Synthesis and Characterization of (Z)-5-Arylmethylidene-rhodanines with Photosynthesis-Inhibiting Properties †
Abstract
:1. Introduction
2. Results and Discussion
2.1. Chemistry

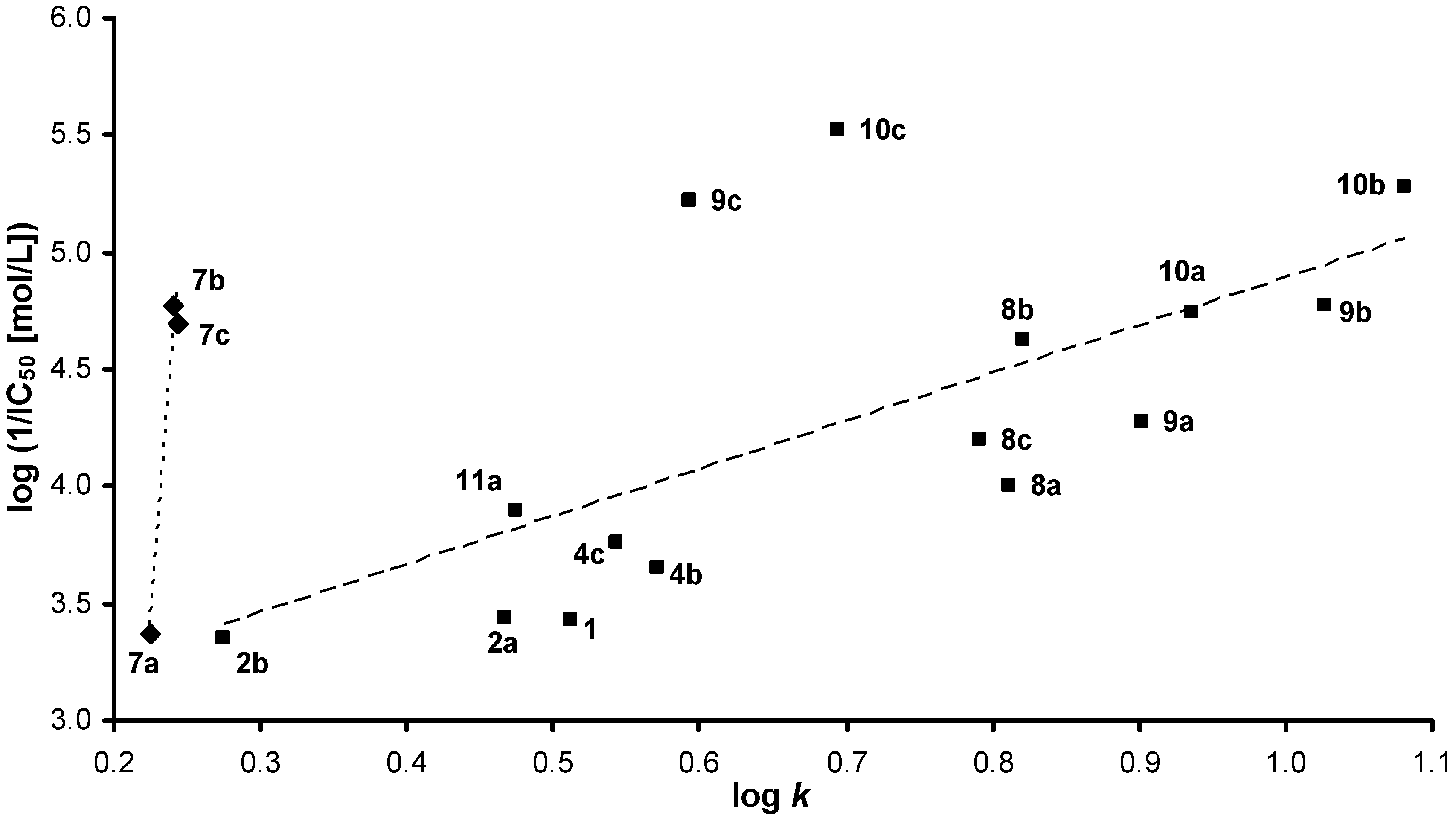
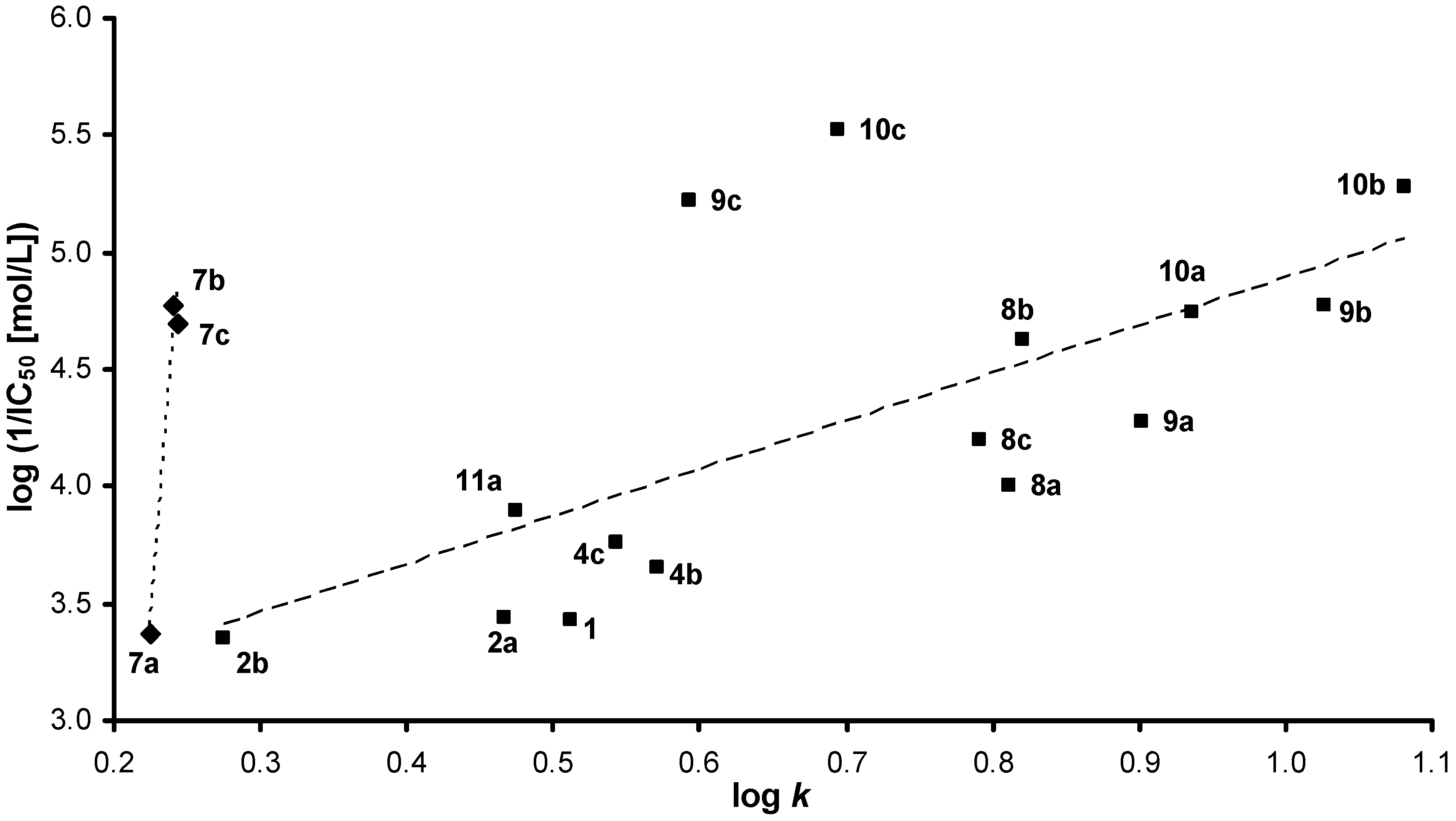
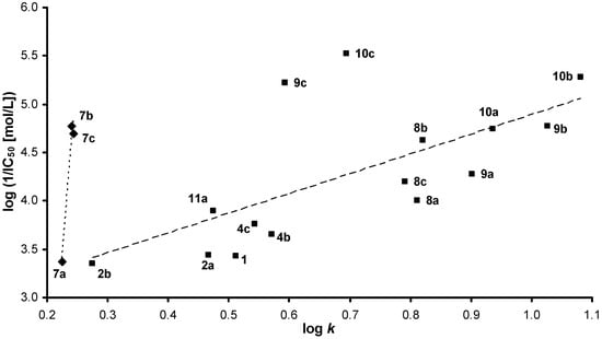
2.2. Lipophilicity
| Comp. | X | R1 | R2 | Predicted values | Exp. values | Exp. values reported previously | log k | log PbClog Pb | log Pj |
|---|---|---|---|---|---|---|---|---|---|
| 1 | C | H | H | 7.42 a,7.80b | 7.63 | 7.63 c,7.65d, 7.62g | 0.5122 | 2.041.802 | 2.94± 0.76 |
| 2a | C | 2-OH | H | 7.69 a, 8.07b | 7.84 | 7.83 c, 7.86e | 0.4664 | 1.651.135 | 2.21± 0.76 |
| 2b | C | 3-OH | H | 7.42 a,7.80b | 7.53 | 7.54 e | 0.2744 | 1.651.135 | 2.86± 0.77 |
| 2c | C | 4-OH | H | 7.42 a,7.80b | 7.55 | 7.56 e, 7.56g | 0.2641 | 1.651.135 | 2.96± 0.77 |
| 3 | C | 2,4-OH | H | 7.69 a, 8.07b | 7.73 | 7.79 f | 0.2776 | 1.260.468 | 2.23± 0.78 |
| 4a | C | 2-OCH3 | H | 7.69 a, 8.07b | 7.78 | 7.79 e | 0.5867 | 1.911.721 | 2.95± 0.77 |
| 4b | C | 3-OCH3 | H | 7.42 a, 7.80b | 7.60 | 7.59 e | 0.5713 | 1.911.721 | 2.92± 0.77 |
| 4c | C | 4-OCH3 | H | 7.42 a, 7.80b | 7.59 | 7.59 c,7.52d, 7.45e, | 0.5425 | 1.911.721 | 2.89± 0.77 |
| 5 | C | 3-OCH3-4-OH | H | 7.42 a, 7.80b | 7.56 | 7.94 g | 0.3553 | 1.520.984 | 2.72± 0.78 |
| 6 | C | 4-N(CH3)2 | H | 7.42 a, 7.80b | 7.49 | 7.47 c | 0.6466 | 2.321.967 | 3.05± 0.77 |
| 7a | C | 2-NO2 | H | 7.98 a, 8.36b | 7.86 | 7.82 c | 0.2254 | 2.491.545 | 2.67± 0.77 |
| 7b | C | 3-NO2 | H | 7.53 a, 7.91b | 7.70 | 7.79 h | 0.2399 | 2.491.545 | 2.67± 0.77 |
| 7c | C | 4-NO2 | H | 7.56 a, 7.94b | 7.70 | 7.73 h | 0.2436 | 2.491.545 | 2.67± 0.77 |
| 8a | C | 2-F | H | 7.69 a, 8.07b | 7.59 | 7.59 d, 7.48e | 0.8108 | 2.191.945 | 2.99± 0.81 |
| 8b | C | 3-F | H | 7.42 a,7.80b | 7.63 | 7.83 e | 0.8204 | 2.191.945 | 2.99± 0.81 |
| 8c | C | 4-F | H | 7.42 a, 7.80b | 7.64 | 7.65 d | 0.7909 | 2.191.945 | 2.99± 0.81 |
| 9a | C | 2-Cl | H | 7.69 a, 8.07b | 7.74 | NR | 0.9019 | 2.592.515 | 3.54± 0.77 |
| 9b | C | 3-Cl | H | 7.42 a, 7.80b | 7.68 | NR | 1.0270 | 2.592.515 | 3.54± 0.77 |
| 9c | C | 4-Cl | H | 7.42 a, 7.80b | 7.62 | 7.61 c,7.55d, 7.61i | 0.5936 | 2.592.515 | 3.54± 0.77 |
| 10a | C | 2-Br | H | 7.69 a, 8.07b | 7.70 | NR | 0.9368 | 2.862.665 | 3.91± 0.81 |
| 10b | C | 3-Br | H | 7.42 a, 7.80b | 7.61 | NR | 1.0820 | 2.862.665 | 3.71± 0.81 |
| 10c | C | 4-Br | H | 7.42 a, 7.80b | 7.60 | 7.61 d | 0.6940 | 2.862.665 | 3.71± 0.81 |
| 11a | C | 2-NO2 | C2H4OH | 7.98 a, 8.36b | 7.88 | NR | 0.4751 | 2.040.993 | 1.81± 0.80 |
| 11b | C | 3-NO2 | C2H4OH | 7.53 a, 7.91b | 7.94 | NR | 0.6077 | 2.040.993 | 1.81± 0.80 |
| 11c | C | 4-NO2 | C2H4OH | 7.56 a, 7.94b | 7.88 | NR | 0.6349 | 2.040.993 | 1.81± 0.80 |
| 12 | 2-N | H | H | 7.63 a, 7.63b | 7.67 | 7.65 d | 0.4864 | 1.120.305 | 1.45± 0.76 |
| 13 | 3-N | H | H | 7.42 a, 7,68b | 7.66 | 7.60 d | 0.4539 | 0.700.305 | 1.70± 0.77 |
| 14 | 4-N | H | H | 7.40 a, 7.78b | 7.55 | 7.58 d | 0.1878 | 0.700.305 | 1.45± 0.76 |
| 15 | 2,4-N | H | H | 7.42 a, 7.42b | 7.73 | NR | 0.2359 | -0.22-0.652 | 0.69± 0.77 |
| 16 | ![]() | H | H | 7.42 a, 7.37b | 7.47 | 8.09 g | 0.4656 | 0.650.978 | 2.10± 0.77 |
2.3. Study of PET Inhibition in Spinach Chloroplasts
| Comp. | Spinach chloroplasts (PET) IC50 [μmol/L] | Chlorella vulgaris | |
|---|---|---|---|
| IC50 [μmol/L] | reduction of Chl. cont. [%] | ||
| 1 | 374.7 | 13.7 | 88.2 |
| 2a | 368.6 | 59.4 | 59.0 |
| 2b | 444.0 | – | 9.6 |
| 2c | a | – | 29.8 |
| 3 | a | 108.2 | 48.5 |
| 4b | 220.6 | a | – |
| 4c | 173.8 | a | – |
| 5 | a | – | 19.4 |
| 6 | a | – | 12.6 |
| 7a | 427.6 | a | – |
| 7b | 16.9 | 4.4 | 85.7 |
| 7c | 20.1 | 21.9 | 87.1 |
| 8a | 99.5 | a | – |
| 8b | 23.8 | a | – |
| 8c | 63.5 | a | – |
| 9a | 53.3 | a | – |
| 9b | 17.0 | a | – |
| 9c | 6.0 | 1.3 | 84.8 |
| 10a | 18.1 | a | – |
| 10b | 5.2 | a | – |
| 10c | 3.0 | a | – |
| 11a | 127.4 | a | – |
| 13 | 310.7 | a | – |
| 15 | 216.5 | a | 1.8 |
| DCMU | 1.9 | 7.3 | – |

2.4. Reduction of Chlorophyll Content in Chlorella vulgaris
3. Experimental
3.1. General
3.2. Synthesis
3.2.1. General procedure for synthesis of arylmethylidenerhodanines 1–16
3.2. Lipophilicity HPLC Determination (capacity factor k/calculated log k)
3.3. Study of Photosynthetic Electron Transport (PET) Inhibition in Spinach Chloroplasts
3.4. Reduction of Chlorophyll Content in Green Algae Chlorella vulgaris Beij.
4. Conclusions
Acknowledgements
References
- Casida, J.E. Pest toxicology: The primary mechanisms of pesticide action. Chem. Res. Toxicol. 2009, 22, 609–619. [Google Scholar] [CrossRef]
- Fuerst, E.P.; Norman, M.A. Interaction of herbicides with photosynthetic electron transport. Weed Sci. 1991, 39, 458–464. [Google Scholar]
- Draber, W.; Kluth, J.F.; Tietjen, K.; Trebst, A. Herbicides in photosynthesis research. Angew. Chem. Int. Ed. 1991, 30, 1621–1633. [Google Scholar] [CrossRef]
- Huppatz, J.L.; McFadden, H.G. Understanding the topography of the photosystem II herbicide binding niche: Does QSAR help? Z. Naturforsch. C 1993, 48, 140–145. [Google Scholar]
- Tomasic, T.; Masic, L.P. Rhodanine as a privileged scaffold in drug discovery. Curr. Med. Chem. 2009, 16, 1596–1629. [Google Scholar] [CrossRef]
- Mazzanti, L. Study on antithyroid substances. VI. Action of methylthiouracil, rhodanine, and intramine on development of young lupine plants. Boll. Soc. Ital. Biol. Sper. 1948, 24, 767–769. [Google Scholar]
- Takematsu, T.; Furushima, M.; Hasegawa, Y.; Morioka, M.; Tsuchiyama, T. Herbicide containing 2-mercapto-4-keto-5-substituted thiazoline derivatives. JP 47013812, 6 November 1972. [Google Scholar]
- Kerst, A.F.; Douros, J.D., Jr.; Brokl, M. Controlling algae with 5-(5-barbiturilidene)-rhodanine. U.S. Patent 3,765,864, 16 October 1973. [Google Scholar]
- La Croix, E.A.S. Herbicidal compositions of 3-arylrhodanines. GB 1390550, 16 April 1975. [Google Scholar]
- Manning, D.T.; Chen, T.M.; Campbell, A.J.; Smith, E.W. Effects of chemical treatments upon photosynthetic parameters in soybeen seedlings. Plant Physiol. 1984, 76, 1055–1059. [Google Scholar] [CrossRef]
- Inamori, Y.; Muro, C.; Tanaka, R.; Adachi, A.; Miyamoto, K.; Tsujibo, H. Phytogrowth inhibitory activity of sulfur-containing compounds. 1. Inhibitory activities of thiazolidine derivatives on plant growth. Chem. Pharm. Bull. 1992, 40, 2854–2856. [Google Scholar] [CrossRef]
- Certi Mazza, M.T.; de Cicco, L.; de Rosa, G.; de Rosa, R.; Cara-Mazza, R. Preparation and activity of complexes of transition metals and thiolic heterocyclic ligands. Boll. Soc. Ital. Biol. Sper. 1996, 72, 79–86. [Google Scholar]
- Muro, C.; Yasuda, M.; Sakagami, Y.; Yamada, T.; Numata, A.; Inamori, Y. Inhibitory activities of rhodanine derivatives on plant growth. Biosci. Biotech. Biochem. 1996, 60, 1368–1371. [Google Scholar] [CrossRef]
- Muro, C.; Tsujibo, H.; Inamori, Y.; Sumida, M.; Tanaka, T.; Wakabayashi, K.; Boger, P. Effect of rhodanine and 2(5H)-thiophenone in green algae and liverwort cells. J. Pest. Sci. 1997, 22, 1–5. [Google Scholar] [CrossRef]
- Inamori, Y.; Okamoto, Y.; Takegawa, Y.; Tsujibo, H.; Sakagami, Y.; Kumeda, Y.; Shibata, M.; Numata, A. Insecticidal and antifungal activities of aminorhodanine derivatives. Biosci. Biotech. Biochem. 1998, 62, 1025–1027. [Google Scholar] [CrossRef]
- Fan, C.; Clay, M.D.; Deyholos, M.K.; Vederas, J.C. Exploration of inhibitors for diaminopimelate aminotransferase. Bioorg. Med. Chem. 2010, 18, 2141–2151. [Google Scholar] [CrossRef]
- Kerns, E.H.; Li, D. Drug-like Properties: Concept, Structure Design and Methods; Elsevier: San Diego, CA, USA, 2008. [Google Scholar]
- Opletalova, V.; Patel, A.; Boulton, M.; Dundrova, A.; Lacinova, E.; Prevorova, M.; Appeltauerova, M.; Coufalova, M. 5-Alkyl-2-pyrazinecarboxamides, 5-alkyl-2-pyrazine-carbonitriles and 5-alkyl-2-acetylpyrazines as synthetic intermediates for antiinflammatory agents. Collect. Czech. Chem. Commun. 1996, 61, 1093–1101. [Google Scholar] [CrossRef]
- Chlupacova, M.; Opletalova, V.; Kunes, J.; Silva, L.; Buchta, V.; Duskova, L.; Kralova, K. Synthesis and biological evaluation of some ring-substituted (E)-3-aryl-1-pyrazin-2-ylprop-2-en-1-ones. Folia Pharm. Univ. Carol. 2005, 33, 31–43. [Google Scholar]
- Opletalova, V.; Pour, M.; Kunes, J.; Buchta, V.; Silva, L.; Kralova, K.; Chlupacova, M.; Meltrova, D.; Peterka, M.; Poslednikova, M. Synthesis and biological evaluation of (E)-3-(nitrophenyl)-1-(pyrazin-2-yl)prop-2-en-1-ones. Collect. Czech. Chem. Commun. 2006, 71, 44–58. [Google Scholar] [CrossRef]
- Kucerova-Chlupacova, M.; Opletalova, V.; Jampilek, J.; Dolezel, J.; Dohnal, J.; Kunes, J.; Pour, M.; Vorisek, V. New hydrophobicity constants of substituents in pyrazine rings derived from RP-HPLC Study. Collect. Czech. Chem. Comm. 2008, 73, 1–18. [Google Scholar] [CrossRef]
- Opletalova, V.; Kalinowski, D.; Vejsova, M.; Kunes, J.; Pour, M.; Jampilek, J.; Buchta, V.; Richardson, D.R. Identification and characterization of thiosemicarbazones with anti-fungal and anti-tumor effects: Cellular iron-chelation mediating cytotoxic activity. Chem. Res. Toxicol. 2008, 21, 1878–1889. [Google Scholar] [CrossRef]
- Dolezel, J.; Hirsova, P.; Opletalova, V.; Dohnal, J.; Vejsova, M.; Kunes, J.; Jampilek, J. Rhodanineacetic acid derivatives as potential drugs: Preparation, hydrophobic properties and antifungal activity of (5-arylalkylidene-4-oxo-2-thioxo-1,3-thiazolidin-3-yl)acetic acids. Molecules 2009, 14, 4197–4212. [Google Scholar] [CrossRef]
- Sagura, J.J.; Unruh, C.C. Light-sensitive rhodanine esters of maleic anhydride copolymers. U.S. Patent 2,824,087, 18 February 1958. [Google Scholar]
- Piera, F.; Seoane, E.; Mestres, R. Synthesis of substituted pyrazines derived from pyrazinecarboxadehyde and hydroxymethylpyrazine. Ann. Quim. 1979, 75, 899–903. [Google Scholar]
- Sortino, M.; Delgado, P.; Juarez, S.; Quiroga, J.; Abonia, R.; Insuasty, B.; Nogueras, M.; Rodero, L.; Garibotto, F.M.; Enriz, R.D.; Zacchino, A. Synthesis and antifungal activity of (Z)-5-arylidenerhodanines. Bioorg. Med. Chem. 2007, 15, 484–494. [Google Scholar] [CrossRef]
- Russel, A.J.; Westwood, I.M.; Crawford, M.H.J.; Robinson, J.; Kawamura, A.; Redfield, C.; Laurieri, N.; Lowe, E.D.; Davies, S.G.; Sim, E. Selective small molecule inhibitors of the potential breast cancer marker, human arylamine N-acetyltransferase 1, and its murine homologue, mouse arylamine N-acetyltransferase 2. Bioorg. Med. Chem. 2009, 17, 905–918. [Google Scholar]
- Tomasic, T.; Zidar, N.; Kovac, A.; Turk, S.; Simcic, M.; Blanot, D.; Mueller-Premru, M.; Filipic, M.; Grdadolnik, S.G.; Zega, A.; et al. 5–Benzylidenethiazolidin-4-ones as multitarget inhibitors of bacterial MurD ligases. ChemMedChem 2010, 5, 286–295. [Google Scholar] [CrossRef]
- Chakrabarti, P.M.; Chapman, N.B. An improved synthesis of substituted benzo[b]thiophen-2-carboxylic acids and related acids. Tetrahedron 1969, 14, 2781–2785. [Google Scholar] [CrossRef]
- Zhou, J.F.; Song, Y.Z.; Zhu, F.X.; Zhu, Y.L. Facile synthesis of 5-benzylidene rhodamine derivatives under microwave irradiation. Synth.Commun. 2006, 36, 3297–3303. [Google Scholar] [CrossRef]
- Fisher, H.E.; Hibbert, H. Studies on lignin and related compounds. LXXXIII. Synthesis of 3-hydroxy-1(4-hydroxy-3-methoxyphenyl)-2-propanone. J. Am. Chem. Soc. 1947, 69, 1208–1210. [Google Scholar]
- Allan, F.J.; Allan, G.G.; Thomson, J.B. The condensation of rhodanine with aromatic dialdehydes and some related compounds. Can. J. Chem. 1958, 36, 1579–1583. [Google Scholar] [CrossRef]
- Gong, K.; He, Z.W.; Liu, Z.L. Green synthesis of 5-benzylidene rhodanine derivatives catalyzed by 1-butyl-3-methyl imidazolium hydroxide in water. Monatsh. Chem. 2008, 139, 913–915. [Google Scholar] [CrossRef]
- Campbell, N.; Kail, J.E. Preparation of halophenylacetic acids. J. Chem. Soc. 1948, 1251–1255. [Google Scholar] [CrossRef]
- Khodair, A.I. A convenient synthesis of 2-arylidene-5H-thiazolo[2,3-b]quinazoline-3,5[2H]-diones and their benzoquinazoline derivatives. J. Heterocycl. Chem. 2002, 39, 1153–1160. [Google Scholar] [CrossRef]
- Ohishi, Y.; Mukai, T.; Nagahara, M.; Yajima, M.; Kajikawa, N.; Miahara, K.; Takano, T. Preparations of 5-alkylmethylidene-3-carboxymethylrhodanine derivatives and their aldose reductase inhibitory activity. Chem. Pharm. Bull. 1990, 38, 1911–1919. [Google Scholar] [CrossRef]
- Whitessit, C.A.; Simon, R.L.; Reel, J.K.; Sigmund, S.K.; Phillips, M.L.; Shadle, J.K.; Heintz, L.W.; Koppel, G.A.; Hunden, D.C.; Lifer, S.L.; et al. Synthesis and structure-activity relationships of benzophenones as inhibitors of cathepsin D. Bioorg. Med. Chem. Lett. 1996, 6, 2157–2162. [Google Scholar] [CrossRef]
- Zidar, N.; Tomasic, T.; Sink, R.; Rupnik, V.; Kovac, A.; Turk, S.; Patin, D.; Blanot, D.; Contreras-Martel, C.; Dessen, A.; et al. Discovery of novel 5-benzylidenerhodanine and 5-benzylidenethiazolidine-2,4-dione inhibitors of MurD ligase. J. Med. Chem. 2010, 53, 6584–6594. [Google Scholar] [CrossRef]
- Ryabukhin, S.V.; Plaskon, A.S.; Volochnyuk, D.M.; Pipko, S.E.; Shivanyuk, A.N.; Tolmachev, A.D. Combinatorial Knoevenagel reactions. J. Comb. Chem. 2007, 9, 1073–1078. [Google Scholar] [CrossRef]
- Norrington, F.E.; Hyde, R.M.; Williams, S.G.; Wotton, R. Physicochemical-activity relations in practice. 1. Rational and self-consistent data bank. J. Med. Chem. 1975, 18, 604–607. [Google Scholar]
- Miletin, M.; Hartl, J.; Dolezal, M.; Odlerova, Z.; Kralova, K.; Machacek, M. Synthesis of some 2,6-disubstituted 4-amidopyridines and -thioamidopyridines, and their photosynthesis-inhibiting activity. Molecules 2000, 5, 208–218. [Google Scholar] [CrossRef]
- Dolezal, M.; Palek, L.; Vinsova, J.; Buchta, V.; Jampilek, J.; Kralova, K. Substituted pyrazinecarboxamides: Synthesis and biological evaluation. Molecules 2006, 11, 242–256. [Google Scholar] [CrossRef]
- Dolezal, M.; Zitko, J.; Osicka, Z.; Kunes, J.; Vejsova, M.; Buchta, V.; Dohnal, J.; Jampilek, J.; Kralova, K. Synthesis, antimycobacterial, antifungal and photosynthesis-inhibiting activity of chlorinated N-phenylpyrazine-2-carboxamides. Molecules 2010, 15, 8567–8581. [Google Scholar] [CrossRef]
- Honda, I.; Yoneyama, K.; Iwamura, H.; Knnai, M.; Takahashi, N.; Yoshida, S. Structure-activity relationship of 3-nitro-2,4,6 trihydroxybenzamide derivatives in photosynthetic electron transport. Agric. Biol. Chem. 1990, 54, 1127–1233. [Google Scholar]
- Kralova, K.; Sersen, F.; Kubicova, L.; Waisser, K. Inhibitory effects of substituted benzanilides on photosynthetic electron transport in spinach chloroplasts. Chem. Pap. 1999, 53, 328–331. [Google Scholar]
- Kralova, K.; Sersen, F.; Kubicova, L.; Waisser, K. Inhibition of photosynthetic electron transport in spinach chloroplasts by 3- and 4-halogeno substituted benzanilides and thiobenzanilides. J. Trace Microprobe Techn. 2000, 18, 251–256. [Google Scholar]
- Imramovsky, A.; Pesko, M.; Kralova, K.; Vejsova, M.; Stolarikova, J.; Vinsova, J.; Jampilek, J. Investigating spectrum of biological activity of 4- and 5-chloro-2-hydroxy-N-[2-(arylamino)-1-alkyl-2-oxoethyl]benzamides. Molecules 2011, 16, 2414–2430. [Google Scholar] [CrossRef]
- Musiol, R.; Jampilek, J.; Kralova, K.; Richardson, D.R.; Kalinowski, D.; Podeszwa, B.; Finster, J.; Niedbala, H.; Palka, A.; Polanski, J. Investigating biological activity spectrum for novel quinoline analogues. Bioorg. Med. Chem. 2007, 15, 1280–1288. [Google Scholar] [CrossRef]
- Musiol, R.; Tabak, D.; Niedbala, H.; Podeszwa, B.; Jampilek, J.; Kralova, K.; Dohnal, J.; Finster, J.; Mencel, A.; Polanski, J. Investigating biological activity spectrum for novel quinoline analogues 2: Hydroxyquinolinecarboxamides with photosynthesis inhibiting activity. Bioorg. Med. Chem. 2008, 16, 4490–4499. [Google Scholar] [CrossRef]
- Jampilek, J.; Musiol, R.; Pesko, M.; Kralova, K.; Vejsova, M.; Carroll, J.; Coffey, A.; Finster, J.; Tabak, D.; Niedbala, H.; et al. Ring-substituted 4-hydroxy-1H-quinolin-2-ones: Preparation and biological activity. Molecules 2009, 14, 1145–1159. [Google Scholar] [CrossRef]
- Jampilek, J.; Musiol, R.; Finster, J.; Pesko, M.; Carroll, J.; Kralova, K.; Vejsova, M.; O'Mahony, J.; Coffey, A.; Dohnal, J.; Polanski, J. Investigating biological activity spectrum for novel styrylquinazoline analogues. Molecules 2009, 14, 4246–4265. [Google Scholar] [CrossRef]
- Musiol, R.; Jampilek, J.; Nycz, J.E.; Pesko, M.; Carroll, J.; Kralova, K.; Vejsova, M.; O'Mahony, J.; Coffey, A.; Mrozek, A.; Polanski, J. Investigating the activity spectrum for ring-substituted 8-hydroxyquinolines. Molecules 2010, 15, 288–304. [Google Scholar] [CrossRef]
- Otevrel, J.; Mandelova, Z.; Pesko, M.; Guo, J.; Kralova, K.; Sersen, F.; Vejsova, M.; Kalinowski, D.; Kovacevic, Z.; Coffey, A.; Csollei, J.; Richardson, D.R.; Jampilek, J. Investigating the spectrum of biological activity of ring-substituted salicylanilides and carbamoylphenylcarbamates. Molecules 2010, 15, 8122–8142. [Google Scholar] [CrossRef]
- Masarovicova, E.; Kralova, K. Approaches to measuring plant photosynthesis activity. In Handbook of Photosynthesis, 2nd; Pessarakli, M., Ed.; Taylor & Francis Group: Boca Raton, FL, USA, 2005; pp. 617–656. [Google Scholar]
- Kralova, K.; Sersen, F.; Sidoova, E. Photosynthesis inhibition produced by 2-alkylthio-6-R-benzothiazoles. Chem. Pap. 1992, 46, 348–350. [Google Scholar]
- Fedke, C. Biochemistry and Physiology of Herbicide Action; Springer Verlag: New York, NY, USA, 1982. [Google Scholar]
- Kralova, K.; Sersen, F.; Melnik, M. Inhibition of photosynthesis in Chlorella vulgaris by Cu(II) complexes with biologically active ligands. J. Trace Microprobe Techn. 1998, 16, 491–500. [Google Scholar]
- Wellburn, A.R. The spectra determination of chlorophylls a and b, as well as total carotenoids, using various solvents with spectrophotometers of different resolution. J. Plant Physiol. 1994, 144, 307–313. [Google Scholar] [CrossRef]
- Samples Availability: Samples of the compounds are available from the authors.
© 2011 by the authors; licensee MDPI, Basel, Switzerland. This article is an open access article distributed under the terms and conditions of the Creative Commons Attribution license ( http://creativecommons.org/licenses/by/3.0/).
Share and Cite
Opletalova, V.; Dolezel, J.; Kralova, K.; Pesko, M.; Kunes, J.; Jampilek, J. Synthesis and Characterization of (Z)-5-Arylmethylidene-rhodanines with Photosynthesis-Inhibiting Properties. Molecules 2011, 16, 5207-5227. https://doi.org/10.3390/molecules16065207
Opletalova V, Dolezel J, Kralova K, Pesko M, Kunes J, Jampilek J. Synthesis and Characterization of (Z)-5-Arylmethylidene-rhodanines with Photosynthesis-Inhibiting Properties. Molecules. 2011; 16(6):5207-5227. https://doi.org/10.3390/molecules16065207
Chicago/Turabian StyleOpletalova, Veronika, Jan Dolezel, Katarina Kralova, Matus Pesko, Jiri Kunes, and Josef Jampilek. 2011. "Synthesis and Characterization of (Z)-5-Arylmethylidene-rhodanines with Photosynthesis-Inhibiting Properties" Molecules 16, no. 6: 5207-5227. https://doi.org/10.3390/molecules16065207
APA StyleOpletalova, V., Dolezel, J., Kralova, K., Pesko, M., Kunes, J., & Jampilek, J. (2011). Synthesis and Characterization of (Z)-5-Arylmethylidene-rhodanines with Photosynthesis-Inhibiting Properties. Molecules, 16(6), 5207-5227. https://doi.org/10.3390/molecules16065207


