Synthesis of Some Novel Pyrazolo[1,5-a]pyrimidine Derivatives and Their Application as Disperse Dyes
Abstract
:1. Introduction
2. Results and Discussion
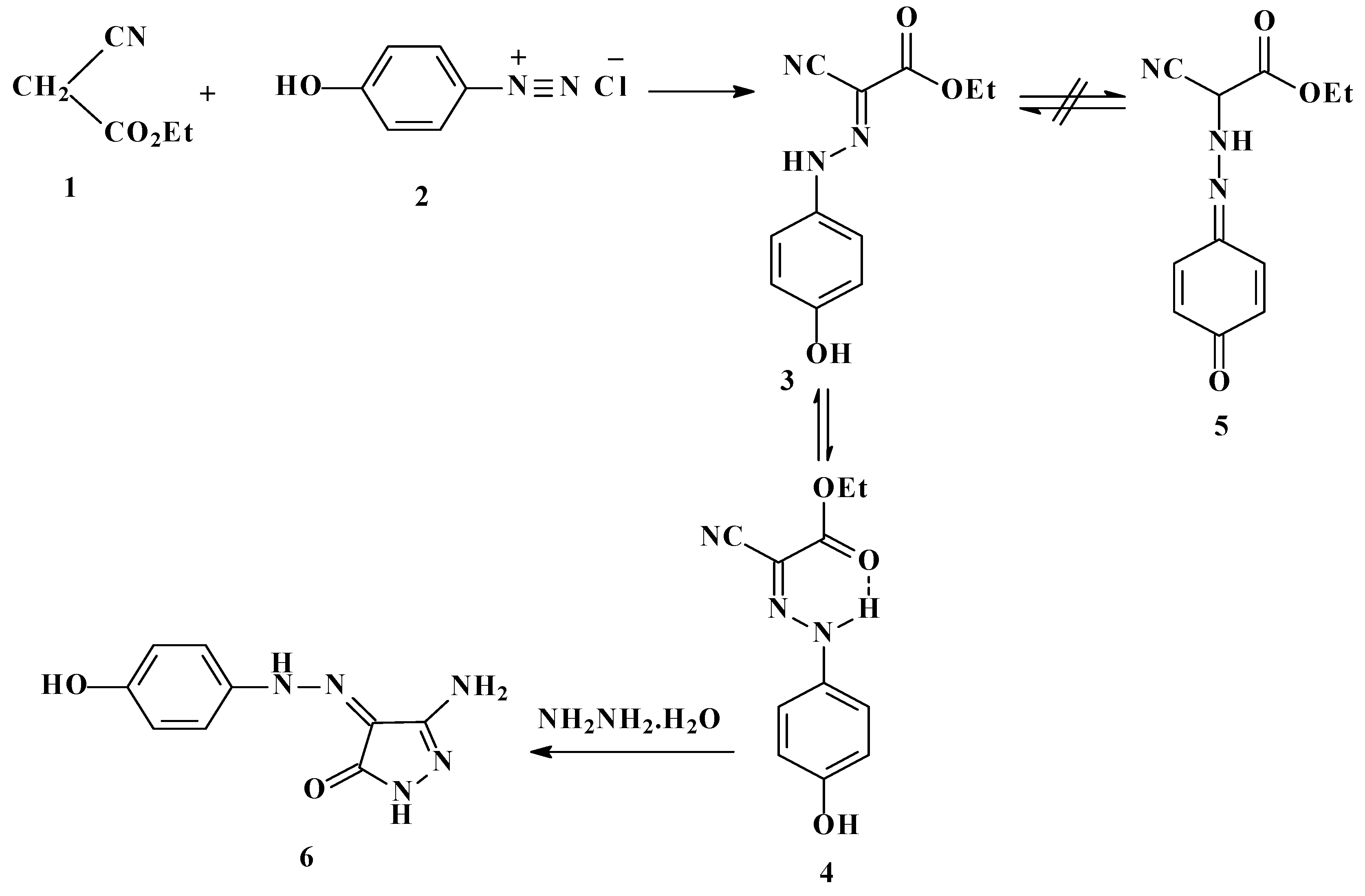
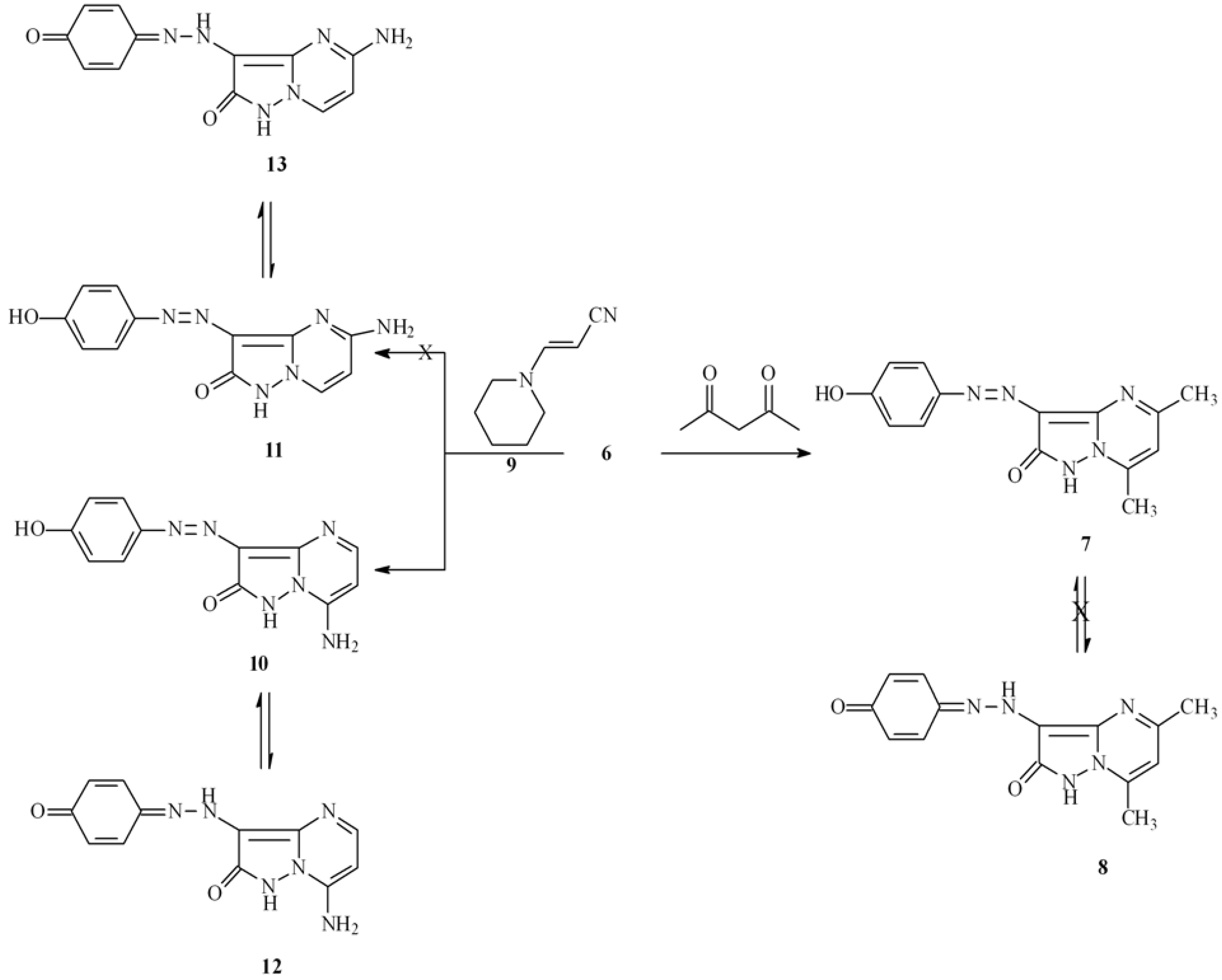
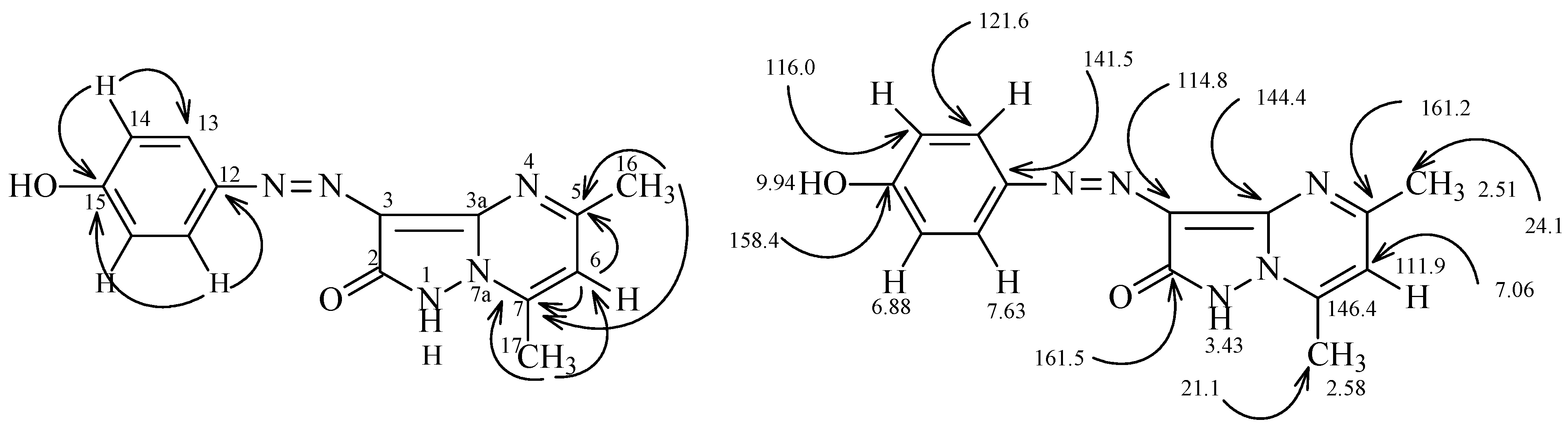
2.1. Synthesis and Characteristics






2.2. Dyeing and Fastness Properties
2.2.1. Color strength
| Dye | Color shade on polyester | Color strength (K/S) % Dye o.m.f. | |||
|---|---|---|---|---|---|
| 1 | 2 | 3 | 4 | ||
| 6 | Yellowish-orange | 1.17 | 2.12 | 2.47 | 2.49 |
| 7 | Pale orange | 2.19 | 3.79 | 4.09 | 6.96 |
| 15a | Dark orange | 5.66 | 5.95 | 7.12 | 8.31 |
| 15b | Dark orange | 5.43 | 5.81 | 7.91 | 10.04 |
| 15c | Orange | 4.40 | 4.64 | 4.85 | 6.01 |
| 15d | Orange | 4.08 | 4.73 | 6.02 | 7.06 |
2.2.2. Wash fastness
2.2.3. Light fastness
| Dye | Wash fastness a,b | Light fastness | ||
|---|---|---|---|---|
| Alt | SC | SW | ||
| (1% o.m.f. dyeing) | ||||
| 6 | 5 | 5 | 5 | 2-3 |
| 7 | 5 | 5 | 5 | 2 |
| 15a | 5 | 5 | 5 | 2-3 |
| 15b | 5 | 5 | 5 | 3 |
| 15c | 4 | 5 | 4 | 2-3 |
| 15d | 5 | 5 | 5 | 2 |
| (2% o.m.f. dyeing) | ||||
| 6 | 5 | 5 | 5 | 2-3 |
| 7 | 5 | 5 | 5 | 2 |
| 15a | 5 | 5 | 5 | 2 |
| 15b | 5 | 5 | 5 | 2-3 |
| 15c | 4 | 5 | 4 | 2-3 |
| 15d | 5 | 5 | 5 | 2 |
| (3% o.m.f. dyeing) | ||||
| 6 | 5 | 5 | 5 | 2-3 |
| 7 | 5 | 5 | 5 | 2 |
| 15a | 4-5 | 5 | 4-5 | 2 |
| 15b | 4-5 | 5 | 4-5 | 2 |
| 15c | 4 | 5 | 4 | 2-3 |
| 15d | 4-5 | 4-5 | 4-5 | 2 |
| (4% o.m.f. dyeing) | ||||
| 6 | 5 | 5 | 5 | 2-3 |
| 7 | 5 | 5 | 5 | 2 |
| 15a | 5 | 5 | 5 | 2 |
| 15b | 5 | 5 | 5 | 2 |
| 15c | 4 | 5 | 4 | 2 |
| 15d | 4-5 | 5 | 4-5 | 2 |
3. Experimental
3.1. General
3.2. General Procedure for the Synthesis of azo Disperse Dyes
General procedure for the synthesis of pyrazolo[1,5-a]pyrimidines 7, 10 and 15a-d
3.3. High Temperature Dyeing Method (HT)
3.3.1. Materials
3.3.2. Dyeing
3.4. Color Measurements and Analyses
3.4.1. Color measurements of the dyed fabrics
3.4.2. Fastness testing
4. Conclusions
Acknowledgments
References
- Singh, S.P.; Kumar, D. Reinvestigation of the Reported Synthesis of Naphtho[2’,1’,-4,5]thiazolo[2,3-c][1,2,4]triazepines. Heterocycles 1990, 31, 855–860. [Google Scholar] [CrossRef]
- Abdel-Ghany, Y.S. Novel 1,3,4-trisubstituted pyrazole derivatives: design, synthesis and biological evaluation as anti -inflammatory/ antimicrobial agents. Alex. J. Pharm. Sci. 2008, 22, 31–39. [Google Scholar]
- Kaymakcioglu, B.K.; Rollas, S.; Korcegez, E.; Aricioglu, F. Synthesis and biological evaluation of new N-substituted-N'-(3,5-di/1,3,5-trimethylpyrazole-4-yl)thiourea/urea derivatives. Eur. J. Pharm. Sci. 2005, 26, 97–103. [Google Scholar] [CrossRef]
- Langer, P.; Wuckelt, J.; Doring, M.; Schreiner, P.R.; Gorls, H. Regioselective anionic [3+2] cyclizations of isoxazole, pyrazole and 1,2,4-triazole dinucleophiles: Efficient synthesis of 2,4-dihydroimidazo[4,5-b]quinoxalines, 3H-imidazo[1,2-b]pyrazoles and 5H-imidazo[2,1-c][1,2,4]triazoles. Eur. J. Org. Chem. 2001, 12, 2257–2263. [Google Scholar]
- Ho, Y.W.; Wang, I.J. Heterocyclic Monoazo dyes derived from 3-cyano-2(1H)-pyridinethione. Part 2: 2-[[4-(Arylazo)-3,5-disubstituted-pyrazol-1-yl]carbonyl]-thieno[2,3-b]pyridine derivatives. Dye. Pigment. 1995, 29, 295–304. [Google Scholar] [CrossRef]
- Jain, R.; Shukla, A. Synthesis of some new derivatives of pyrazolin - 5 - ones. J. Ind. Chem. Soc. 1990, 67, 575–576. [Google Scholar]
- Henning, G. Pyrazolone azo dyes. CODEN: GWXXBX DE 2616981 A1 19771027 1977. [Google Scholar]
- Schmidt, P.; Druey, J. Chemotherapeutic studies in the heterocyclic series. XIV. Pyrazolo[3,4-d]pyrimidines. Helv. Chim. Acta 1956, 39, 986–991. [Google Scholar] [CrossRef]
- Ho, Y.W. Synthesis of some new azo pyrazolo[1,5-a]pyrimidine-thieno[2,3-b]pyridine derivatives and their application as disperse dyes. Dye. Pigment. 2005, 64, 223–230. [Google Scholar] [CrossRef]
- Tsai, P.C.; Wang, I.J. A facile synthesis of some new pyrazolo[1,5-a]pyrimidine heterocyclic disazo dyes and an evaluation of their solvatochromic behaviour. Dye. Pigment. 2007, 74, 578–584. [Google Scholar] [CrossRef]
- Tsai, P.C.; Wang, I.J. Synthesis and solvatochromic properties of 3,6-bis-hetarylazo dyes derived from pyrazolo[1,5-a]pyrimidine. Dye. Pigment. 2008, 76, 575–581. [Google Scholar] [CrossRef]
- Tsai, P.C.; Wang, I.J. Synthesis and solvatochromic properties of some disazo dyes derived from pyrazolo[1,5-a]pyrimidine derivatives. Dye. Pigment. 2005, 64, 259–264. [Google Scholar] [CrossRef]
- Karcı, F.; Demirçalı, A. Synthesis of disazo pyrazolo[1,5-a]pyrimidines. Dye. Pigment. 2007, 74, 288–297. [Google Scholar] [CrossRef]
- El-Kholy, Y.M.; Abdel-Hafiz, S.A.; Ahmed, S.H. Synthesis and dyeing properties of novel disperse dyes. Part 2: Pyrazole disperse dye derivatives. J. Soc. Dyers Colour. 1998, 114, 45–48. [Google Scholar]
- Haggag, K.; Hanna, H.L.; Youssef, B.M.; El-Shimy, N.S. Dyeing Polyester With Microwave Heating Using Disperse Dyestuffs. Am. Dyestuff Rep. 1995, 84, 22–35. [Google Scholar]
- El-Apasery, M.A. Solvent-Free One-Pot Synthesis of Some Azo Disperse Dyes under Microwave Irradiation: Dyeing of Polyester Fabrics. J. Appl. Poly. Sci. 2008, 109, 695–699. [Google Scholar] [CrossRef]
- El-Apasery, M.A. Synthesis of some azo disperse dyes by the use of focused microwave heating. Pol. J. Appl. Chem. 2006, 50, 75–81. [Google Scholar]
- Brecknell, D.J.; Carman, R.M.; Deeth, H.C.; Kibby, J.J. Some simple cyanoformaldehyde phenylhydrazones. Aust. J. Chem. 1969, 22, 1915–22. [Google Scholar] [CrossRef]
- El-Dusouqui, O.M.E.; Abdelkhalik, M.M.; Al-Awadi, N.A.; Dib, H.H.; George, B.J.; Elnagdi, M.H. Chemistry of 2-arylhydrazonals: utility of substituted 2-arylhydrazono-3-oxoalkanals as precursors for 3-oxoalkanonitriles, 3-aminoisoxazole and 1,2,3- and 1,2,4-triazoles. J. Chem. Res. 2006, 5, 295–302. [Google Scholar]
- Elnagdi, M.H.; Abd Allah, S.O. Reaction with the arylhydrazones of some α-cyano ketones. J. Prakt. Chem. 1973, 315, 1009–1016. [Google Scholar] [CrossRef]
- Elgemeie, G.E.H.; Fathy, N.M.; Faddah, L.M.; Ebeid, M.Y.; Elsaid, M.K. Reactions with 3,5-diaminopyrazoles: New routes to pyrazolo[1,5-a]pyrimidines. Arch. Pharm. 1991, 324, 149–152. [Google Scholar] [CrossRef]
- Sharaf, M.A.F.; Abd El-Aal, F.A.; Elgemeie, G.E.H.; El-Damaty, A.A. Reactions with diethyl acetonedicarboxylate: Novel synthesis of pyrazolo[3,4-d]pyridazine derivatives. Arch. Pharm. 1991, 324, 585–587. [Google Scholar]
- Peters, R.H.; Sumner, H.H. The affinities of vat dyes in relation to their constitutions. J. Soc. Dyers Colour. 1955, 71, 130–138. [Google Scholar]
- Andrews, B.A.K.; Blanchard, E.J.; Reinhardt, R.M. Fabric whiteness retention in durable press finishing with citric acid. Text. Chem. Color. 1993, 25, 52–54. [Google Scholar]
- Elnagdi, M.H.; Kandeel, E.M.; Zayed, E.M.; Kandil, Z.E. Pyrimidine derivatives and related compounds. VI. A novel synthesis of 3,5-diacetamidopyrazole and of 2-aminopyrazolo[1,5-a]pyrimidines. J. Heterocycl. Chem. 1977, 14, 155–157. [Google Scholar] [CrossRef]
- Chrysler, L.P. Methods of Test for Color Fastness of Textiles and Leather, 7th ed; Bradford: London, UK, 1990; pp. 89–94. [Google Scholar]
- Sample Availability: Samples of the compounds 6, 7, 10 and 15a-d are available from the authors
© 2011 by the authors; licensee MDPI, Basel, Switzerland. This article is an open access article distributed under the terms and conditions of the Creative Commons Attribution license ( http://creativecommons.org/licenses/by/3.0/).
Share and Cite
Al-Etaibi, A.M.; Al-Awadi, N.A.; El-Apasery, M.A.; Ibrahim, M.R. Synthesis of Some Novel Pyrazolo[1,5-a]pyrimidine Derivatives and Their Application as Disperse Dyes. Molecules 2011, 16, 5182-5193. https://doi.org/10.3390/molecules16065182
Al-Etaibi AM, Al-Awadi NA, El-Apasery MA, Ibrahim MR. Synthesis of Some Novel Pyrazolo[1,5-a]pyrimidine Derivatives and Their Application as Disperse Dyes. Molecules. 2011; 16(6):5182-5193. https://doi.org/10.3390/molecules16065182
Chicago/Turabian StyleAl-Etaibi, Alya M., Nouria A. Al-Awadi, Morsy A. El-Apasery, and Maher R. Ibrahim. 2011. "Synthesis of Some Novel Pyrazolo[1,5-a]pyrimidine Derivatives and Their Application as Disperse Dyes" Molecules 16, no. 6: 5182-5193. https://doi.org/10.3390/molecules16065182
APA StyleAl-Etaibi, A. M., Al-Awadi, N. A., El-Apasery, M. A., & Ibrahim, M. R. (2011). Synthesis of Some Novel Pyrazolo[1,5-a]pyrimidine Derivatives and Their Application as Disperse Dyes. Molecules, 16(6), 5182-5193. https://doi.org/10.3390/molecules16065182
