A New Triterpenoid Saponin from Abrus precatorius Linn
Abstract
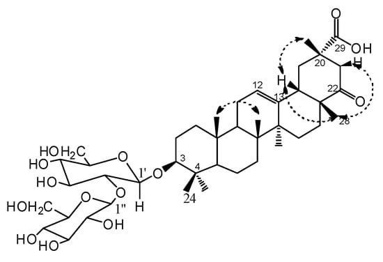
:1. Introduction
2. Results and Discussion

| No. | δC | δH | Key HMBC (H to C) |
|---|---|---|---|
| 1 | 38.7 CH2 | 1.40 (1H, m, H-1a)0.82 (1H, m, H-1b) | C-2,C-3 |
| 2 | 27.3 CH2 | 2.24 (2H, m, H-2) | C-1,C-3 |
| 3 | 89.0 CH | 3.29 (1H, dd, J = 5.0, 11.0 Hz, H-3) | C-1′, 23, 24 |
| 4 | 39.5 qC | ||
| 5 | 55.6 CH | 0.71 (1H, br d, J = 11.5 Hz, H-5) | C-23,24,25 |
| 6 | 18.4 CH2 | 1.64 (1H, m, H-6a), | C-24 |
| 1.46 (1H, m, H-6b) | |||
| 7 | 32.8 CH2 | 1.48 (1H, m, H-7a), | |
| 1.29 (1H, m, H-7b) | |||
| 8 | 39.9 qC | ||
| 9 | 47.6 CH | 1.56 (1H, m, H-9) | |
| 10 | 36.8 qC | ||
| 11 | 23.8 CH2 | 1.84 (2H, m, H-11) | |
| 12 | 124.7 CH | 5.31 (1H, br s, H-12) | |
| 13 | 141.4 qC | ||
| 14 | 41.9 qC | ||
| 15 | 25.5 CH2 | 1.68 (1H, m, H-15a), | |
| 0.98 (1H, m, H-15b) | |||
| 16 | 26.6 CH2 | 1.89 (1H, m, H-16a), | C-28 |
| 1.28 (1H, m, H-16b) | |||
| 17 | 48.2 qC | ||
| 18 | 47.0 CH | 2.54 (1H, m, H-18) | |
| 19 | 41.6 CH2 | 2.88 (1H, t, J = 13.5 Hz, H-19a), | C-30 |
| 1.97 (1H, br d, J = 12.0 Hz, H-19b) | |||
| 20 | 44.6 qC | ||
| 21 | 46.5 CH2 | 3.46 (1H, d, J = 14.5 Hz, H-21a), | C-30 |
| 2.71 (1H, br d, J = 14.0 Hz, H-21b) | |||
| 22 | 214.9 qC | ||
| 23 | 28.1 CH3 | 1.32 (3H, s, Me-23) | C-3 |
| 24 | 15.6 CH3 | 0.86 (3H, s, Me-24) | C-3 |
| 25 | 16.7 CH3 | 0.91 (3H, s, Me-25) | |
| 26 | 16.8 CH3 | 1.14 (3H, s, Me-26) | |
| 27 | 25.5 CH3 | 1.27 (3H, s, Me-27) | C-13 |
| 28 | 20.9 CH3 | 1.23 (3H, s, Me-28) | C-22,C-16 |
| 29 | 178.6 qC | ||
| 30 | 21.6 CH3 | 1.42 (3H, s, Me-30) | C-29,C-19,C-21 |
| glu | |||
| 1′ | 105.3 CH | 5.03 (1H, d, J = 7.0 Hz, H-1′) | C-3 |
| 2′ | 83.9 CH | 4.33 (1H, t, J = 8.0 Hz, H-2′) | C-1′,C-1″,C-4′ |
| 3′ | 77.7 CH | 4.40 (1H, br d, J = 8.0 Hz, H-3′) | |
| 4′ | 73.1 CH | 4.64 (3H, m, H-4′, 2″, 3″) | |
| 5′ | 74.7 CH | 4.20 (1H, br d, J = 9 Hz, H-5′) | |
| 6′ | 61.3 CH2 | 4.44 (2H, m, H-6′) | |
| glu | |||
| 1″ | 107.2 CH | 5.26 (1H, d, J = 7.0 Hz, H-1″) | C-2′,C-3″ |
| 2″ | 74.9 CH | 4.64 (3H, m, H-4′, 2″, 3″) | C-4″ |
| 3″ | 77.4 CH | 4.64 (3H, m, H-4′, 2″, 3″) | |
| 4″ | 69.5 CH | 4.73 (1H, m, H-4″) | |
| 5″ | 76.9 CH | 4.09 (1H, t, J = 6.1 Hz, H-5″) | |
| 6″ | 61.3 CH2 | 4.67 (2H, m, H-6″) |


| Cytotoxicity (IC50 [μg/mL])(mean ± SD%) | ||||
|---|---|---|---|---|
| MCF-7 | SW1990 | Hela | Du-145 | |
| 1 | -a | - | - | - |
| 2 | - | - | - | - |
| 3 | - | - | - | - |
| 4 | - | - | - | - |
| 5 | - | 5 ± 0.32 | 10 ± 0.89 | 5 ± 0.40 |
| 6 | 4 ± 0.18 | 2 ± 0.09 | - | 2 ± 0.08 |
| 7 | - | - | - | - |
| DOX | 1 ± 0.06 | 2 ± 0.16 | 1 ± 0.05 | |
| 5-Fu | 10 ± 0.95 | |||
3. Experimental
3.1. General
3.2. Plant Material
3.3. Extraction and Isolation
= −10 (c = 0.04, MOH), UV (MeOH) λmax 255 nm, IR (KBr) νmax: 3458, 2946, 1727, 1693, 1624, 1466, 1383, 1211, 1042 cm−1; HRESI-MS m/z 817.4345 [M+Na]+ (calcd for C42H66O14Na, 817.4350). 1H and 13C-NMR data see Table 1.3.4. Acid Hydrolysis of 1
3.5. Cytotoxicity Assays
4. Conclusions
Acknowledgements
References and Notes
- Ma, C.M.; Nakamura, N.; Hattori, M. Saponins and C-glycosyl flavones from the seeds of Abrus precatorius. Chem. Pharm. Bull. 1998, 46, 982–987. [Google Scholar] [CrossRef]
- Dnyaneshwar, J.T.; Ravindra, Y.P. Effect of Abrus precatorius leaves on milk induced leukocytosis and eosinophilia in the management of asthma. Asian Pac. J. Trop. Med. 2012, S40–S42. [Google Scholar]
- Ghosal, S.; Dutta, S.K. Alkaloids of Abrus precatorius. Phytochemistry 1971, 10, 195–198. [Google Scholar] [CrossRef]
- Markham, K.R.; Wallace, J.W.; Babu, Y.N.; Murty, V.K.; Rao, M.G. 8-C-Glucosylscutel larein 6,7-dimethyl ether and its 2″-O-apioside from Abrus precatorius. Phytochemistry 1989, 28, 299–301. [Google Scholar]
- Namcheol, K.; Darrick, S.H.L.K.; Kinghorn, D.A. New triterpenoids from the leaves of Abrus precatorius. Nat. Prod. Lett. 2001, 16, 261–266. [Google Scholar]
- Qing, S.C.; Hu, Z.B. Abruquinone A, B, D, E, F and G from the root of Abrus precatorius. Acta Bot. Sin. 1998, 40, 734–739. [Google Scholar]
- Anam, E.M. Anti-inflammatory activity of compounds isolated from the aerial parts of Abrus precatorius (Fabaceae). Phytomedicine 2001, 8, 24–27. [Google Scholar] [CrossRef]
- Yadava, R.N.; Sudhan Reddy, V.M. A new biological activity flavonol glycoside from the seeds of Abrus precatorius linn. J. Asian. Nat. Prod. Res. 2002, 4, 103–107. [Google Scholar] [CrossRef]
- Kuo, S.C.; Chen, S.C.; Chen, L.H.; Wu, J.B.; Wang, J.P.; Teng, C.M. Potent antiplatelet, anti-inflammatory and antiallergic isoflavanquinones from the roots of Abrus precatorius. Planta Med. 1995, 61, 307–312. [Google Scholar] [CrossRef]
- Dimetry, N.Z.; El-Gengaihi, S.; Reda, A.S.; Amer, S.A.A. Biological effects of some isolated Abrus precatorius L. alkaloids towards Tetranychus urticae Koch. J. Pest. Sci. 1992, 65, 99–101. [Google Scholar]
- Takeshito, T.; Yokoyama, K.; Ding, Y.; Kinjo, J.; Nohara, T. Four new and twelve known sapogenols from Sophorae subprostratae radix. Chem. Pharm. Bull. 1991, 39, 1908–1910. [Google Scholar] [CrossRef]
- Chiang, T.C.; Chang, H.M.; Mak, T.C. New oleanene-type triterpenes from Abrus precatorius and X-ray crystal structure of abrusgenic acid-methanol 1:1 solvate. Planta Med. 1983, 49, 165–169. [Google Scholar] [CrossRef]
- Zhang, C.P.; Zhang, Y.G.; Lv, X.Y.; Chen, Y.; Ma, P.C.; He, C.H.; Yu, D.Q.; Shen, F.L.; Yang, J.J.; Yang, J.; et al. Studes on triterpenoids of total glucosides of Tripterygium wilfordii (TII). Acta Acad. Med. Sin. 1989, 5, 322–325. [Google Scholar]
- Chang, H.M.; Chiang, T.C.; Thomas, C.W.M. Isolation and structure elucidation of abruslactone A: A new oleanene-type triterpene from the roots and vines of Abrus precatorius L. J. Chem. Soc. Chem. Commun. 1982, 20, 1197–1198. [Google Scholar]
- Choi, Y.H.; Hussain, R.A.; Pezzuto, J.M.; Kinghorn, A.D.; Morton, J.F. Abrusosides A–D, four novel sweet-tasting triterpene glycosides from the leaves of Abrus precatorius. J. Nat. Prod. 1989, 52, 1118–1127. [Google Scholar] [CrossRef]
- De Rosa, S.; Iodice, C.; Mitova, M.; Handjieva, N.; Popov, S.; Anchev, M. Triterpene saponins and iridoid glucosides from Galium rivale. Phytochemistry 2000, 54, 751–756. [Google Scholar] [CrossRef]
- Debellaa, A.; Haslingera, E.; Schmida, M.G.; Bucard, F.; Michlb, G.; Abebec, D.; Kunert, O. Triterpenoid saponins and sapogenin lactones from Albizia Gummifera. Phytochemistry 2000, 53, 885–892. [Google Scholar] [CrossRef]
- Wang, F.Z.; Tian, X.P.; Huang, C.G.; Li, Q.X.; Zhang, S. Marinactinones A–C, new γ-pyrones from marine actinomycete Marinactinospora thermotolerans SCSIO 00606. J. Antibiot. 2011, 64, 189–192. [Google Scholar] [CrossRef]
- Sample Availability: Not availbale.
© 2011 by the authors; licensee MDPI, Basel, Switzerland. This article is an open-access article distributed under the terms and conditions of the Creative Commons Attribution license (http://creativecommons.org/licenses/by/3.0/).
Share and Cite
Xiao, Z.-H.; Wang, F.-Z.; Sun, A.-J.; Li, C.-R.; Huang, C.-G.; Zhang, S. A New Triterpenoid Saponin from Abrus precatorius Linn. Molecules 2012, 17, 295-302. https://doi.org/10.3390/molecules17010295
Xiao Z-H, Wang F-Z, Sun A-J, Li C-R, Huang C-G, Zhang S. A New Triterpenoid Saponin from Abrus precatorius Linn. Molecules. 2012; 17(1):295-302. https://doi.org/10.3390/molecules17010295
Chicago/Turabian StyleXiao, Zhi-Hui, Fa-Zuo Wang, Ai-Jun Sun, Chuan-Rong Li, Cai-Guo Huang, and Si Zhang. 2012. "A New Triterpenoid Saponin from Abrus precatorius Linn" Molecules 17, no. 1: 295-302. https://doi.org/10.3390/molecules17010295
APA StyleXiao, Z.-H., Wang, F.-Z., Sun, A.-J., Li, C.-R., Huang, C.-G., & Zhang, S. (2012). A New Triterpenoid Saponin from Abrus precatorius Linn. Molecules, 17(1), 295-302. https://doi.org/10.3390/molecules17010295
