Next Article in Journal
Physicochemical Characteristics and Immunomodulatory Activities of Three Polysaccharide-Protein Complexes of Longan Pulp
Next Article in Special Issue
Expeditious Entry to Novel 2-Methylene-2,3-dihydrofuro[3,2-c] chromen-2-ones from 6-Chloro-4-hydroxychromen-2-one and Propargylic Alcohols
Previous Article in Journal
Ruthenium-Catalyzed Selective Hydrogenation of bis-Arylidene Tetramic Acids. Application to the Synthesis of Novel Structurally Diverse Pyrrolidine-2,4-diones
 
 
Font Type:
Arial Georgia Verdana
Font Size:
Aa Aa Aa
Line Spacing:
Column Width:
Background:
Article

Synthesis and E/Z Configuration Determination of Novel Derivatives of 3-Aryl-2-(benzothiazol-2'-ylthio) Acrylonitrile, 3-(Benzothiazol-2'-ylthio)-4-(furan-2''-yl)-3-buten-2-one and 2-(1-(Furan-2''-yl)-3'-oxobut-1''-en-2-ylthio)-3-phenylquinazolin-4(3H)-one

by
Fatima Al-Omran
1,*,
Rafat M. Mohareb
2,3 and
Adel Abou El-Khair
1
1
Department of Chemistry, Faculty of Science, Kuwait University, P.O. box 12613, safat 13060, Kuwait
2
Department of Chemistry, Faculty of Science, Cairo University, Giza, A.R., Egypt
3
Department of Organic Chemistry, Faculty of Pharmacy, October University for Modern Sciences and Arts, Elwahaat Road, October City, A.R., Egypt
*
Author to whom correspondence should be addressed.
Molecules 2011, 16(7), 6129-6147; https://doi.org/10.3390/molecules16076129
Submission received: 21 June 2011 / Revised: 11 July 2011 / Accepted: 14 July 2011 / Published: 20 July 2011
(This article belongs to the Special Issue Heterocycles)

Abstract

:
Knoevenagel condensation of 2-(benzothiazol-2-ylthio) acetonitrile (2) with either furan-2-carbaldehyde or thiophene-2-carbaldehydes leads to E-isomers 4a–b exclusively, while the condensation of the compound 2 with benzaldehyde or para-substituted benzaldehydes with an electron-donating group afforded E/Z mixtures 4c–e with preferentially formation of the E-isomer. Condensation of furan-2-carbaldehyde (3a) with either 1-(benzothiazol-2'-ylthio) propan-2-one (5) or 2-(2'-oxo propylthio)-3-phenyl-quinazolin-4(3H)-one (9) leads exclusively to the Z-isomers of 6 and 10, respectively. The structures of the newly synthesized compounds were elucidated by elemental analyses, 1H-NMR and 13C-NMR spectra, COSY, HSQC, HMBC, NOE, MS and X-ray crystallographic investigations.

1. Introduction

The benzothiazole nucleus is a highly important scaffold for drug development, which has been reported to show good biological activities ranging from anti-microbial [1], anti-inflammatory [1], antibacterial [2], antitumor [3] and anticancer [4,5] to antifungal [6]. On other hand, quinazolin-4-(3H)-ones substituted in the 3-position with a heterocyclic system are attracting the attention of chemists, because of their biological activities ranging from antibacterial, antimicrobial, antifungal, anticonvulsive, sedative, anti-inflammatory, to hypnotic and CNS depression [7,8,9,10,11,12]. Furthermore, several other publications have pointed out the value of 3-arylacylonitriles with either triazole [13] or benzimidazole [14] substituents in position 2 of the acrylonitrile also have good cytotoxic activity on human cancer cells and are antibacterial agents [14]. It was recently reported that 2-acetyl-3-(6-methoxybenzothiazo)-2-yl-amino-acylonitrile (AMBAN) possesses significant anti-proliferative activity and is a potent inducer programmed cell death in human leukemia cells [5].
Based on the abovementioned effects of benzothiazoles, 3-arylacrylonitriles and quinazolin-4-(3H)-ones a series of novel 3-arylacrylonitriles with 2-mercaptobenzothiazoles moiety in the position 2- of the acrylonitrile were synthesized to obtain new potential biologically active agents. On other hand, a series of 4-aryl-3-buten-2-ones with either 2-mercaptobenzothiazole or quinazolin-4-(3H)-one rings in the 3-position of 4-aryl-3-buten-2-one were synthesized. The structures of the newly synthesized compounds have been established by x-ray diffraction studies and on the basis of their spectral data.

2. Result and Discussion

In continuation to our recent research programme dealing with the synthesis of heterocyclic systems, particularly those containing the 2-mercaptobenzothiazole moiety [15,16], 1-(benzothiazol-2-yl-thio)acetonitrile (2) was readily prepared in an excellent yield by treatment of 2-mercapto-benzothiazole (1) with α-chloroacetonitrile in refluxing acetone containing anhydrous potassium carbonate (cf. Scheme 1). The structure of 2 was unambiguously confirmed by X-ray crystallography [17] as well as on the basis of its spectral data (cf. Figure 1 and Table 1, Table 2, Table 3).
Scheme 1. Synthesis of 2.
Scheme 1. Synthesis of 2.
Molecules 16 06129 g001
Figure 1. Perspective view and atom labeling of the X-ray structure of compound 2.
Figure 1. Perspective view and atom labeling of the X-ray structure of compound 2.
Molecules 16 06129 g002
Table 1. Bond lengths (Å) for compound 2.
Table 1. Bond lengths (Å) for compound 2.
atomatomdistanceatomatomdistance
S1C11.730(3)S1C71.741(3)
S2C71.747(3)S2C81.802(3)
S3C101.732(3)S3C161.750(3)
S4C161.745(3)S4C171.806(3)
S5C191.731(3)S5C251.748(3)
S6C251.747(3)S6C261.807(3)
N1C61.400(4)N1C71.293(3)
N2C91.136(5)N3C151.396(4)
N3C161.292(3)N4C181.131(6)
N5C241.402(3)N5C251.296(4)
N6C271.136(6)C1C21.391(5)
C1C61.404(4)C2C31.375(5)
C3C41.388(5)C4C51.370(5)
C5C61.384(4)C8C91.460(5)
C10C111.392(4)C10C151.403(3)
C11C121.366(4)C12C131.389(4)
C13C141.373(5)C14C151.386(4)
C17C181.447(5)C19C201.394(4)
C19C241.400(4)C20C211.373(5)
C21C221.391(4)C22C231.383(4)
C23C241.386(4)C26C271.446(5)
Table 2. Bond angles (o) for compound 2.
Table 2. Bond angles (o) for compound 2.
atomatomatomangleatomatomatomangle
C1S1C788.34(12)C7S2C898.36(13)
C10S3C1688.53(12)C16S4C1798.83(13)
C19S5C2588.36(12)C25S6C2699.08(12)
C6N1C7109.3(2)C15N3C16109.99(19)
C24N5C25109.60(18)S1C1C2129.17(19)
S1C1C6109.9(2)C2C1C6121.0(3)
C1C2C3117.7(3)C2C3C4121.5(4)
C3C4C5120.9(3)C4C5C6118.9(3)
N1C6C1114.9(2)N1C6C5125.1(3)
C1C6C5120.0(3)S1C7S2117.68(14)
S1C7N1117.6(2)S2C7N1124.7(2)
S2C8C9112.7(3)N2C9C8179.6(3)
S3C10C11129.56(18)S3C10C15109.71(19)
C11C10C15120.7(3)C10C11C12118.5(3)
C11C12C13121.1(3)C12C13C14121.0(3)
C13C14C15119.0(3)N3C15C10115.0(3)
N3C15C14125.2(2)C10C15C14119.8(3)
S3C16S4118.30(13)S3C16N3116.8(2)
S4C16N3124.92(18)S4C17C18112.2(3)
N4C18C17178.8(4)S5C19C20128.9(2)
S5C19C24110.11(16)C20C19C24121.0(3)
C19C20C21117.9(3)C20C21C22121.5(3)
C21C22C23120.9(3)C22C23C24118.4(3)
N5C24C19114.8(2)N5C24C23124.9(2)
C19C24C23120.3(2)S5C25S6117.87(15)
S5C25N5117.12(16)S6C25N5125.00(16)
S6C26C27112.65(17)N6C27C26178.8(3)
Table 3. Bond lengths involving hydrogen’s (Å) for compound 2.
Table 3. Bond lengths involving hydrogen’s (Å) for compound 2.
atomatomdistanceatomatomdistance
C2H20.930C3H30.930
C4H40.930C5H50.930
C8H8A0.970C8H8B0.970
C11H110.930C12H120.930
C13H130.930C14H140.930
C17H17A0.970C17H17B0.970
C20H200.930C21H210.930
C22H220.930C23H230.930
C26H26A0.970C26H26B0.970
Knoevenagel condensation of the ethanolic solution of 1-(benzothiazol-2-yl-thio) acetonitrile (2) with either hetero-2-carbaldehydes 3a–b or benzaldehyde or para-substituted benzaldehydes 3c–e with an electron-donating group at the para-position, as depicted in Scheme 2. The reactions were carried out in the presence of a catalytic amount of piperidine at the reflux temperature leading to novel 3-aryl-2-(benzothiazol-2'-ylthio)acrylonitriles 4a–e (cf. Scheme 2).
Scheme 2. Syntheses of 4.
Scheme 2. Syntheses of 4.
Molecules 16 06129 g003
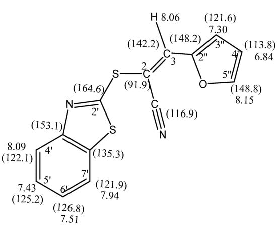
The new 3-aryl-2-(benzothiazol-2'-ylthio)acrylonitrile derivatives 4a–e which were formed are highly conjugated systems containing heteroaromatic or phenyl rings, or para-substituted phenyl rings with an electron-donating group in the para- position such as –OCH3 or –OH. One the other hand, all systems are linked to the benzothiazole nuclei through an S linkage at the α-vinylic carbon. The formation of a carbon-carbon double bond usually lead to the creation of acrylonitriles with either E or Z configuration or a mixture of E and Z isomers (cf. Scheme 2). The yields are based on isolated products and the E/Z ratio was affected by the kind of substitution of the aryl aldehydes 3a–e. The E/Z ratio was determined on the basis of the 1H-NMR spectra of the products. The structures of isolated S-alkylated acrylonitrile products 4a–e were confirmed on the basis of elemental analysis and spectral data. The mass spectrum of 4a revealed a molecular ion peak (M+) with m/z 284. The chemical shifts of protons for 4a were assigned using the COSY (correlation spectroscopy) measurement which provided the proton-proton couplings. The 1H-NMR revealed in addition to an aromatic multiplet, a singlet signal for a vinylic proton (H-3), that appears at δH 8.06 ppm. Moreover, the chemical shifts of carbons for compound 4a were assigned using HSQC (Heteronuclear Single Quantum Coherence) and HMBC (Heteronuclear Multiple Bond Coherence) measurements. The 13C-NMR spectrum for 4a is characterized by two signals at δC 142.2 and δC 91.9 ppm for the carbon-carbon double bond group. The 13C signal of the β carbon at the higher frequency coupled with a proton, while the 13C signal of the α-carbon appears at lower frequency (cf. Figure 2).
Figure 2. The complete assignment of H1 and 13C chemical shift for 4a based on the COSY, HSQC and HMBC experiments.
Figure 2. The complete assignment of H1 and 13C chemical shift for 4a based on the COSY, HSQC and HMBC experiments.
Molecules 16 06129 g004
Nuclear Overhauser Effect (NOE) experiments were run to establish the stereo-orientation for acrylonitrile derivatives 4 as either E or Z isomers. NOE experiments for 4a showed an enhanced triplet signal (H-4'') at δH 6.84 ppm upon irradiating the doublet signal (H-5'') at δH 8.15 ppm. On irradiating the doublet signal (H-3”) at δH 7.30 ppm both the triplet signal (H-4”) and the singlet signal (H-3) at δH 6.84 and 8.06 ppm, respectively, were enhanced, while the benzothiazole protons showed no effect, confirming that the benzothiazol-2-ylthio moiety and 2'-furyl groups are on opposite sides of the double bond as required by the E-form. The structure of 4a was unambiguously confirmed by X-ray crystallography [18] (cf. Figure 3 and Table 4, Table 5, Table 6).
Figure 3. Perspective view and atom labeling of the X-ray structure of 4a.
Figure 3. Perspective view and atom labeling of the X-ray structure of 4a.
Molecules 16 06129 g005
Table 4. Bond lengths (Å) for compound 4a.
Table 4. Bond lengths (Å) for compound 4a.
atomatomdistanceatomatomdistance
S1C11.727(3)S1C71.747(3)
S2C71.762(3)S2C81.770(3)
O1C101.381(3)O1C131.352(4)
N1C61.391(4)N1C71.298(4)
N2C141.136(4)C1C21.406(5)
C1C61.403(4)C2C31.363(5)
C3C41.382(6)C4C51.355(7)
C5C61.387(5)C8C91.349(4)
C8C141.438(4)C9C101.401(4)
C10C111.356(4)C11C121.403(4)
C12C131.322(4)
Table 5. Bond lengths involving hydrogen's (Å) for compound 4a.
Table 5. Bond lengths involving hydrogen's (Å) for compound 4a.
atomatomdistanceatomatomdistance
C2H20.93C3H30.93
C4H40.93C5H50.93
C9H90.93C11H110.93
C12H120.93C13H130.93
The condensation of 2 with thiophene-2-carbaldehyde (3b) afforded a mixture of (E)- and (Z)-2-(benzothiazol-2'-ylthio)-3-(2''-thienyl) acrylonitriles in a ratio of 6:0.5 based on the 1H-NMR spectrum, which revealed, in addition to the expected aromatic signals, two downfield signals at δH 8.52 and 8.70 ppm assignable to the E and Z-vinylic protons. Upon recrystallization of the crude product from a mixture of ethanol and diethyl ether in a ratio of 3:2 one isomer 4b was obtained. The 1H-NMR spectrum of the crystallized product showed the vinylic proton resonance at δH 8.52 ppm. In order to determine the configuration of the obtained isomer, different NMR experiments have been carried out such as COSY, HSQC and NOE experiments. The NOE experiments showed a strong NOE coupling between H-3 and (vinylic-H) and the thiophene protons H-3'' and H-4'' and no coupling between the benzothiazole and the thienyl ring protons, indicating that the benzothiazole and the thienyl rings are on opposite sides of the double bond, confirming that compound 4b exists in the E-configuration.
Table 6. Bond angles (o) for compound 4a.
Table 6. Bond angles (o) for compound 4a.
atomatomatomangleatomatomatomangle
C1S1C788.04(14)C7S2C8101.83(13)
C10O1C13106.66(19)C6N1C7109.2(3)
S1C1C2128.6(3)S1C1C6110.1(3)
C2C1C6121.3(3)C1C2C3118.6(4)
C2C3C4119.6(4)C3C4C5122.5(4)
C4C5C6119.9(4)N1C6C1115.2(3)
N1C6C5126.9(3)C1C6C5118.0(3)
S1C7S2121.46(15)S1C7N1117.5(3)
S2C7N1121.0(3)S2C8C9120.82(19)
S2C8C14114.9(2)C9C8C14123.9(3)
C8C9C10129.9(3)O1C10C9119.7(3)
O1C10C11107.9(2)C9C10C11132.4(3)
C10C11C12107.7(3)C11C12C13106.6(3)
O1C13C12111.2(3)N2C14C8174.9(3)F
On the other hand, condensation of 2 with either benzaldehyde or para-substituted benzaldehydes 3c–e in refluxing ethanol containing a catalytic amount of piperidine, afforded a mixture of E and Z isomers of 3-aryl-2-(benzothiazol-2'-ylthio) acrylonitriles 3c–e in a ratio of 7:2 based on the 1H-NMR spectra of the crude products. The chemical shifts of the 1H- and 13C- spectra were assigned on the basis of the proton-proton and the carbon-proton coupling patterns observed in the COSY and HSQC spectra. The 1H-NMR spectra display vinylic proton singlets in the δH 8.12–8.29 ppm region. The chemical shifts for the carbon-carbon double bond are observed at δC 91–97 and at δC 157–158 ppm for the α- and β carbon, respectively. Moreover, Nuclear Overhauser Effect (NOE) experiments were run to establish the stereo-orientation for either the E or Z isomers of 2-(benzothiazol-2'-ylthio)-3-(4''-methoxyphenyl)acylonitrile 4d. On irradiating the singlet of the vinylic proton at δH 8.17 ppm the doublet of H-2'' of phenyl ring at δH 8.00 ppm was enhanced. On irradiating the doublet signal of the phenyl ring H-3'' at δH 7.15 ppm both the doublet of the phenyl ring H-2'' and the para-methoxy group protons at δH 8.00 and 3.87 ppm, respectively, were enhanced, while the benzothiazole protons showed no effect, indicating that the benzothiazole and the 4-methoxyphenyl rings are on opposite sides of the double bond, as required by an E-form.
In a similar manner, the 1-(benzothiazol-2'-ylthio)propan-2-one (5) used in our experiments has been recently prepared in an excellent yield by treatment of 2-mercaptobenzothiazole (1) with α-chloroacetone in refluxing acetone containing anhydrous potassium carbonate [15]. The structure of 5 was unambiguously confirmed by X-ray crystallography [19] (cf. Scheme 3, Figure 4 and Table 7, Table 8, Table 9). Condensation of 5 with the furan-2-carbaldehyde in refluxing ethanol containing a catalytic amount of piperidine afforded 3-(benzothiazol-2'-ylthio)-4-(furan-2''yl)-3-buten-2-one in excellent yield (cf. Scheme 3). The structure of the isolated product was confirmed on the basis of its elemental analysis and spectral data (see Experimental section).
Scheme 3. Synthesis of compound 6.
Scheme 3. Synthesis of compound 6.
Molecules 16 06129 g006
Figure 4. Perspective view and atom labeling of the X-ray structure of 5.
Figure 4. Perspective view and atom labeling of the X-ray structure of 5.
Molecules 16 06129 g007
Table 7. Bond lengths (Å) for compound 5.
Table 7. Bond lengths (Å) for compound 5.
atomatomdistanceatomatomdistance
S1C11.758(3)S1C21.730(4)
S2C11.738(3)S2C81.785(3)
O1C91.206(4)N1C11.289(4)
N1C71.392(4)C2C31.387(5)
C2C71.410(4)C3C41.369(6)
C4C51.393(7)C5C61.371(5)
C6C71.389(5)C8C91.501(4)
C9C101.494(5)
Table 8. Bond lengths involving hydrogen's (Å) for compound 5.
Table 8. Bond lengths involving hydrogen's (Å) for compound 5.
atomatomdistanceatomatomdistance
C3H30.930C4H40.930
C5H50.930C6H60.930
C8H8A0.970C8H8B0.970
C10H10A0.960C10H10B0.960
C10H10C0.960
Table 9. Bond angles (o) for compound 5.
Table 9. Bond angles (o) for compound 5.
atomatomatomangleatomatomatom angle
C1S1C288.71(14)C1S2C8101.10(14)
C1N1C7110.6(3)S1C1S2116.94(16)
S1C1N1116.3(3)S2C1N1126.8(2)
S1C2C3129.9(3)S1C2C7109.6(3)
C3C2C7120.5(3)C2C3C4118.8(4)
C3C4C5120.8(4)C4C5C6121.3(4)
C5C6C7118.8(4)N1C7C2114.8(3)
N1C7C6125.4(3)C2C7C6119.8(3)
S2C8C9116.2(3)O1C9C8122.8(3)
O1C9C10122.3(3)C8C9C10114.9(3)
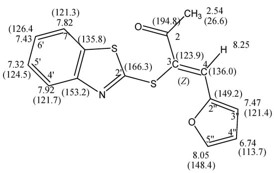
The mass spectrum of 6 revealed a molecular ion peak [M+]. with m/z 301 The effect of the conjugatation of the carbonyl group with the carbon-carbon double bond reduces the frequency of the absorption at υmax 1662cm−1. It is considered lower than the isolated carbonyl group in compound 5, which revealed a carbonyl stretching band at υmax 1720 cm−1 [15]. The chemical shift of protons for 6 were assigned using COSY (correlation spectroscopy) measurements which provided the proton-proton coupling. The 1H-NMR spectrum showed a resonance at δH 8.25 ppm corresponding to H-4 of the vinylic proton. Moreover, the 13C-NMR chemical shift assignments were straightforward using HSQC (Heteronuclear Quantum Coherence) measurements (cf. Figure 5). The 13C-NMR spectrum of the reaction product revealed a low field signal at δC 194.8 that corresponds to the carbonyl carbon. Also were revealed two low field signals at ca. δC 148 and 136 ppm corresponding to a carbon coupled with a proton. As in the furan ring system, the carbon resonating at ca. δC 148 ppm corresponds to C-5'', while the carbon resonating at ca. δC 136 ppm corresponds to the vinylic carbon C-4. The complete assignment of H1 and 13C chemical shifts for 6 are presented in Figure 6.
Moreover, the configuration of the product 6 was assigned as the Z-isomer based on Nuclear Overhauser Effect (NOE) experiments; on irradiating the methyl proton at δH 2.54 ppm only the signal at δH 8.25 ppm for the vinylic proton was enhanced and there is no effect on the benzothiazole protons or furyl protons, which indicate that acetyl group and the vinylic proton are on the same side of the carbon 3,4 double bond as numbered, therefore it has the Z configuration. On irradiating the vinylic H-4 at δH 8.25 ppm both the singlet and doublet signals at δH 2.54 and 7.47 ppm, respectively, were enhanced. The signal at δH 2.54 ppm corresponds to the acetyl group, while the doublet signal at δH 7.47 ppm corresponds to the furyl system H-3". On other hand, on irradiating the doublet signal of the H-4' proton at δH 7.92 ppm only the triplet signal at δH 7.32 ppm was enhanced. These two signals correspond to the benzothiazole H-4' and H-5' protons. On irradiating the triplet signal H-4'' at δH 6.74 ppm both the H-5'' and H-3'' signals at δH 8.05 and 7.47 ppm, respectively, were enhanced. The NOE experiments show that the Z-isomer of compound 6 was preferred over the E-isomer indicating that the furyl and 2-benzothiazol-2-thio nuclei are on the same sides of the double bond, but away from each other in space.
Figure 5. 13C-HSQC spectra for the compound 6 in DMSO-d6.
Figure 5. 13C-HSQC spectra for the compound 6 in DMSO-d6.
Molecules 16 06129 g008
Figure 6. The complete assignment of H1 and 13C chemical shifts for 6 based on the COSY and HSQC experiments.
Figure 6. The complete assignment of H1 and 13C chemical shifts for 6 based on the COSY and HSQC experiments.
Molecules 16 06129 g009
Thus it can be concluded that Knoevenagel condensation of 2-(benzothiazol-2-ylthio) acetonitrile with furan-2-carbaldehyde leads preferentially to (E)-2-(benzothiazol-2'-ylthio)-3-(furan-2''-yl) acrylonitrile (4a). In this conformation the lone pair electrons of the sulfur atom can conjugated with the π orbital of the double bond, and thereby stabilize the molecule. That is why this conformation is the most stable conformer. On the other hand, the Knoevenagel condensation of 3-(benzothiazl-2'-ylthio) propan-2-one with furan-2-carbaldehyde lead preferentially to (Z)-3-(benzothiazol-2'-ylthio)-4-(furan-2''-yl)-3-buten-2-one. By changing the size and the geometry of the group attached to the α-carbon from a cyano group to an acetyl group, the conformation changes from E to Z. One may therefore conclude that under these circumstances the most E-isomer is unlikely to be the most stable conformer, because of the steric strain between the acetyl group and furan ring. The steric strain makes this conformation energetically highly unfavorable in the E-isomer so the conformer changes from E to Z. On the other hand, 2-(2'-oxopropylthio)-3-phenylquinazolin-4(3H)-one (9) was readily prepared in good yield by the treatment of 2-mercapto-3-phenylquinazolin-4(3H)-one (8) [20] with α-chloroacetone in refluxing acetone containing potassium carbonate. The structure was established on the basis of its spectral data. The mass spectrum of the reaction product showed a molecular ion peak at m/z 310. The 1H-NMR spectrum revealed, in addition to aromatic signals, two upfield singlets at δH 2.33 and 4.06 ppm, assignable to methyl and methylene protons, respectively. Moreover, the 13C-NMR spectrum showed two downfield signals at δC 202.5 and 161.1 ppm. The signal at δC 202.5 ppm corresponds to the ketone carbonyl carbon, while that at δC 161.1 ppm corresponds to the cyclic amide carbon .The data are therefore consistent with structure 9 (cf. Scheme 4).
Scheme 4. Synthesis of 9 and 10.
Scheme 4. Synthesis of 9 and 10.
Molecules 16 06129 g010
Condensation of 2-(2'-oxopropylthio)-3-phenylquinazolin-4(3H)-one (9) with furan-2-carbaldehyde (3a) afforded a product which could have been either E or Z-isomer of α,β-unsaturated ketone 10 (cf. Scheme 4). The structure of α,β-unsaturated ketone 10 was deduced from its elementanal anaylsis and spectra data. The mass spectrum revealed a molecular ion peak (M+) with m/z 388. The chemical shifts of the protons for 10 were assigned using COSY (correlation spectroscopy) measurements which provided the proton-proton coupling. The 1H-NMR revealed in addition to an aromatic multiplet, a singlet for a vinylic proton (H-1') which appears at low field at ca. δH 7.88 ppm. Moreover, the 13C-NMR chemical shift assignments were straightforward using HSQC (Heteronuclear Single Quantum Coherence) measurements (cf. Figure 7). The 13C-NMR spectrum for 10 is characterized by two signals at δC 132.0 and δC 119.7 ppm for the α,β-unsaturated ketone group. The vinylic carbons at the higher frequency is the one coupled with a proton, while the other one is a disubstituted sp2 carbon. The complete assignment of H1 and 13C chemical shift for 10 are presented in Figure 8.
Figure 7. 13C-HSQC spectra for the compound 10 in DMSO-d6.
Figure 7. 13C-HSQC spectra for the compound 10 in DMSO-d6.
Molecules 16 06129 g011
Figure 8. The complete assignment of H1 and 13C chemical shifts for 10 based on the COSY and HSQC experiments.
Figure 8. The complete assignment of H1 and 13C chemical shifts for 10 based on the COSY and HSQC experiments.
Molecules 16 06129 g012
Moreover, the configuration of the product 10 was assigned as the Z-isomer based on Nuclear Overhauser Effect (NOE) experiments; on irradiating the methyl proton at δH 2.48 ppm the vinylic proton signal at δH 7.88 ppm was enhanced. There is no effect on the 3-phenylquinazolin-4(3H)-one or furan protons, which indicates that the acetyl group and the vinylic proton are on the same side of the C1',2' double bond as numbered, which therefore has Z configuration. On irradiating the vinylic H'-1 at δH 7.88 ppm the methyl signal at δH 2.48 ppm was enhanced.
On the other hand irradiation of the H-8 proton at δH 8.08 ppm has no effect, confirming thatthe 3-phenylquinazolin-4(3H)-one moiety and 2'-furyl groups are on same sides of the double bondas required by a Z-form. The structure of 10 was also confirmed by X-ray crystallography [21] (cf. Figure 9 and Table 10, Table 11, Table 12).
Figure 9. Perspective view and atom labeling of the X-ray structure of 10.
Figure 9. Perspective view and atom labeling of the X-ray structure of 10.
Molecules 16 06129 g013
Table 10. Bond lengths (Å) for compound 10.
Table 10. Bond lengths (Å) for compound 10.
atomatomdistanceatomatomdistance
S1C81.7609(19)S1C151.7687(19)
O1C71.219(3)O2C171.350(3)
O2C201.398(4)O3C211.216(3)
N1C71.402(3)N1C81.400(3)
N1C91.440(3)N2C11.389(3)
N2C81.285(3)C1C21.404(3)
C1C61.397(3)C2C31.382(4)
C3C41.388(4)C4C51.365(4)
C5C61.399(4)C6C71.456(3)
C9C101.378(4)C9C141.382(4)
C10C111.393(5)C11C121.374(6)
C12C131.354(6)C13C141.384(5)
C15C161.354(3)C15C211.483(3)
C16C171.424(3)C17C181.345(4)
C18C191.385(4)C19C201.324(5)
C21C221.499(4)
Table 11. Bond lengths involving hydrogen's (Å) for compound 10.
Table 11. Bond lengths involving hydrogen's (Å) for compound 10.
atomatomdistance atom atom distance
C2H20.930C3H30.930
C4H40.930C5H50.930
C10H100.930C11H110.930
C12H120.930C13H130.930
C14H140.930C16H160.930
C18H180.930C19H190.930
C20H200.930C22H22A0.960
C22H22B0.960C22H22C0.960
Table 12. Bond angles (o) for compound 10.
Table 12. Bond angles (o) for compound 10.
atomatomatomangleatomatomatomangle
C8S1C15100.89(9)C17O2C20106.1(2)
C7N1C8121.46(16)C7N1C9118.33(15)
C8N1C9120.21(15)C1N2C8117.26(15)
N2C1C2118.64(16)N2C1C6122.50(16)
C2C1C6118.86(17)C1C2C3119.7(2)
C2C3C4120.9(3)C3C4C5119.9(3)
C4C5C6120.3(3)C1C6C5120.22(19)
C1C6C7119.83(17)C5C6C7119.91(18)
O1C7N1120.0(2)O1C7C6125.9(2)
N1C7C6114.04(16)S1C8N1113.15(13)
S1C8N2122.04(14)N1C8N2124.81(17)
N1C9C10119.6(2)N1C9C14118.9(2)
C10C9C14121.5(3)C9C10C11118.6(3)
C10C11C12119.7(3)C11C12C13121.2(4)
C12C13C14120.5(3)C9C14C13118.6(3)
S1C15C16121.83(16)S1C15C21116.04(14)
C16C15C21122.06(18)C15C16C17131.01(19)
O2C17C16125.4(2)O2C17C18109.4(2)
C16C17C18125.1(2)C17C18C19107.8(3)
C18C19C20107.6(3)O2C20C19109.1(3)
O3C21C15120.5(2)O3C21C22119.7(3)
C15C21C22119.8(2)
In particular, we were interested in the reasons for the predominance of the s-cis conformation of the Z configuration and the E/Z determination of the prepared novel derivatives of 2-(benzothiazol-2'-ylthio)-3-arylacrylonitrile, 3-(benzothiazol-2'-ylthio)-4-(furan-2''-yl)-3-buten-2-one and 2-(1-(furan-2''-yl)-3-oxobut-1-en-2-ylthio)3-phenylquinazolin-4(3H)-one in accordance with expectations, it was ascertained that s-trans conformations were more stable than s-cis conformations for both the E and Z molecular configurations. Thus the disparity displayed here where s-cis conformations in case of compound 6 dominated over the s-trans conformation was of interest and one supposition was that electronic interactions could be responsible, e.g., by delocalization of a sulfur lone electron pair with the unsaturated segments residing in the newly formed heterocyclic ring and attendant side-chains or through hyperconjugation. The s-cis conformational preference over s-trans in a structurally similar system has been reported previously [22] and an electronic cause was also postulated, though that system differed significantly in the distribution of unsaturation. It is obvious to note that compounds 4c–e are predominantly in the E/Z form and this is due to the large range of mesomeric effects due to large conjugations in the phenyl group present in such compounds. However, the existence of compounds 4a and 4b in the E form is due to the existence of the heterocyclic, furan and thiophene rings, respectively, where less conjugation occurs in such compounds.

3. Experimental

General

Melting points are reported uncorrected and were determined on a Gallenkamp apparatus. The Infrared spectra were recorded on a Jasco FT/IR-6300 FT-IR using KBr disks. 1H-NMR and 13C-NMR spectra were measured on a Bruker DPX 400 MHz and Bruker AVANCE ΙΙ 600 MHz spectrometers, with DMSO-d6 or CDCl3 as solvent using TMS as an internal standard. The methods used for the purpose of NMR assignment were COSY, HSQC and HMBC. The chemical shifts are expressed as δ unit in parts per million (ppm) and TMS = 0.00 ppm. The following abbreviation are used: s = singlet, d = doublet, t = triplet; q = quartet; m = multiple; br. = broad. Mass spectra were measured on GC/MS DFS, THERMO instrument. Microanalyses were performed on a CHNS-Vario Micro Cube analyzer, Single crystal X-ray crystallography was perfomed using a Rigaku Rapid ΙΙ located at the Chemistry Department of Kuwait University. Compound 5 was prepared according to our recent reference [15] and its X-ray data was reported in reference [19].
2-(Benzothiazol-2-ylthio) acetonitrile (2): A mixture of 1 (1.67 g, 10.0 mmol), chloroacetonitrile (0.63 g, 10.0 mmol), and anhydrous potassium carbonate (1.38 g, 10.0 mmol) in acetone (100 mL), were heated in water bath for 2 h. The solvent was then evaporated under reduced pressure. The solid product, so formed, was collected by filtration and crystallized from ethanol as brown crystals. Yield: 1.85 g (90%), mp. 70–72 °C; FT-IR: νmax/cm−1: 2243 (CN); 1H-NMR (DMSO-d6): δH 4.58 (s, 2H, CH2), 7.43 (t, 1H, J = 8.0 Hz, H-5'), 7.52 (t, 1H, J = 8.0 Hz , H-6'), 7.95 (d, 1H, J = 8.0 Hz, H-7'), 8.08 (d, 1H, J = 8.0 Hz, H-4'); 13C-NMR (DMSO-d6): δC 163.8 (C-2'), 152.7 (C-3a'), 135.6 (C-7a'), 127.1 (C-6'), 125.5 (C-5'), 122.6 (C-4'), 122.0 (C-7'), 117.9 (CN), 18.6 (CH2) ppm; MS m/z (%) 206 [M+, 100%]. Anal. Calcd. for C9H6N2S2 (206.28): C, 52.40; H, 2.93; N, 13.57%. Found: C, 52.29; H, 3.19; N, 13.45%.
General Procedure for Synthesis of 3-Aryl-2-(benzothiazol-2'-ylthio) acrylonitriles 4a–e. A mixture of 2 (2.06 g, 10.0 mmol) and aromatic aldehydes 3a–e (10.0 mmol) in ethanol (20 mL) containing a few drops of piperidine was refluxed for 4 h. The reaction was allowed to cool to room temperature for 24 h. The solid product so formed was collected by filtration and crystallized from the appropriate solvent.
(E)-2-(Benzothiazol-2'-ylthio)-3-(furan-2''-yl) acrylonitrile (4a): This compound was crystallized from ethanol as brown crystals. Yield: 2.24g (79%) yield, mp. 134–136 °C; FT-ir: νmax/cm−1: 2209 (CN); 1H-NMR (DMSO-d6): 6.84 (dd, 1H, J = 3.6 & 1.2 Hz, H-4''), 7.30 (d, 1H, J = 3.6 Hz, H-3''), 7.43 (t, J = 8.2 Hz, H-5'), 7.51 (t, 1H, J = 8.0 Hz, H-6'), 7.94 (d, 1H, J = 8.2 Hz, H-7'), 8.06 (s, 1H, H-3), 8.07 (d, 1H, J = 8.0 Hz, H-4'), 8.15 (d, 1H, J = 1.2 Hz, H-5''); 13C-NMR (DMSO-d6): δC 164.6 (C-2'), 153.1 (3a'), 148.8 (C-5"), 148.2 (C-2''), 142.2 (C-3), 135.3 (C-7a'), 126.8 (C-6'), 125.2 (C-5'), 122.1 (C-4'), 121.9 (C-7'), 121.6 (C-3''), 116.9 (CN), 113.8 (C-4''), 91.9 (C-2) ppm. MS m/z (%) 284 [M+, 18%]. Anal. Calcd. for C14H8N2OS2 (284.36): C, 59.13; H, 2.84; N, 9.85; S, 22.55%. Found: C, 58.95; H, 2.81; N, 10.07; S, 22.56%.
(E)-2-(Benzothiazol-2'-ylthio)-3-(thiophen-2''-yl) acrylonitrile (4b). This compound was crystallized from a 3:2 mixture of ethanol/diethyl ether as yellow crystals. Yield: 2.4 g (88%), mp. 98–100 °C; FT-IR: νmax/cm−1: 2210 (CN); 1H-NMR (DMSO-d6): δH 7.35 (dd, 1H, J = 4.8 & 3.5 Hz, H-4''), 7.43 (t, 1H, J = 7.6 Hz, H-5'), 7.52 (t, 1H, J = 7.6 Hz, H-6'), 7.89 (d, 1H, J = 3.5 Hz, H-3''), 7.95 (d, 1H, J = 8.0 Hz, H-7'), 8.09 (d, 1H, J = 8.0 Hz, H-4'), 8.14 (d, 1H, J = 4.8 Hz, H-5''), 8.52 ppm (s, 1H, H-3); 13C-NMR (DMSO-d6): δC 164.8 (C-2'), 153.2 (C-3a'), 150.4 (C-3), 137.5 (C-3''), 135.9 (C-2''), 135.3 (C-7a'), 135.1 (C-5''), 128.6 (C-4''), 126.8 (C-6'), 125.2 (C-5'), 122.1 (C-4'), 121.9 (C-7'), 117.1 (CN), 92.3 (C-3) ppm; MS m/z (%) 300 [M+, 14%]. Anal. Calcd. for C14H8N2S3 (300.42): C, 55.97; H, 2.68; N, 9.32; S, 32.01%. Found: C, 56.04; H, 2.52; N, 9.54; S, 32.08%.
(E)-2-(Benzothiazol-2'-ylthio)-3-phenyl acrylonitrile (4c). This compound was crystallized from a 2:1 mixture of ethanol/diethyl ether as yellow crystals. Yield: 2.08 g (71%) , mp. 103–105 °C; FT-IR: νmax/cm−1: 2206 (CN); 1H-NMR (DMSO-d6): δH 7.38 (t, 1H, J = 7.8 Hz, H-5'), 7.49 (t, 1H, J = 8.4 Hz, H-6' ), 7.58–7.63 (m, 3H, H-3'', H-4'' & H-5''), 7.96 (d, 1H, J = 8.4 Hz, H-7), 7.97 (d, 2H, J = 8.4 Hz, H-2''& H-6''), 8.10 (d, 1H, J = 8.0 Hz, H-4'), 8.29 ppm (s, 1H vinylic-H); 13C-NMR (DMSO-d6): δC 163.7 (C-2'), 157.0 (C-3), 153.1 (C-3a'),135.4 (C-7a'), 132.6 (C-4''), 130.8 (C-1''), 129.5 (C-2'' & C-6''), 128.9 (C-3'' & C-5''),126.8 (C-6'),125.5 (C-5'), 122.2 (C-4'), 122.0 (C-7'), 116.8 (CN), 97.5 (C-2) ppm. MS m/z (%) 294 [M+, 83%]. Anal. Calcd. for C16H10N2S2, (294.39) requires: C, 65.28 ; H, 3.42; N, 9.52; S, 21.78%. Found: C, 64.98; H, 3.25; N, 9.73; S, 22.03%.
(E)-2-(Benzothiazol-2'-ylthio)-3-(4''-methoxyphenyl) acrylonitrile (4d). This compound was crystallized from ethanol as brown crystals. Yield: 2.62 g (81%), mp. 95–97 °C. FT-IR: νmax/cm−1: 2202 (CN); 1H-NMR (DMSO-d6): δH 3.87 (s, 3H, OCH3), 7.15 (d, 2H, J = 9.0 Hz, H-3'' & H-5''), 7.42 (t, 1H, J = 7.8 Hz, H-5'), 7.51 (t, 1H, J = 7.8 Hz, H-6'), 7.94 (d, 1H, J = 7.8 Hz, H-7'), 8.00 (d, 2H, J = 8.4 Hz, H-2’’ & H-6’’), 8.06 (d, 1H, J = 7.8 Hz, H-4'), 8.17 ppm (s, 1H, H-3); 13C-NMR (DMSO-d6): δC 165.0 (C-2'), 162.9 (C-4''), 157.3 (C-3), 153.3 (C-3a'), 135.3 (C-7a'), 132.1 (C-2'', C-6"), 126.7 (C-6'), 125.1 (C-5'), 124.9 (C-1''), 122.1 (C-4'), 121.9 (C-7'), 117.5 (CN), 114.8 (C-3'' & C-5"), 92.8 (C-2), 55.7 (OCH3) ppm; MS m/z (%) 324 [M+, 20% ]. Anal. Calcd. for C17H12N2OS2 (324.42): C, 62.94; H, 3.73; N, 8.63; S, 19.76%. Found: C, 63.06; H, 3.63; N, 8.87; S, 20.06%.
(E)-2-(Benzothiazol-2'-ylthio)-3-(4''-hydroxyphenyl) acrylonitrile (4e). This compound was crystallized from a 2:1 mixture of ethanol/diethyl ether as yellow crystals. Yield: 2.32 (75%), mp. 113–114 °C ; FT-IR: νmax/cm−1: 3417 (OH), 2200 (CN); 1H-NMR (DMSO-d6): δH 6.97 (d, 2H, J = 8.4 Hz, H-3'' & H-5''), 7.39 (t, 1H, J = 8.4 Hz, H-5'), 7.50 (t, 1H, J = 8.4 Hz, H-6'), 7.91 (d, 2H, J = 8.4 Hz, H-2'' & H-6''), 7.93 (d, 1H, J = 8.4, Hz, H-7'), 8.06 (d, 1H, J = 8.4 Hz, H-4'), 8.12 (s, 1H, H-3), 9.05 (bs., 1H, OH, D2O exchangeable); 13C-NMR (DMSO-d6): δC 165.6 (C-2'), 162.2 (C-4''), 158.0 (C-3), 153.3 (C-3a'), 135.2 (C-7a'), 132.5 (C-2'' & C-6''), 126.7 (C-6'), 125.0 (C-5'), 123.0 (C-1''), 122.1 (C-4'), 121.8 (C-7'), 117.8 (CN), 116.3 (C-3'' & C-5''), 91.2 (C-2) ppm; MS m/z (%) 310 [M+, 44%]. Anal. Calcd. for C16H10N2OS2 (310.39): C, 61.91; H, 3.25 ; N, 9.03; S, 20.66%. Found: C, 61.63; H, 3.40; N, 9.27; S, 20.92%.
(Z)-3-(Benzothiazol-2'-ylthio)-4-(furan-2''-yl)-3-buten-2-one (6): A mixture of 5 (2.33 g, 10.0 mmol) and furan-2-carbaldehyde 3a (10.0 mmol) in ethanol (20 mL) containing a few drops of piperidine was refluxed to 4 h. The reaction was allowed to cool to room temperature for 24 h. The solid product so formed was collected by filtration and crystallized from the ethanol as yellow crystals. Yield: 2.16 g (72%) yield, mp. 85–87 °C ; FT-IR: νmax/cm−1: 1662 (CO); 1H-NMR (DMSO-d6): 2.54 (s, 3H, CH3), 6.74 (dd, 1H, J = 3.6 & 1.2 Hz, H-4''), 7.32 (t, 1H, J = 8.0 Hz, H-5'), 7.43 (t, 1H, J = 8.0 Hz, H-6'), 7.47 (d, 1H, J = 3.6 Hz, H-3''), 7.82 (d, 1H, J = 8.0 Hz, H-7'), 7.92 (d, 1H, J = 8.0 Hz, H-4'), 8.05 (d, 1H, J = 1.6 Hz, H-5''), 8.25 (s, 1H, H-4); 13C-NMR (DMSO-d6): δC 194.8 (C-2), 166.3 (C-2'), 153.2 (C-3a'), 149.2 (C-2''), 148.4 (C-5''), 136.0 (C-4), 135.8 (C-7a'),126.4 (C-6'), 124.5 (C-5'), 123.9 (C-3), 121.7 (C-4'), 121.4 (C-3''), 121.3 (C-7') ,113.7 (C-4''), 26.6 (CH3) ppm; MS m/z (%) 301 [M+, 30%]. Anal. Calcd. for C15H11NO2S2 (301.38): C, 59.78; H, 3.67; N, 4.64%. Found: C, 59.41; H, 3.68; N, 4.80%.
3-(2'-Oxopropylthio)-3-phenylquinazolin-4(3H)-one (9): A mixture 8 (2.54 g, 10.0 mmol), chloro-acetone (0.79 g, 10.0 mmol), and anhydrous potassium carbonate (1.38 g, 10.0 mmol) in acetone (100 mL) were heated in water bath for 2 h. The solvent was then evaporated under reduced pressure. The solid product, so formed, was collected by filtration and crystallized from ethanol as yellow crystals. Yield: 2.4 g (79%), mp. 140–142 °C. FT-IR: νmax/cm−1: 1725 (CO ketone), 1683 (CO amide); 1H-NMR (DMSO-d6): δH 2.33 (s, 3H, CH3) ,4.06 (s, 2H, CH2), 7.29 (d, 1 Hz, J = 7.6 Hz, H-5), 7.35 (t, 1H, J = 7.6 Hz, H-7), 7.63–7.41 (m, 5H, phenyl–H), 7.81 (t, 1H, J = 8.0 Hz, H-6), 8.08 (d, 1H, J = 7.6Hz, H-8); 13C-NMR (DMSO-d6): δC 202.5 (C-2'), 161.1 (C-4), 157.3 (C-2), 147.5 (C-8a), 136.4 (C-6), 135.4 (C-1''), 130.4, 129.8, 129.5 (phenyl carbons), 127.1 (C-8), 126.5 (C-7), 126.4 (C-5), 123.9 (C-4a), 42.6 (C-1'), 28.7 (CH3) ppm; MS m/z (%) 310 [M+, 12%]. Anal. Calcd. for C17H14N2O2S(310.37): C, 65.79, H, 4.55, N, 9.03%. Found: C, 65.65, H, 4.30, N, 9.06%.
(Z)-2-(1'-(Furan-2''-yl)-3'-oxobut-1''-en-2-ylthio)-3-phenylquinazolin-4(3H)-one (10): A mixture of 9 (3.10 g, 10 mmol) and 3a (0.83 g, 10 mmol) in ethanol (20 mL) containing a few drops of piperidine was refluxed for 4 h. The reaction was allowed to cool to room temperature for 24 h. The solid product so formed was collected by filtration and crystallized from ethanol as brown crystals. Yield: 2.83 g (73%) yield, mp. 190–192 °C; FT-IR: νmax/cm−1: 1675 (CO ketone), 1610 (CO amide); 1H-NMR (DMSO-d6): 2.48 (s, 3H, CH3), 6.68 (dd, 1H, J = 3.6 Hz & 1.8 Hz, H-4''), 7.18 (d, 1H, J = 3.6 Hz, H-3''), 7.42 (d, 1H, J = 8.0 Hz, H-5), 7.46 (t, 1H, J = 8.0 Hz, H-7), 7.67–7.59 (m, 5H, phenyl–H),7.77 (t, 1H, J = 8.0 Hz, H-6), 7.88 (s, 1H, H-1'), 7.92 (d, 1H, J = 1.8 Hz, H-5''), 8.08 (d, 1H, J = 8.0 Hz, H-8) ppm; 13C-NMR (DMSO-d6): δC 195.5 (C-3'), 160.7 (C-4), 155.9 (C-2), 149.2 (C-8a), 147.0 (C-5''), 146.8 (C-2''), 136.2 (C-1'''), 134.9 (C-6), 132.0 (C-1', vinylic–H), 130.1, 129.7, 129.2 (phenyl carbons), 126.6 (C-8), 126.2 (C-7), 126.0 (C-5), 125.1 (C-4a), 119.7 (C-2'), 118.2 (C-3''), 113.2 (C-4''), 26.7 (CH3) ppm; MS m/z (%) 388 [M+, 82]. Anal. Calcd. for C22H16N2O3S( 388.44): C, 68.02; H, 4.15; N, 7.21; S, 8.25%. Found: C, 67.78; H, 4.26; N, 7.16, S, 8.32%.

4. Conclusions

Knoevenagel condensation of 2-(benzothiazol-2'-ylthio) acrylonitrile (2) with aromatic benzaldehydes 3a–e leads preferentially to E-isomers. The 3-aryl-2-(benzothiazol-2'-ylthio) acrylonitriles 4a–e were characterized by spectroscopic measurements. Condensation of furan-2-carbaldehyde with either 1-(benzothiazol-2'-ylthio)propan-2-one or with 2-(2'-oxopropylthio)-3-phenylquinazolin-4(3H)-one afforded compounds 6 and 10 respectively. The condensation products 6 and 10 were characterized by spectroscopic measurements and were shown to be the Z-isomers.

Acknowledgements

This work was financed by the University of Kuwait research grant SC02/08 .We are grateful to the Faculty of Science, Chemistry Department, SAF facility for the spectral and analytical data (Project GS01/01, GS03/08, GS01/03).

References and Notes

  1. Prabhu, P.P; Pande, S.; Shastry, C.S. Synthesis and Biological evaluation of of Schiff's bases of some new benzothiazole derivatives as antimicrobial agents. Int. J. Chem. Tech. Res. 2011, 3, 185–191. [Google Scholar]
  2. Alang, G.; kaur, R.; Kaur, G.; Singh, A.; Singla, P. Synthesis and antibacterial activity of some new benzothiazole derivatives. Acta Pharm. Sci. 2010, 52, 213–218. [Google Scholar]
  3. Well, G.; Lowe, R.P.; Malcolm, F.; Steven, G. Antitumer benzothiazoles. 13. (Diacetyloxy)- iodobenzene (DAIB) oxidation of 2-(4-hydroxy-3-methoxyphenyl)benzothiazole and related compounds in the presence of dienophiles. ARKIVOC 2000, 779–797. [Google Scholar]
  4. Devmurari, V.P.; Shivanand, P.; Goyani, M.B.; Nandanwar, R.R.; Jivani, N.P.; Perumal, P. Synthesis and anticancer activity of some novel 2-substituted benzothiazole derivatives. Int. J. Chem. Tech. Res. 2010, 2, 681–689. [Google Scholar]
  5. Repicky, A.; Jantova, S.; Cipak, L. Apoptosis induced by 2-acetyl-3-(6-methoxybenzothiazo)-2-yl-aminoacylonitrile in human leukemia cell involves ROS- mitochondrial mediated death signaling and activation of p38 MAPK. Cancer Lett. 2009, 277, 55–63. [Google Scholar] [CrossRef]
  6. Armenise, D.; Laurentis, N.D.; Reho, A.; Rosato, A.; Morlacchi, F. Synthesis and antifungal activity against of candida albicans of 6-fluoro-4(5 or 7)chloro-2-(difluorobenzoyl) amino- benzothiazoles. J. Heterocyclic Chem. 2004, 41, 771–775. [Google Scholar] [CrossRef]
  7. Wasfy, A.A.F. Studies on quinazolines: Part II—Synthesis and antimicrobial evaluation of some 2,2-disubstituted -3,3-biquinazolin-4(3H)-ones. Ind. J. Chem. 2003, 42B, 3102–3107. [Google Scholar]
  8. Kidwai, M.; Misra, P.; Dave, B.; Bhushan, K.R.; Saxena, R.K.; Singh, M. Microwave activated solid support synthesis of new antibacterial quinolones. Monat. für Chemie. 2000, 131, 1207–1212. [Google Scholar] [CrossRef]
  9. Saksena, R.K; Khan, A. Synthesis of some new bis(4-oxo-3-phenyl-6,8-disubstituted -quinazolin-2-yl) disuphides, sulphides, sulphones & alkylenedisulphides & their CNS activities. Ind. J. Chem. 1988, 27B, 295–297. [Google Scholar]
  10. El-Nagady, S.I.; El-Hashash, M.A.; El-Badaway, A.S. Synthesis of some new 4(3H)-quinazolinone derivatives. Egypt. J. Chem. 2006, 46, 721–730. [Google Scholar]
  11. El-Brollosy, E.N.; Abdel-Megeed, M.; Genady, A.R. A facile and efficient synthesis of novel 1,2,4-triazolo[5,1-b]quinazolin-9-one derivatives. Monat. für Chemie. 2001, 132, 1063–1073. [Google Scholar]
  12. Jatav, V.; Mishra, P.; Kashaw, S.; Stables, J.P. CNS depressant and anticonvulsant activities of some novel 3-[5-substituted 1,3,4,-thiadiazole -2-yl]-2-styrylquinazoline-4(3H)-ones. Eur. J. Med. Chem. 2008, 43, 1945–1954. [Google Scholar]
  13. Brzozowski, Z.; Saczewski, F. Synthesis and antitumor activity of novel 2-amino-4-(3,5,5- trimethyl-2-pyrazolino)-1,3,5-triazine derivatives. Eur. J. Med. Chem. 2002, 37, 709–720. [Google Scholar] [CrossRef]
  14. Saczewski, F.; stencel, A.; Bienczak, A.M.; Langowska, K.A.; Michaelis, M.; Werel, W.; Halasa, R.; Reszka, P.; Bednarski, P.J. Structure -activity relationships of novel heteroaryl-acrylonitriles as cytotoxic and antibacterial agents. Eur. J. Med. Chem. 2008, 43, 1847–1857. [Google Scholar] [CrossRef]
  15. Al-Omran, F.; El-Khair, A.A. Studies with 2-(acetonylthio)benzothiazole. New rout to isoxazoles, isoxazole[3,4-b]pyridines, pyrazolo[1,5-a]pyrimidines, pyridines and quinolizines. J. Chem. Res. 2009, 433–436. [Google Scholar] [CrossRef]
  16. Al-Omran, F.; El-Khair, A.A. Studies with 2-(acetonylthio)benzothiazole: novel synthesis of pyridazin-6-(1H)-one, pyridazin-6 (1H)-imine, and phthalazine derivatives of antimicrobial and antifungal activities. J. Heterocyclic. Chem. 2011, 48, 241–248. [Google Scholar] [CrossRef]
  17. CCDC 818581 contains the supplementary crystallographic data for compound 2 in this paper. These data can be obtained free of charge from the Cambridge Crystallogr-aphic Data Center via www.ccdc.cam.ac.uk
  18. CCDC 819585 contains the supplementary crystallographic data for compound 4a in this paper. These data can be obtained free of charge from the Cambridge Crystallographic Data Center via www.ccdc.cam.ac.uk
  19. CCDC 819585 contains the supplementary crystallographic data for compound 5 in this paper. These data can be obtained free of charge from the Cambridge Crystallographic Data Center via www.ccdc.cam.ac.uk
  20. Wheeler, A.S.; Qates, W.M. The bromination of anthranilic acid. J. Am. Chem. Soc. 1910, 32, 770–773. [Google Scholar] [CrossRef]
  21. CCDC 822086 contains the supplementary crystallographic data for compound 10 in this paper. These data can be obtained free of charge from the Cambridge Crystallographic Data Center via www.ccdc.cam.ac.uk
  22. Matthias, K.E.; Kleinpeter, E.M.; Pulst, M.; Borsdorf, R. Combined dynamic -NMR and lanthanide induced shift studies on the conformational behavior of formylmethylenethiopyran. Monatsh. Chem. 1984, 289–302. [Google Scholar]
  • Sample Availability: Not available.

Share and Cite

MDPI and ACS Style

Al-Omran, F.; Mohareb, R.M.; El-Khair, A.A. Synthesis and E/Z Configuration Determination of Novel Derivatives of 3-Aryl-2-(benzothiazol-2'-ylthio) Acrylonitrile, 3-(Benzothiazol-2'-ylthio)-4-(furan-2''-yl)-3-buten-2-one and 2-(1-(Furan-2''-yl)-3'-oxobut-1''-en-2-ylthio)-3-phenylquinazolin-4(3H)-one. Molecules 2011, 16, 6129-6147. https://doi.org/10.3390/molecules16076129

AMA Style

Al-Omran F, Mohareb RM, El-Khair AA. Synthesis and E/Z Configuration Determination of Novel Derivatives of 3-Aryl-2-(benzothiazol-2'-ylthio) Acrylonitrile, 3-(Benzothiazol-2'-ylthio)-4-(furan-2''-yl)-3-buten-2-one and 2-(1-(Furan-2''-yl)-3'-oxobut-1''-en-2-ylthio)-3-phenylquinazolin-4(3H)-one. Molecules. 2011; 16(7):6129-6147. https://doi.org/10.3390/molecules16076129

Chicago/Turabian Style

Al-Omran, Fatima, Rafat M. Mohareb, and Adel Abou El-Khair. 2011. "Synthesis and E/Z Configuration Determination of Novel Derivatives of 3-Aryl-2-(benzothiazol-2'-ylthio) Acrylonitrile, 3-(Benzothiazol-2'-ylthio)-4-(furan-2''-yl)-3-buten-2-one and 2-(1-(Furan-2''-yl)-3'-oxobut-1''-en-2-ylthio)-3-phenylquinazolin-4(3H)-one" Molecules 16, no. 7: 6129-6147. https://doi.org/10.3390/molecules16076129

APA Style

Al-Omran, F., Mohareb, R. M., & El-Khair, A. A. (2011). Synthesis and E/Z Configuration Determination of Novel Derivatives of 3-Aryl-2-(benzothiazol-2'-ylthio) Acrylonitrile, 3-(Benzothiazol-2'-ylthio)-4-(furan-2''-yl)-3-buten-2-one and 2-(1-(Furan-2''-yl)-3'-oxobut-1''-en-2-ylthio)-3-phenylquinazolin-4(3H)-one. Molecules, 16(7), 6129-6147. https://doi.org/10.3390/molecules16076129

Article Metrics

Back to TopTop