Synthesis, Characterization, Acetylcholinesterase Inhibition, Molecular Modeling and Antioxidant Activities of Some Novel Schiff Bases Derived from 1-(2-Ketoiminoethyl)piperazines
Abstract
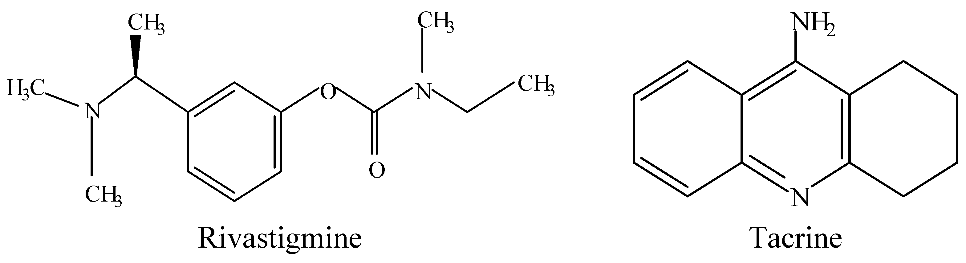
:1. Introduction
2. Results and Discussion
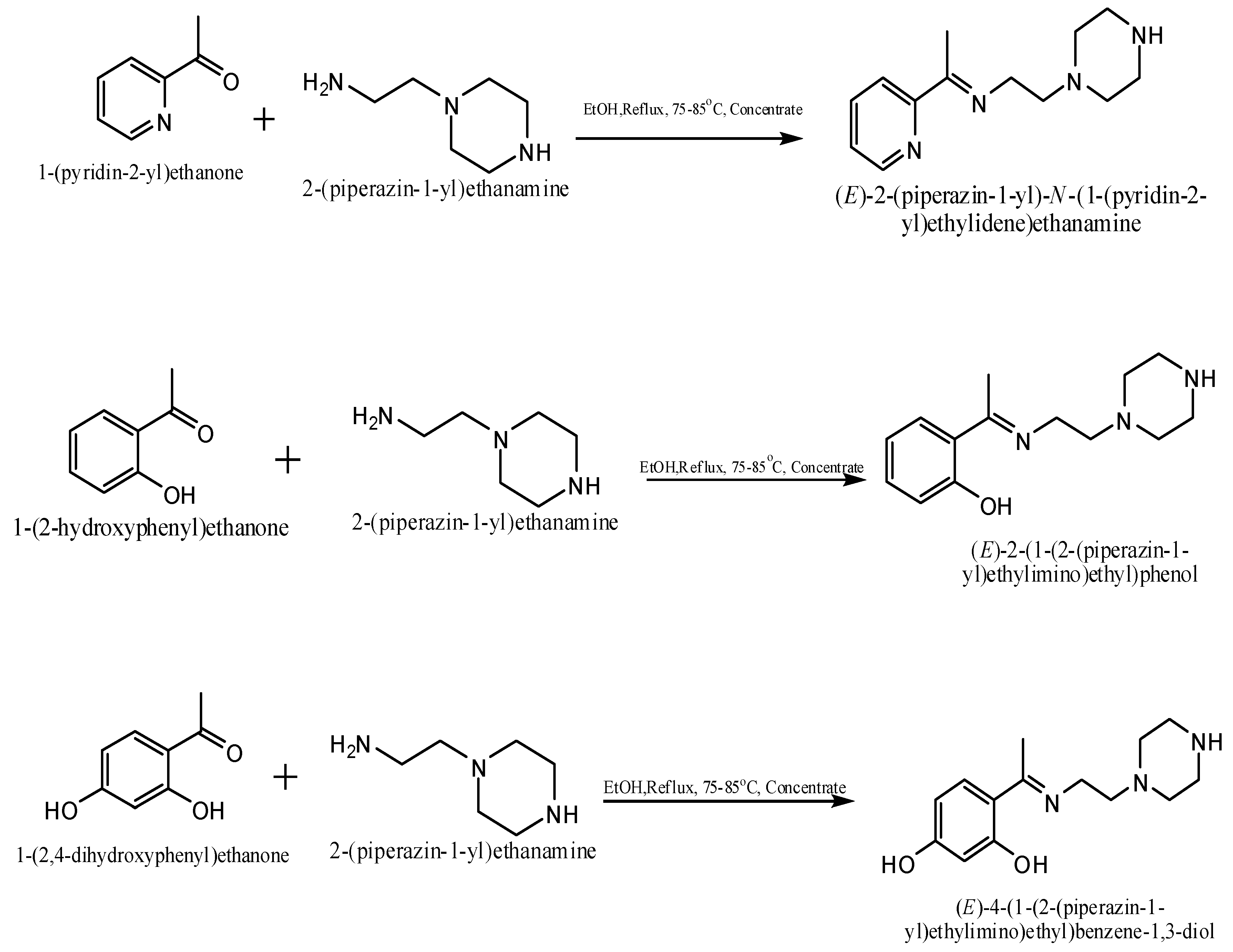
2.1. Chemistry
2.2. Anti-AChE Assay
2.3. Molecular Docking
2.4. Antioxidant Assays
2.5. Acute Toxicity
3. Experimental
3.1. General
3.2. 2-(Piperazin-1-yl)-N-(1-(pyridin-2-yl) ethylidene)ethanamine (LP)
3.3. 2-(1-(2-Piperazin-1-yl)ethylimino)ethyl)phenol (2HP)
3.4. 4-(1-(2-Piperazin-1-yl)ethylimino)ethyl)benzene-1,3-diol (DHP)
3.5. Anti-AChE Assay
3.6. Molecular Modeling Evaluations
3.7. Antioxidant Activity
3.7.1. FRAP Assay
3.7.2. DPPH (1,1-Diphenyl-2-picrylhydrazyl) Assay
3.8. Acute Toxicity
3.9. Statistical Analysis
4. Conclusions
Acknowledgments
Conflict of Interest
References
- Akhtar, M.N.; Lam, K.W.; Abas, F.; Ahmad, M.S.; Shah, S.A.A.; Atta-ur-Rahman, M.; Choudhary, I.; Lajis, N.H. New class of acetylcholinesterase inhibitors from the stem bark of Knema laurina and their structural insights. Bioorg. Med. Chem. Lett. 2011, 21, 4097–4103. [Google Scholar] [CrossRef] [PubMed]
- Kennedy, D.O.; Dodd, F.L.; Robertson, B.C.; Okello, E.J.; Reay, J.L.; Scholey, A.B.; Haskell, C.F. Monoterpenoid extract of sage (Salvia lavandulaefolia) with cholinesterase inhibiting properties improves cognitive performance and mood in healthy adults. J. Psychopharmacol. 2010. [Google Scholar] [CrossRef] [PubMed]
- Camps, P.; Formosa, X.; Galdeano, C.; Gómez, T.; Munoz-Torrero, D.; Ramirez, L.; Viayna, E.; Gomez, E.; Isambert, N.; Lavilla, R.; et al. Tacrine-based dual binding site acetylcholinesterase inhibitors as potential disease-modifying anti-Alzheimer drug candidates. Chem. Biol. Interact. 2010, 187, 411–415. [Google Scholar] [CrossRef] [PubMed]
- Pisoni, D.S.; Costa, J.S.; Gamba, D.; Petzhold, C.L.; Borge, A.A.; Ceschi, M.A.; Lunardi, P.; Goncalves, C.A.S. Synthesis and AChE inhibitory activity of new chiral tetrahydroacridine analogues from terpenic cyclanones. Eur. J. Med. Chem. 2010, 45, 526–535. [Google Scholar] [CrossRef] [PubMed]
- Gholivand, K.; Hosseini, Z.; Farshadian, S.; Naderi-Manesh, H. Synthesis, characterization, oxidative degradation, antibacterial activity and cetylcholinesterase/butyrylcholinesterase inhibitory effects of some new phosphorus(V) hydrazides. Eur. J. Med. Chem. 2010, 45, 5130–5139. [Google Scholar] [CrossRef] [PubMed]
- Zarotsky, V.; Sramek, J.J.; Cutler, N.R. Galantamine hydrobromide: An agent for Alzheimer’s disease. Am. J. Health-Syst. Pharm. 2003, 60, 446–452. [Google Scholar] [PubMed]
- Filomena, C.; Silvio, S.; Mariangela, M.; Federica, M.; Giancarlo, A.S.; Dimitar, U.; Aurelia, T.; Francesco, M.; Roberto, D.L. In vivo anti-inflammatory and in vitro antioxidant activities of Mediterranean dietary plants. J. Ethnopharmacol. 2008, 116, 144–151. [Google Scholar]
- Turiiski, V.I.; Krustev, A.D.; Sirakov, V.N.; Getova, D.P. In vivo and in vitro study of the influence of the anticholinesterase drug galantamine on motor and evacuative functions of rat gastrointestinal tract. Eur. J. Pharmacol. 2004, 498, 233–239. [Google Scholar] [CrossRef] [PubMed]
- Ndhlala, A.R.; Moyo, M.; Staden, J.V. Natural antioxidants: Fascinating or mythical biomolecules? Molecules 2010, 15, 6905–6930. [Google Scholar] [CrossRef] [PubMed]
- Axelsen, P.H.; Harel, M.; Silman, I.; Sussman, J.L. Structure and dynamics of the active site gorge of acetylcholinesterase: Synergistic use of molecular dynamics simulation and X-ray crystallography. Protein Sci. 1994, 3, 188–197. [Google Scholar] [CrossRef] [PubMed]
- Bartolini, M.; Bertucci, C.; Cavrini, V.; Andrisano, V. β-Amyloid aggregation induced by human acetylcholinesterase inhibition studies. Biochem. Pharmacol. 2003, 65, 407–416. [Google Scholar] [CrossRef]
- Da-Ming, D.; Paul, C.R. Development of bivalent acetylcholinesterase inhibitors as potential therapeutic drugs for Alzheimer’s disease. Curr. Pharm. Des. 2004, 10, 3141–3156. [Google Scholar]
- Bolognesi, M.L.; Andrisano, V.; Bartolini, M.; Banzi, R.; Melchiorre, C. Propidium-Based Polyamine Ligands as Potent Inhibitors of Acetylcholinesterase and Acetylcholinesterase-Induced Amyloid-β Aggregation. J. Med. Chem. 2005, 48, 24–27. [Google Scholar] [CrossRef] [PubMed]
- Aremu, O.A.; Amoo, S.O.; Ndhlala, A.R.; Finnie, J.F.; Staden, J.V. Antioxidant activity, acetylcholinesterase inhibition, iridoid content and mutagenic evaluation of Leucosidea sericea. Food Chem. Toxicol. 2011, 49, 1122–1128. [Google Scholar] [CrossRef] [PubMed]
- Loizzo, M.R.; Tundis, R.; Conforti, F.; Menichini, F.; Bonesi, M.; Nadjafi, F.; Frega, N.G.; Menichini, F. Salvia leriifolia Benth (Lamiaceae) extract demonstrates in vitro antioxidant properties and cholinesterase inhibitory activity. Nutr. Res. 2010, 30, 823–830. [Google Scholar] [CrossRef] [PubMed]
- El-Ansary, A.L.; Abdel-Fattah, H.M.; Abdel-Kader, N.S. Synthesis, spectral, thermal and magnetic studies of Mn(II), Ni(II) and Cu(II) complexes with some benzopyran-4-one Schiff bases. Spectrochim. Acta A Mol. Biomol. Spectrosc. 2011, 79, 522–528. [Google Scholar] [CrossRef] [PubMed]
- Khan, T.A.; Naseem, S.; Khan, S.N.; Khan, A.U.; Shakir, M. Synthesis and Spectral Characterization of 14- and 16-membered tetraazamacrocyclic Schiff base ligands and their transition metal complexes and a comparative study of interaction of calf thymus DNA with copper(II) complexes. Spectrochim. Acta A Mol. Biomol. Spectrosc. 2009, 73, 622–629. [Google Scholar] [CrossRef] [PubMed]
- Nath, M.; Saini, P.K.; Kumar, A. New di- and triorganotin(IV) complexes of tripodal Schiff base ligand containing three imidazole arms: Synthesis, structural characterization, anti-inflammatory activity and thermal studies. J. Organomet. Chem. 2010, 695, 1353–1362. [Google Scholar] [CrossRef]
- Issa, R.M.; Khedr, A.M.; Rizk, H.F. UV-Vis, IR and 1H NMR spectroscopic studies of some Schiff bases derivatives of 4-aminoantipyrine. Spectrochim. Acta A Mol. Biomol. Spectrosc. 2005, 62, 621–629. [Google Scholar] [CrossRef] [PubMed]
- Pang, S.; Liang, Y. Studies on charge transfer properties from mixture of Schiff base and zinc complex in Langmuir–Blodgett film by UV-vis absorption and Fourier transform infrared spectroscopy. Spectrochim. Acta A Mol. Biomol. Spectrosc. 2001, 57, 435–439. [Google Scholar] [CrossRef]
- Refat, M.S.; El-Korashy, S.A.; Kumar, D.N.; Ahmed, A.S. Syntheses and characterization of Ru(III) with chelating containing ONNO donor quadridentate Schiff bases. Spectrochim. Acta A Mol. Biomol. Spectrosc. 2008, 70, 898–906. [Google Scholar] [CrossRef] [PubMed]
- Boghaei, D.M.; Gharagozlou, M. Spectral characterization of novel ternary zinc(II) complexes containing 1,10-phenanthroline and Schiff bases derived from amino acids and salicylaldehyde-5-sulfonates. Spectrochim. Acta A Mol. Biomol. Spectrosc. 2007, 67, 944–949. [Google Scholar] [CrossRef] [PubMed]
- Saghatforoush, L.A.; Aminkhani, A.; Ershad, S.; Karimnezhad, G.; Ghammamy, S.; Kabiri, R. Preparation of Zinc (II) and Cadmium (II) Complexes of the Tetradentate Schiff Base Ligand 2-((E)-(2-(2-(pyridine-2-yl)-ethylthio)ethylimino)methyl)-4-bromophenol (PytBrsalH). Molecules 2008, 13, 804–811. [Google Scholar] [CrossRef] [PubMed]
- Surati, K.R.; Thaker, B.T. Synthesis, spectral, crystallography and thermal investigations of novel Schiff base complexes of manganese (III) derived from heterocyclic β-diketone with aromatic and aliphatic diamine. Spectrochim. Acta A Mol. Biomol. Spectrosc. 2010, 75, 235–242. [Google Scholar] [CrossRef] [PubMed]
- Daneshvar, N.; Entezami, A.A.; Khandar, A.A.; Saghatforoush, L.A. Synthesis and characterization of copper(II) complexes with dissymmetric tetradentate Schiff base ligands derived from aminothioether pyridine. Crystal structures of [Cu(pytIsal)]ClO4·0.5CH3OH and [Cu(pytAzosal)]ClO4. Polyhedron 2003, 22, 1437–1445. [Google Scholar] [CrossRef]
- Rouleau, J.; Iorga, B.I.; Guillou, C. New potent human acetylcholinesterase inhibitors in the tetracyclic triterpene series with inhibitory potency on amyloid-β aggregation. Eur. J. Med. Chem. 2011, 46, 2193–2205. [Google Scholar] [CrossRef] [PubMed]
- Dong, C.Z.; Rocquigny, H.; Remy, E.; Mellac, S.; Fournie Zaluski, M.C.; Roques, B.P. Synthesis and biological activities of fluorescent acridine containing HIV 1 nucleocapsid proteins for investigation of nucleic acid NCp7 interactions. J. Peptide Res. 1997, 50, 269–278. [Google Scholar] [CrossRef]
- Stockdale, M.; Selwyn, M.J. Effects of ring substituents on the activity of phenols as inhibitors and uncouplers of mitochondrial respiration. Eur. J. Biochem. 1971, 21, 565–574. [Google Scholar] [CrossRef] [PubMed]
- Guilhermino, L.; Lopes, M.C.; Carvalho, A.P.; Soares, A.M.V.M. Inhibition of acetylcholinesterase activity as effect criterion in acute test with juvenile liaphnia magna. Chemosphere 1996, 32, 721–738. [Google Scholar] [CrossRef]
- Laskwoski, R.A. PDBsum: Summaries and analyses of PDB structure. Nucleic Acids Res. 2001, 29, 221–222. [Google Scholar] [CrossRef]
- Hadd, A.G.; Jacobson, S.C.; Ramsey, J.M. Microfluidic Assays of Acetylcholinesterase Inhibitors. Anal. Chem. 1999, 71, 5206–5212. [Google Scholar] [CrossRef]
- Benzie, I.F.F.; Strain, J.J. Ferric reducing/antioxidant power assay: Direct measure of total antioxidant activity of biological fluids and modified version for simultaneous measurement of total antioxidant power and ascorbic acid concentration. Meth. Enzymol. 1999, 299, 15–27. [Google Scholar] [PubMed]
- Choi, W.C.; Kim, S.C.; Hwang, S.S.; Choi, B.K.; Ahn, H.J.; Lee, M.Y.; Park, S.H.; Kim, S.K. Antioxidant activity and free radical scavenging capacity between Korean medicinal plants and flavonoids by assay-guided comparison. Plant Sci. 2002, 163, 1161–1168. [Google Scholar] [CrossRef]
- Dixon, W.J. Design and Analysis of Quantal Dose-Response Experiments (with Emphasis on Staircase Designs); Dixon Statistical Associates: Los Angeles, CA, USA, 1991. [Google Scholar]
- Abdullah, M.A.; Mariod, A.A.; Al-Bayaty, F.; Abdel-wahab, S.I. Anti-ulcerogenic activity of Gynura procumbens leaf extract against experimentally-induced gastric lesions in rats. J. Med. Plant. Res. 2010, 4, 685–691. [Google Scholar]
Sample Availability: Samples of the compounds are available from the authors. |






| Compounds | Molecular Weight | AChE Inhibition (Final concentration = 1 × 10−4 M) | DPPH (IC50, µg/mL) | FRAP value (Mean ± SD) |
|---|---|---|---|---|
| LP | 232.3 | 9.9 ± 3.1 | - | 1464.7 ± 5.2 |
| 2HP | 247.3 | −4.0 | - | 293.3 ± 6.2 |
| DHP | 263.3 | 21.8 ± 1.2 | 25 ± 1.24 | 355.3 ± 5.8 |
| Propidium | - | 28.2 ± 2.4 | - | - |
| Tacrine | - | 76.6 ± 5.1 | - | - |
| Ascorbic acid | - | - | 1.4 ± 0.71 | 1552.7 ± 4.2 |
| BHT | - | - | NA | 187.3 ± 2.6 |
| Animals | Sodium (mmol/L) | Potassium (mmol/L) | Chloride (mmol/L) | Carbon dioxide (mmol/L) | Anion gap (mmol/L) | Urea (mmol/L) | Creatinine (µmol/L) |
|---|---|---|---|---|---|---|---|
| Control | 132.9 ± 2.1 | 6.14 ± 2.5 | 111.30 ± 3.5 | 16.12 ± 2.6 | 32.80 ± 2.9 | 7.40 ± 2.5 | 29.45 ± 9.6 |
| 2HP (2 g/kg) | 132.2 ± 3.5 | 6.27 ± 4.1 | 108.24 ± 4.2 | 19.18 ± 0.8 | 29.60 ± 1.2 | 7.10 ± 4.2 | 27.60 ± 6.4 |
| 2HP (5 g/kg) | 133.1 ± 4.1 | 6.35 ± 3.2 | 106.31 ± 3.8 | 17.51 ± 2.7 | 29.50 ± 3.6 | 7.30 ± 3.7 | 25.91 ± 8.3 |
| DHP (2 g/kg) | 133.5 ± 0.9 | 6.29 ± 0.4 | 109.71 ± 6.2 | 18.31 ± 0.4 | 28.70 ± 4.2 | 6.90 ± 2.1 | 26.22 ± 2.1 |
| DHP (5 g/kg) | 134.1 ± 1.8 | 6.37 ± 0.7 | 108.19 ± 2.4 | 19.72 ± 0.8 | 30.40 ± 3.2 | 7.10 ± 1.4 | 28.47 ± 1.6 |
| LP (2 g/kg) | 131.3 ± 2.2 | 6.52 ± 0.9 | 110.32 ± 2.1 | 18.34 ± 1.3 | 31.20 ± 2.5 | 7.01 ± 0.9 | 27.90 ± 1.3 |
| LP (5 g/kg) | 133.1 ± 0.4 | 6.44 ± 1.2 | 107.82 ± 3.2 | 14.26 ± 1.5 | 33.10 ± 3.4 | 6.8 0± 2.1 | 30.13 ± 0.4 |
| Animals | Total protein (g/L) | Albumin (g/L) | Globulin (g/L) | TB (µmol/L) | CB (µmol/L) | AP (IU/L) | ALT (IU/L) | AST (IU/L) |
|---|---|---|---|---|---|---|---|---|
| Control | 64.10 ± 2.2 | 18.40 ± 1.1 | 50.90 ± 2.3 | 6.20 ± 0.2 | 3.20 ± 0.6 | 104.20 ± 12.4 | 56.20 ± 4.9 | 220.12 ± 4.9 |
| 2HP (2 g/kg) | 65.00 ± 2.7 | 18.20 ± 1.2 | 51.60 ± 2.1 | 8.30 ± 0.3 | 4.30 ± 0.2 | 110.10 ± 11.3 | 62.12 ± 4.4 | 236.23 ± 6.1 |
| 2HP (5 g/kg) | 66.12 ± 2.2 | 19.20 ± 1.1 | 49.90 ± 2.5 | 9.50 ± 0.6 | 5.20 ± 0.4 | 101.50 ± 10.8 | 6515 ± 4.6 | 232.18 ± 4.3 |
| DHP (2 g/kg) | 64.21 ± 2.6 | 20.10 ± 1.2 | 52.10 ± 2.5 | 8.90 ± 0.6 | 6.40 ± 0.5 | 106.40 ± 11.2 | 71.15 ± 3.8 | 235.21 ± 4.7 |
| DHP (5 g/kg) | 66.16 ± 2.1 | 20.30 ± 1.3 | 54.20 ± 2.6 | 9.10 ± 0.8 | 6.60 ± 0.4 | 115.30 ± 10.8 | 70.67 ± 4.3 | 242.16 ± 5.1 |
| LP (2 g/kg) | 65.32 ± 2.4 | 21.20 ± 1.8 | 50.10 ± 2.5 | 7.90 ± 0.9 | 7.10 ± 0.8 | 118.20 ± 10.5 | 69.45 ± 4.4 | 239.31 ± 4.8 |
| LP (5 g/kg) | 63.23 ± 2.3 | 18.40 ± 1.6 | 52.20 ± 2.6 | 8.80 ± 0.4 | 7.20 ± 0.8 | 114.50 ± 10.1 | 68.35 ± 4.1 | 234.17 ± 4.6 |
© 2011 by the authors; licensee MDPI, Basel, Switzerland. This article is an open access article distributed under the terms and conditions of the Creative Commons Attribution license (http://creativecommons.org/licenses/by/3.0/).
Share and Cite
Salga, S.M.; Ali, H.M.; Abdullah, M.A.; Abdelwahab, S.I.; Wai, L.K.; Buckle, M.J.C.; Sukumaran, S.D.; Hadi, A.H.A. Synthesis, Characterization, Acetylcholinesterase Inhibition, Molecular Modeling and Antioxidant Activities of Some Novel Schiff Bases Derived from 1-(2-Ketoiminoethyl)piperazines. Molecules 2011, 16, 9316-9330. https://doi.org/10.3390/molecules16119316
Salga SM, Ali HM, Abdullah MA, Abdelwahab SI, Wai LK, Buckle MJC, Sukumaran SD, Hadi AHA. Synthesis, Characterization, Acetylcholinesterase Inhibition, Molecular Modeling and Antioxidant Activities of Some Novel Schiff Bases Derived from 1-(2-Ketoiminoethyl)piperazines. Molecules. 2011; 16(11):9316-9330. https://doi.org/10.3390/molecules16119316
Chicago/Turabian StyleSalga, Saleh M., Hapipah M. Ali, Mahmood A. Abdullah, Siddig I. Abdelwahab, Lam Kok Wai, Michael J. C. Buckle, Sri Devi Sukumaran, and A. Hamid A. Hadi. 2011. "Synthesis, Characterization, Acetylcholinesterase Inhibition, Molecular Modeling and Antioxidant Activities of Some Novel Schiff Bases Derived from 1-(2-Ketoiminoethyl)piperazines" Molecules 16, no. 11: 9316-9330. https://doi.org/10.3390/molecules16119316
APA StyleSalga, S. M., Ali, H. M., Abdullah, M. A., Abdelwahab, S. I., Wai, L. K., Buckle, M. J. C., Sukumaran, S. D., & Hadi, A. H. A. (2011). Synthesis, Characterization, Acetylcholinesterase Inhibition, Molecular Modeling and Antioxidant Activities of Some Novel Schiff Bases Derived from 1-(2-Ketoiminoethyl)piperazines. Molecules, 16(11), 9316-9330. https://doi.org/10.3390/molecules16119316
