Steroidal and Phenolic Glycosides from the Bulbs of Lilium pumilum DC and Their Potential Na+/K+ ATPase Inhibitory Activity
Abstract
:1. Introduction

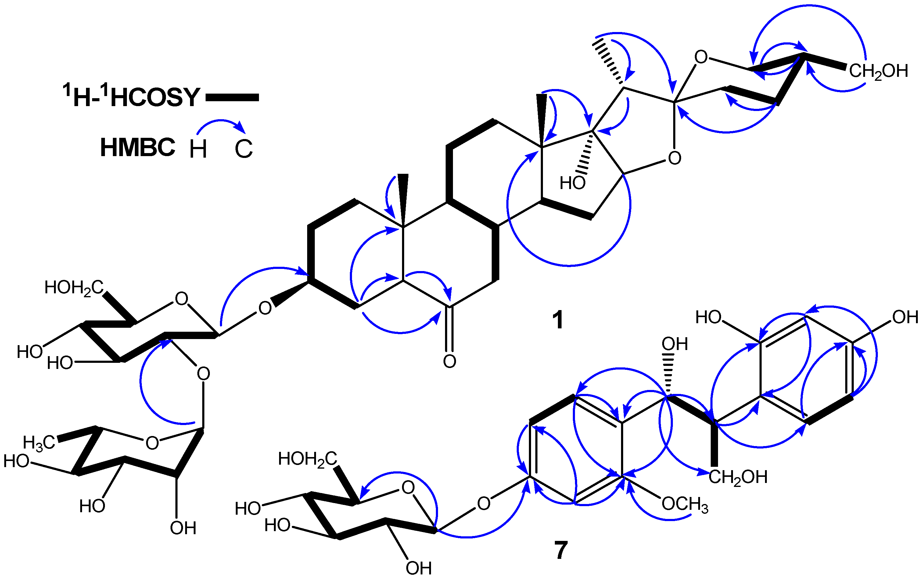
2. Results and Discussion
| NO. | C | H | NO. | C | H | 
|---|---|---|---|---|---|
| 1 | 36.8 | 1.56 (1H, m) | 20 | 44.7 | 2.21 (1H, q, J = 7.2 Hz) | 
| 1.08 (1H, m) | 21 | 9.7 | 1.21 (3H, d, J = 6.8 Hz) | ||
| 2 | 29.3 | 1.84 (1H, m) | 22 | 109.7 | |
| 1.37 (1H, m) | 23 | 31.5 | 1.92 (1H, m) | ||
| 3 | 76.0 | 3.99 (1H, m) | 1.45 (1H, m) | ||
| 4 | 26.4 | 2.21 (1H, m) | 24 | 24.1 | 2.17 (1H, m) | 
| 1.75 (1H, m) | 1.38 (1H, m) | ||||
| 5 | 56.4 | 2.26 (1H, m) | 25 | 39.2 | 2.03 (1H, m) | 
| 6 | 209.4 | 26 | 64.0 | 4.58 (2H, d, J = 7.8 Hz) | |
| 7 | 46.9 | 2.54 (1H, m) | 27 | 64.5 | 3.74 (1H, dd, J = 11, 5.5 Hz) | 
| 2.42 (1H, m) | 3.67 (1H, dd, J = 11, 7.2 Hz) | ||||
| 8 | 38.1 | 1.83 (1H, m) | Glc | ||
| 9 | 53.7 | 1.37 (1H, m) | 1′ | 99.2 | 5.11 (1H, d, J = 7.2 Hz) | 
| 10 | 40.8 | 2′ | 79.5 | 4.22 (1H, m) | |
| 11 | 21.2 | 1.34 (1H, m) | 3′ | 78.4 | 4.30 (1H, m) | 
| 1.57 (1H, m) | 4′ | 72.1 | 4.15 (1H, m) | ||
| 12 | 32.0 | 2.13 (1H, m) | 5′ | 78.2 | 3.86 (1H, m) | 
| 1.49 (1H, m) | 6′ | 62.8 | 4.33 (1H, m) | ||
| 13 | 45.8 | 4.49 (1H, m) | |||
| 14 | 53.2 | 2.17 (1H, m) | Rha | ||
| 15 | 32.0 | 2.17 (1H, m) | 1″ | 102.4 | 6.13 (1H, br s) | 
| 1.46 (1H, m) | 2″ | 72.6 | 4.68 (1H, m) | ||
| 16 | 89.8 | 4.42 (1H, m) | 3″ | 72.9 | 4.37 (1H, m) | 
| 17 | 89.9 | 4″ | 74.2 | 4.39 (1H, m) | |
| 18 | 17.3 | 0.82 (3H, s) | 5″ | 69.5 | 4.81 (1H, m) | 
| 19 | 13.2 | 0.91 (3H, s) | 6″ | 18.7 | 1.81 (3H, d, J = 6.8 Hz) | 


| NO. | C | H | NO. | C | H | 
|---|---|---|---|---|---|
| 1 | 78.9 | 5.56 (1H, d, J = 7.4 Hz) | 3′′ | 97.4 | 6.69 (1H, d, J = 2.0 Hz) | 
| 2 | 44.9 | 3.50 (1H, td, J = 7.4, 5.0 Hz) | 4′′ | 161.8 | |
| 3 | 66.8 | 4.27 (2H, dd, J = 9.8, 5.0 Hz) | 5′′ | 106.7 | 6.51 (1H, dd, J = 2.0, 8.0 Hz) | 
| 1′ | 114.8 | 6′′ | 125.6 | 7.16 (1H, d, J = 8.0 Hz) | |
| 2′ | 157.3 | 1′′′ | 102.4 | 5.71 (1H, d, J = 7.6 Hz) | |
| 3′ | 105.3 | 7.08 (1H, d, J = 2.0 Hz) | 2′′′ | 74.9 | 4.27 a | 
| 4′ | 159.9 | 3′′′ | 79.0 | 4.11 (1H, m) | |
| 5′ | 111.2 | 7.04 (1H, dd, J = 2.0, 8.4 Hz) | 4′′′ | 71.2 | 4.26 a | 
| 6′ | 132.8 | 7.55 (1H, d, J = 8.4 Hz) | 5′′′ | 78.4 | 4.43 (1H, m) | 
| 1′′ | 119.9 | 6′′′ | 62.5 | 4.31 (1H, m) | |
| 2′′ | 161.5 | 2′-CH3O | 55.6 | 3.67 (3H, s) | 
3. Experimental
3.1. General
3.2. Plant Material
3.3. Extraction and Isolation
3.4. Characterization of Pumilum A (1)
: −88.7° (c 0.048, MeOH); UV λmax (MeOH): 279 nm; IR vmax (KBr): 3435, 2945, 2880, 1707, 1455, 1375, 1245, 1205, 1155, 1080, 1045, 985, 975, 915, 895, 860, 805, 710 cm−1. HR-ESI-MS m/z 793.6907 (C39H62O15Na [M+Na]+, Cal. 793.6904). 1H-NMR and 13C-NMR (pyridine d5) data see Table 1.3.5. Characterization of Threo-1-(4′-hydroxy-2′-methoxyphenyl)-2-(2′′,4′′-dihydroxy-phenyl)-1,3-propanediol-4′-O-β-D-glucopyranoside (7)
: −76.3° (c 0.5, MeOH). UV (MeOH) λmax: 282 nm. IR vmax (KBr): 3433, 3391, 1630, 1601, 1495, 1470, 1441, 1386, 1345, 1253, 1202, 1172, 1143, 1041, 955, 860, 826 cm−1. HR-ESI-MS m/z 467.1936 ([M−H]−, Calcd. for C22H27O11, 467.1903). 1H-NMR and 13C-NMR (pyridine d5) data see Table 2.3.6. Acid Hydrolysis of Compound 1
3.7. Assay of Na+/K+ ATPase Activity
4. Conclusions
Supplementary Materials
Acknowledgements
References
- Mimaki, Y.; Sashida, Y. Steroidal saponins and alkaloids from the bulbs of Lilium brownie var. colchesteri. Chem. Pharm. Bull. 1990, 38, 3055–3059. [Google Scholar] [CrossRef]
 - Mimaki, Y.; Ishibashi, N.; Ori, K.; Sashida, Y. Steroidal glycosides from the bulbs of Lilium dauricum. Phytochemistry 1992, 31, 1753–1758. [Google Scholar] [CrossRef]
 - Jiang Su New Medical College, Dictionary of Traditional Chinese Crude Drugs; Scientific Technologic: Shanghai, China, 1977; Volume 1, pp. 856–858.
 - Munafo, J.P., Jr.; Ramanathan, A.; Jimenez, L.S.; Gianfagna, T.J. Isolation and structural determination of steroidal glycosides from the bulbs of Easter Lily (Lilium longiflorum Thunb.). Agric. Food Chem. 2010, 58, 8806–8813. [Google Scholar]
 - Mimaki, Y.; Sashida, Y.; Shimomura, H. Shimomura, H. Lipid and steroidal constituents of Lilium auratum var. Platyphyllum and L. tenuifolium. Phytochemistry 1989, 28, 3453–3458. [Google Scholar] [CrossRef]
 - Shimomura, H.; Sashida, Y.; Mimaki, Y. Steroidal saponins, pardarinoside A–G from the bulbs of Lilium pardarinum. Phytochemistry 1989, 28, 3163–3170. [Google Scholar] [CrossRef]
 - Mimaki, Y.; Sashida, Y. Steroidal and phenolic constituents of Lilium speciosum. Phytochemistry 1991, 30, 937–940. [Google Scholar] [CrossRef]
 - Satou, T.; Mimaki, Y.; Kuroda, M.; Sashida, Y.; Hatakeyama, Y. A pyrroline glucoside ester and steroidal saponins from Lilium Martagon. Phytochemistry 1996, 41, 1225–1230. [Google Scholar] [CrossRef]
 - Francisa, J.A.; Rumbeihab, W.; Naira, M.G. Constituents in Easter lily flowers with medicinal activity. Life Sci. 2004, 76, 671–683. [Google Scholar] [CrossRef]
 - Hiroko, S.; Yutaka, S.; Yoshihiro, M. Phenolic glycerides from Lilium auratum. Phytochemistry 1987, 26, 844–845. [Google Scholar] [CrossRef]
 - Ori, K.; Mimaki, Y.; Mito, K.; Sashida, Y.; Nikaido, T.; Ohmoto, T.; Masuko, A. Jatropham derivatives and steroidal saponins from the bulbs of Lilium hansonii. Phytochemistry 1992, 31, 2767–2775. [Google Scholar]
 - Nakano, K.; Nishizawa, K.; Murakami, K.; Takaishi, Y.; Tomimatsu, T. Steroidal alkaloids glucosides from Lilium cordatum. Phytochemistry 1986, 26, 301–303. [Google Scholar]
 - Mskhiladze, L.; Legault, J.; Lavoie, S.; Mshvildadze, V.; Kuchukhidze, J.; Elias, R.; Pichette, A. Cytotoxic steroidal saponins from the flowers of Allium leucanthum. Molecules 2008, 13, 2925–2934. [Google Scholar] [CrossRef]
 - Jones, R.N.; Katzenellenbogen, E.; Dobriner, K. The infrared absorption spectra of the steroid sapogenins. J. Am. Chem. Soc. 1953, 75, 158–166. [Google Scholar]
 - Li, X.C.; Wang, D.Z.; Yang, C.R. Steroidal saponins from chlorophytum malayense. Phytochemistry 1990, 29, 3893–3898. [Google Scholar] [CrossRef]
 - Li, X.C.; Yang, C.R.; Ichikawa, M.; Matsuura, H.; Kasai, R.; Yamasaki, K. Steroidal saponins from polygonatum kingianum. Phytochemistry 1992, 31, 3559–3563. [Google Scholar] [CrossRef]
 - Warashina, T.; Nagatani, Y.; Noro, T. Constituents from the bark of Tabebuia impetiginosa. Phytochemistry 2006, 54, 14–20. [Google Scholar]
 - Yoshikawa, K.; Mimura, N.; Arihara, S. Isolation and absolute structures of enantiomeric 1,2-bis(4-hydroxy-3-methoxyphenyl)-l,3-propanediol 1-O-glucosides from the bark of Hovenia trichocarpa. J. Nat. Prod. 1998, 61, 1137–1139. [Google Scholar] [CrossRef]
 - Hsiao, J.J.; Chiang, H.C. Lignans from the wood of Araliabipinnata. Phytochemistry 1995, 39, 899–902. [Google Scholar] [CrossRef]
 - Abbas, F.A. Steroidal saponins from Solanum unguiculatum (A.) rich. Sci. Pharm. 2001, 69, 219–234. [Google Scholar]
 - Jia, Z.J.; Ju, Y. Steroidal saponins from Smilax lebrunii. Phytochemistry 1992, 31, 3173–3175. [Google Scholar] [CrossRef]
 - Zhang, Y.; Li, H.Z.; Zhang, Y.J.; Jacob, M.R.; Khan, S.I.; Li, X.C.; Yang, C.R. Atropurosides A-G, new steroidal saponins from Smilacina atropurpurea. Steroids 2006, 71, 712–719. [Google Scholar] [CrossRef]
 - Zhou, L.B.; Chen, D.F. Steroidal saponins from the roots of Asparagus filicinus. Steroids 2008, 73, 83–87. [Google Scholar] [CrossRef]
 - Fu, W.W.; Fu, J.N.; Zhang, W.M.; Sun, L.X.; Pei, Y.H.; Liu, P. Platycoside O, a new triterpenoidsaponin from the roots of Platycodon grandiflorum. Molecules 2011, 16, 4371–4378. [Google Scholar] [CrossRef]
 - Mimaki, Y.; Satou, T.; Kuroda, M.; Sashida, Y.; Hatakeyama, Y. New steroidal constituents from the bulbs of Lilium candidum. Chem. Pharm. Bull. 1998, 46, 1829–1832. [Google Scholar] [CrossRef]
 
- Sample Availability: Contact the corresponding author.
 
© 2012 by the authors; licensee MDPI, Basel, Switzerland. This article is an open-access article distributed under the terms and conditions of the Creative Commons Attribution license (http://creativecommons.org/licenses/by/3.0/).
Share and Cite
Zhou, Z.-L.; Feng, Z.-C.; Fu, C.-Y.; Zhang, H.-L.; Xia, J.-M. Steroidal and Phenolic Glycosides from the Bulbs of Lilium pumilum DC and Their Potential Na+/K+ ATPase Inhibitory Activity. Molecules 2012, 17, 10494-10502. https://doi.org/10.3390/molecules170910494
Zhou Z-L, Feng Z-C, Fu C-Y, Zhang H-L, Xia J-M. Steroidal and Phenolic Glycosides from the Bulbs of Lilium pumilum DC and Their Potential Na+/K+ ATPase Inhibitory Activity. Molecules. 2012; 17(9):10494-10502. https://doi.org/10.3390/molecules170910494
Chicago/Turabian StyleZhou, Zhong-Liu, Zong-Cai Feng, Chun-Yan Fu, Hua-Lin Zhang, and Jing-Min Xia. 2012. "Steroidal and Phenolic Glycosides from the Bulbs of Lilium pumilum DC and Their Potential Na+/K+ ATPase Inhibitory Activity" Molecules 17, no. 9: 10494-10502. https://doi.org/10.3390/molecules170910494
APA StyleZhou, Z.-L., Feng, Z.-C., Fu, C.-Y., Zhang, H.-L., & Xia, J.-M. (2012). Steroidal and Phenolic Glycosides from the Bulbs of Lilium pumilum DC and Their Potential Na+/K+ ATPase Inhibitory Activity. Molecules, 17(9), 10494-10502. https://doi.org/10.3390/molecules170910494
        