Novel Self-Dyed Wholly Aromatic Polyamide-Hydrazides Covalently Bonded with Azo Groups in Their Main Chains: 1. Structure-Property Relationships
Abstract
:1. Introduction
2. Results and Discussion
2.1. Polymer Synthesis
2.2. Polymer Identification
2.3. Polymer Characterization
2.3.1. Intrinsic Viscosity
2.3.2. Solubility
2.3.3. Percent Moisture Regain
2.3.4. X-ray Diffraction
2.3.5. Mechanical Properties
2.3.6. Thermal Properties
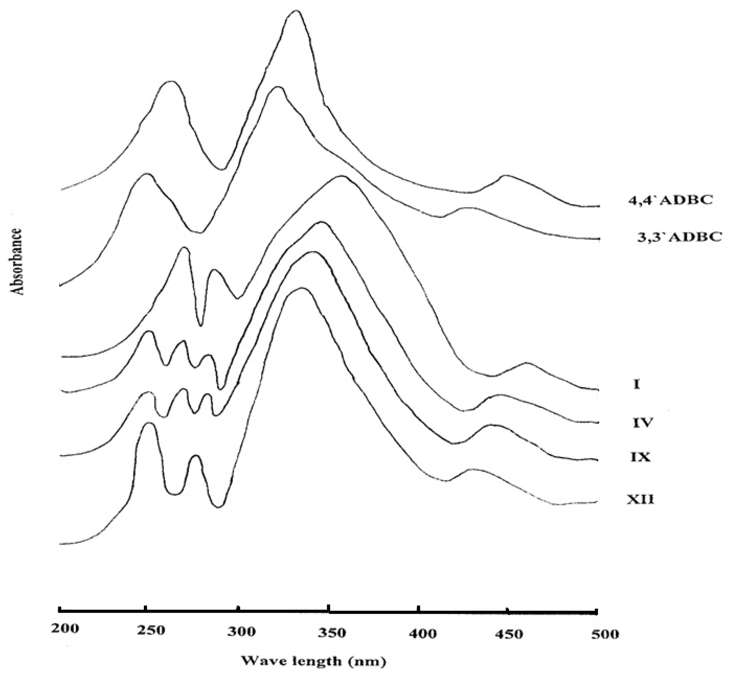
2.3.7. Ultraviolet-Visible Spectroscopy
3. Experimental
3.1. Synthesis of the Monomers
3.2. Synthesis of the Polymers
3.3. Film Preparation
3.4. Measurements and Instruments
4. Conclusions
References
- Zhu, Q.M.; Dong, L.J.; Niu, Y.S.; Xiong, C.X.; Liu, Y.; Liu, J.T.; Liu, L.P.; Shu, B.Q. Synthesis and characterization of novel fluorinated azopolyamides. Polym. Bull. 2008, 61, 569–580. [Google Scholar] [CrossRef]
- Blair, H.S.; Pague, H.I.; Riordan, J.E. Photoresponsive effects in azo polymers. Polymer 1980, 21, 1195–1198. [Google Scholar] [CrossRef]
- Rajendran, V.; Nanjan, M.J. Thermal behavior and fiber studies of certain azoaromatic polyamides. J. Appl. Polym. Sci. 1989, 37, 3281–3290. [Google Scholar] [CrossRef]
- Morgan, P.W. Polyamide spinning dope. U.S. Patent US3,804,791, 16 April 1974. [Google Scholar]
- Ho, C.H.; Yang, K.N.; Lee, S.N. Mechanistic study of trans-cis isomerism of the substituted azobenzene moiety bounded on a liquid-crystalline polymer. J. Polym. Sci. A 2001, 39, 2296–2307. [Google Scholar] [CrossRef]
- Cui, L.; Tong, X.; Yan, X.; Liu, G.; Zhao, Y. Photoactive thermoplastic elastomers of azobenzene-containing triblock copolymers prepared through atom transfer radical polymerization. Macromolecules 2004, 37, 7097–7103. [Google Scholar] [CrossRef]
- Kim, T.D.; Lee, G.U.; Lee, K.S.; Kim, O.K. Synthesis and characterization of a novel polyimide-based second-order nonlinear optical material. Polymer 2000, 41, 5237–5245. [Google Scholar] [CrossRef]
- Tuo, X.; Chen, Z.; Wu, L.; Wang, X.; Liu, D. Photoreponsive self-assembled multilayers of three new azo polyelectrolytes. Polym. Prepr. 2000, 41, 1405–1406. [Google Scholar]
- Meng, X.; Natansohn, A.; Barrett, C.; Rochon, P. Azo polymers for reversible optical storage. Cooperation motion of polar side groups in amorphous polymers. Macromolecules 1996, 29, 946–952. [Google Scholar] [CrossRef]
- He, Y.; Wang, H.; Tuo, X.; Deng, W.; Wang, X. Synthesis, self-assembly and photoinduced surface- relief grating of a polyacrylate-based azo polyelectrolyte. Opt. Mater. 2004, 26, 89–93. [Google Scholar] [CrossRef]
- Abdolmaleki, A. Novel aromatic poly(amide-hydrazide)s based on the bipyridine. Part I: Synthesis, characterization and thermal stability. Polym. Degrad. Stab. 2007, 92, 292–298. [Google Scholar] [CrossRef]
- Mohamed, N.A.; Fahmi, M.M. Synthesis and characterization of novel wholly para-oriented aromatic polyamide-hydrazides containing sulfone-ether linlages. J. Appl. Polym. Sci. 2009, 113, 767–776. [Google Scholar] [CrossRef]
- Preston, J.; Black, W.B.; Hofferbert, W.L., Jr. High modulus wholly aromatic fibers. I. Wholly ordered polyamide-hydrazides and poly-1,3,4-oxadiazole-amides. J. Macromol. Sci. Chem. 1973, 7, 45–65. [Google Scholar] [CrossRef]
- Shukla, J.S.; Misra, P.K. Studies on some newer polyhydrazides containing amide linkages. III. J. Polym. Sci. A Polym. Chem. 1984, 11, 3401–3405. [Google Scholar] [CrossRef]
- Hsiao, S.-H.; Yu, C.-H. Novel aromatic polyhydrazides and poly(amide-hydrazide)s based on multiring flexible dicarboxylic acids. J. Polym. Sci. A 1998, 36, 1847–1854. [Google Scholar] [CrossRef]
- Dvornic, P.R. Wholly aromatic polyamide-hydrazides. 2. Rheological properties of poly(4-(terephthaloylamino)benzoic acid hydrazide) in moderately concentrated N,N-dimethylacetamide solutions. Macromolecules 1984, 17, 1348–1357. [Google Scholar] [CrossRef]
- Black, W.B.; Preston, J. High-Modulus Wholly Aromatic Fibers; Marcel Dekker: New York, NY, USA, 1973; pp. 203, 281, 295. [Google Scholar]
- Sourirajan, S.; Matsura, T. Environmental Protection Agency Symposium Proceedings Textile and Technology No. 299132; (US Publ No EPA-60012-79-104); EPA: Chicago, IL, USA, 1979; p. 73.
- McKinney, R., Jr.; Rhodes, J.H. Aromatic polyamide membranes for reverse osmosis separations. Macromolecules 1971, 4, 633–637. [Google Scholar] [CrossRef]
- Dvornic, P.R. Wholly aromatic polyamide-hydrazides. IV. Structure-property relationships for polymers containing p-phenylene and m-phenylene units. J. Polym. Sci. A 1986, 24, 1133–1160. [Google Scholar] [CrossRef]
- Mohamed, N.A.; Al-Dossary, A.O.H. Structure-property relationships for novel wholly aromatic polyamide-hydrazides containing various proportions of para-phenylene and meta-phenylene units. III. Preparation and properties of semi-permeable membranes for water desalination by reverse osmosis separation performance. Eur. Polym. J. 2003, 39, 1653–1667. [Google Scholar]
- Mohamed, N.A. Structure-property relationships for novel wholly aromatic polyamide-hydrazides containing various proportions of para-phenylene and meta-phenylene units. V. Evaluation of the electrical surface conductivity of several metalized plastic films. Polym. Test. 2007, 26, 471–481. [Google Scholar] [CrossRef]
- Dvornic, P.R. Wholly aromatic polyamide-hydrazides. III. Thermal stability and degradation behaviour of poly[4-(terephthaloylamino) benzoic acid hydrazide]. Bull. Soc. Chim. (Beograd) 1984, 49, 589–606. [Google Scholar]
- Mohamed, N.A. Novel wholly aromatic polyamide-hydrazides. V. Structure-molecular-weight-thermal-stability relationships. Polym. Degrad. Stab. 1994, 44, 33–42. [Google Scholar] [CrossRef]
- Cassidy, P.E. (Ed.) Thermally Stable Polymers; Marcel Dekker: New York, NY, USA, 1980; p. 179. [Google Scholar]
- Nanjan, M.J. Polyhydrazides and Polyoxadiazoles, In Encyclopedia of Polymer Science and Engineering, 2nd ed.; Mark, H.F., Bikales, N.M., Overberger, C.G., Menges, G., Kroschwitz, J.I., Eds.; Wiley: New York, NY, USA, 1988; Volume 12, pp. 322–339. [Google Scholar]
- Maglio, G.; Palumbo, R.; Tortora, M. Aromatic poly(benzoxazole)s from multiring diacids containing (phenylenedioxy)diphenylene or (naphthalenedioxy)diphenylene groups: Synthesis and thermal properties. J. Polym. Sci. 2000, 38, 1172–1178. [Google Scholar] [CrossRef]
- Moyer, W.W.; Cole, C., Jr.; Anyos, T. Aromatic polybenzoxazoles. J. Polym. Sci. 1965, A3, 2107–2121. [Google Scholar] [CrossRef]
- Frazer, A.H.; Sweeny, W.; Wallenberger, F.T. Poly(1,3,4-oxadiazoles): A new class of polymers by cyclodehydration of polyhydrazides. J. Polym. Sci. 1964, A2, 1157–1169. [Google Scholar] [CrossRef]
- Abshire, C.J.; Marvel, C.S. Some oxadiazole and triazole polymers. Makromol. Chem. 1961, 44, 388–397. [Google Scholar] [CrossRef]
- Morrison, R.W.; Preston, J.; Randall, J.C.; Black, W.B. Self-regulating polycondensation. II. A study of the order present in polyamide-hydrazides derived from terephthaloyl chloride and p-aminobenzhydrazide. J. Macromol. Chem. 1973, 7, 99–118. [Google Scholar] [CrossRef]
- Randall, J.C.; Morrison, R.W.; Preston, J. Self-regulating polycondensation. III. NMR analysis of oligomers derived from terephthaloyl chloride and p-aminobenzhydrazide. J. Macromol. Sci. Chem. 1973, 7, 119–133. [Google Scholar] [CrossRef]
- Dvornic, P.R. Wholly aromatic polyamide-hydrazides. I. A viscometrical method for monitoring of condensation polymerization reactions. J. Appl. Polym. Sci. 1983, 28, 2729–2743. [Google Scholar] [CrossRef]
- Panar, M.; Beste, L.F. Structure of poly(1,4-benzamide) solutions. Macromolecules 1977, 10, 1401–1406. [Google Scholar] [CrossRef]
- Henniker, J.C. Infra-Red Spectrometry of Industrial Polymers, 1st ed.; Academic Press: London, UK, 1967; p. 128. [Google Scholar]
- Ballamy, L.J. The Infra-Red Spectra of Complex Molecules, 3rd ed.; Chapman and Hall: London, UK, 1975; p. 369. [Google Scholar]
- Preston, J.; Black, W.B.; Hofferbert, W.L., Jr. High modulus wholly aromatic fibers. II. Partially ordered polyamide-hydrazides. J. Macromol. Sci. Chem. 1973, 7, 67–98. [Google Scholar] [CrossRef]
- Satre, M.D.; Ghatge, N.D.; Ramani, M.P.S. Aromatic polyamide-hydrazides for water desalination. I. Syntheses and RO membrane performance. J. Appl. Polym. Sci. 1990, 41, 697–712. [Google Scholar] [CrossRef]
- Strathmann, H.; Michaels, A.S. Polymer-water interaction and its relation to reverse osmosis desalination efficiency. Desalination 1977, 21, 195–202. [Google Scholar] [CrossRef]
- Culbertson, B.M.; Murphy, R. Poly (phenylene-1,3,4-oxadiazolyl-benzoxazoles). J. Polym. Sci. C Polym. Lett. 1966, 4, 249–253. [Google Scholar] [CrossRef]
- Mandal, R.; Maiti, S. A new rigid rodlike colored poly(amide-hydrazide): Thermal, optical anisotropic, and mechanical behavior. J. Appl. Polym. Sci. 1997, 64, 1211–1215. [Google Scholar] [CrossRef]
- Riordan, J.E.; Blair, H.S. Synthesis and characterization of inherently coloured azo polyamides. Polymer 1979, 20, 196–202. [Google Scholar] [CrossRef]
- Mohamed, N.A.; Al-Dossary, A.O.H. Structure-property relationships for novel wholly aromatic polyamide-hydrazides containing various proportions of para-phenylene and meta-phenylene units. I. Synthesis and characterization. Eur. Polym. J. 2003, 39, 739–750. [Google Scholar] [CrossRef]
- Tomlinson, M.L. The reduction of p-nitrobenzoic acid to hydrazo- and azo-benzene-4:4′- dicarboxylic acid by means of glucose. J. Chem. Soc. 1946, 756. [Google Scholar]
Sample Availability: Not available. |














| Polymer code | Monomer feed composition (mol %) | Expected para/meta-phenylene rings in polymer (mol %) | Intrinsic viscosity a (dL g−1) | Yield (%) | |||
|---|---|---|---|---|---|---|---|
| 4A3HBH | 3A4HBH | 4,4′ADBC | 3,3′ADBC | ||||
| I | 100 | - | 100 | - | 100/0 | 4.75 | 99.85 |
| II | 100 | - | 80 | 20 | 90/10 | 3.98 | 99.64 |
| III | 100 | - | 60 | 40 | 80/20 | 3.51 | 99.46 |
| IV | 100 | - | 40 | 60 | 70/30 | 2.83 | 99.38 |
| V | 100 | - | 20 | 80 | 60/40 | 2.64 | 99.81 |
| VI | 100 | - | - | 100 | 50/50 | 2.26 | 99.80 |
| VII | - | 100 | 100 | - | 50/50 | 2.21 | 99.77 |
| VIII | - | 100 | 80 | 20 | 40/60 | 1.80 | 99.45 |
| IX | - | 100 | 60 | 40 | 30/70 | 1.47 | 99.57 |
| X | - | 100 | 40 | 60 | 20/80 | 1.22 | 99.83 |
| XI | - | 100 | 20 | 80 | 10/90 | 1.08 | 99.95 |
| XII | - | 100 | - | 100 | 0/100 | 0.71 | 99.78 |
| Polymer code | Elemental analyses | |||
|---|---|---|---|---|
| % C | % H | % N | % O a | |
| Calculated for the expected repeating unit, C21H15N5O4 | 62.84 | 3.74 | 17.46 | 15.96 |
| I | 62.83 | 3.76 | 17.41 | 16.00 |
| II | 62.79 | 3.75 | 17.43 | 16.03 |
| III | 62.81 | 3.78 | 17.40 | 16.01 |
| IV | 62.78 | 3.76 | 17.42 | 16.04 |
| V | 62.76 | 3.79 | 17.39 | 16.06 |
| VI | 62.72 | 3.77 | 17.44 | 16.07 |
| VII | 62.80 | 3.80 | 17.38 | 16.02 |
| VIII | 62.73 | 3.80 | 17.40 | 16.07 |
| IX | 62.75 | 3.79 | 17.37 | 16.09 |
| X | 62.70 | 3.81 | 17.34 | 16.15 |
| XI | 62.74 | 3.81 | 17.33 | 16.12 |
| XII | 62.71 | 3.82 | 17.36 | 16.11 |
| Polymer code | Maximum solubility (%wt/v) | Moisture regain (%) a | ||||||||
|---|---|---|---|---|---|---|---|---|---|---|
| DMAc/LiCl(%wt/v) | DMF/LiCl(%wt/v) | NMP/LiCl(%wt/v) | ||||||||
| 1 | 3 | 5 | 1 | 3 | 5 | 1 | 3 | 5 | ||
| I | 2 | 5 | 10 | 1 | 3 | 6 | 1 | 3 | 7 | 18.67 |
| II | 2 | 6 | 12 | 2 | 3 | 7 | 2 | 3 | 9 | 19.11 |
| III | 3 | 6 | 14 | 2 | 4 | 8 | 3 | 5 | 9 | 20.22 |
| IV | 5 | 9 | 17 | 3 | 6 | 11 | 5 | 7 | 13 | 21.78 |
| V | 6 | 10 | 21 | 4 | 7 | 12 | 6 | 8 | 15 | 22.48 |
| VI | 8 | 13 | 22 | 6 | 10 | 14 | 7 | 11 | 18 | 23.58 |
| VII | 9 | 13 | 22 | 7 | 9 | 14 | 6 | 12 | 19 | 23.83 |
| VIII | 10 | 15 | 24 | 8 | 11 | 17 | 9 | 13 | 21 | 24.52 |
| IX | 11 | 16 | 25 | 10 | 12 | 19 | 11 | 15 | 24 | 24.93 |
| X | 13 | 17 | 25 | 12 | 14 | 23 | 14 | 17 | 24 | 25.28 |
| XI | 15 | 18 | 26 | 14 | 17 | 23 | 17 | 20 | 27 | 25.93 |
| XII | 15 | 20 | 28 | 14 | 19 | 25 | 19 | 22 | 29 | 26.29 |
| Polymer code | Mechanical properties a | |||||||||||
|---|---|---|---|---|---|---|---|---|---|---|---|---|
| As cast | Heat drawn b | |||||||||||
| At 140 °C | At 160 °C | At 180 °C | ||||||||||
| M | E | T | M | E | T | M | E | T | M | E | T | |
| I | 5.8 | 47.3 | 287.6 | 9.3 | 26.3 | 378.1 | 14.9 | 16.3 | 477.9 | 30.9 | 6.2 | 885.6 |
| II | 4.8 | 68.5 | 249.6 | 7.9 | 34.2 | 326.9 | 12.8 | 19.8 | 408.7 | 26.1 | 9.3 | 739.2 |
| III | 3.9 | 91.8 | 213.3 | 6.5 | 42.1 | 271.4 | 10.5 | 23.8 | 336.2 | 20.1 | 12.3 | 595.3 |
| IV | 3.5 | 100.2 | 181.4 | 5.4 | 51.0 | 220.6 | 9.1 | 29.1 | 215.4 | 17.6 | 13.5 | 555.6 |
| V | 2.8 | 108.2 | 147.2 | 4.2 | 60.2 | 168.8 | 7.6 | 34.7 | 191.7 | 15.0 | 14.5 | 515.9 |
| VI | 2.5 | 121.4 | 116.7 | 4.1 | 63.9 | 148.6 | 6.7 | 36.6 | 179.1 | 13.2 | 17.3 | 449.6 |
| VII | 2.0 | 136.4 | 87.8 | 3.9 | 68.6 | 126.9 | 5.5 | 38.9 | 166.1 | 11.2 | 20.9 | 383.5 |
| VIII | 1.8 | 147.2 | 62.3 | 3.2 | 80.1 | 118.2 | 4.2 | 42.6 | 155.9 | 10.1 | 22.5 | 312.3 |
| IX | 1.5 | 157.9 | 36.5 | 2.3 | 92.5 | 108.1 | 3.7 | 46.6 | 144.4 | 8.9 | 24.7 | 237.6 |
| X | 1.3 | 167.7 | 31.1 | 1.9 | 100.2 | 91.7 | 3.0 | 53.7 | 120.9 | 7.4 | 29.4 | 198.1 |
| XI | 1.1 | 177.5 | 26.1 | 1.6 | 108.5 | 72.4 | 2.4 | 60.7 | 98.1 | 5.8 | 32.9 | 158.4 |
| XII | 0.7 | 181.2 | 23.4 | 1.1 | 120.3 | 56.6 | 1.6 | 67.9 | 74.7 | 4.4 | 35.2 | 138.6 |
© 2012 by the authors licensee MDPI, Basel, Switzerland. This article is an open access article distributed under the terms and conditions of the Creative Commons Attribution license (http://creativecommons.org/licenses/by/3.0/)
Share and Cite
Mohamed, N.A.; Sammour, M.H.; Elshafai, A.M. Novel Self-Dyed Wholly Aromatic Polyamide-Hydrazides Covalently Bonded with Azo Groups in Their Main Chains: 1. Structure-Property Relationships. Molecules 2012, 17, 13969-13988. https://doi.org/10.3390/molecules171213969
Mohamed NA, Sammour MH, Elshafai AM. Novel Self-Dyed Wholly Aromatic Polyamide-Hydrazides Covalently Bonded with Azo Groups in Their Main Chains: 1. Structure-Property Relationships. Molecules. 2012; 17(12):13969-13988. https://doi.org/10.3390/molecules171213969
Chicago/Turabian StyleMohamed, Nadia A., Mohammad H. Sammour, and Ali M. Elshafai. 2012. "Novel Self-Dyed Wholly Aromatic Polyamide-Hydrazides Covalently Bonded with Azo Groups in Their Main Chains: 1. Structure-Property Relationships" Molecules 17, no. 12: 13969-13988. https://doi.org/10.3390/molecules171213969
APA StyleMohamed, N. A., Sammour, M. H., & Elshafai, A. M. (2012). Novel Self-Dyed Wholly Aromatic Polyamide-Hydrazides Covalently Bonded with Azo Groups in Their Main Chains: 1. Structure-Property Relationships. Molecules, 17(12), 13969-13988. https://doi.org/10.3390/molecules171213969
