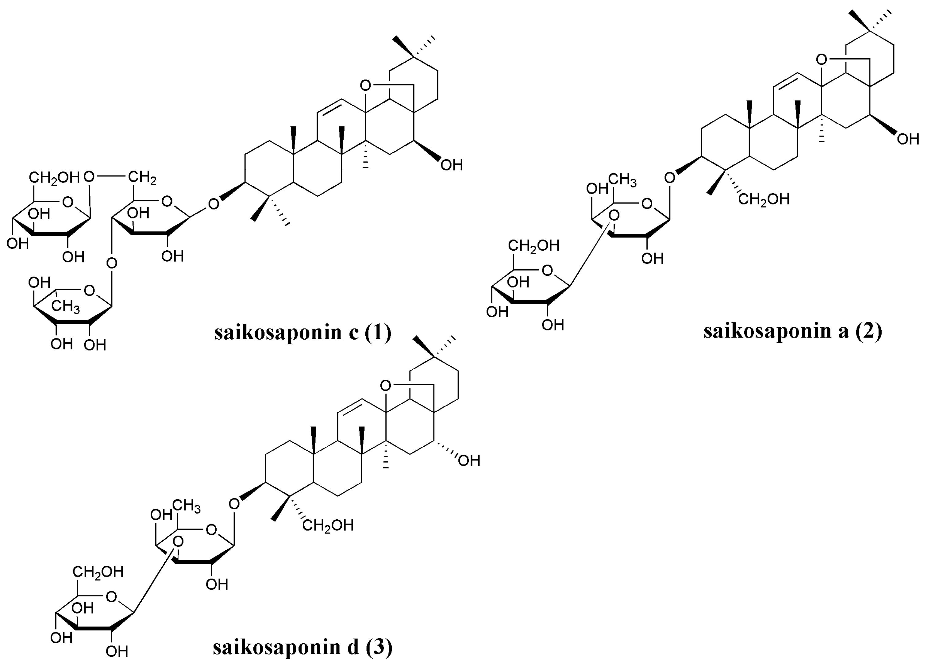
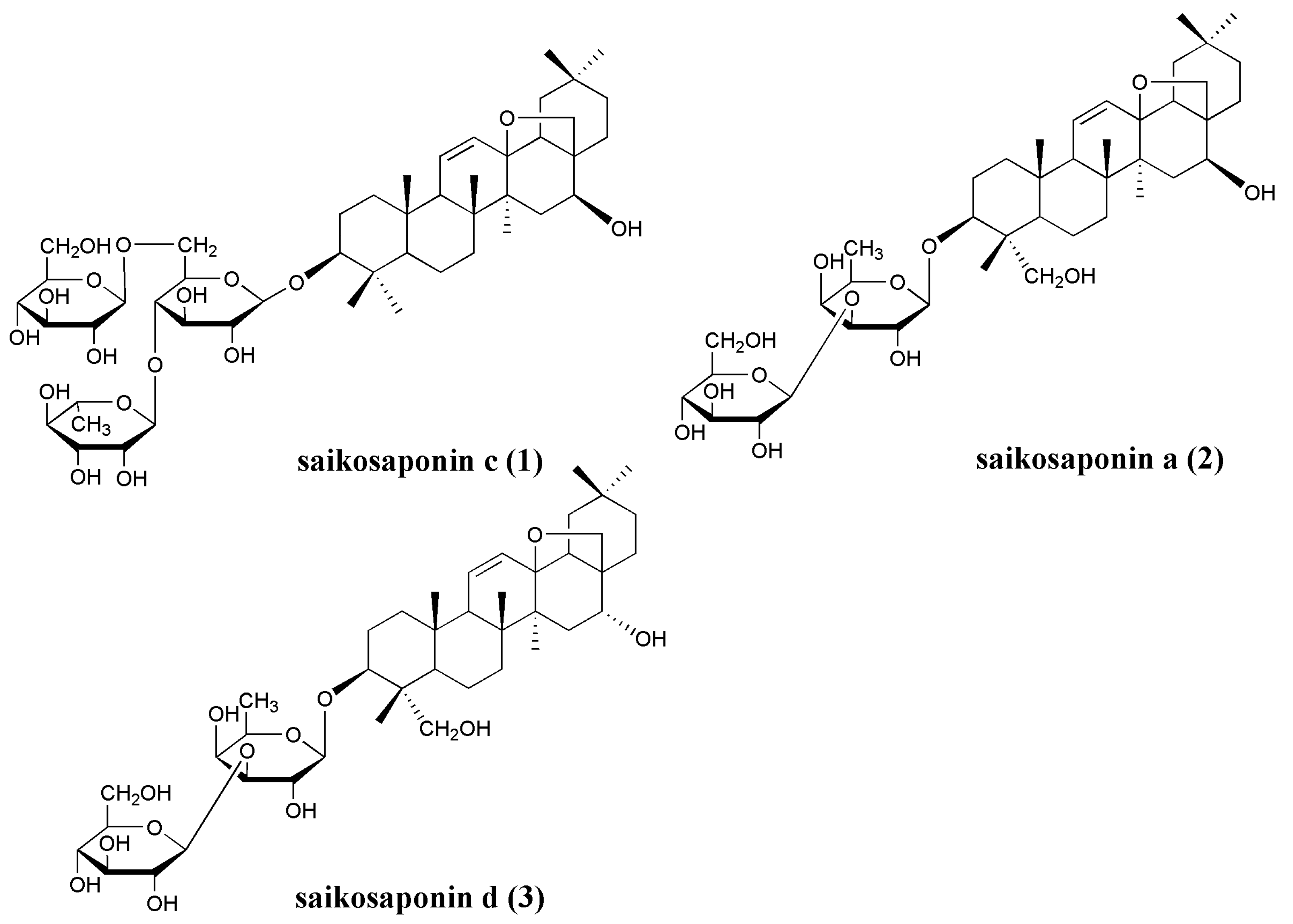
Fast and Sensitive LC-DAD-ESI/MS Method for Analysis of Saikosaponins c, a, and d from the Roots of Bupleurum Falcatum (Sandaochaihu)
Abstract
:1. Introduction
2. Results and Discussion
2.1. Optimization of LC Conditions
2.2. Optimization of Sample Preparation
2.3. Optimization of LC-MS
2.4. Linearity and Calibration Curves
2.5. Limit of Detection (LOD) and Quantification (LOQ)
2.6. Precision
2.7. Repeatability
2.8. Stability
2.9. Recovery
2.10. Application of the Method to Real Sample
3. Experimental
3.1. Reagents and Materials
3.2. LC-DAD-ESI/MS Conditions
3.3. Preparation of Standard Solutions
3.4. Sample Preparation
3.5. Extraction Yield Determination
4. Conclusions
References and Notes
- The State Pharmacopoeia Commission of P.R. Pharmacopoeia of PR China; Chemical Industry Press: Beijing, China, 2010; Volume 1, pp. 263–264. [Google Scholar]
- Kumazawa, Y.; Kawakita, T.; Takimoto, H.; Nomoto, K. Protective effect of saikosaponin A, saikosaponin D and saikogenin D against Pseudomonas aeruginosa infection in mice. Int. J. Immunopharmacol. 1990, 12, 531–537. [Google Scholar] [CrossRef]
- Cho, B.S.; Kim, S.D.; Park, J.K.; Chung, J.H.; Hong, M.S.; Lee, B.C. Effects of Bupleurum falcatum and its combination with an angiotensin II receptor blocker on cytokine and chemokine expression in human mesangial cells. Phytother. Res. 2010, 24, 339–343. [Google Scholar] [CrossRef] [PubMed]
- Chen, S.M.; Sato, N.; Yoshida, M.; Satoh, N.; Ueda, S. Effects of Bupleurum scorzoneraefolium, Bupleurum falcatum, and saponins on nephrotoxic serum nephritis in mice. J. Ethnopharmacol. 2008, 116, 397–402. [Google Scholar] [CrossRef] [PubMed]
- Li, P.; Gong, Y.; Zu, N.; Li, Y.; Wang, B.; Shimizu, F. Therapeutic mechanism of Saikosaponin-d in anti-Thy1 mAb 1-22-3-induced rat model of glomerulonephritis. Nephron. Exp. Nephrol. 2005, 101, e111–e118. [Google Scholar] [CrossRef] [PubMed]
- Lee, B.; Shim, I.; Lee, H.; Hahm, D.H. Effect of Bupleurum falcatum on the stress-induced impairment of spatial working memory in rats. Biol. Pharm. Bull. 2009, 32, 1392–1398. [Google Scholar] [CrossRef] [PubMed]
- Kwon, S.; Lee, B.; Kim, M.; Lee, H.; Park, H.J.; Hahm, D.H. Antidepressant-like effect of the methanolic extract from Bupleurum falcatum in the tail suspension test. Prog. Neuropsychopharmacol. Biol. Psychiatry 2010, 17, 265–270. [Google Scholar] [CrossRef] [PubMed]
- Leung, C.Y.; Liu, L.; Wong, R.N.; Zeng, Y.Y.; Li, M.; Zhou, H. Saikosaponin-d inhibits T cell activation through the modulation of PKCtheta; JNK; and NF-kappaB transcription factor. Biochem. Biophys. Res. Commun. 2005, 338, 1920–1927. [Google Scholar] [CrossRef] [PubMed]
- Chen, J.C.; Chang, N.W.; Chung, J.G.; Chen, K.C. Saikosaponin-a induces apoptotic mechanism in human breast MDA-MB-231 and MCF-7 cancer cells. Am. J. Chin. Med. 2003, 31, 363–377. [Google Scholar] [CrossRef] [PubMed]
- Fan, J.; Li, X.; Li, P.; Li, N.; Wang, T.; Shen, H. Saikosaponin-d attenuates the development of liver fibrosis by preventing hepatocyte injury. Biochem. Cell Biol. 2007, 85, 189–195. [Google Scholar] [CrossRef] [PubMed]
- Shyu, K.G.; Tsai, S.C.; Wang, B.W.; Liu, Y.C.; Lee, C.C. Saikosaponin c induces endothelial cells growth; migration and capillary tube formation. Life Sci. 2004, 76, 813–826. [Google Scholar] [CrossRef] [PubMed]
- Eom, H.Y.; Park, S.Y.; Kim, M.K.; Suh, J.H.; Yeom, H.; Min, J.W. Comparison between evaporative light scattering detection and charged aerosol detection for the analysis of saikosaponins. J. Chromatogr. A 2010, 1217, 4347–4354. [Google Scholar] [CrossRef] [PubMed]
- Yoon, K.D.; Kim, J. Application of centrifugal partition chromatography coupled with evaporative light scattering detection for the isolation of saikosaponins-a and -c from Bupleurum falcatum roots. J. Sep. Sci. 2009, 32, 74–78. [Google Scholar] [CrossRef] [PubMed]
- Park, I.S.; Kang, E.M.; Kim, N. High-performance liquid chromatographic analysis of saponin compounds in Bupleurum falcatum. J. Chromatogr. Sci. 2000, 38, 229–233. [Google Scholar] [CrossRef] [PubMed]
- Li, W.; Liu, Z.; Wang, Z.; Chen, L.; Sun, Y.; Hou, J. Application of accelerated solvent extraction to the investigation of saikosaponins from the roots of Bupleurum falcatum. J. Sep. Sci. 2010, 33, 1870–1876. [Google Scholar] [CrossRef] [PubMed]
- Chen, X.J.; Ji, H.; Wang, Y.T.; Li, S.P. Simultaneous determination of seven flavonoids in Epimedium using pressurized liquid extraction and capillary electrochromatography. J. Sep. Sci. 2008, 31, 881–887. [Google Scholar] [CrossRef] [PubMed]
- Li, W.; Wang, Z.; Chen, L.; Zhang, J.; Han, L.K.; Hou, J.G.; Zheng, Y.N. Pressurized liquid extraction followed by LC-ESI/MS for analysis of four chromones in Radix Saposhnikoviae. J. Sep. Sci. 2010, 33, 2881–2887. [Google Scholar] [CrossRef] [PubMed]
- Strege, M.A. High-performance liquid chromatographic-electrospray ionization mass spectrometric analyses for the integration of natural products with modern high-throughput screening. J. Chromatogr. B Biomed. Sci. Appl. 1999, 725, 67–78. [Google Scholar] [CrossRef]
- Huang, H.Q.; Zhang, X.; Xu, Z.X.; Su, J.; Yan, S.K.; Zhang, W.D. Fast determination of saikosaponins in Bupleurum by rapid resolution liquid chromatography with evaporative light scattering detection. J. Pharm. Biomed. Anal. 2009, 49, 1048–1055. [Google Scholar] [CrossRef] [PubMed]
Sample Availability: Samples of the compounds are available from the authors. |





| Compound | Regression equation | R2 | Linearity range (mg/mL) | LOD (μg/mL) | LOQ (μg/mL) |
|---|---|---|---|---|---|
| Sc | y = 2149.2 x − 91.46 | 0.9997 | 0.75–7.5 | 32.4 | 105.6 |
| Sa | y = 4252.8 x − 60.97 | 0.9995 | 1.5–15.0 | 66.5 | 220.2 |
| Sd | y = 3929.7 x − 277.71 | 0.9996 | 1.08–10.8 | 45.2 | 145.6 |
| Components | Spiked (mg/mL) | Original (mg/mL) | found (mg/mL) | Mean Recovery (%) | R.S.D.(%) (n = 3) |
|---|---|---|---|---|---|
| Sc | 1.06 | 2.11 | 3.21 | 101.5 | 2.2 |
| 2.11 | 3.17 | 4.20 | 99.6 | 1.6 | |
| 3.17 | 4.22 | 5.55 | 105.2 | 1.3 | |
| Sa | 1.53 | 5.28 | 4.88 | 106.6 | 2.1 |
| 3.05 | 4.58 | 6.46 | 105.9 | 1.7 | |
| 4.58 | 6.10 | 8.03 | 105.3 | 1.5 | |
| Sd | 1.68 | 7.63 | 4.93 | 98.1 | 2.8 |
| 3.35 | 5.03 | 7.12 | 106.2 | 1.2 | |
| 5.03 | 6.70 | 8.09 | 96.6 | 1.4 |
© 2011 by the authors; licensee MDPI, Basel, Switzerland. This article is an open access article distributed under the terms and conditions of the Creative Commons Attribution license (http://creativecommons.org/licenses/by/3.0/).
Share and Cite
Zhao, L.-C.; Li, W.; He, Y.-F.; Li, X.-H.; Wang, Z.; Liu, W.-C.; Zheng, Y.-N.; Liang, J. Fast and Sensitive LC-DAD-ESI/MS Method for Analysis of Saikosaponins c, a, and d from the Roots of Bupleurum Falcatum (Sandaochaihu). Molecules 2011, 16, 1533-1543. https://doi.org/10.3390/molecules16021533
Zhao L-C, Li W, He Y-F, Li X-H, Wang Z, Liu W-C, Zheng Y-N, Liang J. Fast and Sensitive LC-DAD-ESI/MS Method for Analysis of Saikosaponins c, a, and d from the Roots of Bupleurum Falcatum (Sandaochaihu). Molecules. 2011; 16(2):1533-1543. https://doi.org/10.3390/molecules16021533
Chicago/Turabian StyleZhao, Li-Chun, Wei Li, Yu-Fang He, Xiao-Hua Li, Zi Wang, Wen-Cong Liu, Yi-Nan Zheng, and Jian Liang. 2011. "Fast and Sensitive LC-DAD-ESI/MS Method for Analysis of Saikosaponins c, a, and d from the Roots of Bupleurum Falcatum (Sandaochaihu)" Molecules 16, no. 2: 1533-1543. https://doi.org/10.3390/molecules16021533
APA StyleZhao, L.-C., Li, W., He, Y.-F., Li, X.-H., Wang, Z., Liu, W.-C., Zheng, Y.-N., & Liang, J. (2011). Fast and Sensitive LC-DAD-ESI/MS Method for Analysis of Saikosaponins c, a, and d from the Roots of Bupleurum Falcatum (Sandaochaihu). Molecules, 16(2), 1533-1543. https://doi.org/10.3390/molecules16021533
