Next Article in Journal
The Vasorelaxant Mechanisms of a Rho Kinase Inhibitor DL0805 in Rat Thoracic Aorta
Next Article in Special Issue
5-(5-Aryl-1,3,4-oxadiazole-2-carbonyl)furan-3-carboxylate and New Cyclic C-Glycoside Analogues from Carbohydrate Precursors with MAO-B, Antimicrobial and Antifungal Activities
Previous Article in Journal
Tropical Plant Extracts as Potential Antihyperglycemic Agents
Previous Article in Special Issue
Synthesis and Antimicrobial Evaluation of Some Pyrazole Derivatives
 
 
Font Type:
Arial Georgia Verdana
Font Size:
Aa Aa Aa
Line Spacing:
Column Width:
Background:
Article

Scope and Limitations of a Novel Synthesis of 3-Arylazonicotinates

by
Omniya Sayed Zaky
1,*,
Moustafa Sherief Moustafa
2,*,
Maghraby Ali Selim
1,
Awatef Mohamed El-Maghraby
1 and
Mohamed Hilmy Elnagdi
2
1
Chemistry Department, Faculty of Science at Qena, South Valley University, P.O. Box 83523, Qena, Egypt
2
Department of Chemistry, Faculty of Science, University of Kuwait, P.O. Box 5969, Safat 13060, Kuwait
*
Authors to whom correspondence should be addressed.
Molecules 2012, 17(5), 5924-5934; https://doi.org/10.3390/molecules17055924
Submission received: 27 January 2012 / Revised: 13 May 2012 / Accepted: 15 May 2012 / Published: 18 May 2012
(This article belongs to the Special Issue Heterocycles)

Abstract

:
The reaction of 3-oxo-3-phenyl-2-phenylhydrazonal with functionally substituted and heteroaromatic substituted acetonitrile to yield arylazonicotinic acid derivatives and 5-arylsubstituted pyridines was established. In some cases the produced nicotinates could not be isolated as they underwent thermally induced 6π-electrocyclization yielding polynuclear pyridine derivatives.

1. Introduction

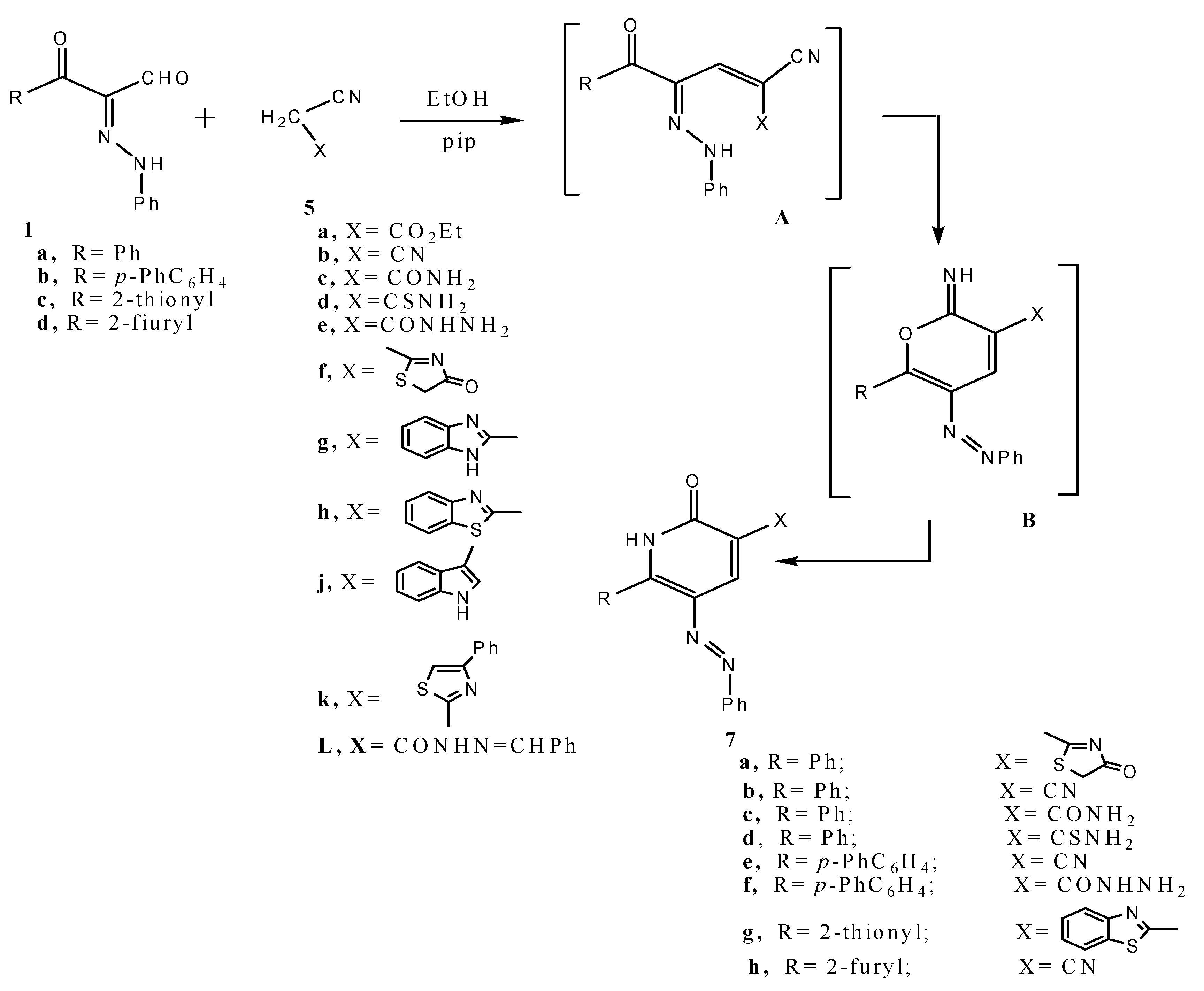
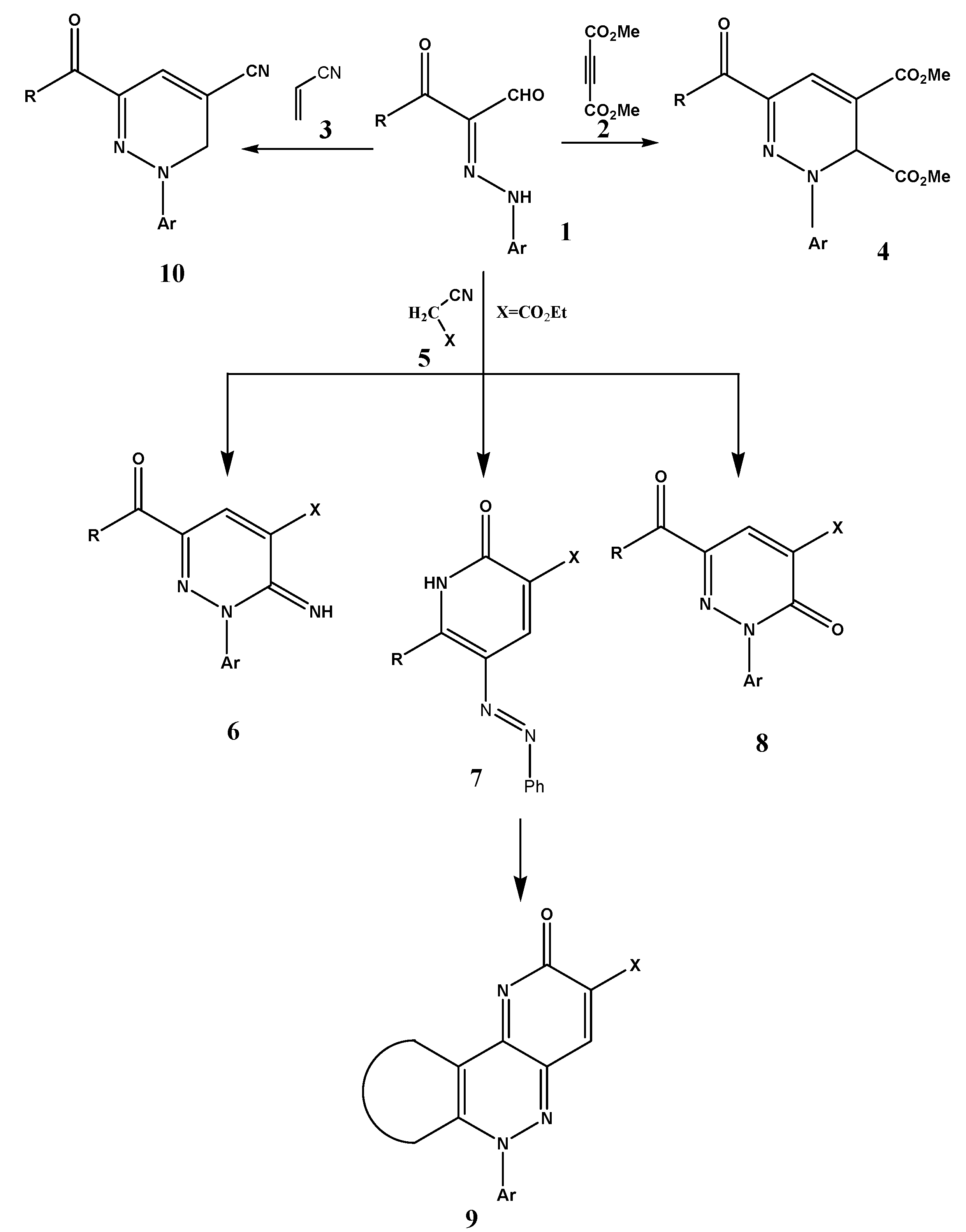
3-oxo-3-Substituted-2-arylhydrazonals 1 are versatile, readily obtainable reagents [1] that have been extensively utilized in the synthesis of polyfunctional substituted aromatics and heteroaromatics [2,3]. In the past we have reported novel synthesis of polyfunctional pyridazines 4 via heating 1 with dimethyl acetylenedicarboxylate (2) as well as acrylonitrile (3) in presence of triphenylphosphine or a tertiary amine base [4,5] (Scheme 1). We have also reported that condensing active methylene nitriles 5 with 1 affords products that were believed to be the pyridazine imines 6 [6]. Recently however Al-Mousawi et al. [7,8] realized that this structure cannot be correct as reported 13C-NMR data for the product lacked a carbonyl carbon at δ < 175 ppm. It was revealed that the products of condensing 1 with ethyl cyanoacetate are really the arylazonicotinates 7 (cf. Scheme 1), as clearly revealed by the X-ray crystal structure (Figure 1).
Scheme 1. Chemical reactivies of 3-oxo-3-substituted-2-arylhydrazonals 1.
Scheme 1. Chemical reactivies of 3-oxo-3-substituted-2-arylhydrazonals 1.
Molecules 17 05924 g002
Figure 1. X-ray structure of compound 7.
Figure 1. X-ray structure of compound 7.
Molecules 17 05924 g001
However, in some case pyridazinones 8 were the reaction products rather than nicotinates. In light of the enormous potential of arylazonicotinates both as new pyridone dyes [9] and as biologically active compounds with anticonvulsant activity that act due to synaptic and non-synaptic mechanisms and some studies that have proved their antitumor and antimicrobial activities [10], we were interested in defininh further the behavior of 1 toward 5 to see if the reaction would afford 7 or 8. In the present article we report on the reactivity of 1a–d toward a variety of derivatives of 5 where we noted that this reaction may produce derivatives of 7 or 8 depending on the nature of 5. Distinguishing between 7 and 8 could be easily accomplished based on 13C-NMR data as the absence of a carbonyl carbon signal would mean that the product is not an arylpyridazine derivative. Also with some derivatives of 7 electrocyclization and loss of hydrogen leading to novel 6-aryl-6H-pyrido[3,2-c]cinnolin-2-ones 9 seems probable.

2. Results and Discussion

Compounds 1a–d reacted with malononitrile 5b yielding the arylazonicotinonitriles 7b,h, respectively as indicated by the absence of carbonyl carbon absorptions in the 13C-NMR of the products. Similar to their behavior toward malononitrile compounds, 1a–d condensed with 5a,c–k to yield phenylazonicotinates 7a,c–g (Scheme 2).
Scheme 2. Syntheses of phenylazonicotinates 7a,c–g.
Scheme 2. Syntheses of phenylazonicotinates 7a,c–g.
Molecules 17 05924 g003
Phenylazonicotinates 7a,b were converted to aminopyridinones 10a,b by reduction using Zn/AcOH (Scheme 3).
Scheme 3. Syntheses of aminopyridinones 10a,b.
Scheme 3. Syntheses of aminopyridinones 10a,b.
Molecules 17 05924 g004
The reaction of 1a,b with 5c,d,k in ethanolic piperidine solution resulted in the formation of 12a–c. It is believed that the initially formed derivative of 7 readily underwent a 6π electrocyclization yielding 11a–c that then aromatized to the final products 12a–c (Scheme 4).
Scheme 4. Syntheses of compounds 12a–c.
Scheme 4. Syntheses of compounds 12a–c.
Molecules 17 05924 g005
We believe that the decreased aromaticity of the thiophene ring as compared to benzene is behind this ready electrocyclization, and in support of this conclusion we have found that 1c also afforded 14b–d,g,k upon reaction with 5b–d,g,k; again the initially formed derivative of 7 underwent electro-cyclization to 13 and then aromatized to yield 14b–d,g,k (Scheme 5).
Scheme 5. Syntheses of compounds 14b–d,g,k.
Scheme 5. Syntheses of compounds 14b–d,g,k.
Molecules 17 05924 g006
Similar to this behavior compound 1d reacted with 5c–e,g–k to afford compounds 16c–e,g–k under the same reaction conditions (Scheme 6).
Scheme 6. Syntheses of compounds 16c–e,g–k.
Scheme 6. Syntheses of compounds 16c–e,g–k.
Molecules 17 05924 g007
In summary, we could clearly demonstrate that the structures of the products obtained by reacting 1a–d with active methylenes can be readily concluded via inspection of position of the carbonyl carbon signals in the corresponding 13C-NMR spectra. When a arylhydrazone moiety in the intermediates cyclises via addition to a CN function subsequent hydrolysis of the formed imine usually occured leading to pyridazinones.

3. Experimental Section

3.1. General

Melting points are reported uncorrected and were determined with a Sanyo (Gallaenkamp) instrument. Infrared spectra were recorded using KBr pellets and a Perkin-Elmer 2000 FT-IR instrument. 1H- and 13C-NMR spectra were determined using a Bruker DPX instrument at 400 MHz for 1H-NMR and 100 MHz for 13C-NMR and DMSO-d6 solutions with TMS as internal standard. Chemical shifts are reported in δ (ppm). Mass spectra were measured using a VG Autospec Q MS 30 and MS 9 (AEI) spectrometers, using the EI (70 EV) mode. Elemental analyses were carried out using a LEO CHNS-932 Elemental Analyzer

3.2. General Procedure for the Synthesis of Compounds 7a,c–g

A mixture of 1a–d (0.01 mmol), and active methylenenitrile derivatives 5a–l (0.01 mmol) in the presence of piperidine (5 drops) and ethanol (10 mL) as a solvent was refluxed for 1–2 h. The reaction mixture was evaporated. The solid product, so formed, was crystallized from a suitable solvent.
3-(4-Oxo-4,5-dihydrothiazol-2-yl)-6-phenyl-5-phenylazo-1H-pyridin-2-one (7a). Red crystals from ethanol, yield 95%; m.p. up 300 °С; Anal. Calcd. for C20H14N4O2S (374) calcd: C, 64.16; H, 3.77; N, 14.96. Found: C, 64.00; H, 3.54; N, 14.83; IR (KBr) υmax: 1,629 (CN), 1,670 (CO); 1H-NMR (DMSO-d6): δ = 1.3 (s, 2H, CH2); 7.0–8.1 (m, 10H, Ph-H); 10.0 (br, 1H, NH, D2O exchangeable); 13C-NMR (DMSO-d6): δ = 163.7, 162.9, 143.0, 137.0, 134.9, 129.0, 128.4, 127.7, 126.2, 124, 100.0, 39.0; MS: m/z (%) 373 (M+, 10), 299 (85), 224 (5), 140 (20).
2-Oxo-6-phenyl-5-phenylazo-1,2-dihydropyridine-3-carbonitrile (7b). Dark yellow crystals from ethanol, yield 95%; m.p. 153 °С; Anal. Calcd. for C18H12N4O (300): C, 71.99; H, 4.03; N, 18.66. Found: C, 71.80; H, 3.99; N, 18.53; IR (KBr): υmax: 3,264 (NH), 1,660 (CO); 13C-NMR (DMSO-d6): δ = 162.9, 156.9, 137, 134.9, 129.0, 128.4, 127.7, 126.2, 117.2, 106.7, 100.0; MS: m/z (%) 301 (M+, 50), 275 (20), 194 (15).
2-Oxo-6-phenyl-5-phenylazo-1,2-dihydropyridine-3-carboxylic acid amide (7d). Orange crystals from ethanol, yield 98%, m.p. 190 °С; Anal. Calcd. for C18H14N4OS (334): C, 64.65; H, 4.22; N, 16.75. Found: C, 64.59; H, 4.21; N, 16.62; IR (KBr): υmax: 3,399–3,266 (NH2), 1,614(CN), 1,680 (CO); 1H-NMR (DMSO-d6): δ = 7.4–7.9 (m, 10H, Ph-H); 10.6 (br, 2H, NH2, D2O exchangeable); 13C-NMR (DMSO-d6): δ = 164.7, 135.7, 133.0, 130.3, 128.1, 126.4; MS: m/z (%) 334 (M+, 100), 105 (30), 77 (25).
6-Biphenyl-4-yl-2-oxo-5-phenylazo-1,2-dihydropyridine-3-carbonitrile (7e). Green crystals from AcOH, yield 95%; m.p. 145 °С; Anal. Calcd. for C24H16N4O (376.13): C, 76.58; H, 4.28; N, 14.88. Found: C, 76.57; H, 4.21; N, 14.62; IR (KBr) υmax: 3,343 (NH), 2,202 (CN), 1,655 (CO); 13C-NMR (DMSO-d6): δ = 162.0, 156.9, 137.0, 136.6, 135.8, 132.8, 129.0, 127.4, 126.7, 117.2, 106.7, 100.0; MS: m/z (%) 377 (M+, 90), 244 (20), 152 (50), 77 (30).
6-Biphenyl-4-yl-2-oxo-5-phenylazo-1,2-dihydropyridine-3-carboxylic acid hydrazide (7f). Buff crystals from ethanol, yield 95%; m.p. 237 °С; Anal. Calcd. For C24H19N5O2 (409): C, 70.40; H, 4.68; N, 17.10. found: C, 70.39; H, 4.61; N, 17.02; IR (KBr): υmax: 3,412–3,331 (NH2), 1,660 (CO); 13C-NMR (DMSO-d6): δ = 165.9, 162.9, 148.5, 137.0, 136.6, 135.8, 133.8, 131.3, 129.0, 127.4, 126.7, 100.0; MS: m/z (%) 409 (M+, 50) 324 (80), 181 (75), 77 (70).
3-Benzothiazol-2-yl-5-phenylazo-6-thiophen-2-yl-1H-pyridin-2-one (7g). Yellow crystals from ethanol/AcOH, yield 98%; m.p. 242 °С; Anal. Calcd. for C22H14N4OS2 (414): C, 63.75; H, 3.40; N, 13.52. Found: C, 63.71; H, 3.31; N, 13.42; IR (KBr): υmax: 3,264 (NH), 1,680 (CO); 1H-NMR (DMSO-d6): δ = 7.2–7.3 (t, 3H, thiol-H); 7.6–8.2 (m, 9H, Ph-H); 8.6 (br, 1H, NH, D2O exchangeable); 9.0 (s, 1H, nicotine-H);13C-NMR (DMSO-d6): δ = 162.9, 156.0, 153.0, 137.7, 136.6, 133.0, 130.0, 129.0, 127.8, 126.4, 125.0, 124.0, 123.0, 122.0, 106; MS: m/z (%) 413(M+, 100), 304 (25), 111 (40), 77 (10).
6-Furan-2-yl-2-oxo-5-phenylazo-1,2-dihydropyridine-3-carbonitrile (7h). Green crystals from ethanol, yield 95%; m.p. 214 °С; Anal. Calcd. for C16H10N4O2 (290): C, 66.20; H, 3.47; N, 19.30. Found: C, 66.19; H, 3.31; N, 19.30; IR(KBr): υmax: 3,322 (NH), 1,631 (CO); 1H-NMR (DMSO-d6): δ = 6.7–7.4 (m, 3H, furan-H); 7.6 (m, 2H, Ph-H); 8.1 (m, 2H, Ph-H); 8.1 (m, 1H, Ph-H); 13C-NMR (DMSO-d6): δ = 149.1, 148.7, 133.3, 130.4, 129.9, 126.1, 123.3, 112.8, 79.1; MS: m/z (%) 289 (M+, 100), 197 (5), 130 (5), 77 (50).
Synthesis of 5-Amino-3-(4-oxo-thiazolidin-2-yl)-6-phenyl-1H-pyridin-2-one (10a). A mixture of 7a (3.6 g, 0.1 mol) and Zn powder (2 gm) in acetic acid (20 mL) was refluxed for 2 h. then filtered while hot. The reaction mixture was cooled to room temperature and then poured onto ice-water. The solid thus formed was collected by filtration and crystallized from AcOH to give black crystals, yield 70%; m.p. up 300 °С; Anal. Calcd. for C14H13N3O2S (287): C, 58.52; H, 4.56; N, 14.62. Found: C, 58.50; H, 4.54; N, 14.53; IR (KBr): υmax: 3,432, 3,213 (NH2), 1,658 (CO); 13C-NMR (DMSO-d6): δ = 164.0, 162.9, 134.9, 128.4, 127.7, 126.2, 121.0, 108.0, 51.4, 39.0; MS: m/z (%) 287 (M+, 50), 207 (10), 93 (65), 55 (40).
Synthesis of 5-Amino-2-oxo-6-phenyl-1,2-dihydropyridine-3-carbonitrile (10b). A mixture of 7b (0.1 mol) and and Zn powder (2 gm) in acetic acid (20 mL) was refluxed for 2 h. then filtered while hot. The reaction mixture was cooled to room temperature and then poured onto ice-water. The solid thus formed was collected by filtration and crystallized from AcOH to give pale brown crystals, yield 70%; m.p. 190 °С; Anal. Calcd. for C12H9N3O (211): C, 68.24; H, 4.29; N, 19.89. Found: C, 68.20; H, 4.19; N, 19.83; IR (KBr): υmax: 3,432, 3,312, (NH2), 1,640 (CO); 13C-NMR (DMSO-d6): δ = 162.0, 156.9, 134.9, 128.4, 127.7, 126.0, 121.1, 117.2, 108.0, 106.7; MS: m/z (%) 211 (M+, 10), 129 (25), 77 (80).
6-Phenyl-3-(4-phenylthiazol-2-yl)-6H-pyrido[3,2-c]cinnolin-2-one (12a). Deep red crystals from ethanol, Yield 98%; m.p. 150 °С; Anal. Calcd. for C26H16N4OS (432): C, 72.20; H, 3.73; N, 12.95. Found: C, 72.19; H, 3.61; N, 12.92; IR (KBr): υmax: 1,614 (CN), 1,680 (CO); 1H-NMR (DMSO-d6): δ = 7.2 (s, 1H, thiazole-H); 7.3–8.1 (m, 14H, Ph-H); 8.3 (s, 1H, nicotine-H); 13C-NMR (DMSO-d6): δ = 157.2, 154.9, 149.2, 141.1, 140.6, 136.1, 134.3, 133.3, 133.2, 131.1, 130.8, 130.7, 130.1, 129.3, 128.8, 128.5, 127.0, 126.6, 121.3, 120.9; MS: m/z (%) 433 (M+, 100), 329 (10), 105 (20), 77 (15).
2-Oxo-6,8-diphenyl-2,6-dihydropyrido[3,2-c]cinnoline-3-carboxylic acid amide (12b). Red crystals from ethanol, yield 90%; m.p. 230 °С; Anal. Calcd. for C24H16N4O2 (392): C, 73.46; H, 4.11; N, 14.28. Found: C, 73.35; H, 4.00; N, 14.11; IR (KBr): υmax: 3,267, 3,189 (NH2); 13C-NMR (DMSO-d6): δ = 165.0, 150.0, 148.9, 144.2, 139.8, 136.6, 130.0, 129.4, 127.4, 119.5, 118.0, 117.0; MS: m/z (%) 393 (M+, 100), 181 (75), 77 (50).
2-Oxo-6,8-diphenyl-2,6-dihydropyrido[3,2-c]cinnoline-3-carbothioic acid amide (12c). Orange crystals from AcOH, yield 95%; m.p. 170 °С; Anal. Calcd. for C24H16N4OS (408): C, 70.57; H, 3.95; N, 13.72. Found: C, 70.49; H, 3.71; N, 13.52; IR (KBr): υmax 3,399, 3,298 (NH2), 1670 (CO); 13C-NMR (DMSO-d6): δ = 164.0, 155.0, 144.0, 143.2, 141.0, 139.8, 136.6, 130.6, 129.0, 127.0, 119.5, 118.0, 116.9; MS: m/z (%) 407 (M+, 25), 391 (50), 151 (40), 51 (50).
8-Oxo-4-phenyl-4,8-dihydro-1-thia-4,5,9-triazacyclopenta[a]naphthalene-7-carbonitrile (14b). Yellow crystals from ethanol, yield 97%; m.p. 210 °С; Anal. Calcd. for C16H8N4OS (304): C, 63.15; H, 2.65; N, 18.14. Found: C, 63.05; H, 2.52; N, 18.11. IR (KBr): υmax: 1,640 (CO); 1H-NMR (DMSO-d6): δ = 7.2–7.5 (m, 2H, thiazole-H); 7.6–7.7 (m, 5H, Ph-H); 13C-NMR (DMSO-d6): δ = 141.4, 138.7, 138.4, 136.8, 136.9, 135.8, 134.9, 132.7, 131.7, 129.7, 129.0, 128.2, 127.8, 126.1, 117.2, 79.16; MS: m/z (%) 305 (M+, 80), 195 (5), 83 (15), 77 (25).
8-Oxo-4-phenyl-4,8-dihydro-1-thia-4,5,9-triazacyclopenta[a]naphthalene-7-carboxylic acid amide (14c). Orange crystals from ethanol, yield 98%; m.p. 270 °С; Anal. Calcd. for C16H10N4O2S (322): C, 59.62; H, 3.13; N, 17.83. Found: C, 59.59; H, 3.11; N, 17.80. IR (KBr): υmax: 3,400, 3,312 (NH2), 1,615 (CN), 1,680 (CO); 1H-NMR (DMSO-d6): δ = 7.2–7.2 (t, 2H, thiol-H); 7.6–8.0 (m, 5H, Ph-H); 8.1 (S, 1H, nicotine-H); 13C-NMR (DMSO-d6): δ = 147.5, 139.3, 139.0, 138.1, 137.2, 136.2, 133.3, 133.0, 130.3, 129.9, 128.8, 128.2, 126.1, 115.0, 114.2; MS: m/z (%) 323 (M+, 100), 306 (15), 111 (90), 77 (30).
8-Oxo-4-phenyl-4,8-dihydro-1-thia-4,5,9-triazacyclopenta[a]naphthalene-7-carbothioic acid amide (14d). Brown crystal from ethanol/AcOH, yield 90%; m.p. 195 °С; Anal. Calcd. for C16H10N4OS2 (338): C, 56.79; H, 2.98; N, 16.56. Found: C, 56.65; H, 2.82; N, 16.41; IR (KBr): υmax: 1,640 (CO), 1,620 (CN); 13C-NMR (DMSO-d6): δ = 164.15, 146.7, 144.0, 141.0, 129.3, 127.0, 126.0, 118.5, 115.1; MS: m/z (%) 339 (M+, 25), 111 (75), 77 (50).
7-(1H-Benzoimidazol-2-yl)-4-phenyl-4H-1-thia-4,5,9-triazacyclopenta[a]naphthalen-8-one (14g). Yellow crystals from ethanol, yield 95%; m.p. 230 °С; Anal. Calcd. for C22H13N5OS (395): C, 66.82; H, 3.31; N, 17.71. Found: C, 66.70; H, 3.21; N, 17.68; IR (KBr): υmax: 1,670 (CO), 1,620 (CN); 1H-NMR (DMSO-d6): δ = 7.2–7.2 (t, 1H, NH, D2O exchangeable); 7.2–7.3 (m, 2H, thiol-H); 7.5–8.1 (m, 9H, Ph-H); 8.4 (s, 1H, nicotine-H); 13C-NMR (DMSO-d6): δ = 151.9, 147.0, 138.5, 136.9, 136.0, 129.1, 128.9, 128.4, 128.1, 126.5, 123.3, 121.0; MS: m/z (%) 396 (M+, 100), 286 (25), 195 (15), 111 (90), 77 (30).
4-Phenyl-7-(4-phenylthiazol-2-yl)-4H-1-thia-4,5,9-triazacyclopenta[a]naphthalen-8-one (14K). Yellow crystals from ethanol, yield 95%; m.p. 200 °С; Anal. Calcd. for C24H14N4OS2 (438): C, 65.73; H, 3.22; N, 12.78. Found: C, 65.70; H, 3.11; N, 12.68; IR (KBr): υmax: 1,680 (CO), 1,620 (CN); 1H-NMR (DMSO-d6): δ = 7.2–7.4 (t, 2H, thiol-H); 7.4–8.1 (m, 10H, Ph-H); 8.41 (s, 1H, thiazole-H); 8.6 (s, 1H, nicotine-H); 13C-NMR (DMSO-d6): δ = 154.4, 140.2, 138.5, 137.0, 136.2, 133.8, 130.7, 130.3, 129.7, 128.9, 128.3, 128.1, 126.6, 126.1, 121.0, 119.52; MS: m/z (%) 439 (M+, 100), 368 (5), 236 (10), 111 (20).
8-Oxo-4-phenyl-4,8-dihydro-1-oxa-4,5,9-triazacyclopenta[a]naphthalene-7-carboxylic acid amide (16c). Yellow crystals from ethanol, yield 95%; m.p. 288 °С; Anal. Calcd. for C16H10N4O3 (306): C, 62.74; H, 3.29; N, 18.29.;Found: C, 56.40; H, 3.44; N, 16.32; IR (KBr): υmax: 1,685 (CO), 1,620 (CN); 1H-NMR (DMSO-d6): δ = 6.7–6.7 (m, 2H, furan-H); 7.0 (s, 1H, nicotine-H); 7.5–8.4 (m, 5H, Ph-H), 8.7 (br, 2H, NH2, D2O exchangeable); 13C-NMR (DMSO-d6): δ = 162.6, 149.0, 148.9, 139.9, 130.4, 129.8, 127.2, 126.5, 123.1, 112.7; MS: m/z (%) 307 (M+, 100), 290 (15), 95 (50), 77 (25).
8-Oxo-4-phenyl-4,8-dihydro-1-oxa-4,5,9-triaza-cyclopenta[a]naphthalene-7-carbothioic acid amide (16d). Deep brown crystal from ethanol, yield 95%; m.p. 220 °С; Anal. Calcd. for C16H10N4O2S (322): C, 59.62; H, 3.13; N, 17.38. Found: C, 59.40; H, 3.0; N, 17.3. IR (KBr): υmax: 1,638 (CO), 1,620 (CN); 13C-NMR (DMSO-d6): δ = 164.0, 155.0, 146.7, 143.0, 141.0, 129.3, 118.5, 115.1, 110.0; MS: m/z (%) 323 (M+, 25), 305 (75), 289 (60), 95 (80), 51 (40).
7-(1H-Benzoimidazol-2-yl)-4-phenyl-4H-1-oxa-4,5,9-triaza-cyclopenta[a]n-aphthalen-8-one (16g). Yellow crystals from ethanol, Yield 98%; m.p. 278 °С; Anal. Calcd. for C22H13N5O2 (379): C, 69.65; H, 3.45; N, 18.46. Found: C, 69.59; H, 3.41; N, 18.42; IR (KBr): υmax: 1,614 (CN), 1,670 (CO); 13C-NMR (DMSO-d6): δ = 151.9, 149.1, 148.7, 146.9, 138.8, 129.2, 128.4, 126.5, 123.0, 120.9, 112.7; MS: m/z (%) 380 (M+, 100), 286 (15), 195 (25), 95 (50), 77 (20).
7-Benzothiazol-2-yl-4-phenyl-4H-1-oxa-4,5,9-triazacyclopenta[a]naphthalen-8-one (16h). Orange crystals from ethanol, yield 98%; m.p. 258 °С; Anal. Calcd. for C18H14N4O3 (396): C, 66.6; H, 3.05; N, 14.13. Found: C, 66.59; H, 3.00; N, 14.12; IR (KBr): υmax: 1,614 (CN), 1,680 (CO); 1H-NMR (DMSO-d6): δ = 6.7 (s, 1H, furan-H); 7.3 (s, 1H, furan-H); 7.4–7.7 (m, 9H, Ph-H); 8.6 (s, 1H, nicotine-H); 13C-NMR (DMSO-d6): δ = 158.8, 151.4, 151.4, 149.0, 148.9, 148.8, 140.1, 140.0, 137.8, 131.0, 130.4, 129.8, 126.6, 126.6, 125.7, 123.3, 123.1, 122.1, 121.6, 112.8; MS: m/z (%) 397 (M+, 100), 303 (5), 212 (10), 95 (40), 77 (10).
4-Phenyl-7-(4-phenylthiazol-2-yl)-4H-1-oxa-4,5,9-triaza-cyclopenta[a]naphthalen-8-one (16k). Yellow crystals from ethanol, yield 98%; m.p. 230 °С; Anal. Calcd. for C24H14N4O2S(422): C, 68.23; H, 3.34; N, 13.26. Found: C, 68.19; H, 3.21; N, 13.12; IR (KBr): υmax: 1,614 (CN), 1,680 (CO); 13C-NMR (DMSO-d6): δ = 164.0, 155.0, 154.0, 146.7, 143.0, 139.0, 136.2, 129.3, 128.0, 127.0, 118.0, 115.1, 114.0, 110.0; MS: m/z (%) 423 (m+, 100), 329 (5), 238 (5), 95 (25), 77 (10).
8-Oxo-4-phenyl-4,8-dihydro-1-oxa-4,5,9-triazacyclopenta[a]naphthalene-7-carboxylic acid benzylidenehydrazide (16l). Orange crystals from ethanol, yield 98%; m.p. 266 °С; Anal. Calcd. for C23H15N5O3 (409): C, 67.48; H, 3.69; N, 17.11. Found: C, 67.45; H, 3.59; N, 17.00; IR (KBr): υmax: 1,559 1,614 (CN), 1,680 (CO); 1H-NMR (DMSO-d6): δ = 6.7 (s, 1H, CH); 7.2 (s,1H, nicotine-H); 7.4–7.5 (t, 2H, furan-H); 7.7–8.3 (m, 10H, Ph-H); 13C-NMR (DMSO-d6): δ = 130.5, 128.8, 127.4, 112.8, 106.4, 55.8, 18.9; MS: m/z (%) 410 (M+, 50), 291 (10), 105 (5), 77 (10).

4. Conclusions

In conclusion it has been found that 5 condenses with 1a to yield pyridazinones 7 as indicted from the presence of a carbonyl carbon as δ = 165 ppm in the 13C-NMR. Initially formed imines 6 in this case are readily hydrolysed under the reaction conditions to yield the final products. In fact this finding supports our belief that heterocyclic imines like 6 are difficult to isolate as they readily afford the more stable aromatic derivative.

Supplementary Materials

Supplementary materials can be accessed at: https://www.mdpi.com/1420-3049/17/5/5924/s1.

Acknowledgments

The authors are grateful to the Kuwait University Research Administration for financial support of project SC 01/10, Analytical facitities provided by SAF projects No. GS 01/01 & GS 01/03 & GS 01/05 are greatly appreciated. Omnia Sayed Zaky is grateful to The Chemistry Department, Faculty of Science at Qena, South Valley University for supporting her Ph.D. study.

References and Notes

  1. Elnagdi, M.H.; Elgemele, G.E.H. The chemistry of 3-oxoalkanenitriles. Synthesis 1984, 1, 1–26. [Google Scholar]
  2. John, C.K.; Cupps, J.C.; Wese, T.L.; Ownsend, L.B.T. An efficient one-step synthesis of 3-oxoalkanenitriles. Synthesis 1983, 4, 308–309. [Google Scholar]
  3. Al-Matar, M.H.; Khalil, K.D.; Adam, A.Y.; Elnagdi, M.H. Studies with 3-oxoalkanenitriles: Novel rearrangements observed while exploring the utility of 2-cyanoacetyl-1-methylpyrrole as a precursor to pyrrole substituted heterocyclic compounds. Molecules 2012, 17, 897–909. [Google Scholar] [CrossRef]
  4. Al-Shiekh, M.A.; Medrassi, H.Y.; Elnagdi, M.H.; Hafez, E.A. Studies with 2-arylhydrazono-3-oxopropanals: Routes for the synthesis of pyridazine-3,4-dicarboxylate and 3,5-diaroylpyrazoles. ARKIVOC 2008, xvii, 36–47. [Google Scholar]
  5. Al-Shiekh, M.A.; Salaheldin, A.M.; Hafez, E.A.; Elnagdi, M.H. 2-Arylhydrazono-3-oxopropanals in heterocyclic synthesis: Synthesis of arylazopyrazole, arylazoisoxazole and dialkylpyridazine-5,6-dicarboxylate derivatives. New one-step synthesis of arylazopyrimidines. J. Heterocycl. Chem. 2004, 41, 647–654. [Google Scholar] [CrossRef]
  6. Al-Omran, F.; Abdelkhalik, M.M.; El-Khair, A.A.; Elnagdi, M.H. Studies with functionally substituted heteroaromatics. A novel route for the synthesis of 1-aryl-6-pyridazinones, 1-arylpyridazin-6-imines, and 1-aryl-6-imino-4-pyridazinals. Synthesis 1997, 1, 91–94. [Google Scholar]
  7. Al-Mousawi, S.M.; Moustafa, M.S.; Abdelkhalik, M.M.; Elnagdi, M.H. Polyfunctional nitriles in organic syntheses: A novel route to aminopyrroles, pyridazines and pyrazolo[3,4-c]pyridazines. Molecules 2009, 14, 798–806. [Google Scholar] [CrossRef]
  8. Al-Mousawi, S.M.; Moustafa, M.S.; Abdelshafy, I.A.; Elnagdi, M.H. Reassignment of the structures of condensation products of α-keto α'-formylarylhydrazones with ethyl cyanoacetate: A novel route to ethyl 5-arylazo-2-hydroxynicotinates. Tetrahedron Lett. 2011, 52, 202–204. [Google Scholar] [CrossRef]
  9. Sheikhshoaie, I.; Fabian, W.M.F. Theoretical insights into material properties of Schiff bases and related azo compounds. Curr. Org. Chem. 2009, 13, 149–171. [Google Scholar] [CrossRef]
  10. Edafiogho, I.O.; Phillips, O.A.; Udo, E.E.; Samuel, S.; Rethish, B. Synthesis, antibacterial and anticonvulsant evaluations of some cyclic enaminones. Eur. J. Med. Chem. 2009, 44, 967–975. [Google Scholar] [CrossRef]
  • Sample Availability: Samples of the all compounds are available from the authors.

Share and Cite

MDPI and ACS Style

Zaky, O.S.; Moustafa, M.S.; Selim, M.A.; El-Maghraby, A.M.; Elnagdi, M.H. Scope and Limitations of a Novel Synthesis of 3-Arylazonicotinates. Molecules 2012, 17, 5924-5934. https://doi.org/10.3390/molecules17055924

AMA Style

Zaky OS, Moustafa MS, Selim MA, El-Maghraby AM, Elnagdi MH. Scope and Limitations of a Novel Synthesis of 3-Arylazonicotinates. Molecules. 2012; 17(5):5924-5934. https://doi.org/10.3390/molecules17055924

Chicago/Turabian Style

Zaky, Omniya Sayed, Moustafa Sherief Moustafa, Maghraby Ali Selim, Awatef Mohamed El-Maghraby, and Mohamed Hilmy Elnagdi. 2012. "Scope and Limitations of a Novel Synthesis of 3-Arylazonicotinates" Molecules 17, no. 5: 5924-5934. https://doi.org/10.3390/molecules17055924

APA Style

Zaky, O. S., Moustafa, M. S., Selim, M. A., El-Maghraby, A. M., & Elnagdi, M. H. (2012). Scope and Limitations of a Novel Synthesis of 3-Arylazonicotinates. Molecules, 17(5), 5924-5934. https://doi.org/10.3390/molecules17055924

Article Metrics

Back to TopTop