Synthesis and Characterization of Hybrid Molecularly Imprinted Polymer (MIP) Membranes for Removal of Methylene Blue (MB)
Abstract
:1. Introduction

2. Results and Discussion
2.1. Characterization of MB-MIP Membranes Using FTIR


2.2. Characterization of MB-MIP Membranes Using SEM


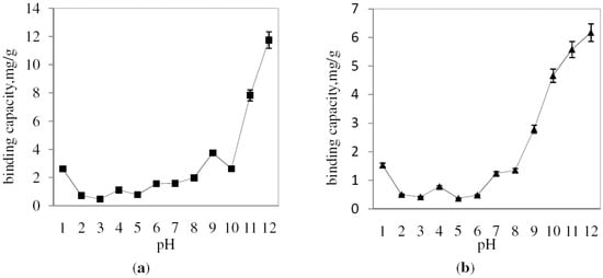
2.3. Effect of pH for Sorption of MB Using MB-MIP Membranes

2.4. Kinetic Study for Sorption of MB using MB-MIP Membranes

| Membranes | Pseudo first order kinetic model | Pseudo second order kinetic model | |||||
| qe exp, | R2 | qe, | k | R2 | qe, | K | |
| (mg/g) | (mg/g) | (mg/g·min−1) | (mg/g) | (mg/g·min−1) | |||
| CA-MB-MIP | 5.9200 | 0.7280 | 1.7640 | 0.0064 | 0.9950 | 5.9737 | 0.0123 |
| PSf-MB-MIP | 6.3700 | 0.7535 | 1.2503 | 0.0018 | 0.9906 | 6.3492 | 0.0080 |
2.5. Isotherm Study for Sorption of MB Using MB-MIP Membranes

| Membranes | Langmuir isotherm model | Freundlich isotherm model | ||||
|---|---|---|---|---|---|---|
| R2 | qe, (mg/g) | b (L/mg) | R2 | n | Kf | |
| CA-MB-MIP | 0.4357 | 119.0476 | 0.0062 | 0.9025 | 1.5251 | 1.8463 |
| PSf-MB-MIP | 0.6779 | 43.1034 | 0.0080 | 0.9820 | 1.1258 | 0.9940 |
2.6. Selectivity Study of the MB-MIP Membranes


3. Experimental
3.1. Materials
3.2. Instruments
3.3. Experimental
3.3.1. Preparation of MB-MIP Powders
3.3.2. Preparation of the MB-MIP Membranes
3.3.3. Effect of pH for Sorption of MB using MB-MIP Membranes
3.3.4. Kinetic Study for Sorption of MB using MB-MIP Membranes
3.3.5. Isotherm Study for Sorption of MB using MB-MIP Membranes
3.3.6. Selectivity Study of MB-MIP Membranes
4. Conclusions
Acknowledgements
- Sample Availability: Not available.
References and Notes
- Cormack, P.A.G.; Elorza, A.Z. Molecularly imprinted polymers: Synthesis and characterisation. J. Chromatogr. B 2004, 804, 173–182. [Google Scholar] [CrossRef]
- Zakaria, N.D.; Yusof, N.A.; Haron, M.J.; Abdullah, A.H. Synthesis and evaluation of a molecularly imprinted polymer for 2,4-dinitrophenol. Int. J. Mol. Sci. 2009, 10, 354–365. [Google Scholar] [CrossRef]
- Yoshikawa, M. Molecularly imprinted polymeric membranes. Bioseparation 2002, 10, 277–286. [Google Scholar] [CrossRef]
- Piletsky, S.A.; Panasyuk, T.L.; Piletskaya, E.V.; Nicholls, I.A.; Ulbricht, M. Receptor and transport properties of imprinted polymer membranes—A review. J. Membrane Sci. 1999, 157, 263–278. [Google Scholar] [CrossRef]
- Sergeyeva, T.A.; Matuschewski, H.; Piletsky, S.A.; Bendig, J.; Schedle, U.; Ulbricht, M. Molecularly imprinted polymer membranes for substance-selective solid-phase extraction from water by surface photo-grafting polymerization. J. Chromatogr. A 2001, 907, 89–99. [Google Scholar] [CrossRef]
- Kiełczyński, R.; Bryjak, M. Molecularly imprinted membranes for cinchona alkaloids separation. Separ. Purif. Technol. 2005, 41, 231–235. [Google Scholar] [CrossRef]
- Donato, L.; Figoli, A.; Drioli, E. Novel composite poly(4vinylpiridine)/polypropylene membranes with recognition properties for (S)-naproxen. J. Pharmaceut. Biomed. Anal. 2005, 37, 1003–1008. [Google Scholar] [CrossRef]
- Suedee, R.; Bodhibukkana, N.; Tangthong, N.; Amnuaikit, C.; Kaewnopparat, S.; Srichana, T. Development of a reservoir-type transdermal enantioselective controlled delivery system for racemic propanolol using a molecularly imprinted polymer composite membrane. J. Control. Release 2008, 129, 170–178. [Google Scholar] [CrossRef]
- Wang, J.-Y.; Liu, F.; Xu, Z.-L.; Li, K. Theophylline molecular imprint composite membranes prepared from poly(vinylidene fluoride) (PVDF) substrate. Chem. Eng. Sci. 2010, 65, 3322–3330. [Google Scholar] [CrossRef]
- Zayats, M.; Lahav, M.; Kharitonov, A.B.; Willner, I. Imprinting of specific molecular recognition sites in inorganic and organic thin layer membranes associated with ion-sensitive field-effect transistors. Tetrahedron 2002, 58, 815–824. [Google Scholar] [CrossRef]
- Ulbricht, M. Advanced functional polymer membranes. Polymer 2006, 47, 2217–2262. [Google Scholar] [CrossRef]
- González, G.P.; Hernando, P.F.; Alegría, J.S.D. An optical sensor for the determination of digoxin in serum samples based on a molecularly imprinted polymer membrane. Anal. Chim. Acta 2009, 638, 209–212. [Google Scholar] [CrossRef]
- Sergeyeva, T.A.; Brovko, O.O.; Piltska, E.V.; Piletsky, S.A.; Goncharova, L.A.; Karabanova, L.V.; Sergeyeva, L.M.; El’skaya, A.V. Porous molecularly imprinted polymer membranes and polymeric particles. Anal. Chim. Acta 2007, 582, 311–319. [Google Scholar] [CrossRef]
- Suedee, R.; Srichana, T.; Sangpagai, C.; Tunthana, C.; Vanichapichat, P. Development of trichloroacetic acid sensor based on molecularly imprinted polymer membrane for the screening of complex mixture of haloacetic acids in drinking water. Anal. Chim. Acta 2004, 504, 89–100. [Google Scholar] [CrossRef]
- Zhang, N.-W.; Ding, M.-X.; Liu, G.-Y.; Song, W.-W.; Chai, C.-Y. Molecularly imprinted membrane-based sensor for the detection of chloramphenicol succinate residue in milk. Chin. J. Anal. Chem. 2008, 36, 1380–1384. [Google Scholar] [CrossRef]
- Chai, C.; Liu, G.; Li, F.; Liu, X.; Yao, B.; Wang, L. Towards the development of a portable sensor based on a molecularly imprinted membrane for the rapid determination of salbutamol in pig urine. Anal.Chim. Acta 2010, 675, 185–190. [Google Scholar] [CrossRef]
- Takeda, K.; Uemura, K.; Kobayashi, T. Hybrid molecular imprinted membranes having selectivity and separation behavior to targeted indole derivatives. Anal. Chim. Acta 2007, 591, 40–48. [Google Scholar] [CrossRef]
- Donato, L.; Tasselli, F.; Drioli, E. Molecularly imprinted membranes with affinity properties for folic acid. Separ.Sci. Technol. 2010, 45, 2273–2279. [Google Scholar] [CrossRef]
- Trotta, F.; Drioli, E.; Baggiani, C.; Lacopo, D. Molecular imprinted polymeric membrane for naringin recognition. J. Membrane Sci. 2002, 201, 77–84. [Google Scholar] [CrossRef]
- White, L.S.; Nitsch, A.R. Solvent recovery from lube oil filtrates with a polyimide membrane. J. Membrane Sci. 2000, 179, 267–274. [Google Scholar] [CrossRef]
- Hou, D.Y.; Wang, J.; Qu, D.; Luan, Z.K.; Zhao, C.W.; Ren, X.J. Desalination of brackish groundwater by direct contact membrane distillation. Water Sci. Technol. 2010, 61, 2013–2020. [Google Scholar] [CrossRef]
- Tasselli, F.; Donato, L.; Drioli, E. Evaluation of molecularly imprinted membranes based on different acrylic copolymers. J. Membrane Sci. 2008, 320, 167–172. [Google Scholar] [CrossRef]
- Takeda, K.; Kobayashi, T. Hybrid molecular imprinted membranes for targeted bisphenol derivatives. Anal. Chim. Acta 2006, 275, 61–69. [Google Scholar]
- Wang, H.Y.; Kobayashi, T.; Fukaya, T.; Fujii, N. Molecular imprint membranes prepared by the phase inversion precipitation technique. 2. Influence of coagulation temperature in the phase inversion process on the encoding in polymeric membranes. Langmuir 1997, 139, 5396–5400. [Google Scholar]
- Zhao, Y.-H.; Qian, Y.-L.; Zhu, B.-K.; Xu, Y.-Y. Modification of porous poly (vinylidene fluoride) membrane using amphiphilic polymers with different structures in phase inversion process. J. Membrane Sci. 2008, 310, 567–576. [Google Scholar] [CrossRef]
- Son, L.T.; Katagawa, K.; Kobayashi, T. Using molecularly imprinted polymeric spheres for hybrid membranes with selective adsorption of bisphenol A derivatives. J. Membrane Sci. 2011, 375, 295–303. [Google Scholar] [CrossRef]
- Borrelli, C.; Barsanti, S.; Silvestri, D.; Manesiotis, P.; Ciardelli, G.; Sellergren, B. Selective depletion of riboflavin from beer using membranes incorporating imprinted polymer particles. J. Food Process. Pres. 2011, 35, 112–128. [Google Scholar] [CrossRef]
- Faizal, C.K.M.; Hoshina, Y.; Kobayashi, T. Scaffold membranes for selective adsorption of α-tocopherol by phase inversion covalently imprinting technique. J. Membrane Sci. 2008, 322, 503–511. [Google Scholar] [CrossRef]
- Ong, S.T.; Lee, C.K.; Zainal, Z. Removal of basic and reactive dyes using ethylenediamine modified rice hull. Bioresource Technol. 2007, 98, 2792–2794. [Google Scholar]
- Delval, F.; Crini, G.; Morin, N.; Vebrel, J.; Bertini, S.; Torri, G. The sorption of several types of dye on crosslinked polysaccharides derivatives. Dyes Pigments 2002, 53, 79–92. [Google Scholar] [CrossRef]
- Fan, J.; Li, A.; Yang, W.; Yang, L.; Zhang, Q. Adsorption of water-soluble dye X-BR onto styrene and acrylic ester resins. Separ. Purif. Technol. 2006, 51, 338–344. [Google Scholar] [CrossRef]
- Zhao, M.; Liu, P. Adsorption behavior of methylene blue on halloysite nanotubes. Micropor. Mesopor. Mat. 2008, 112, 419–424. [Google Scholar] [CrossRef]
- Li, Q.; Su, H.; Li, J.; Tan, T. Studies of adsorption for heavy metal ions and degradation of methyl orange based on the surface of ion-imprinted adsorbent. Process Biochem. 2007, 42, 379–383. [Google Scholar] [CrossRef]
- Sanchez-Martin, J.; Gonzalez-Valasco, M.; Beltran-Heredia, J.; Gragera-Carvajal, J.; Salguera-Fernandez, J. Novel tannin-based adsorbent in removing cationic dye (methylene blue) from aqueous solution: Kinetic and equlibrium studies. J. Hazad. Mater. 2010, 174, 9–16. [Google Scholar] [CrossRef]
- Kalavathy, M.H.; Karthikeyan, T.; Rajgopal, S.; Miranda, L.R. Kinetics and isotherm studies of Cu (II) adsorption onto H3PO4-activated rubber wood sawdust. J. Colloid Interf. Sci. 2005, 292, 354–362. [Google Scholar] [CrossRef]
- Saliza, A.; Yusof, N.A.; Haron, M.J.; Abdullah, A.H. Synthesis and characterization of a molecularly imprinted polymer for methylene blue. Asian J. Chem. 2011, 23, 4786–4794. [Google Scholar]
© 2012 by the authors; licensee MDPI, Basel, Switzerland. This article is an open-access article distributed under the terms and conditions of the Creative Commons Attribution license (http://creativecommons.org/licenses/by/3.0/).
Share and Cite
Asman, S.; Yusof, N.A.; Abdullah, A.H.; Haron, M.J. Synthesis and Characterization of Hybrid Molecularly Imprinted Polymer (MIP) Membranes for Removal of Methylene Blue (MB). Molecules 2012, 17, 1916-1928. https://doi.org/10.3390/molecules17021916
Asman S, Yusof NA, Abdullah AH, Haron MJ. Synthesis and Characterization of Hybrid Molecularly Imprinted Polymer (MIP) Membranes for Removal of Methylene Blue (MB). Molecules. 2012; 17(2):1916-1928. https://doi.org/10.3390/molecules17021916
Chicago/Turabian StyleAsman, Saliza, Nor Azah Yusof, Abdul Halim Abdullah, and Md Jelas Haron. 2012. "Synthesis and Characterization of Hybrid Molecularly Imprinted Polymer (MIP) Membranes for Removal of Methylene Blue (MB)" Molecules 17, no. 2: 1916-1928. https://doi.org/10.3390/molecules17021916
APA StyleAsman, S., Yusof, N. A., Abdullah, A. H., & Haron, M. J. (2012). Synthesis and Characterization of Hybrid Molecularly Imprinted Polymer (MIP) Membranes for Removal of Methylene Blue (MB). Molecules, 17(2), 1916-1928. https://doi.org/10.3390/molecules17021916
