Two New Glycosides from the Fruits of Morinda citrifolia L.
Abstract
:1. Introduction
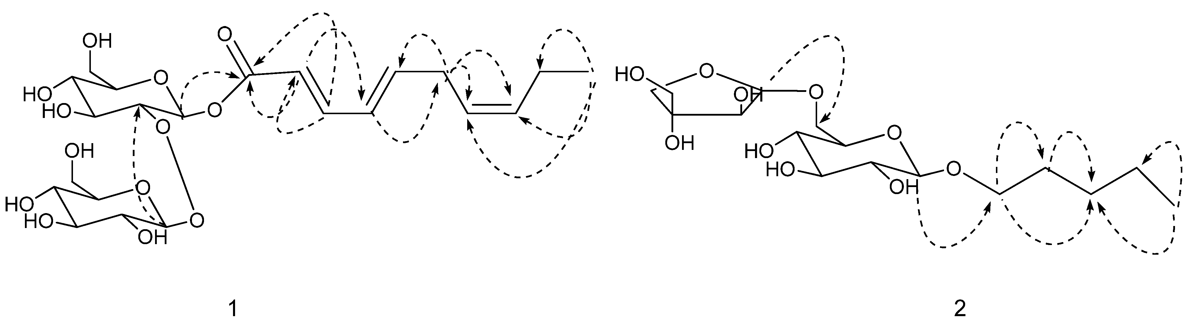
2. Results and Discussion

| No. | 1 | 2 | ||
|---|---|---|---|---|
| δC (DEPT) | δH (J, Hz) | δC (DEPT) | δH (J, Hz) | |
| 1 | 167.0 (C) | 71.4 (CH2) | 3.56 m | |
| 2 | 121.9 (CH) | 6.00 d (15.2) | 32.4 (CH2) | 1.53 m |
| 3 | 142.0 (CH) | 7.74 ddd (15.2,11.6,0.8) | 24.5 (CH2) | 1.24 m |
| 4 | 127.3 (CH) | 6.21 t (11.3) | 23.4 (CH2) | 1.24 m |
| 5 | 141.5 (CH) | 5.89 dt (15.8,7.8) | 14.3 (CH3) | 0.82 t (7.0) |
| 6 | 27.4 (CH2) | 3.08 br t (7.5) | ||
| 7 | 126.5 (CH) | 5.33 m | ||
| 8 | 134.2 (CH) | 5.46 m | ||
| 9 | 21.5 (CH2) | 2.12 dt (7.5,1.1) | ||
| 10 | 14.6 (CH3) | 0.99 t (7.5) | ||
| 1′ | 94.5 (CH) | 5.69 d (7.8) | 105.9 (CH) | 4.45 d (7.8) |
| 2′ | 83.0 (CH) | 75.1 (CH) | ||
| 3′ | 77.6 (CH) | 78.1 (CH) | ||
| 4′ | 71.2 (CH) | 71.6 (CH) | ||
| 5′ | 77.8 (CH) | 77.7 (CH) | ||
| 6′ | 62.6 (CH2) | 68.4 (CH2) | ||
| 1′′ | 105.7 (CH) | 4.53 d (7.8) | 111.0 (CH) | 4.86 d (2.3) |
| 2′′ | 75.9 (CH) | 78.0 (CH) | 3.79 d (2.3) | |
| 3′′ | 77.9 (CH) | 80.6 (C) | ||
| 4′′ | 71.9 (CH) | 75.4 (CH2) | 3.86 d (9.8) 3.64 d (9.8) | |
| 5′′ | 77.7 (CH2) | 65.7 (CH2) | 3.47 s | |
| 6′′ | 62.2 (CH2) | |||

3. Experimental
3.1. General
3.2. Plant
3.3. Extraction and Isolation
4. Conclusions
Acknowledgments
References
- Potterat, O.; Hamburger, M. Morinda citrifolia (Noni) fruit-phytochemistry, pharmacology, safety. Planta Med. 2007, 73, 191–199. [Google Scholar] [CrossRef]
- McClatchey, W. From Polynesian healers to health food stores: Changing erspectives of Morinda citrifolia (Rubiaceae). Integr. Cancer Ther. 2002, 1, 110–120. [Google Scholar] [CrossRef]
- Dixon, A.R.; McMillan, H.; Etkin, N.L. Ferment this: The transformation of Noni, a traditional Polynesian medicine (Morinda citrifolia, Rubiaceae). Econ. Bot. 1999, 53, 51–68. [Google Scholar] [CrossRef]
- Hirazumi, A.; Furusawa, E.; Chou, S.C.; Hokama, Y. Immuno-modulation contributes to the anticancer activity of Morinda citrifolia (Noni) fruit juice. Proc. West. Pharmacol. Soc. 1996, 39, 7–9. [Google Scholar]
- Nitteranona, V.; Zhanga, G.D.; Darienb, B.J.; Parkin, K. Isolation and synergism of in vitro anti-inflammatory and quinone reductase (QR) inducing agents from the fruits of Morinda citrifolia (noni). Food Res. Int. 2011, 44, 2271–2277. [Google Scholar] [CrossRef]
- Liu, C.H.; Xue, Y.R.; Ye, Y.H.; Yuan, F.F.; Liu, J.Y.; Shuang, J.L. Extraction and characterization of antioxidant compositions from fermented fruit juice of Morinda citrifolia (Noni). Agric. Sci. Chin. 2007, 6, 1494–1501. [Google Scholar] [CrossRef]
- Wang, M.Y.; Nowicki, D.; Anderson, G.; Jensen, J.; West, B. Liver protective effects of Morinda citrifolia (Noni). Plant Foods Hum. Nutr. 2008, 63, 59–63. [Google Scholar] [CrossRef]
- Selvam, P.; Maddali, K; Marchand, C. Studies of HIV integrase inhibitory activity of Morinda citrifolia L. Fruit Extracts. Antivir. Res. 2010, 86, 45–46. [Google Scholar]
- Akihisa, T.; Seino, K.; Kaneko, E.; Watanabe, K.; Tochizawa, S.; Fukatsu, M.; Banno, N.; Metori, K.; Kimura, Y. Melanogenesis inhibitory activities of iridoid, hemiterpene-, and fatty acid-glycosides from the fruits of Morinda citrifolia (Noni). J. Oleo Sci. 2010, 59, 49–57. [Google Scholar] [CrossRef]
- Miyase, T.; Ueno, A.; Takizawa, N.; Kobayashi, H.; Oguchi, H. Studies on glycosides of epimendium grandiflorum Morr. var. thunbergianum (MIQ.) Nakai. III. Chem. Pharm. Bull. 1988, 36, 2475–2484. [Google Scholar] [CrossRef]
- Sample Availability: Samples of (2E,4E,7Z)-deca-2,4,7-trienoate-2-O-β-D-glucopyranosyl-β-D-glucopyranoside (1) and amyl-1-O-β-D-apiofuranosyl-1,6-O-β-D-glucopyranoside (2) are available from the authors.
© 2012 by the authors; licensee MDPI, Basel, Switzerland. This article is an open-access article distributed under the terms and conditions of the Creative Commons Attribution license (http://creativecommons.org/licenses/by/3.0/).
Share and Cite
Hu, M.-X.; Zhang, H.-C.; Wang, Y.; Liu, S.-M.; Liu, L. Two New Glycosides from the Fruits of Morinda citrifolia L. Molecules 2012, 17, 12651-12656. https://doi.org/10.3390/molecules171112651
Hu M-X, Zhang H-C, Wang Y, Liu S-M, Liu L. Two New Glycosides from the Fruits of Morinda citrifolia L. Molecules. 2012; 17(11):12651-12656. https://doi.org/10.3390/molecules171112651
Chicago/Turabian StyleHu, Ming-Xu, Hong-Cai Zhang, Yu Wang, Shu-Min Liu, and Li Liu. 2012. "Two New Glycosides from the Fruits of Morinda citrifolia L." Molecules 17, no. 11: 12651-12656. https://doi.org/10.3390/molecules171112651
APA StyleHu, M.-X., Zhang, H.-C., Wang, Y., Liu, S.-M., & Liu, L. (2012). Two New Glycosides from the Fruits of Morinda citrifolia L. Molecules, 17(11), 12651-12656. https://doi.org/10.3390/molecules171112651
