Abstract
The Plasmodium falciparum cysteine protease falcipain-2, one of the most promising targets for antimalarial drug design, plays a key role in parasite survival as a major peptide hydrolase within the hemoglobin degradation pathway. In this work, a series of novel dihydroartemisinin derivatives based on (thio)semicarbazone scaffold were designed and synthesized as potential falcipain-2 inhibitors. The in vitro biological assay indicated that most of the target compounds showed excellent inhibition activity against P. falciparum falcipain-2, with IC50 values in the 0.29–10.63 μM range. Molecular docking studies were performed to investigate the binding affinities and interaction modes for the inhibitors. The preliminary SARs were summarized and could serve as a foundation for further investigation in the development of antimalarial drugs.
1. Introduction
Malaria is the most common parasitic disease in the World. Plasmodium falciparum is the major cause of sever malaria and death and has developed resistance to most available antimalarial drugs [1]. Artemisinin (1), isolated from the Artemisia annua L., and its derivatives 2a-d (Figure 1) are effective antimalarial drugs against multidrug-resistant P. falciparum [2]. The WHO has recommended artemisinin-based combination therapies (ACTs) as first-line treatment for uncomplicated P. falciparum malarial since 2001 [3]. However, as P. falciparum resistance to artemisinin has emerged [4], development of antimalarial drugs against new targets is an urgent priority.
Figure 1.
Structures of artemisinin and its derivatives.
Among the promising new targets, P. falciparum cysteine protease falcipain-2, which plays a key role for the parasite survival as a major peptide hydrolase within the hemoglobin degradation pathway, is one of the most attractive targets for antimalarial drug design [5]. Falcipain-2 inhibitors can block parasite protein biosynthesis by preventing host hemoglobin hydrolysis [6]. Therefore, discovery of new falcipain-2 inhibitors with acceptable properties is a meaningful work.
Iron is essential for the biological activities of some plasmodial proteins and due to the metal chelating properties, the (thio)semicarbazone moiety has shown activity as a potential facipain-2 inhibitor aimed at preventing the growth of malarial parasites [7,8,9].
In this work, a series of novel dihydroartemisinin derivatives 10a-l and 12a-f were designed and synthesized by incorporating the above two biologically active scaffolds, dihydroartemisinin and (thio)semicarbazone. The in vitro biological assay was carried out against P. falciparum falcipain-2. The preliminary SARs were summarized and could benefit to the subsequent drug design process.
2. Results and Discussion
2.1. Chemistry
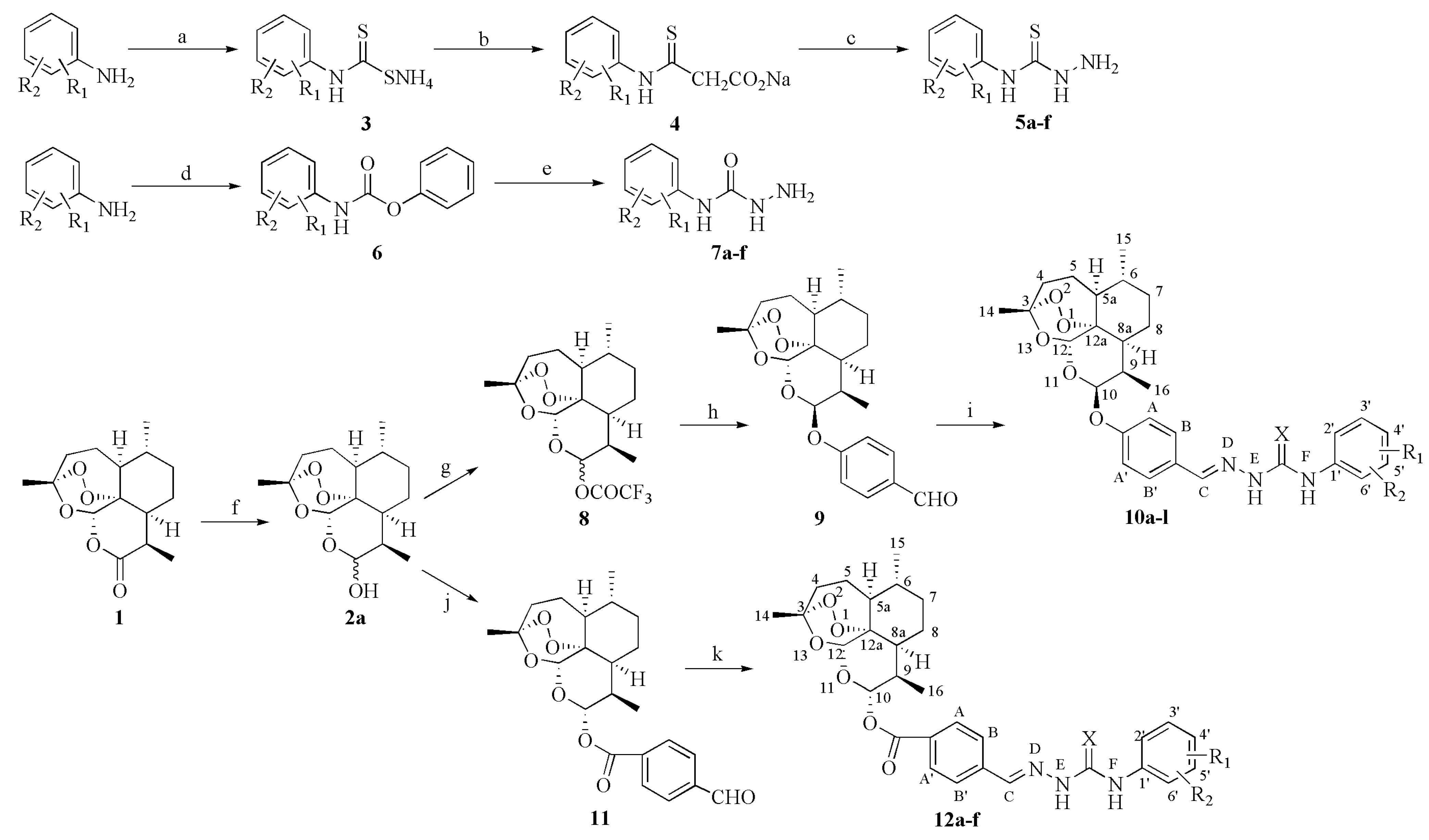
The target compounds 10a-l and 12a-f were synthesized through a general condensation procedure of 4-substituted benzaldehydes 9 and 11 with thiosemicarbazides 5a-f or semicarbazides 7a-f respectively (Scheme 1).
Scheme 1.
The synthetic routes for compounds 10a-l and 12a-f.
Compounds 9 and 11 were the key intermediates of the synthetic process. Compound 9 was synthesized by an indirect method rather than the generally direct etherification catalyzed by BF3⋅Et2O [10]. Artemisinin (1) was reduced with NaBH4 based on an effective route to dihydroartemisinin (2a) [11] which was activated by trifluoroacetic anhydride (TFAA) in the presence of Et3N to form trifluoroacetate 8. Without separation, compound 8 reacted with 4-hydroxybenzaldehyde to give compound 9 which was purified on a silica gel column. Compound 11 was synthesized directly through the esterification of dihydroartemisinin 2a and 4-formylbenzoic acid catalyzed by dicyclohexylcarbodiimide (DCC) and 4-N,N-dimethylaminopyridine (DMAP) and was also purified on a silica gel column [12]. Thiosemicarbazides 5a-f were obtained from different anilines by a literature method [13]. The anilines reacted with carbon disulphide in the presence of concentrated ammonia to yield dithiocarbamates 3. These compounds on treatment with sodium monochloroacetate followed by condensation with hydrazine hydrate gave 5a-f. Semicarbazides 7a-f were also obtained from anilines through acylation with phenyl chloroformate to give carbamates 6, which were condensed with hydrazine hydrate to yield 7a-f [14].
All the target compounds were identified as single isomers due to the configuration of compounds 9 and 11 confirmed by 1H-NMR. The configuration at C-10 was assigned based on the coupling constant between H-9 and H-10. A small coupling constant (J = 3.6 Hz) was observed in β-arteether, while a large coupling constant (J = 9.2 Hz) was observed in α-arteether [11] and a similar rule was found in dihydroartemisinin aromatic ethers in other reports [15,16]. In compounds 9 and 11, these coupling constants were 3.3 Hz and 9.6 Hz, respectively, which indicated the former was a β-isomer and the latter was an α-isomer.
2.2. Biological Assay in Vitro
The in vitro P. falciparum falcipain-2 inhibition assay against was carried out according to a previously reported method by taking N-(L-3-trans-carboxyoxiran-2-carbonyl)-L-leucyl)-amido(4-guanido)butane (E-64) as a positive control and DMSO as a negative control [17]. Falcipain-2 could hydrolyse the fluorogenic substrate benzyloxycarbonyl-Leu-Arg-7-amino-4-methylcoumarin (Z-Leu-Arg-AMC) to produce coumarin and its activity could be evaluated by monitoring the fluorescence of the coumarin. Activity of all the tested compounds is shown in Table 1.
Table 1.
Inhibition activity of compounds 10a-l and 12a-f against P. falciparum falcipain-2 in vitro.
All the tested compounds were found to be inhibitors of falcipain-2 with inhibition rates greater than 20% at 10 μM concentration level and IC50 values ranging from 0.29 to 10.63 μM. The preliminary SARs showed that the ester linker in compounds 12a-f was more effective than the ether linkers in compounds 10a-l with the same substitution on the aromatic ring (e.g., 12a and 10a) and the latter displayed equivalent efficacy between semicarbazones and thiosemicarbazones (e.g., 10e and 10k). Furthermore, in the same kind of scaffolds, the introduction of fluoro or ethoxyl groups at the C-4 position as monosubstituents on the aromatic ring could improve the activity (e.g., 12b and 10c) and among disubstituted compounds, the ones with methyl group disubstitution at the C-3 and C-5 positions on the aromatic ring presented better activities (e.g., 10k and 12e). These implications would benefit a drug design in future research.
2.3. Molecular Docking Studies
Molecular docking studies were performed to investigate the binding affinities and interaction modes for the inhibitors using AutoDock 3.05 [18]. As illustrated in Figure 2, residues Trp206, Cys42, His174, Gly82, Gly83, Leu172, Asp234 and Gln171 form a pocket for ligand binding, and the most potent compound 12c forms hydrogen bonds with Cys42 and Gly83.
Figure 2.
Proposed binding mode of compound 12c in the active site of falcipain-2.
3. Experimental
3.1. Instruments and Reagents
Melting points were taken on glass slides with X-4 digital display microscopic melting point apparatus and were presented uncorrected. 1H-NMR and 13C-NMR spectra were recorded using a Bruker ARX-300 spectrometer with CDCl3 as solvent and TMS as internal standard. Electrospray ionization mass spectra (ESIMS) were recorded on a Waters Quattro micro API. All reagents were commercially available and were used with purification as needed. Chromatography was carried on silica gel (200–300 mesh). All reactions were monitored by TLC (silica gel plates with fluorescence F254 were used).
3.2. General Procedure for the Synthesis of N4-(Substitued Phenyl)thiosemicarbazides 5a-f
To an EtOH solution (50 mL) of aniline (0.1 mol), concentrated ammonia (20 mL) was slowly added. The mixture was cooled below 20 °C and CS2 (8 mL) was added dropwise during a period of 15 min. After 1 h, sodium monochloroacetate (14 g, 0.12 mol) was added and vigorously stirred for 30 min followed by adding hydrazine hydrate (80%, 12.5 mL). After 1 h, the mixture was cooled overnight and the crude reaction mixture was filtered and recrystallized from EtOH.
3.3. General Procedure for the Synthesis of N4-(Substitued Phenyl)semicarbazides 7a-f
To a mixture of aniline (0.05 mol), pyridine (5 mL) and CH2Cl2 (30 mL), phenyl chloroformate (6.3 mL, 0.05 mol) was added dropwise under ice-water bath and reacted at room temperature for 4 h. The mixture was then evaporated under reduced pressure and the residue was poured into saturated NaCl solution for salting out. The precipitate was filtered and dried followed by refluxing in hydrazine hydrate (80%, 10 mL) for 12 h. After cooling, the crude reaction mixture was filtered and recrystallized from EtOH.
3.4. General Procedure for the Synthesis of Dihydroartemisinin (2a)
To a stirred solution of artemisinin (1, 2 g, 7.08 mmol) in CH3OH, NaBH4 (0.40 g, 10.62 mmol) was added at 0–5 °C over a period of 20 min. After being stirred for an additional 3 h under the same condition, the mixture was neutralized with glacial acetic acid while the temperature was maintained at 0–5 °C, concentrated by evaporating most CH3OH, diluted with cold water (100 mL) and stirred for 15 min at room temperature. The precipitate was collected, washed with water (100 mL × 3) and dried. Yield 97.15%, m.p. 143–145 °C.
3.5. General Procedure for the Synthesis of 4-[(10S)-Dihydroartemisinin-10-oxy]benzaldehyde N4-(substitued phenyl)(thio)semicarbazones 10a-l
To a CH2Cl2 solution (50 mL) of dihydroartemisinin (2a, 11.36 g, 40 mmol) and triethylamine (11.08 mL, 80 mmol), TFAA (11.12 mL, 80 mmol) in CH2Cl2 (30 mL) was added dropwise at −5–0 °C. After 1 d, 4-hydroxylbenzaldehyde (9.76 g, 80 mmol) was added and stirred for 12 h at the same temperature. The reaction solution was quenched with saturated NaHCO3 solution and washed by saturated NaHCO3 solution (50 mL × 5) and water (50 mL × 5), respectively. The organic layer was dried (Na2SO4) and concentrated in vacuo. The residue was purified on silica gel column with petroleum ether/ethyl acetate (8:1) to afford 9. Yield 40.29%, m.p. 88–90 °C. MS (ESI) m/z: 411 (M+Na); 1H-NMR (300 MHz, CDCl3) δ: 0.97 (3H, d, J = 6.0 Hz, 16-CH3), 1.03 (3H, d, J = 7.2 Hz, 15-CH3), 1.45 (3H, s, 14-CH3), 2.34–2.44 (1H, m, 4-H), 2.83–2.88 (1H, m, 9-H), 5.44 (1H, s, 12-H), 5.62 (1H, d, J = 3.3 Hz, 10-H), 7.23 (2H, d, J = 8.7 Hz, AA’-2H), 7.84 (2H, d, J = 8.7 Hz, BB’-2H), 9.90 (1H, s, C-H); 13C-NMR (75 MHz, CDCl3) δ: 191.17, 162.65, 132.20, 131.03, 116.95, 104.63, 100.40, 88.65, 81.11, 52.74, 44.52, 37.69, 36.57, 34.85, 31.10, 26.29, 24.88, 24.67, 20.56, 13.13. Equimolar quantities of 9 (2 mmol) and 5a-f (2 mmol) or 7a-f (2 mmol) was dissolved in EtOH (20 mL) catalyzed by glacial acetic acid (3 drops) and stirred for 2 h at room temperature. The precipitate was filtered and purified on silica gel column with petroleum ether/ethyl acetate (3:1) to afford 10a-f or with CH2Cl2/CH3OH (80:1) to afford 10g-l.
4-[(10S)-Dihydroartemisinin-10-oxy]benzaldehyde N4-(2-fluorophenyl)thiosemicarbazone (10a). Yield 19.90%, m.p. 108–109 °C. MS (ESI) m/z: 556 (M+H); 1H-NMR (300 MHz, CDCl3) δ: 0.97 (3H, d, J = 6.0 Hz, 16-CH3), 1.03 (3H, d, J = 7.2 Hz, 15-CH3), 1.45 (3H, s, 14-CH3), 2.34–2.44 (1H, m, 4-H), 2.82–2.87 (1H, m, 9-H), 5.47 (1H, s, 12-H), 5.57 (1H, d, J = 3.0 Hz, 10-H), 7.16 (2H, d, J = 8.7 Hz, AA’-2H), 7.63 (2H, d, J = 9.0 Hz, BB’-2H), 7.84 (1H, s, C-H), 9.37 (1H, s, E-H), 9.53 (1H, s, F-H); 13C-NMR (75 MHz, CDCl3) δ: 176.32, 159.78, 143.30, 136.74, 134.31, 130.96, 129.30, 127.53, 127.22, 126.77, 117.25, 104.63, 100.58, 88.63, 81.25, 52.79, 44.61, 37.72, 36.63, 34.90, 31.21, 26.36, 24.92, 24.73, 20.62, 13.22.
4-[(10S)-Dihydroartemisinin-10-oxy]benzaldehyde N4-(4-fluorophenyl)thiosemicarbazone (10b). Yield 42.29%, m.p. 117–118 °C. MS (ESI) m/z: 556 (M+H); 1H-NMR (300 MHz, CDCl3) δ: 0.97 (3H, d, J = 6.0 Hz, 16-CH3), 1.03 (3H, d, J = 7.2 Hz, 15-CH3), 1.44 (3H, s, 14-CH3), 2.34–2.44 (1H, m, 4-H), 2.82-2.87 (1H, m, 9-H), 5.46 (1H, s, 12-H), 5.57 (1H, d, J = 3.0 Hz, 10-H), 7.16 (2H, d, J = 8.7 Hz, AA’-2H), 7.62 (2H, d, J = 9.0 Hz, BB’-2H), 7.85 (1H, s, C-H), 9.07 (1H, s, E-H), 9.68 (1H, s, F-H); 13C-NMR (75 MHz, CDCl3) δ: 175.82, 159.98, 143.54, 136.74, 131.76, 129.45, 129.17, 126.81, 126.11, 117.28, 104.64, 100.57, 88.64, 81.23, 52.78, 44.60, 37.73, 36.62, 34.90, 31.20, 26.35, 24.92, 24.74, 20.60, 13.20.
4-[(10S)-Dihydroartemisinin-10-oxy]benzaldehyde N4-(4-ethoxyphenyl)thiosemicarbazone (10c). Yield 31.80%, m.p. 114–116 °C. MS (ESI) m/z: 580 (M-H); 1H-NMR (300 MHz, CDCl3) δ: 0.96 (3H, d, J = 6.0 Hz, 16-CH3), 1.02 (3H, d, J = 7.2 Hz, 15-CH3), 1.44 (3H, s, 14-CH3), 2.33–2.44 (1H, m, 4-H), 2.81–2.86 (1H, m, 9-H), 4.05 (2H, q, J = 6.9 Hz, 4’-OCH2CH3), 5.46 (1H, s, 12-H), 5.55 (1H, d, J = 3.3 Hz, 10-H), 7.14 (2H, d, J = 8.7 Hz, AA’-2H), 7.60 (2H, d, J = 8.7 Hz, BB’-2H), 7.91 (1H, s, C-H), 9.02 (1H, s, E-H), 10.25 (1H, s, F-H); 13C-NMR (75 MHz, CDCl3) δ: 176.53, 159.79, 158.31, 143.24, 131.07, 129.34, 127.22, 117.22, 114.34, 104.62, 100.57, 88.62, 81.25, 55.77, 52.79, 44.62, 37.72, 36.63, 34.90, 31.21, 26.35, 24.92, 24.73, 20.60, 19.33, 13.20.
4-[(10S)-Dihydroartemisinin-10-oxy]benzaldehyde N4-(2,5-dimethylphenyl)thiosemicarbazone (10d). Yield 38.00%, m.p. 120–122 °C. MS (ESI) m/z: 566 (M+H); 1H-NMR (300 MHz, CDCl3) δ: 0.96 (3H, d, J = 5.7 Hz, 16-CH3), 1.02 (3H, d, J = 7.2 Hz, 15-CH3), 1.44 (3H, s, 14-CH3), 2.32 (3H, s, 2’-CH3), 2.37 (3H, s, 5’-CH3), 2.81–2.86 (1H, m, 9-H), 5.46 (1H, s, 12-H), 5.55 (1H, d, J = 3.3 Hz, 10-H), 7.14 (2H, d, J = 8.7 Hz, AA’-2H), 7.60 (2H, d, J = 8.7 Hz, BB’-2H), 7.90 (1H, s, C-H), 8.93 (1H, s, E-H), 10.13 (1H, s, F-H); 13C-NMR (75 MHz, CDCl3) δ: 176.91, 159.74, 143.29, 137.45, 134.48, 134.14, 131.69, 129.28, 127.64, 127.47, 127.29, 117.23, 104.62, 100.59, 88.62, 81.24, 52.79, 44.63, 37.72, 36.64, 34.92, 31.21, 26.36, 24.92, 24.74, 21.42, 20.61, 18.28, 13.21.
4-[(10S)-Dihydroartemisinin-10-oxy]benzaldehyde N4-(3,5-dimethylphenyl)thiosemicarbazone (10e). Yield 16.19%, m.p. 125–127 °C. MS (ESI) m/z: 566 (M+H); 1H-NMR (CDCl3) δ: 0.97 (3H, d, J = 5.7 Hz, 16-CH3), 1.03 (3H, d, J = 7.2 Hz, 15-CH3), 1.44 (3H, s, 14-CH3), 2.35 (6H, s, 3’-CH3, 5’-CH3), 2.81–2.86 (1H, m, 9-H), 5.46 (1H, s, 12-H), 5.56 (1H, d, J = 3.3 Hz, 10-H), 7.16 (2H, d, J = 8.7 Hz, AA’-2H), 7.61 (2H, d, J = 8.7 Hz, BB’-2H), 7.80 (1H, s, C-H), 9.08 (1H, s, E-H), 9.38 (1H, s, F-H); 13C-NMR (75 MHz, CDCl3) δ: 176.56, 159.77, 143.10, 137.43, 135.80, 135.15, 130.18, 129.32, 127.19, 126.46, 122.87, 117.23, 104.62, 100.58, 88.61, 81.24, 52.80, 44.62, 37.72, 36.64, 34.91, 31.21, 27.21, 26.35, 24.92, 24.73, 20.60, 19.68, 13.20.
4-[(10S)-Dihydroartemisinin-10-oxy]benzaldehyde N4-(3-chloro-2-methylphenyl)thiosemicarbazone (10f). Yield 26.44%, m.p. 150–152 °C. MS (ESI) m/z: 584 (M-H); 1H-NMR (CDCl3) δ: 0.97 (3H, d, J = 6.0 Hz, 16-CH3), 1.03 (3H, d, J = 7.2 Hz, 15-CH3), 1.44 (3H, s, 14-CH3), 2.39 (3H, s, 2’-CH3), 2.81–2.86 (1H, m, 9-H), 5.46 (1H, s, 12-H), 5.56 (1H, d, J = 3.3 Hz, 10-H), 7.15 (2H, d, J = 8.7 Hz, AA’-2H), 7.61 (2H, d, J = 8.7 Hz, BB’-2H), 7.89 (1H, s, C-H), 8.95 (1H, s, E-H), 10.00 (1H, s, F-H); 13C-NMR (75 MHz, CDCl3) δ: 177.06, 159.74, 143.29, 138.08, 136.65, 133.88, 129.28, 127.32, 126.04, 117.22, 104.62, 100.58, 88.62, 81.25, 52.79, 44.62, 37.72, 36.64, 34.91, 31.21, 26.36, 24.93, 24.74, 20.84, 20.62, 14.33, 13.22.
4-[(10S)-Dihydroartemisinin-10-oxy]benzaldehyde N4-(2-fluorophenyl)semicarbazone (10g). Yield 72.28%, m.p. 175–177 °C. MS (ESI) m/z: 538 (M-H); 1H-NMR (CDCl3) δ: 0.97 (3H, d, J = 6.0 Hz, 16-CH3), 1.04 (3H, d, J = 7.5 Hz, 15-CH3), 1.45 (3H, s, 14-CH3), 2.34–2.45 (1H, m, 4-H), 2.81–2.86 (1H, m, 9-H), 5.48 (1H, s, 12-H), 5.56 (1H, d, J = 3.3 Hz, 10-H), 7.16 (2H, d, J = 8.7 Hz, AA’-2H), 7.61 (2H, d, J = 8.7 Hz, BB’-2H), 7.77 (1H, s, C-H), 8.49 (1H, s, E-H), 8.98 (1H, s, F-H); 13C-NMR (75 MHz, CDCl3) δ: 159.21, 154.37, 141.72, 136.54, 130.66, 128.57, 128.05, 128.00, 127.17, 124.02, 121.44, 117.25, 104.60, 100.69, 88.63, 81.26, 52.82, 44.66, 37.73, 36.65, 34.93, 31.25, 26.39, 24.94, 24.75, 20.63, 13.25.
4-[(10S)-Dihydroartemisinin-10-oxy]benzaldehyde N4-(4-fluorophenyl)semicarbazone (10h). Yield 44.63%, m.p. 124–126 °C. MS (ESI) m/z: 538 (M-H); 1H-NMR (CDCl3) δ: 0.97 (3H, d, J = 6.0 Hz, 16-CH3), 1.04 (3H, d, J = 7.5 Hz, 15-CH3), 1.45 (3H, s, 14-CH3), 2.34-2.45 (1H, m, 4-H), 2.82–2.87 (1H, m, 9-H), 5.48 (1H, s, 12-H), 5.56 (1H, d, J = 3.0 Hz, 10-H), 7.16 (2H, d, J = 8.7 Hz, AA’-2H), 7.59 (2H, d, J = 8.7 Hz, BB’-2H), 7.74 (1H, s, C-H), 8.08 (1H, s, E-H), 8.76 (1H, s, F-H); 13C-NMR (75 MHz, CDCl3) δ: 159.27, 154.12, 142.40, 136.95, 129.28, 128.78, 127.72, 121.17, 117.20, 104.61, 100.63, 88.62, 81.26, 52.81, 44.64, 37.73, 36.64, 34.92, 31.24, 26.37, 24.94, 24.74, 20.61, 13.23.
4-[(10S)-Dihydroartemisinin-10-oxy]benzaldehyde N4-(4-ethoxyphenyl)semicarbazone (10i). Yield 52.15%, m.p. 158–159 °C. MS (ESI) m/z: 564 (M-H); 1H-NMR (CDCl3) δ: 0.97 (3H, d, J = 5.7 Hz, 16-CH3), 1.04 (3H, d, J = 7.2 Hz, 15-CH3), 1.42 (3H, t, J = 7.2 Hz, 4’-OCH2CH3), 1.45 (3H, s, 14-CH3), 2.34–2.44 (1H, m, 4-H), 2.81–2.86 (1H, m, 9-H), 4.03 (2H, q, J = 6.9 Hz, 4’-OCH2CH3), 5.48 (1H, s, 12-H), 5.55 (1H, d, J = 3.3 Hz, 10-H), 7.15 (2H, d, J = 8.7 Hz, AA’-2H), 7.58 (2H, d, J = 8.7 Hz, BB’-2H), 7.73 (1H, s, C-H), 7.97 (1H, s, E-H), 8.81 (1H, s, F-H); 13C-NMR (75 MHz, CDCl3) δ: 159.18, 156.34, 154.57, 141.83, 131.32, 128.66, 128.03, 122.24, 117.15, 114.53, 104.58, 100.64, 88.60, 81.27, 55.82, 52.81, 44.66, 37.72, 36.65, 34.93, 31.25, 26.37, 24.93, 24.74, 20.61, 19.50, 13.23.
4-[(10S)-Dihydroartemisinin-10-oxy]benzaldehyde N4-(2,5-dimethylphenyl)semicarbazone (10j). Yield 80.05%, m.p. 172–173 °C. MS (ESI) m/z: 548 (M-H); 1H-NMR (CDCl3) δ: 0.97 (3H, d, J = 5.7 Hz, 16-CH3), 1.03 (3H, d, J = 7.2 Hz, 15-CH3), 1.45 (3H, s, 14-CH3), 2.33 (3H, s, 2’-CH3), 2.36 (3H, s, 5’-CH3), 2.81–2.86 (1H, m, 9-H), 5.48 (1H, s, 12-H), 5.55 (1H, d, J = 3.3 Hz, 10-H), 7.16 (2H, d, J = 8.7 Hz, AA’-2H), 7.57 (2H, d, J = 8.7 Hz, BB’-2H), 7.76 (1H, s, C-H), 8.12 (1H, s, E-H), 8.95 (1H, s, F-H); 13C-NMR (75 MHz, CDCl3) δ: 159.15, 154.62, 141.61, 133.83, 131.36, 128.57, 127.63, 122.14, 117.22, 104.59, 100.70, 88.62, 81.26, 52.83, 44.67, 37.72, 36.65, 34.95, 31.25, 26.38, 24.74, 21.12, 20.62, 18.34, 13.24.
4-[(10S)-Dihydroartemisinin-10-oxy]benzaldehyde N4-(3,5-dimethylphenyl)semicarbazone (10k). Yield 84.60%, m.p. 169–171 °C. MS (ESI) m/z: 548 (M-H); 1H-NMR (CDCl3) δ: 0.97 (3H, d, J = 6.0 Hz, 16-CH3), 1.04 (3H, d, J = 7.2 Hz, 15-CH3), 1.45 (3H, s, 14-CH3), 2.33 (6H, s, 3’-CH3, 5’-CH3), 2.81–2.86 (1H, m, 9-H), 5.48 (1H, s, 12-H), 5.56 (1H, d, J = 3.3 Hz, 10-H), 7.16 (2H, d, J = 8.7 Hz, AA’-2H), 7.59 (2H, d, J = 8.7 Hz, BB’-2H), 7.76 (1H, s, C-H), 8.05 (1H, s, E-H), 9.01 (1H, s, F-H); 13C-NMR (75 MHz, CDCl3) δ: 159.19, 154.33, 141.79, 137.44, 135.94, 132.01, 130.30, 128.67, 128.04, 121.58, 117.71, 117.17, 104.59, 100.67, 88.60, 81.27, 52.83, 44.67, 37.73, 36.66, 34.94, 31.26, 26.37, 24.94, 24.75, 20.61, 20.24, 19.03, 13.23.
4-[(10S)-Dihydroartemisinin-10-oxy]benzaldehyde N4-(3-chloro-2-methylphenyl)semicarbazone (10l). Yield 92.97%, m.p. 177–179 °C. MS (ESI) m/z: 568 (M-H); 1H-NMR (CDCl3) δ: 0.97 (3H, d, J = 5.7 Hz, 16-CH3), 1.03 (3H, d, J = 7.5 Hz, 15-CH3), 1.45 (3H, s, 14-CH3), 2.81–2.86 (1H, m, 9-H), 5.48 (1H, s, 12-H), 5.56 (1H, d, J = 3.3 Hz, 10-H), 7.57 (2H, d, J = 8.7 Hz, BB’-2H), 7.76 (1H, s, C-H), 8.20 (1H, s, E-H), 8.98 (1H, s, F-H); 13C-NMR (75 MHz, CDCl3) δ: 159.15, 154.79, 141.71, 137.49, 136.14, 128.56, 128.24, 126.43, 126.24, 120.86, 117.21, 104.59, 100.69, 88.62, 81.26, 52.83, 44.67, 37.73, 36.66, 34.94, 31.25, 26.38, 24.94, 24.74, 21.03, 20.62, 13.73, 13.24.
3.6. General Procedure for the Synthesis of 4-[(10S)dihydroartemisinin-10-oxycarbonyl]benzaldehyde N4-(substitued phenyl)semicarbazones 12a-f
To a CH2Cl2 solution (100 mL) of dihydroartemisinin (2a, 11.36 g, 40 mmol) and 4-formylbenzoic acid (7.21 g, 48 mmol), DCC (9.90 g, 48 mmol) and DMAP (1.47 g, 12 mmol) were added at 0–5 °C for 1 h. After 1 d reaction at room temperature, the mixture was filtered and filtrate was concentrated in vacuo. The residue was purified on silica gel column with petroleum ether/ethyl acetate (6:1) to afford 11. Yield 40.46 %, m.p. 81–82 °C. MS (ESI) m/z: 439 (M+Na); 1H-NMR (CDCl3) δ: 0.94 (3H, d, J = 7.2 Hz, 16-CH3), 0.99 (3H, d, J = 5.7 Hz, 15-CH3), 1.43 (3H, s, 14-CH3), 2.35–2.45 (1H, m, 4-H), 2.74–2.81 1H, m, 9-H), 5.54 (1H, s, 12-H), 6.03 (1H, d, J = 9.6 Hz, 10-H), 7.97 (2H, d, J = 8.1 Hz, AA’-2H), 8.28 (2H, d, J = 8.1 Hz, BB’-2H), 10.12 (1H, s, C-H); 13C-NMR (75 MHz, CDCl3) δ: 190.89, 168.31, 162.30, 133.17, 117.52, 104.61, 100.73, 88.56, 81.13, 52.69, 44.62, 37.70, 36.63, 34.89, 31.10, 26.34, 24.72, 23.67, 20.60, 13.11. Equimolar quantities of 11 (2 mmol) and 7a-f (2 mmol) was dissolved in EtOH (20 mL) catalyzed by glacial acetic acid (3 drops) and stirred for 2 h at room temperature. The precipitate was filtered and purified on silica gel column with CH2Cl2/CH3OH (80:1) to afford 12a-f.
4-[(10S)-Dihydroartemisinin-10-oxycarbonyl]benzaldehyde N4-(2-fluorophenyl)semicarbazone (12a). Yield 17.62%, m.p. 145–147 °C. MS (ESI) m/z: 590 (M+Na); 1H-NMR (CDCl3) δ: 0.94 (3H, d, J = 7.2 Hz, 16-CH3), 0.99 (3H, d, J = 5.7 Hz, 15-CH3), 1.44 (3H, s, 14-CH3), 2.35–2.46 (1H, m, 4-H), 2.74–2.81 (1H, m, 9-H), 5.55 (1H, s, 12-H), 6.02 (1H, d, J = 9.9 Hz, 10-H), 7.72 (2H, d, J = 8.4 Hz, AA’-2H), 7.89 (1H, s, C-H), 8.14 (2H, d, J = 8.4 Hz, BB’-2H), 8.20 (1H, s, E-H), 9.46 (1H, s, F-H); 13C-NMR (75 MHz, CDCl3) δ: 166.32, 158.65, 154.63, 142.01, 136.62, 130.66, 128.63, 128.14, 128.03, 127.22, 124.03, 121.35, 117.33, 104.62, 100.70, 88.45, 81.27, 52.80, 44.51, 37.67, 36.73, 34.89, 31.20, 36.37, 24.90, 24.71, 20.59, 13.12.
4-[(10S)-Dihydroartemisinin-10-oxycarbonyl]benzaldehyde N4-(4-fluorophenyl)semicarbazone (12b). Yield 81.92%, m.p. 139–141 °C. MS (ESI) m/z: 590 (M+Na); 1H-NMR (CDCl3) δ: 0.93 (3H, d, J = 7.2 Hz, 16-CH3), 0.99 (3H, d, J = 5.7 Hz, 15-CH3), 1.43 (3H, s, 14-CH3), 2.35–2.45 (1H, m, 4-H), 2.73–2.81 (1H, m, 9-H), 5.55 (1H, s, 12-H), 6.02 (1H, d, J = 9.9 Hz, 10-H), 7.71 (2H, d, J = 8.4 Hz, AA’-2H), 7.91 (1H, s, C-H), 8.12 (2H, d, J = 8.1 Hz, BB’-2H), 8.13 (1H, s, E-H), 9.99 (1H, s, F-H); 13C-NMR (75 MHz, CDCl3) δ: 166.02, 159.32, 154.34, 142.36, 136.89, 129.33, 128.78, 128.91, 121.20, 117.15, 104.61, 100.60, 88.63, 81.32, 52.77, 44.56, 37.73, 36.55, 34.90, 31.22, 26.41, 24.91, 24.70, 20.62, 13.16.
4-[(10S)-Dihydroartemisinin-10-oxycarbonyl]benzaldehyde N4-(4-ethoxyphenyl)semicarbazone (12c). Yield 42.11%, m.p. 152–153 °C. MS (ESI) m/z: 616 (M+Na); 1H-NMR (CDCl3) δ: 0.93 (3H, d, J = 7.2 Hz, 16-CH3), 0.98 (3H, d, J = 5.1 Hz, 15-CH3), 1.43 (3H, s, 14-CH3), 2.35–2.45 (1H, m, 4-H), 2.73–2.80 (1H, m, 9-H), 4.04 (2H, q, J = 6.9 Hz, 4’-OCH2CH3), 5.54 (1H, s, 12-H), 6.01 (1H, d, J = 9.6 Hz, 10-H), 7.70 (2H, d, J = 8.1 Hz, AA’-2H), 7.90 (1H, s, C-H), 8.03 (1H, s, E-H), 8.12 (2H, d, J = 8.1 Hz, BB’-2H), 10.11 (1H, s, F-H); 13C-NMR (75 MHz, CDCl3) δ: 166.87, 159.52, 154.62, 142.78, 131.31, 128.70, 128.03, 122.17, 117.22, 114.51, 104.59, 100.60, 88.56, 81.32, 55.83, 52.79, 44.65, 37.71, 36.63, 34.90, 31.21, 26.36, 24.90, 24.72, 20.60, 19.45, 13.21.
4-[(10S)-Dihydroartemisinin-10-oxycarbonyl]benzaldehyde N4-(2,5-dimethylphenyl)semicarbazone (12d). Yield 85.69%, m.p. 155–156 °C. MS (ESI) m/z: 600 (M+Na); 1H-NMR (CDCl3) δ: 0.94 (3H, d, J = 7.2 Hz, 16-CH3), 0.99 (3H, d, J = 5.7 Hz, 15-CH3), 1.43 (3H, s, 14-CH3), 2.73–2.80 (1H, m, 9-H), 5.54 (1H, s, 12-H), 6.02 (1H, d, J = 9.6 Hz, 10-H), 7.67 (2H, d, J = 8.4 Hz, AA’-2H), 7.89 (1H, s, C-H), 8.11 (1H, s, E-H), 8.13 (2H, d, J = 8.4 Hz, BB’-2H), 9.68 (1H, s, F-H); 13C-NMR (75 MHz, CDCl3) δ: 167.14, 159.02, 154.61, 141.70, 134.23, 131.41, 128.48, 127.55, 121.11, 117.20, 104.62, 100.60, 88.56, 81.31, 52.78, 44.72, 37.66, 36.69, 34.90, 31.24, 26.42, 24.67, 21.10, 18.33, 13.21.
4-[(10S)-Dihydroartemisinin-10-oxycarbonyl]benzaldehyde N4-(3,5-dimethylphenyl)semicarbazone (12e). Yield 63.18%, m.p. 154–155 °C. MS (ESI) m/z: 600 (M+Na); 1H-NMR (CDCl3) δ: 0.93 (3H, d, J = 7.2 Hz, 16-CH3), 0.98 (3H, d, J = 5.7 Hz, 15-CH3), 1.43 (3H, s, 14-CH3), 2.73–2.80 (1H, m, 9-H), 5.54 (1H, s, 12-H), 6.01 (1H, d, J = 9.9 Hz, 10-H), 7.68 (2H, d, J = 8.4 Hz, AA’-2H), 7.93 (1H, s, C-H), 8.08 (1H, s, E-H), 8.11 (2H, d, J = 8.4 Hz, BB’-2H), 10.06 (1H, s, F-H); 13C-NMR (75 MHz, CDCl3) δ: 167.71, 159.22, 154.31, 141.77, 134.90, 132.01, 130.86, 128.66, 128.02, 121.56, 117.71, 117.20, 104.61, 100.68, 88.61, 81.32, 52.80, 44.73, 37.67, 36.70, 34.86, 31.20, 26.43, 24.91, 24.73, 20.60, 20.16, 19.21, 13.21.
4-[(10S)-Dihydroartemisinin-10-oxycarbonyl]benzaldehyde N4-(3-chloro-2-methylphenyl)semicarbaz-one (12f). Yield 63.54%, m.p. 173–174 °C. MS (ESI) m/z: 620 (M+Na); 1H-NMR (CDCl3) δ: 0.94 (3H, d, J = 6.9 Hz, 16-CH3), 0.98 (3H, d, J = 5.7 Hz, 15-CH3), 1.43 (3H, s, 14-CH3), 2.73–2.80 (1H, m, 9-H), 5.54 (1H, s, 12-H), 6.01 (1H, d, J = 9.9 Hz, 10-H), 7.67 (2H, d, J = 8.4 Hz, AA’-2H), 7.92 (1H, s, C-H), 8.12 (2H, d, J = 8.1 Hz, BB’-2H), 8.21 (1H, s, E-H), 10.19 (1H, s, F-H); 13C-NMR (75 MHz, CDCl3) δ: 166.32, 159.14, 154.81, 141.68, 137.11, 136.10, 128.61, 128.15, 126.42, 126.21, 120.94, 117.20, 104.56, 100.72, 88.61, 81.26, 52.80, 44.66, 37.70, 36.74, 34.92, 31.31, 26.42, 24.89, 24.70, 21.01, 20.64, 13.71, 13.20.
3.7. Inhibition Assays
Recombinant falcipain-2 (30 nM) was incubated for 30 min at room temperature in 100 mM NaOAc, pH 5.5, 10 mM dithiothreitol (DTT), with different concentrations of 10a-l and 12a-f. These solutions were prepared from stock in DMSO (maximum concentration of DMSO in the assay was 1%). After incubation, the substrate Z-Leu-Arg-AMC with the same buffer was added to a final concentration of 25 μM. The increase in fluorescence (excitation at 355 nm and emission at 460 nm) was monitored for 30 min at room temperature with an automated microplate spectrofluorimeter (Biotek, Synergy 2). IC50 values were determined from plots of percent activity over compound concentration using the GraphPad Prism software if inhibition rates were larger than 20% at 10 μM concentration level.
4. Conclusions
In conclusion, a total of 18 dihydroartemisinin derivatives, 10a-l and 12a-f, were synthesized from the natural product artemisinin (1) and anilines through simplified procedures. All target compounds were obtained as single isomers as confirmed by 1H-NMR through the key intermediates 9 and 11. The biological evaluation and molecular docking studies indicated that this new class of dihydroartemisinin derivatives could be identified as potential falcipain-2 inhibitors and the preliminary SARs could serve as a foundation for further investigation of antimalarial drugs.
Acknowledgements
This work was supported by the National Science & Technology Key Specific Project for Significant Creation of New Drugs (2009ZX09301-012).
References and Notes
- Begue, J.P.; Bonnet, D.D. The future of antimalarials: Artemisinin and synthetic endoperoxides. Drugs Future 2005, 30, 509–518. [Google Scholar] [CrossRef]
- Klayman, D.L. Qinghaosu (artemisinin): An antimalarial drug from China. Science 1985, 228, 1049–1055. [Google Scholar] [CrossRef] [PubMed]
- World Health Organization (WHO). Global Report on Antimalarial Efficacy and Drug Resistance: 2000-2010; WHO: Geneva, Switzerland, 2010; http://whqlibdoc.who.int/publications/2010/97892415-00470_eng.pdf (accessed on 24 February 2011).
- World Health Organization (WHO). Global Plan for Artemisinin Resistance Containment (GPARC); WHO: Geneva, Switzerland, 2011; http://www.who.int/malaria/publications/atoz/artemisinin_resistance _containment_2011.pdf (accessed on 29 April 2011).
- Ettari, R.; Bova, F.; Zappala, M.; Grasso, S.; Micale, N. Falcipain-2 inhibitors. Med. Res. Rev. 2010, 30, 136–137. [Google Scholar] [CrossRef] [PubMed]
- Rosenthal, P.J.; Sijwali, P.S.; Singh, A.; Shenai, B.R. Cysteine proteases of malaria parasites: Targets for chemotherapy. Curr. Pharm. Des. 2002, 8, 1659–1672. [Google Scholar] [CrossRef] [PubMed]
- Klayman, D.L.; Bartosevich, J.F.; Griffin, T.S.; Mason, C.J.; Scovill, J.P. 2-Acetylpyridine thiosemicarbazones. 1. A new class of potential antimalarial agents. J. Med. Chem. 1979, 22, 855–862. [Google Scholar] [CrossRef] [PubMed]
- Chipeleme, A.; Gut, J.; Rosenthal, P.J.; Chibale, K. Synthesis and biological evaluation of phenolic Mannich bases of benzaldehyde and (thio)semicarbazone derivatives against the cystein protease falcipain-2 and a chloroquine resistant strain of Plasmodium falciparum. Bioorg. Med. Chem. 2007, 15, 273–282. [Google Scholar] [CrossRef] [PubMed]
- Walcourt, A.; Loyevsky, M.; Lovejoy, D.B.; Gordeuk, V.R.; Richardson, D.R. Novel aroylhydrazone and thiosemicarbazone iron chelators with anti-malarial activity against chloroquine-resistant and -sensitive parasites. Int. J. Biochem. Cell Biol. 2004, 36, 401–407. [Google Scholar] [CrossRef]
- Liang, J.; Li, Y. Synthesis of the aryl ether derivatives of artemisinin. Chin. J. Med. Chem. 1996, 6, 22–25. [Google Scholar]
- Brossi, A.; Venugopalan, B.; Dominguez, G.L.; Yeh, H.J.C.; Flippen, A.J.L.; Buchs, P.; Luo, X.D.; Milhous, W.; Peters, W. Arteether, a new antimalarial drug: Synthesis and antimalarial properties. J. Med. Chem. 1988, 31, 645–650. [Google Scholar] [CrossRef] [PubMed]
- Li, Y.; Yu, P.L.; Chen, Y.X.; Ji, R.Y. Study on analogs of artemisinin II. The synthesis of some carboxylic esters and carbonates of dihydroarteannuin by using 4-(N,N-dimethylamino)pyridine as an active acylation catalyst. Acta Chim. Sinica 1982, 40, 557–561. [Google Scholar]
- Dimri, A.K.; Parmar, S.S. Synthesis of 3-aryl-4-oxothiazolin-2-yl-(4-ethoxy-3-methoxy)phenyl hydrazones as possible anticonvulsants. J. Heterocycl. Chem. 1978, 15, 335–336. [Google Scholar] [CrossRef]
- Thirumurugan, R.; Sriram, D.; Saxena, A.; Stables, J.; Yogeeswari, P. 2,4-Dimethoxyphenylsemicarbazones with anticonvulsant activity against three animal models of seizures: Synthesis and pharmacological evaluation. Bioorg. Med. Chem. 2006, 14, 3106–3112. [Google Scholar] [CrossRef] [PubMed]
- O’Neil, P.M.; Miller, A.; Bishop, L.P.D.; Hindley, S.; Maggs, J.L.; Ward, S.A.; Roberts, S.M.; Scheinmann, F.; Stachulski, A.K.; Posner, G.H.; Park, B.K. Synthesis, antimalarial activity, biomimetic iron(II) chemistry, and in vivo metabolism of novel, potent C-10-phenoxy derivatives of dihydroartemisinin. J. Med. Chem. 2001, 44, 58–68. [Google Scholar] [CrossRef]
- Yang, Z.S.; Zhou, W.L.; Sui, Y.; Wang, J.X.; Wu, J.M.; Zhou, Y.; Zhang, Y.; He, P.L.; Han, J.Y.; Tang, W.; Li, Y.; Zuo, J.P. Synthesis and immunosuppressive activity of new artemisinin derivatives. Part I. [12(β or α)-dihydroartemisininoxy]phen(ox)yl aliphatic acids/esters. J. Med. Chem. 2005, 48, 4608–4617. [Google Scholar] [CrossRef] [PubMed]
- Shenai, B.R.; Sijwali, P.S.; Singh, A.; Rosenthal, P.J. Characterization of native and recombinant falcipain-2, a principal trophozoite cysteine protease and essential hemoglobinase of plasmodium falciparum. J. Biol. Chem. 2000, 275, 29000–29010. [Google Scholar] [CrossRef] [PubMed]
- Morris, G.M.; Goodsell, D.S.; Halliday, R.S.; Huey, R.; Hart, W.E.; Belew, R.K.; Olson, A.J. Automated docking using a Lamarckian genetic algorithm and an empirical binding free energy function. J. Comput. Chem. 1998, 19, 1639–1662. [Google Scholar] [CrossRef]
Sample Availability: Samples of the compounds 9, 11, 10a-l and 12a-f are available from the authors. |
© 2011 by the authors; licensee MDPI, Basel, Switzerland. This article is an open access article distributed under the terms and conditions of the Creative Commons Attribution license (http://creativecommons.org/licenses/by/3.0/).


