Acetylcholinesterase-inhibiting Alkaloids from Zephyranthes concolor
Abstract
:1. Introduction
2. Results and Discussion
2.1. Identification of Compounds
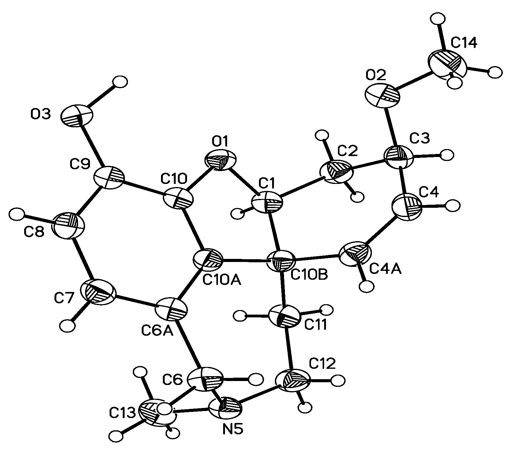
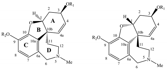
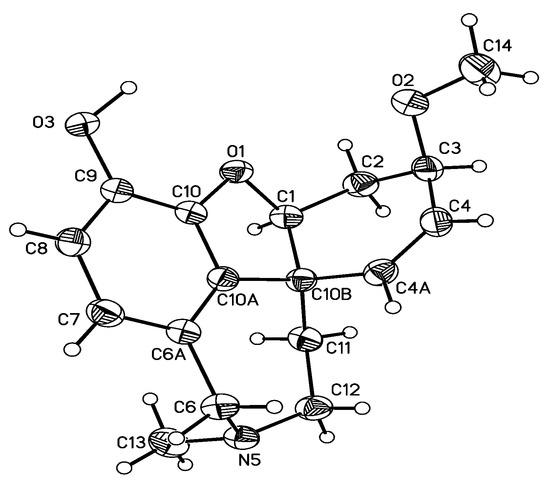
2.2. Structure of Chlidanthine (1)
2.3. Molecular Mechanics of Chlidanthine (1) and Galanthamine (2)
2.4. Biological Activity
3. Experimental
3.1. General
3.2. Plant Material
3.3. Extraction and Isolation
3.3.1. Bulbs
3.3.2. Aerial Parts
3.4. Identification of Compounds
3.5. X-ray Structure Analysis Summary
3.6. Molecular Modelling
3.7. Acetylcholinesterase Inhibition Assay
3.8. Antiviral and Cytotoxicity Assays
4. Conclusions
Supplementary Materials
Acknowledgment
Conflicts of Interest
References
- Fernández-Alonso, J.L.; Groenendijk, J.P. A new species of Zephyranthes Herb. S. L. (Amarylli-daceae Hipperastreae), with notes on the Genus in Colombia. Rev. Acad. Colomb. Cienc. 2004, 28, 177–186. [Google Scholar]
- Cano-Santana, Z.; Castillo-Arguero, S.; Martinez-Orea, Y.; Juarez-Orozco, S. Análisis de la Riqueza Vegetal y el Valor de Conservación de Tres Áreas Incorporadas a la Reserva Ecológica del Pedregal de San Ángel, Distrito Federal (México). Bol. Soc. Bot. Méx. 2008, 82, 1–14. [Google Scholar]
- Boit, H.G.; Döpke, W.; Stender, W. Alkaloide aus Hippeastrum rutilum, Zephyranthes andersoniana, und Sternbergia fischeriana. Naturwissenschaften 1958, 16, 390. [Google Scholar] [CrossRef]
- Boit, H.G.; Ehmke, H. Amaryllidaceae alkaloids. VIII. Alkaloids from Sprekelia formosissima, Galanthus elwesii, Zephyranthes candida, and Crinum powellii. Chem. Ber. 1955, 88, 1590. [Google Scholar] [CrossRef]
- Pettit, G.R.; Cragg, G.M.; Singh, S.B.; Duke, J.A.; Doubek, D.L. Antineoplastic Agents, 162. Zephyranthes candida. J. Nat. Prod. 1990, 53, 176–178. [Google Scholar] [CrossRef] [PubMed]
- Kojima, K.; Mutsuga, M.; Inoue, M.; Ogihara, Y. Two alkaloids from Zephyranthes carinata. Phytochemistry 1998, 48, 1199–1202. [Google Scholar] [CrossRef]
- Herrera, M.R.; Machocho, A.K.; Brun, R.; Viladomat, F.; Codina, C.; Bastida, J. Crinane and Lycorane Type Alkaloids from Zephyranthes citrina. Planta Med. 2001, 67, 191–193. [Google Scholar] [CrossRef] [PubMed]
- Ghosal, S.; Shibnath, S.K.; Unnikrishnan, S.G. Chemical Constituents of Amaryllidaceae. Part 25. Phosphatidylpyrrolophenanthridine Alkaloids from Zephyranthes flava. Phytochemistry 1987, 26, 823–828. [Google Scholar]
- Pettit, G.R.; Gaddamidi, V.; Cragg, G.M. Antineoplastic Agents, 105. Zephyranthes grandiflora. J. Nat. Prod. 1984, 47, 1018–1020. [Google Scholar] [CrossRef] [PubMed]
- Rao, R.V.K.; Rao, J.V.; Seshagiri, L.N. Occurrence of the Rare Alkaloid Maritidine in Zephyranthes robusta and Z. sulphurea. Curr. Sci. 1979, 48, 110–111. [Google Scholar]
- Ghosal, S.; Razdan, A.; Razdan, S. Chemical constituents of Amaryllidaceae. Part 9. (+)-Epimariti-dine, an alkaloid from Zephyranthes rosea. Phytochemistry 1985, 24, 635–637. [Google Scholar] [CrossRef]
- Döpke, W. Constitution and Configuration of Tubispacine, an Amaryllidaceae Alkaloid. Archiv der Pharmazie und Berichte der Deutschen Pharmazeutischen Gesellschaft 1965, 298, 704–708. [Google Scholar] [CrossRef] [PubMed]
- Bartolucci, C.; Perola, E.; Pilger, C.; Fels, G.; Lamba, D. Three-dimensional Structure of a Complex of Galanthamine (Nivalin®) with Acetylcholinesterase from Torpedo californica: Implications for the Design of new Anti-Alzheimer Drugs. Proteins 2001, 42, 182–191. [Google Scholar] [CrossRef]
- Berkov, S.; Codina, C.; Viladomat, F.; Bastida, J. N-Alkylated galanthamine Derivatives: Potent Acetylcholinesterase Inhibitors from Leucojum aestivum. Bioorg. Med. Chem. Lett. 2008, 18, 2263–2266. [Google Scholar] [CrossRef] [PubMed]
- López, S.; Bastida, J.; Viladomat, F.; Codina, C. Acetylcholinesterase Inhibitory Activity of some Amaryllidaceae Alkaloids and Narcissus Extracts. Life Sci. 2002, 71, 2521–2529. [Google Scholar] [CrossRef]
- Szlávik, L.; Gyuris, A.; Minárovits, J.; Forgo, P.; Molnár, J.; Hohmann, J. Alkaloids from Leucojum vernum and Antiretroviral Activity of Amaryllidaceae Alkaloids. Planta Med. 2004, 70, 871–873. [Google Scholar] [CrossRef] [PubMed]
- Lin, L.Z.; Hu, S.F.; Chai, H.B.; Pengsuparp, T.; Pezzuto, J.M.; Cordell, G.A.; Ruangrungsi, N. Lyco-rine Alkaloids from Hymenocallis littoralis. Phytochemistry 1995, 40, 1295–1298. [Google Scholar] [CrossRef]
- Ghosal, S.; Shanthy, A.; Kumar, A.; Kumar, Y. Palmilycorine and lycoriside: Acyloxy and acyl-glucosyloxy alkaloids from Crinum asiaticum. Phytochemistry 1985, 24, 2703–2706. [Google Scholar] [CrossRef]
- Min, B.S.; Kim, Y.H.; Tomiyama, M.; Nakamura, N.; Miyashiro, H.; Otake, T.; Hattori, M. Inhibitory effects of Korean plants on HIV-1 activities. Phytother. Res. 2001, 15, 481–486. [Google Scholar] [CrossRef] [PubMed]
- Boit, H.G. Alkaloide von Chlidanthus fragrans, Vallota purpurea, Nerine undulata und Hippeastrum vittatum (XI. Mitteil. über Amaryllidaceen-Alkaloide). Chem. Ber. 1956, 89, 1129–1134. [Google Scholar] [CrossRef]
- Boit, H.G.; Döpke, W.; Stender, W. New Amaryllidaceae Alkaloids. Naturwissenschaften 1958, 45, 262–263. [Google Scholar] [CrossRef]
- Boit, H.G.; Döpke, W. Alkaloids from Hippeastrum aulicum var. robustum. Naturwissenschaften 1960, 47, 109. [Google Scholar]
- Boit, H.G.; Ehmke, H. XIV. Mitteil. über Amaryllidaceen-Alkaloide. Über Chlidanthin, Narcissamin und Nerinin. Chem. Ber. 1957, 90, 57–59. [Google Scholar] [CrossRef]
- Bhandarkar, J.G.; Kirby, G.W. Structure and Biosynthesis of Chlidanthine. J. Chem. Soc. C 1970, 9, 1224–1227. [Google Scholar] [CrossRef]
- Döpke, W.; Dalmer, H. Alkaloide aus Amaryllidaceen. Naturwissenschaften 1965, 52, 60–61. [Google Scholar] [CrossRef]
- Peeters, O.M.; Blaton, N.M.; De Ranter, C.J. (−)-Galanthaminium Bromide. Acta Crystallogr. C 1997, 53, 1284. [Google Scholar] [CrossRef]
- Carrol, P.; Furst, G.T.; Han, S.Y.; Joullié, M. Spectroscopic studies of Galanthamine and Galanthamine Methiodide. Bull. Soc. Chim. Fr. 1990, 127, 769–780. [Google Scholar]
- Greenblatt, H.M.; Kryger, G.; Lewis, T.; Silman, I.; Sussman, J.L. Structure of Acetylcholinesterase Complexed with (−)-Galanthamine at 2.3Å Resolution. FEBS Lett. 1999, 463, 321–326. [Google Scholar] [CrossRef]
- Galván, R.V. Amaryllidaceae. In Flora Fanerogámica del Valle de México, 2nd ed.; de Rzedowski, G.C., Rzedowski, J., Eds.; Instituto de Ecología A.C. & Comisión Nacional para el Conocimiento y Uso de la Biodiversidad: Reimp, Pátzcuaro, México, 2005; pp. 1255–1259. [Google Scholar]
- Kobayashi, S.; Satoh, K.; Numata, A.; Shingu, T.; Kihara, M. Alkaloids N-oxides from Lycoris sanguínea. Phytochemistry 1991, 30, 675–677. [Google Scholar] [CrossRef]
- Latvala, A.; Onur, M.A.; Gozler, T.; Linden, A.; Kivffak, B.; Hesse, M. Alkaloids of Galanthus elwesii. Phytochemistry 1995, 39, 1229. [Google Scholar] [CrossRef]
- Bastida, J.; Viladomat, F.; Bergoñón, S.; Fernández, J.M.; Codina, C.; Rubiralta, M.; Quirion, J.C. Alkaloids from Narcissus leonensis. Phytochemistry 1993, 34, 1656–1658. [Google Scholar] [CrossRef]
- Jankowski, C.K.; Foucher, S.; Fermandjian, S.; Maroun, R.G. Study of Peptide Oligomer Derived from HIV-1 Integrase. J. Mol Struct. Theochem. 2005, 757, 125–136. [Google Scholar] [CrossRef]
- Singh, I.P.; Bodiwala, H.S. Recent advances in anti-HIV natural products. Nat. Prod. Rep. 2010, 27, 1781–1790. [Google Scholar] [CrossRef] [PubMed]
- Armand-Ugón, M.; Clotet-Codina, I.; Tintori, C.; Manetti, F.; Clotet, B.; Botta, M.; Esté, J.A. The Anti-HIV Activity of ADS-J1 Targets the HIV-1 gp120. Virology 2005, 343, 141–149. [Google Scholar] [CrossRef] [PubMed]
- López, S.; Armand-Úgon, M.; Bastida, J.; Viladomat, F.; Esté, J.A.; Stewart, D.; Codina, C. Anti Human Immunodeficiency Virus Type 1 (HIV-1) Activity of Lectins from Narcissus Species. Planta Med. 2003, 69, 109–112. [Google Scholar] [CrossRef] [PubMed]
Sample Availability: Not available |



| Position | 1H * (J, Hz) | NOESY | 13C ** | HMBC *** |
|---|---|---|---|---|
| 1 | 4.50 (td, J = 3.3, 1.2) | H(2α), H(2β), H(11α) | 87.2 s | C(11) |
| 2α | 1.99 (ddd, J = −15.9, 5.8, 3.3) | H(1), H(3) | 28.1 t | |
| 2β | 2.59 (ddd, J = −15.9, 3.3, 1.5) | H(1) | ||
| 3 | 3.79 (m, J = 5.8, 1.5) | H(2α) | 70.0 s | C(4), C(1), OMe |
| 4 | 5.98 (ddd, J = 10.4, 4.5, 1.2) | H(4a) | 124.3 s | C(2), C(10b) |
| 4a | 6.17 (dt, J = 10.4, 1.2) | H(4), H(6β), H(12β) | 129.4 s | C(1), C(3), C(10b) |
| 6α | 3.62 (d, J = −15.0) | H(7), H(12α), NMe | 60.6 t | C(10a), C(6a), C(7), C(12), NMe |
| 6β | 4.09 (d, J = −15.0) | H(4a), H(12β) | C(10a), C(6a), C(7), C(12), NMe | |
| 6a | 128.7 s | |||
| 7 | 6.47 (d, J = 8.0) | H(6α), H(8) | 121.9 d | C(10), C(10ª), C(6) |
| 8 | 6.60 (d, 8.0) | H(7) | 115.3 d | C(9), C(10), C(6a) |
| 9 | 145.4 s | |||
| 10 | 140.1 s | |||
| 10a | 132.1 s | |||
| 10b | 48.6 s | |||
| 11α | 2.10 (dt, J = −13.3, 3.0) | H(1) | 34.6 t | C(10b) |
| 11β | 1.52 (ddd, J = −13.3, 3.8, 1.6) | H(12α) | ||
| 12α | 3.03 (d, J = −14.3) | H(6α), H(11β), NMe | 54.0 t | |
| 12β | 3.28 (d, J = −14.3, 1.4) | H(4a), H(6β) | ||
| OMe | 3.37 s | 56.8 q | C(3) | |
| NMe | 2.36 s | H(6α), H(11α), H(12α) | 41.9 q | C(6), C(12) |

| Config. | Structure | kcal/mol | Config. | Structure | kcal/mol | |
|---|---|---|---|---|---|---|
| 1S, 10bS | 1R, 10bR | |||||
| R1: Me | N-Meα | 1 | 40.57 | N-Meα | 7 | 44.62 |
| R2: H | N-Meβ | 1a | 39.58 | N-Meβ | 7a | 44.25 |
| R1: H | N-Meα | 2 | 38.51 | N-Meα | 8 | 44.08 |
| R2: Me | N-Meβ | 2a | 39.49 | N-Meβ | 8a | 43.69 |
| Alkaloid | EC50 (M) |
|---|---|
| Chlidanthine (1) | 2.41 ± 0.50 × 10−5 |
| Galanthamine (2) | 5.16 ± 1.08 × 10−6 |
| Galanthamine N-oxide (3) | 2.62 ± 0.55 × 10−5 |
| Galwesine (5) > 10−3 | |
| Compound | EC50 a (μg/mL) | CC50 b (μg/mL) |
|---|---|---|
| HIV-1 (NL4-3) | No virus | |
| Chlidanthine (1) | >25 | >25 |
| Galanthamine (2) | >25 | >25 |
| Galanthamine N-oxide (3) | >25 | >25 |
| Lycorine (4) | >0.5 | 0.48 |
| Galwesine (5) | >71.4 | 71.4 |
| Epinorgalanthamine (6) | >13 | 13 |
| AZT c | 0.0007 | >1 |
| AMD3100 c | 0.001 | >5 |
| Nevirapine c | 0.034 | >2 |
© 2011 by the authors; licensee MDPI, Basel, Switzerland. This article is an open access article distributed under the terms and conditions of the Creative Commons Attribution license (http://creativecommons.org/licenses/by/3.0/).
Share and Cite
Reyes-Chilpa, R.; Berkov, S.; Hernández-Ortega, S.; Jankowski, C.K.; Arseneau, S.; Clotet-Codina, I.; Esté, J.A.; Codina, C.; Viladomat, F.; Bastida, J. Acetylcholinesterase-inhibiting Alkaloids from Zephyranthes concolor. Molecules 2011, 16, 9520-9533. https://doi.org/10.3390/molecules16119520
Reyes-Chilpa R, Berkov S, Hernández-Ortega S, Jankowski CK, Arseneau S, Clotet-Codina I, Esté JA, Codina C, Viladomat F, Bastida J. Acetylcholinesterase-inhibiting Alkaloids from Zephyranthes concolor. Molecules. 2011; 16(11):9520-9533. https://doi.org/10.3390/molecules16119520
Chicago/Turabian StyleReyes-Chilpa, Ricardo, Strahil Berkov, Simón Hernández-Ortega, Christopher K. Jankowski, Sebastien Arseneau, Imma Clotet-Codina, José A. Esté, Carles Codina, Francesc Viladomat, and Jaume Bastida. 2011. "Acetylcholinesterase-inhibiting Alkaloids from Zephyranthes concolor" Molecules 16, no. 11: 9520-9533. https://doi.org/10.3390/molecules16119520
APA StyleReyes-Chilpa, R., Berkov, S., Hernández-Ortega, S., Jankowski, C. K., Arseneau, S., Clotet-Codina, I., Esté, J. A., Codina, C., Viladomat, F., & Bastida, J. (2011). Acetylcholinesterase-inhibiting Alkaloids from Zephyranthes concolor. Molecules, 16(11), 9520-9533. https://doi.org/10.3390/molecules16119520
