Singha, J.; Kaurb, L.; McCarthy, O.J. Factors influencing the physico-chemical, morphological, thermal and rheological properties of some chemically modified starches for food applications—A review. Food Hydrocoll. 2007, 21, 1–22. [Google Scholar] [CrossRef]
- Diamantoglou, M.; Vienken, J. Strategies for the development of hemocompatible dialysis membranes. Macromol. Symp. 1996, 103, 31–42. [Google Scholar] [CrossRef]
- Moellmann, E.; Heinze, T.; Liebert, T.; Sarah, K. Homogeneous synthesis of cellulose ethers in ionic liquids. US 20090221813 3 September 2009. [Google Scholar]
- Ramos, L.A.; Assaf, J.M.; El Seoud, O.A.; Frollini, E. Influence of the supra-molecular structure and physico-chemical properties of cellulose on its dissolution in the lithium chloride/N,N-dimethylacetamide solvent system. Biomacromolecules 2005, 6, 2638–2647. [Google Scholar] [CrossRef] [PubMed]
- El Seoud, O.A.; Heinze, T. Organic esters of cellulose: New perspectives for old polymers. Adv. Polym. Sci. 2005, 186, 103–149. [Google Scholar]
- Chaudemanche, C.; Navard, P. Swelling and dissolution mechanisms of regenerated Lyocell cellulose fibers. Cellulose 2011, 18, 1–15. [Google Scholar] [CrossRef]
- Cuissinat, C.; Navard, P. Swelling and Dissolution of Cellulose Part II: Free Floating Cotton and Wood Fibres in NaOH-Water-Additives Systems. Macromol. Symp. 2006, 244, 19–30. [Google Scholar] [CrossRef]
- El Seoud, O.A.; Koschella, A.; Fidale, L.C.; Dorn, S.; Heinze, T. Applications of Ionic Liquids in Carbohydrate Chemistry: A Window of Opportunities. Biomacromolecules 2007, 8, 2629–2647. [Google Scholar] [CrossRef] [PubMed]
- Heinze, T.; Dicke, R.; Koschella, A.; Kull, A.H.; Klohr, E.-A.; Koch, W. Effective preparation of cellulose derivatives in a new simple cellulose solvent. Macromol. Chem. Phys. 2000, 201, 627–631. [Google Scholar] [CrossRef]
- Köhler, S.; Heinze, T. New Solvents for Cellulose: Dimethyl Sulfoxide/Ammonium Fluorides. Macromol. Biosci. 2007, 7, 307–314. [Google Scholar] [CrossRef] [PubMed]
- Marson, G.A.; El Seoud, O.A. A Novel, Effecient Procedure for Acylation of Cellulose Under Homogeneous Solution Conditions. J. Appl. Polym. Sci. 1999, 74, 1355–1360. [Google Scholar] [CrossRef]
- El Seoud, O.A.; Marson, G.A.; Ciacco, G.T.; Frollini, E. An Efficient, One-Pot Acylation of Cellulose under Homogeneous Reaction Conditions. Macromol. Chem. Phys. 2000, 201, 882–889. [Google Scholar] [CrossRef]
- Huglin, M. Light Scattering from Polymer Solutions; Academic Press: New York, NY, USA, 1972. [Google Scholar]
- Kwolek, S.; Morgan, P.W.; Schaefgen, J.R.; Gulrich, L.W. Synthesis, anisotropic solutions, and fibers of poly(1,4-benzamide). Macromolecules 1977, 10, 1390–1396. [Google Scholar] [CrossRef]
- Austin, P.R. Chitin solutions. U.S. Patent No. 4059457, 22 December 1977. [Google Scholar]
- Gagnaire, D.; Saint-Germain, J.; Vincendon, M. NMR evidence of hydrogen bonds in cellulose solutions. J. Appl. Polym. Sci. Appl. Polym. Symp. 1983, 37, 261–275. [Google Scholar]
- McCormick, C.L.; Lichatowich, D.K. Homogeneous solution reactions of cellulose, chitin, and other polysaccharides to produce controlled-activity pesticide systems. J. Polym. Sci. Polym. Lett. Ed. 1979, 17, 479–484. [Google Scholar] [CrossRef]
- McCormick, C.L. Cellulose solutions. U.S. Patent No. 4278790 A, 14 July 1981. [Google Scholar]
- Turbak, A.F.; El-Kafrawy, A.; Snyder, F.W.; Auerbach, A.B. Solvent system for cellulose. US Patent No. 4302252 A, 24 November 1981. [Google Scholar]
- Kennedy, G.L., Jr. Biological effects of acetamide, formamide, and their monomethyl and dimethyl derivatives: Critical review. Toxicology 1986, 17, 129–182. [Google Scholar] [CrossRef] [PubMed]
- Willhite, C.C.; Katz, P.I. Dimethyl sulfoxide. J. Appl. Toxicol. 1984, 4, 155–160. [Google Scholar] [CrossRef] [PubMed]
- Manno, M.; Rugge, M.; Cocheo, V. Double fatal inhalation of dichloromethane. Hum. Exp. Toxicol. 1992, 11, 540–545. [Google Scholar] [CrossRef] [PubMed]
- Bogan, R.T.; Brewer, R.J. Cellulose esters, organic. In Encylopedia of Polymer Science and Engineering; Kroschwitz, J.I., Bickford, M., Klingsberg, A., Muldoon, J., Salvatore, A., Eds.; Wiley-Interscience: New York, NY, USA, 1985; pp. 158–181. [Google Scholar]
- Sharma, R.K.; Fry, J.L. Instability of anhydrous tetra-n-alkylammonium fluorides. J. Org. Chem. 1983, 48, 2112–2114. [Google Scholar] [CrossRef]
- Callais, P.A. Derivatzation and Characterization of Cellulose in Lithium Chloride and N,N-Dimethylacetamide Solutions. Ph.D. Thesis, University of Southern Mississippi, Hattiesburg, MS, USA, 1986. [Google Scholar]
- Krässig, H. Ullman’s Encyclopedia of Industrial Chemistry, Campbell FT, 5th ed.; Pfefferkorn, R., Rousaville, J.F., Eds.; VCH: Weinheim, Germany, 1986; Volume 5, p. 375. [Google Scholar]
- McCormick, C.L.; Callais, P.A.; Hutchinson, B.H., Jr. Solution studies of cellulose in lithium chloride and N,N-dimethylacetamide. Macromolecules 1985, 18, 2394–2401. [Google Scholar] [CrossRef]
- Pionteck, H.; Berger, W.; Morgenstern, B.; Fengel, D. Changes in cellulose structure during dissolution in LiCl: N,N-dimethylacetamide and in the alkaline iron tartarate system EWNN. Ι. Electron microscopic studies on changes in cellulose morphology. Cellulose 1996, 3, 127–139. [Google Scholar] [CrossRef]
- Dawsey, T.R.; McCormick, C.L. The lithium chloride/N,N-dimethylacetamide solvent for cellulose: A literature review. J. Macromol. Sci. Rev. Macromol. Chem. Phys. 1990, C30, 405–440. [Google Scholar] [CrossRef]
- Ekmanis, J.L.; Turbak, A.F. Lab Highlights 251; Waters Chromatography Division: Milford, MA, USA, 1986. [Google Scholar]
- Ekmanis, J.L. Gel permeation chromatographic analysis of cellulose. Am. Lab. News 1987, 19, 10–11. [Google Scholar]
- Striegel, A.M.; Timpa, J.D. Size exclusion chromatography of polysaccharides in dimethylacetamide-lithium chloride. ACS Symp. Ser. 1996, 635, 366–378. [Google Scholar]
- Silva, A.A.; Laver, M.L. Molecular weight characterization of wood pulp cellulose: dissolution and size exclusion chromatographic analysis. Tappi J. 1997, 80, 173–180. [Google Scholar]
- Timpa, J.D. Application of universal calibration in gel permeation chromatography for molecular weight determinations of plant cell wall polymers: Cotton fiber. J. Agric. Food. Chem. 1991, 39, 270–275. [Google Scholar] [CrossRef]
- Marson, G.A.; El Seoud, O.A. Cellulose Dissolution in Lithium Chloride/N,N-Dimethylacetamide Solvent System: Relevance of Kinetics of Decrystallization to Cellulose Derivatization Under Homogeneous Solution Conditions. J. Polym. Sci. A Polym. Chem. 1999, 37, 3738–3744. [Google Scholar] [CrossRef]
- Rosenau, T.; Potthast, A.; Kosma, P. Trapping of Reactive Intermediates to Study Reaction Mechanisms in Cellulose Chemistry. Adv. Polym. Sci. 2006, 205, 153–197. [Google Scholar]
- Regiani, A.M.; Frollini, E.; Marson, G.A.; Arantes, G.M.; El Seoud, O.A. Some Aspects of Acylation of Cellulose Under Homogeneous Solution Conditions. J. Polym. Sci. A Polym. Chem. 1999, 37, 1357–1363. [Google Scholar] [CrossRef]
- Marson, G. Acylation of cellulose under homogeneous reaction conditions. M.Sc. Thesis, University of São Paulo, São Paulo, Brazil, 1999. [Google Scholar]
- Berger, W.; Keck, M.; Phillip, B.; Schleicher, H. Nature of interactions in the dissolution of cellulose in nonaqueous solvent systems. Lenzinger Ber. 1985, 59, 88–95. [Google Scholar]
- El-Kafrawy, A. Investigation of the Cellulose/LiCl/Dimethylacetamide and Cellulose/LiC1/N-Methyl-2-Pyrrolidinone Solutions by 13C-NMR Spectroscopy. J. Appl. Polym. Sci. 1982, 27, 2435–2443. [Google Scholar] [CrossRef]
- Herlinger, H.; Hengstberger, M. Behavior of cellulose in unconventional solvents. Lenzinger Ber. 1985, 59, 96–104. [Google Scholar]
- Vincendon, M. Proton NMR study of the chitin dissolution mechanism . Makromol. Chem. 1985, 186, 1787–1795. [Google Scholar]
- Striegel, A.M. Theory and applications of DMAC/LiCl in the analysis of Polysaccharides. Carbohydr. Polym. 1997, 34, 267–274. [Google Scholar] [CrossRef]
- Heinze, T. New ionic polymers by cellulose functionalization. Macromol. Chem. Phys. 1998, 199, 2341–2364. [Google Scholar] [CrossRef]
- Striegel, A.M. Advances in the understanding of the dissolution mechanism of cellulose in LiCl/DMAC. J. Chil. Chem. Soc. 2003, 48, 73–77. [Google Scholar] [CrossRef]
- Lindman, B.; Karlstroem, G.; Stigsson, L. On the mechanism of dissolution of cellulose. J. Mol. Liq. 2010, 156, 76–81. [Google Scholar] [CrossRef]
- Morgenstern, B.; Kammer, H.W.; Berger, W.; Skrabal, P. Lithium-7 NMR study on cellulose/lithium chloride/N,N-dimethylacetamide solutions. Acta Polym. 1992, 43, 356–357. [Google Scholar] [CrossRef]
- Spange, S.; Reuter, A.; Vilsmeier, E.; Heinze, T.; Keutel, D.; Linert, W. Determination of Empirical Polarity Parameters of the Cellulose Solvent N,N-Dimethylacetamide/LiCl by means of the Solvatochromic Technique. J. Polym. Sci. A Polym. Chem. 1998, 36, 1945–1955. [Google Scholar] [CrossRef]
- Fidale, L.C.; Heinze, T.; El Seoud, O.A. Perichromism: A powerful tool for probing the properties of cellulose and its derivatives. Carbohydr. Polym 2013, in press. [Google Scholar] [CrossRef] [PubMed]
- Wang, Z.; Liu, S.; Matsumoto, Y.; Kuga, S. Cellulose gel and aerogel from LiCl/DMSO solution. Cellulose 2012, 19, 393–399. [Google Scholar] [CrossRef]
- Pliego, J.R.; Pilo’-Veloso, D. Effects of ion-pairing and hydration on the SNAr reaction of the F- with p-chlorobenzonitrile in aprotic solvents. Phys. Chem. Chem. Phys. 2008, 10, 1118–1124. [Google Scholar] [CrossRef] [PubMed]
- Chrapava, S.; Touraud, D.; Rosenau, T.; Potthast, A.; Kunz, W. The investigation of the influence of water and temperature on the LiCl/DMAC/cellulose system. Phys. Chem. Chem. Phys. 2003, 5, 1842–1847. [Google Scholar] [CrossRef]
- Ostlund, A.; Lundberg, D.; Nordstierna, L.; Holmberg, K.; Nyden, M. Dissolution and Gelation of Cellulose in TBAF/DMSO Solutions: The Roles of Fluoride Ions and Water. Biomacromolecules 2009, 10, 2401–2407. [Google Scholar] [CrossRef] [PubMed]
- Ramos, L.A.; Morgado, D.L.; El Seoud, O.A.; da Silva, V.C.; Frollini, E. Acetylation of cellulose in LiCl-N,N-dimethylacetamide: first report on the correlation between the reaction efficiency and the aggregation number of dissolved cellulose. Cellulose 2011, 18, 385–392. [Google Scholar] [CrossRef]
- Striegel, A.M.; Timpa, J.D. Molecular characterization of polysaccharides dissolved in Me2 NAc-LiCl by gel-permeation chromatography. Carbohydr. Res. 1995, 267, 271–290. [Google Scholar] [CrossRef]
- Sjoholm, E.; Gustafsson, K.; Pettersson, B.; Colmsjo, A. Characterization of the cellulosic residues from lithium chloride/N,N-dimethylacetamide dissolution of softwood kraft pulp. Carbohydr. Polym. 1997, 32, 57–63. [Google Scholar] [CrossRef]
- Roder, T.; Morgenstern, B.; Schelosky, N.; Glatter, O. Solutions of cellulose in N,N-dimethylacetamide/lithium chloride studied by light scattering methods. Polymer 2001, 42, 6765–6773. [Google Scholar] [CrossRef]
- Matsumoto, T.; Tatsumi, D.; Tamai, N.; Takaki, T. Solution properties of celluloses from different biological origins in LiCl /DMAc. Cellulose 2001, 8, 275–282. [Google Scholar] [CrossRef]
- Marsano, E.; Conio, G.; Martino, R.; Turturro, A.; Bianchi, E. Fibers Based on Cellulose-Chitin Blends. J. Appl. Polym. Sci. 2002, 83, 1825–1831. [Google Scholar] [CrossRef]
- Schult, T.; Hjerde, T.; Optun, O.I.; Kleppe, P.J.; Moe, S. Characterization of cellulose by SEC-MALLS. Cellulose 2002, 9, 149–158. [Google Scholar] [CrossRef]
- Strlic, M.; Kolar, J. Size exclusion chromatography of cellulose in LiCl/N,N-dimethylacetamide. J. Biochem. Biophys. Methods. 2003, 56, 265–279. [Google Scholar] [CrossRef]
- Ishii, D.; Tatsumi, D.; Matsumoto, T. Effect of Solvent Exchange on the Solid Structure and Dissolution Behavior of Cellulose. Biomacromolecules 2003, 4, 1238–1243. [Google Scholar] [CrossRef] [PubMed]
- Tamai, N.; Aono, H.; Tatsumi, D.; Matsumoto, T. Differences in Rheological Properties of Solutions of Plant and Bacterial Cellulose in LiCl/N,N-Dimethylacetamide. J. Soc. Rheol. Jpn. 2003, 31, 119–130. [Google Scholar] [CrossRef]
- Dupont, A.-L. Cellulose in lithium chloride/N,N-dimethylacetamide, optimisation of a dissolution method using paper substrates and stability of the solutions. Polymer 2003, 44, 4117–4126. [Google Scholar] [CrossRef]
- Tamai, N.; Tatsumi, D.; Matsumoto, T. Rheological Properties and Molecular Structure of Tunicate Cellulose in LiCl/1,3-Dimethyl-2-imidazolidinone. Biomacromolecules 2004, 5, 422–32. [Google Scholar] [CrossRef] [PubMed]
- Dupont, A.-L.; Harrison, G. Conformation and dn/dc determination of cellulose in N,N-dimethylacetamide containing lithium chloride. Carbohydr. Polym. 2004, 58, 233–243. [Google Scholar] [CrossRef]
- Aono, H.; Tatsumi, D.; Matsumoto, T. Scaling Analysis of Cotton Cellulose/LiCl.DMAc Solution Using Light Scattering and Rheological Measurements. J. Polym. Sci. B Polym. Phys. 2006, 44, 2155–2160. [Google Scholar] [CrossRef]
- Benoit, J.C.Z.; Newman, R.H.; Staiger, M.P. Phase transformations in microcrystalline cellulose due to partial dissolution. Cellulose 2007, 14, 311–320. [Google Scholar]
- Marsano, E.; Canetti, M.; Conio, G.; Corsini, P.; Freddi, G. Fibers Based on Cellulose-Silk Fibroin Blend. J. Appl. Polym. Sci. 2007, 104, 2187–2196. [Google Scholar] [CrossRef]
- Ishii, D.; Tatsumi, D.; Matsumoto, T. Effect of solvent exchange on the supramolecular structure, the molecular mobility and the dissolution behavior of cellulose in LiCl/DMAc. Carbohydr. Res. 2008, 343, 919–928. [Google Scholar] [CrossRef] [PubMed]
- Aulin, C.; Ahola, S.; Josefsson, P.; Nishino, T.; Hirose, Y.; Oesterberg, M.; Wagberg, L. Nanoscale Cellulose Films with Different Crystallinities and Mesostructures;Their Surface Properties and Interaction with Water. Langmuir 2009, 25, 7675–7685. [Google Scholar] [CrossRef] [PubMed]
- Semsarilar, M.; Perrier, S. Solubilization and Functionalization of Cellulose Assisted by Microwave Irradiation. Aust. J. Chem. 2009, 62, 223–226. [Google Scholar] [CrossRef]
- Duchemin, B.J.C.; Staiger, M.P.; Tucker, N.; Newman, R.H. Aerocellulose Based on All-Cellulose Composites. J. Appl. Polym. Sci. 2010, 115, 216–221. [Google Scholar] [CrossRef]
- Soykeabkaew, N.; Sian, C.; Gea, S.; Nishino, T.; Peijs, T. All-cellulose nanocomposites by surface selective dissolution of bacterial cellulose. Cellulose 2009, 16, 435–444. [Google Scholar] [CrossRef]
- Wang, Z.; Yokoyama, T.; Chang, H.; Matsumoto, Y. Dissolution of Beech and Spruce Milled Woods in LiCl/DMSO. J. Agric. Food Chem. 2009, 57, 6167–6170. [Google Scholar] [CrossRef] [PubMed]
- Yun, S.; Kim, J. Multiwalled carbon nanotubes-cellulose paper for a chemical vapor sensor. Sens. Actuators B Chem. 2010, 150, 308–313. [Google Scholar] [CrossRef]
- John, A.; Mahadeva, S.K.; Kim, J. The preparation, characterization and actuation behavior of polyaniline and cellulose blended electro-active paper. Smart Mater. Struct. 2010, 19, 1–6. [Google Scholar] [CrossRef]
- Moigne, L.N.; Spinu, M.; Heinze, T.; Navard, P. Restricted dissolution and derivatization capacities of cellulose fibres under uniaxial elongatioanl stress. Polymer 2010, 51, 447–453. [Google Scholar] [CrossRef]
- Abbott, A.; Bismarck, A. Self-reinforced cellulose nanocomposites. Cellulose 2010, 17, 779–791. [Google Scholar] [CrossRef]
- Heinze, T.; Koehler, S. Dimethyl Sulfoxide and Ammonium Fluorides Novel Cellulose Solvents. ACS Symp. Series. 2010, 1033, 103–118. [Google Scholar]
- Yamamoto, M.; Kuramae, R.; Yanagisawa, M.; Ishii, D.; Isogai, A. Light-Scattering Analysis of Native Wood Holocelluloses Totally Dissolved in LiCl-DMI Solutions: High Probability of Branched Structures in Inherent Cellulose. Biomacromolecules 2011, 12, 3982–3988. [Google Scholar] [CrossRef] [PubMed]
- Hou, C.W.; Cai, Z.J. A novel long-life air working electro-active actuator based on cellulose and polyurethane blend. Adv. Mater. Res. 2011, 298, 40–44. [Google Scholar] [CrossRef]
- Russler, A.; Sakakibara, K.; Rosenau, T. Cellulose as matrix component of conducting films. Cellulose 2011, 18, 937–944. [Google Scholar] [CrossRef]
- Ramos, L.A.; Morgado, D.L.; Gessner, F.; Frollini, E.; El Seoud, O.A. A physical organic chemistry approach to dissolution of cellulose: effects of cellulose mercerization on its properties and on the kinetics of its decrystallization. ARKIVOC 2011, 7, 416–425. [Google Scholar]
- Yousefi, H.; Faezipour, M.; Nishino, T.; Shakeri, A.; Ebrahimi, G. All-cellulose composite and nanocomposite made from partially dissolved micro-and nanofibers of canola straw. Polym. J. 2011, 43, 559–564. [Google Scholar] [CrossRef]
- Li, J.; Martin-Sampedro, R.; Pedrazzi, C.; Gellerstedt, G. Fractionation and characterization of lignin-carbohydrate complexes (LCCs) from eucalyptus fibers. Holzforschung 2011, 65, 43–50. [Google Scholar] [CrossRef]
- Ma, C.; Xu, X.-L.; Ai, P.; Xie, S.-M.; Lv, Y.-C.; Shan, H.-Q.; Yuan, L.-M. Chiral Separation of D, L-Mandelic Acid Through Cellulose Membranes. Chirality 2011, 23, 379–382. [Google Scholar] [CrossRef] [PubMed]
- Henniges, U.; Kostic, M.; Borgards, A.; Rosenau, T.; Potthast, A. Dissolution Behavior of Different Celluloses. Biomacromolecules 2011, 12, 871–879. [Google Scholar] [CrossRef] [PubMed]
- Opdenbosch, V.D.; Maisch, P.; Fritz-Popovski, G.; Paris, O.; Zollfrank, C. Transparent cellulose sheets as synthesis matrices for inorganic functional Particles. Carbohydr. Polym. 2012, 87, 257–264. [Google Scholar] [CrossRef]
- Saint, G.J.; Vincendon, M. 1H, 13C and 7Li Nuclear Magnetic Resonance Study of the Lithium Chloride-N,N-Dimethylacetamide System. Org. Magn. Reson. 1983, 21, 371–375. [Google Scholar]
- Petrus, L.; Gray, D.G.; BeMiller, J.N. Homogeneous alkylation of cellulose in lithium chloride/dimethyl sulfoxide solvent with dimsyl sodium activation. A proposal for the mechanism of cellulose dissolution in lithium chloride/DMSO. Carbohydr. Res. 1995, 268, 319–323. [Google Scholar] [CrossRef]
- Striegel, A.M.; Timpa, J.D.; Piotrowiak, P.; Cole, R.B. Multiple neutral alkali halide attachments onto oligosaccharides in electrospray ionization mass spectrometry. Int. J. Mass Spectrom. Ion Processes. 1997, 162, 45–53. [Google Scholar] [CrossRef]
- He, J.; Liu, Z.; Li, H.-Y.; Wang, G.; Pu, J. Solubility of wood-cellulose in LiCl/DMAC solvent system. For. Stud. China 2007, 9, 217–220. [Google Scholar]
- Wei, Y.; Cheng, F. Effect of Solvent Exchange on the Structure and Rheological Properties of Cellulose in LiCl/DMAC. J. Appl. Polym. Sci. 2007, 106, 3624–3630. [Google Scholar] [CrossRef]
- Jerosch, H.; Lavedrine, B.; Cherton, J. Study of the stability of cellulose-holocellulose solutions in N,N-dimethylacetamide-lithium chloride by size exclusion chromatography. J. Chromatogr. A 2001, 927, 31–38. [Google Scholar] [CrossRef]
- Potthast, A.; Rosenau, T.; Sixta, H.; Kosma, P. Degradation of cellulosic materials by heating in LiCl/DMAC. Tetrahedron Lett. 2002, 43, 7757–7759. [Google Scholar] [CrossRef]
- Roder, T.; Potthast, A.; Rosenau, T.; Kosmsa, P.; Baldinger, T.; Morgenstern, B.; Glatter, O. The effect of water on cellulose solutions in LiCl/DMAC. Macromol. Symp. 2002, 190, 151–159. [Google Scholar] [CrossRef]
- Potthast, A.; Rosenau, T.; Sartori, J.; Sixta, H.; Kosma, P. Hydrolytic processes and condensation reactions in the cellulose solvent system N,N-dimethylacetamide/lithium chloride. Part 2: Degradation of cellulose. Polymer 2003, 44, 7–17. [Google Scholar] [CrossRef]
- Aono, H.; Tamai, N.; Tatsumi, D.; Matsumoto, T. Aggregate stucture and rheological properties of mercerized cellulose/LiCl.DMAc solution. Nihon Reoroji Gakkaishi 2004, 32, 169–177. [Google Scholar] [CrossRef]
- Aono, H.; Tatsumi, D.; Matsumoto, T. Characterization of Aggregate Structure in Mercerized Cellulose in LiCl/DMAC Solution Using Light Scattering and Rheological Measurements. Biomacromolecules 2006, 7, 1311–1317. [Google Scholar] [CrossRef] [PubMed]
- Ishii, D.; Tatsumi, D.; Matsumoto, T.; Murata, K.; Hayashi, H.; Yoshitani, H. Investigation of the Structure of Cellulose in LiCl/DMAc Solution and Its Gelation Behavior by Small-Angle X-Ray Scattering Measurements. Macromol. Biosci. 2006, 6, 293–300. [Google Scholar] [CrossRef] [PubMed]
- Wei, Y.; Cheng, F. Synthesis and aggregates of cellulose-based hydrophobically associating polymer. Carbohydr. Polym. 2007, 68, 734–739. [Google Scholar] [CrossRef]
- Morgado, D.L.; Martins, V.C.A.; Plepis, A.G.; Frollini, E. Aggregation of Chains of Cellulose Acetates in LiCl/DMAc: Evaluation via Viscometry. Polimeros 2011, 21, 143–145. [Google Scholar]
- Sjoholm, E.; Gustafsson, K.; Eriksson, B.; Brown, W.; Colmsjo, A. Aggregation of cellulose in lithium chloride, N,N-dimethylacetamide. Carbohydr. Polym. 2000, 41, 153–161. [Google Scholar] [CrossRef]
- Izatt, R.M.; Rytting, J.H.; Hansen, L.D.; Christensen, J.J. Thermodynamics of Proton Dissociation in Dilute Aqueous Solution. V. An Entropy Titration Study of Adenosine, Pentoses, Hexoses, and Related Compounds. J. Am. Chem. Soc. 1966, 88, 2641–2645. [Google Scholar] [CrossRef] [PubMed]
- Sealey, J.E.; Samaranayake, G.; Todd, J.G.; Glasser, W.G. Novel cellulose derivatives. IV. Preparation and thermal analysis of waxy esters of cellulose. J. Polym. Sci. B Polym. Phys. 1996, 34, 1613–1620. [Google Scholar] [CrossRef]
- Vaca-Garcia, C.; Thiebaud, S.; Borredon, M.E.; Gozzelino, G. Cellulose esterification with fatty acids, including oleic acid, and acetic anhydride in lithium chloride/N,N-dimethylacetamide medium. JAOCS 1998, 75, 315–319. [Google Scholar] [CrossRef]
- Peydecastaing, P.; Vaca-Garcia, C.; Borredon, E. Consecutive reactions in an oleic acid and acetic anhydride reaction medium. Eur. J. Lipid Sci. Technol. 2009, 111, 723–729. [Google Scholar] [CrossRef]
- Heinze, T.; Sarbova, V.; Nagel, V.C.M. Simple synthesis of mixed cellulose acylate phosphonates applying n-propyl phosphonic acid anhydride. Cellulose 2012, 19, 523–531. [Google Scholar] [CrossRef]
- Siegmund, G.; Klemm, D. Cellulose—Cellulose sulfonates: preparation, properties, subsequent reactions. Polymer News 2002, 27, 84–90. [Google Scholar]
- Nawaz, H.; Pires, P.A.R.; El Seoud, O.A. Kinetics and mechanism of imidazole-catalyzed acylation of cellulose in LiCl/N,N-dimethylacetamide. Carbohydr. Polym. 2013, 92, 997–1005. [Google Scholar]
- Guo, Y.; Wang, X.; Li, D.; Du, H.; Wang, X.; Sun, R. Synthesis and characterization of hydrophobic long-chain fatty acylated cellulose and its self-assembled nanoparticles. Polym. Bull. 2012, 69, 389–403. [Google Scholar] [CrossRef]
- Edgar, K.J.; Arnold, K.M.; Blount, W.W.; Lawniczak, J.E.; Lowman, D.W. Synthesis and properties of cellulose acetoacetate. Macromolecules 1995, 28, 4122–4128. [Google Scholar] [CrossRef]
- Yoshida, Y.; Isogai, A. Preparation and characterization of cellulose β -ketoesters prepared by homogeneous reaction with alkylketene dimers: Comparison with cellulose fatty esters. Cellulose 2007, 14, 481–488. [Google Scholar] [CrossRef]
- Yoshida, Y.; Isogai, A. Thermal and liquid crystalline properties of cellulose b-ketoesters prepared by homogeneous reaction with ketene dimmers. Cellulose 2006, 13, 637–645. [Google Scholar] [CrossRef]
- Song, X.; Chen, F.; Liu, F. Preparation and characterization of alkyl ketene dimer (AKD) modified cellulose composite membrane. Carbohydr. Polym. 2012, 88, 417–421. [Google Scholar] [CrossRef]
- Heinze, T.; Liebert, T.F.; Pfeiffer, K.S.; Hussain, M.A. Unconventional cellulose esters: synthesis, characterization. Cellulose 2003, 10, 283–296. [Google Scholar]
- Zarth, C.S.P.; Koschella, A.; Pfeifer, A.; Dorn, S.; Heinze, T. Synthesis and characterization of novel amino cellulose esters. Cellulose 2011, 18, 1315–1325. [Google Scholar] [CrossRef]
- Heinze, T.; Pohl, M.; Schaller, J.; Meister, F. Novel Bulky Esters of Cellulose. Macromol. Biosci. 2007, 7, 1225–1231. [Google Scholar] [CrossRef] [PubMed]
- Beatriz, A.P.; Ass, B.A.P.; Frollini, E.; Heinze, T. Studies on the Homogeneous Acetylation of Cellulose in the Novel Solvent Dimethyl Sulfoxide/Tetrabutylammonium Fluoride Trihydrate. Macromol. Biosci. 2004, 4, 1008–1013. [Google Scholar]
- Casarano, R.; Nawaz, H.; Possidonio, S.; da Silva, V.C.; El Seoud, O.A. A convenient solvent system for cellulose dissolution and derivatization: Mechanistic aspects of the acylation of the biopolymer in tetraallylammonium fluoride/dimethyl sulfoxide. Carbohyd. Polym. 2011, 86, 1395–1402. [Google Scholar] [CrossRef]
- Hussain, M.A.; Liebert, T.; Heinze, T. Acylation of Cellulose with N,N’-Carbonyldiimidazole-Activated Acids in the Novel Solvent Dimethyl Sulfoxide/Tetrabutylammonium Fluoride. Macromol. Rapid Commun. 2004, 25, 916–920. [Google Scholar] [CrossRef]
- Nagel, M.C.V.; Heinze, T. Esterification of cellulose with acyl-1H-benzotriazole. Polym. Bull. 2010, 65, 873–881. [Google Scholar] [CrossRef]
- Xu, D.; Edgar, J.K. TBAF and cellulose esters: unexpected deacylation with unexpected regioselectivity. Biomacromolecules 2012, 13, 299–303. [Google Scholar] [CrossRef] [PubMed]
- Heinze, T.; Rahn, K. Cellulose p-toluenesulfonate: A valuable intermediate in cellulose chemistry. Macromol. Symp. 1997, 120, 103–113. [Google Scholar] [CrossRef]
- Heinze, T. Hot Topics in Polysaccharide Chemistry—Selected Examples. Macromol. Symp. 2009, 280, 15–27. [Google Scholar] [CrossRef]
- McCormick, C.L.; Dawsey, T.R.; Newman, J.K. Competitive formation of cellulose p-toluenesulfonate and chlorodeoxycellulose during homogeneous reaction of p-toluenesulfonyl chloride with cellulose in N,N-dimethylacetamide-lithium chloride. Carbohydr. Res. 1990, 208, 183–191. [Google Scholar] [CrossRef]
- Isogai, A.; Ishizu, A.; Nakano, J. Preparation of tri-O-alkylcelluloses by the use of a nonaqueous cellulose solvent and their physical characteristics. J. Appl. Polym. Sci. 1986, 31, 341–352. [Google Scholar] [CrossRef]
- Isogai, A.; Ishizu, A.; Nakano, J. Dissolution mechanism of cellulose in sulfur dioxide-amine-dimethyl sulfoxide. J. Appl. Polym. Sci. 1987, 33, 1283–1290. [Google Scholar] [CrossRef]
- Ramos, L.A.; Frollini, E.; Koschella, A.; Heinze, T. Benzylation of cellulose in the solvent dimethylsulfoxide/tetrabutylammonium fluoride trihydrate. Cellulose 2005, 12, 607–619. [Google Scholar] [CrossRef]
- Pezold-Welcke, K.; Michaelis, N.; Heinze, T. Unconventional cellulose products through nucleophilic displacement reactions. Macromol. Symp. 2009, 280, 72–85. [Google Scholar] [CrossRef]
- Nishimura, H.; Donkai, N.; Miyamoto, T. Preparation and properties of a new type of comb-shaped, amphiphilic cellulose derivative. Cellulose 1997, 4, 89–98. [Google Scholar] [CrossRef]
- Heinze, T.; Lincke, T.; Fenn, D.; Koschella, A. Efficient allylation of cellulose in Dimethyl sulfoxide/tetrabutylammonium fluoride trihydrate. Polym. Bull. 2008, 61, 1–9. [Google Scholar] [CrossRef]
- Heinze, T.; Koschella, A.; Magdaleno-Maiza, L.; Ulrich, A.S. Nucleophilic displacement reactions on tosyl cellulose by chiral amines. Polym. Bull. 2001, 46, 7–13. [Google Scholar] [CrossRef]
- Heinze, T.; Koschella, A.; Brackhagen, M.; Engelhardt, J.; Nachtkamp, K. Studies on non-natural deoxyammonium cellulose. Macromol. Symp. 2006, 244, 74–82. [Google Scholar] [CrossRef]
- Liebert, T.; Haensch, C.; Heinze, T. Click Chemistry with Polysaccharides. Macromol. Rapid Commun. 2006, 27, 208–213. [Google Scholar] [CrossRef]
- Fenn, D.; Pohl, M.; Heinze, T. Novel 3-O-propargyl cellulose as a precursor for regioselective functionalization of cellulose. React. Funct. Polym. 2009, 69, 347–352. [Google Scholar] [CrossRef]
- Schumann, K.; Pfeifer, A.; Heinze, T. Novel Cellulose Ethers: Synthesis and Structure Characterization of 3-Mono-O-(30-hydroxypropyl) Cellulose. Macromol. Symp. 2009, 280, 86–94. [Google Scholar] [CrossRef]
- Zabivalova, N.M.; Bochek, A.M.; Vlasova, E.N.; Volchek, B.Z. Preparation of Mixed Cellulose Ethers by the Reaction of Short Flax Fibers and Cotton Linter with Monochloroacetamide. Russ. J. Appl. Chem. 2007, 80, 300–304. [Google Scholar] [CrossRef]
- Zabivalova, N.M.; Bochek, A.M.; Vlasova, E.N.; Volchek, B.Z. Preparation of mixed ethers by reaction of carboxymethyl cellulose with urea and their physicochemical properties. Russ. J. Appl. Chem. 2008, 81, 1622–1629. [Google Scholar] [CrossRef]
- Fang, J.M.; Fowler, P.A.; Tomkinson, J.; Hill, C.A.S. The preparation and characterisation of a series of chemically modified potato starches. Carbohydr. Polym. 2002, 47, 245–252. [Google Scholar] [CrossRef]
- Sun, R.; Sun, X.F. Succinoylation of sago starch in the N,N-dimethylacetamide/lithium chloride system. Carbohydr. Polym. 2002, 47, 323–330. [Google Scholar] [CrossRef]
- Zhang, Z.B.; Mccormick, C.L. Structopendant Unsaturated Cellulose Esters via Acylation in Homogeneous Lithium Chloride/N,N-Dimethylacetamide Solutions. J. Appl. Polym. Sci. 1997, 66, 293–305. [Google Scholar] [CrossRef]
- Ciacco, G.T.; Liebert, T.F.; Frollini, E.; Heinze, T. Application of the solvent dimethyl sulfoxide/tetrabutyl-ammonium fluoride trihydrate as reaction medium for the homogeneous acylation of Sisal cellulose. Cellulose 2003, 10, 125–132. [Google Scholar] [CrossRef]
- Liebert, T.F.; Heinze, T. Tailored Cellulose Esters: Synthesis and Structure Determination. Biomacromolecules 2005, 6, 333–340. [Google Scholar] [CrossRef] [PubMed]
- Ass, B.A.P.; Ciacco, G.T.; Frollini, E. Cellulose acetates from linters and sisal: Correlation between synthesis conditions in DMAc/LiCl and product properties. Bioresour. Technol. 2006, 97, 1696–1702. [Google Scholar] [CrossRef] [PubMed]
- Mayumi, A.; Kitaoka, T.; Wariishi, H. Partial Substitution of Cellulose by Ring-Opening Esterification of Cyclic Esters in a Homogeneous System. J. Appl. Polym. Sci. 2006, 102, 4358–4364. [Google Scholar] [CrossRef]
- Ass, B.A.P.; Belgacem, M.N.; Frollini, E. Mercerized linters cellulose: characterization and acetylation in N,N-dimethylacetamide/lithium chloride. Carbohydr. Polym. 2006, 63, 19–29. [Google Scholar] [CrossRef]
- Ciacco, G.T.; Ass, B.A.P.; Ramos, L.A.; Frollini, E. Sisal, sugarcane bagasse and microcrystalline celluloses: Influence of the composition of the solvent system N,N-dimethylacetamide/Lithium chloride on the solubility and acetylation of these polysaccharides. e-Polymers 2008, 22, 1–11. [Google Scholar] [CrossRef]
- Ciacco, G.T.; Morgado, D.L.; Frollini, E.; Possidonio, S.; El Seoud, O.A. Some Aspects of Acetylation of Untreated and Mercerized Sisal Cellulose. J. Braz. Chem. Soc. 2010, 21, 71–77. [Google Scholar] [CrossRef]
- Casarano, R.; Fidale, L.C.; Lucheti, M.C.; Heinze, T.; El Seoud, O.A. Expedient, accurate methods for the determination of the degree of substitution of cellulose carboxylic esters: Application of UV–vis spectroscopy (dye solvatochromism) and FTIR. Carbohydr. Polym. 2011, 83, 1285–1292. [Google Scholar] [CrossRef]
- Liu, H.; Kar, N.; Edgar, J.K. Direct synthesis of cellulose adipate derivatives using adipic anhydride. Cellulose 2012, 19, 1279–1293. [Google Scholar] [CrossRef]
- Glasser, W.G.; Becker, U.; Todd, G.J. Novel cellulose derivatives: Part VI. Preparation and thermal analysis of two novel cellulose esters with fluorine-containing substituents. Carbohydr. Polym. 2000, 42, 393–400. [Google Scholar] [CrossRef]
- Nagel, C.V.M.; Heinze, T. Study about the efficiency of esterification of cellulose under homogeneous condition: dependence on the chain length and solvent. Lenzinger Ber. 2012, 90, 85–92. [Google Scholar]
- Liebert, T.; Hussain, A.M.; Tahir, N.M.; Heinze, T. Synthesis and Characterization of Cellulose α -Lipoates: A Novel Material for Adsorption onto Gold. Polym. Bull. 2006, 57, 857–863. [Google Scholar] [CrossRef]
- Crépya, L.; Miria, V.; Joly, N.; Martina, P.; Lefebvrea, M.J. Effect of side chain length on structure and thermomechanical properties of fully substituted cellulose fatty esters. Carbohydr. Polym. 2011, 83, 1812–1820. [Google Scholar] [CrossRef]
- Devi, S.K.; Mathur, V.K.; Nayak, S.K.; Mohanty, S.; Kumar, M. Homogeneous esterification of cellulose and characterization of cellulose esters. Der Pharma Chemica 2009, 1, 296–303. [Google Scholar]
- McCormick, L.C.; Callais, A.P. Derivatization of cellulose in lithium chloride and N-N-dimethylacetamide solutions. Polymer 1987, 28, 2317–2323. [Google Scholar] [CrossRef]
- Krouit, M.; Granet, R.; Krausz, P. Photobactericidal plastic films based on cellulose esterified by chloroacetate and a cationic porphyrin. Bioorg. Med. Chem. 2008, 16, 10091–10097. [Google Scholar] [CrossRef] [PubMed]
- Yoshimura, T.; Matsuo, K.; Fujioka, R. Novel Biodegradable Superabsorbent Hydrogels Derived from Cotton Cellulose and Succinic Anhydride: Synthesis and Characterization. J. Appl. Polym. Sci. 2006, 99, 3251–3256. [Google Scholar] [CrossRef]
- Wei, Y.; Cheng, F.; Hou, G. Synthesis and properties of fatty acid esters of cellulose. J. Sci. Ind. Res. 2007, 66, 1019–1024. [Google Scholar]
- Zhou, Q.; Zhang, L.; Minoda, M.; Miyamoto, T. Phase transition of thermosensitive amphiphilc cellulose esters bearing olig (oxyethylenes). Polym. Bull. 2000, 45, 381–388. [Google Scholar] [CrossRef]
- Rahn, K.; Diamantoglou, M.; Klemm, D.; Berghmans, H.; Heinze, T. Homogeneous synthesis of cellulose p-toluenesulfonates in N,N-dimethylacetamide/LiCl solvent system. Angew. Makromol. Chem. 1996, 238, 143–163. [Google Scholar] [CrossRef]
- Heinze, T.; Erler, U.; Heinze, U.; Camacho, J.; Grunnt, U.; Klemm, D. Synthesis and characterization of photosensitive 4,4'-bis(dimethylamino) diphenylmethyl ethers of cellulose. Macromol. Chem. Phys. 1995, 196, 1937–1944. [Google Scholar] [CrossRef]
- Liebert, T.; Heinze, T. Synthesis path versus distribution of functional groups in cellulose ethers. Macromol. Symp. 1998, 130, 271–283. [Google Scholar] [CrossRef]
- Liebert, T.F.; Heinze, T. Exploitation of Reactivity and Selectivity in Cellulose Functionalization Using Unconventional Media for the Design of Products Showing New Superstructures. Biomacromolecules 2001, 2, 1124–1132. [Google Scholar] [CrossRef] [PubMed]
- Heinze, T. Carboxymethyl ethers of cellulose and starch—A review. Khimiya Rastitel’nogo Syr’ya 2005, 3, 13–29. [Google Scholar] [CrossRef]
- Ramos, L.A.; Frollini, E.; Heinze, T. Carboxymethylation of cellulose in the new solvent dimethyl sulfoxide/tetrabutylammonium fluoride. Carbohydr. Polym. 2005, 60, 259–267. [Google Scholar] [CrossRef]
- Koschella, A.; Heinze, T.; Klemm, D. First Synthesis of 3-O-Functionalized Cellulose Ethers via 2,6-Di-O-Protected Silyl Cellulose. Macromol. Biosci. 2001, 1, 49–54. [Google Scholar] [CrossRef]
- Heinze, T.; Koschella, A. Water-soluble 3-O-(2-methoxyethyl) cellulose synthesis and characterization. Carbohydr. Res. 2008, 343, 668–673. [Google Scholar] [CrossRef] [PubMed]
- Kamitakahara, H.; Koschella, A.; Mikawa, Y.; Nakatsubo, F.; Heinze, T.; Klemm, D. Syntheses and Comparison of 2,6-Di-O-methyl Celluloses from Natural and Synthetic Celluloses. Macromol. Biosci. 2008, 8, 690–700. [Google Scholar] [CrossRef] [PubMed]
- Kostag, M.; Koehler, S.; Liebert, T.; Heinze, T. Pure Cellulose Nanoparticles fromTrimethylsilyl Cellulose. Macromol. Symp. 2010, 294, 96–106. [Google Scholar] [CrossRef]
- Heinze, T.; Wang, Y.; Koschella, A.; Sullo, A.; Foster, J.T. Mixed 3-mono, O-alkyl cellulose: Synthesis, structure characterization and thermal properties. Carbohydr. Polym. 2012, 90, 380–386. [Google Scholar] [CrossRef] [PubMed]
- Petzold, K.; Koschella, A.; Klemm, D.; Heublein, B. Silylation of cellulose and starch—Selectivity, structure analysis, and subsequent reactions. Cellulose 2003, 10, 251–269. [Google Scholar] [CrossRef]
- Ikeda, I.; Washino, K.; Maeda, Y. Graft polymerization of cyclic compounds on cellulose dissolved in tetrabutylammonium fluoride/dimethyl sulfoxide. Sen’I Gakkaishi 2003, 59, 110–114. [Google Scholar] [CrossRef]
- Zhang, X.; Liu, X.; Zheng, W.; Zhu, J. Regenerated cellulose/graphene nanocomposite films prepared in DMAC/LiCl solution. Carbohydr. Polym. 2012, 88, 26–30. [Google Scholar] [CrossRef]
- Williamson, L.S.; McCormick, L.C. Cellulose derivatives synthesized via isocyanate and activated ester pathways in homogeneous solutions of lithium chloride/N,N-dimethylacetamide. J. Macromol. Sci. A Pure Appl. Chem. 1998, 12, 1915–1927. [Google Scholar] [CrossRef]
- Liebert, T.; Nagel, M.C.V.; Jordan, T.; Heft, A.; Gruenler, B.; Heinze, T. Pure, Transparent-Melting Starch Esters: Synthesis and Characterization. Macromol. Rapid Commun. 2011, 32, 1312–1318. [Google Scholar] [CrossRef] [PubMed]
- Poirier, M.; Charlet, G. Chitin fractionation and characterization in N,N-dimethylacetamide/ lithium chloride solvent system. Carbohydr. Polym. 2002, 50, 363–370. [Google Scholar] [CrossRef]
- Zhong, C.; Cooper, A.; Kapetanovic, A.; Fang, Z.; Zhang, M.; Rolandi, M. A facile bottom-up route to self-assembled biogenic chitin nanofibers. Soft Matter 2010, 6, 5298–5301. [Google Scholar] [CrossRef]
- Pestov, A.V.; Koryakova, O.V.; Leonidov, I.I.; Yatluk, Y.G. Gel-Synthesis, Structure, and Properties of Sulfur-containing Chitosan Derivatives. Russ. J. Appl. Chem. 2010, 83, 787–794. [Google Scholar] [CrossRef]
- Teramoto, Y.; Miyata, T.; Nishio, Y. Dual Mesomorphic Assemblage of Chitin Normal Acylates and Rapid Enthalpy Relaxation of Their Side Chains. Biomacromolecules 2006, 7, 190–198. [Google Scholar] [CrossRef] [PubMed]
- Akkaya, G.; Uzun, I.; Guezel, F. Adsorption of some highly toxic dyestuffs from aqueous solution by chitin and its synthesized derivatives. Desalination 2009, 249, 1115–1123. [Google Scholar] [CrossRef]
- Sugimoto, M.; Kawahara, M.; Teramoto, Y.; Nishio, Y. Synthesis of acyl chitin derivatives and miscibility characterization of their blends with poly (ε-caprolactone). Carbohydr. Polym. 2010, 79, 948–954. [Google Scholar] [CrossRef]
- Li, Z.; Zhuang, X.P.; Liu, X.F.; Guan, Y.L.; Yao, K.D. Study on antibacterial O-carboxy methylated chitosan/cellulose blend film from LiCl/N,N-dimethylacetamide solution. Polymer 2002, 43, 1541–1547. [Google Scholar] [CrossRef]
- Grote, C.; Heinze, T. Starch derivatives of high degree of functionalization 11: studies on alternative acylation of starch with long-chain fatty acids homogeneously in N,N-dimethyl acetamide/LiCl. Cellulose 2005, 12, 435–444. [Google Scholar] [CrossRef]
- Duan, W.-G.; Fang, H.-X.; Ma, H.-G.; Li, G.-H.; Cen, B. Microwave-assisted synthesis of maleated rosin-cassava starch esters. Lin Chan Hua Xue Yu Gong Ye 2009, 29, 16–22. [Google Scholar]
- Einfeldt, L.; Petzold, K.; Gunther, W.; Stein, A.; Kussler, M.; Klemm, D. Preparative and 1H-NMR Investigation on Regioselective Silylation of Starch Dissolved in Dimethyl Sulfoxide. Macromol. Biosci. 2001, 1, 341–347. [Google Scholar] [CrossRef]
- Petzold, K.; Einfeldt, L.; Guenther, W.; Stein, A.; Klemm, D. Regioselective Functionalization of Starch: Synthesis and 1H-NMR Characterization of 6-O-Silyl Ethers. Biomacromolecules 2001, 2, 965–969. [Google Scholar] [CrossRef] [PubMed]
© 2013 by the authors. This article is an open access article distributed under the terms and conditions of the Creative Commons Attribution license (http://creativecommons.org/licenses/by/3.0/).