Abstract
Twenty novel cinnamamide derivatives were designed and synthesized using as lead compound pyrimorph, whose morpholine moiety was replaced by β-phenylethylamine. All the compounds were characterized by their spectroscopic data. The fungicidal and insecticidal activities were also evaluated. The preliminary results showed that all the title compounds had certain fungicidal activities against seven plant pathogens at a concentration of 50 μg/mL, and compounds 11a and 11l showed inhibition ratios of up to 90% against R. solani. Most of the title compounds exhibited moderate nematicidal activities. In general, the morpholine ring may be replaced by other amines and a chlorine atom in the pyridine ring is helpful to fungicidal activity.
1. Introduction
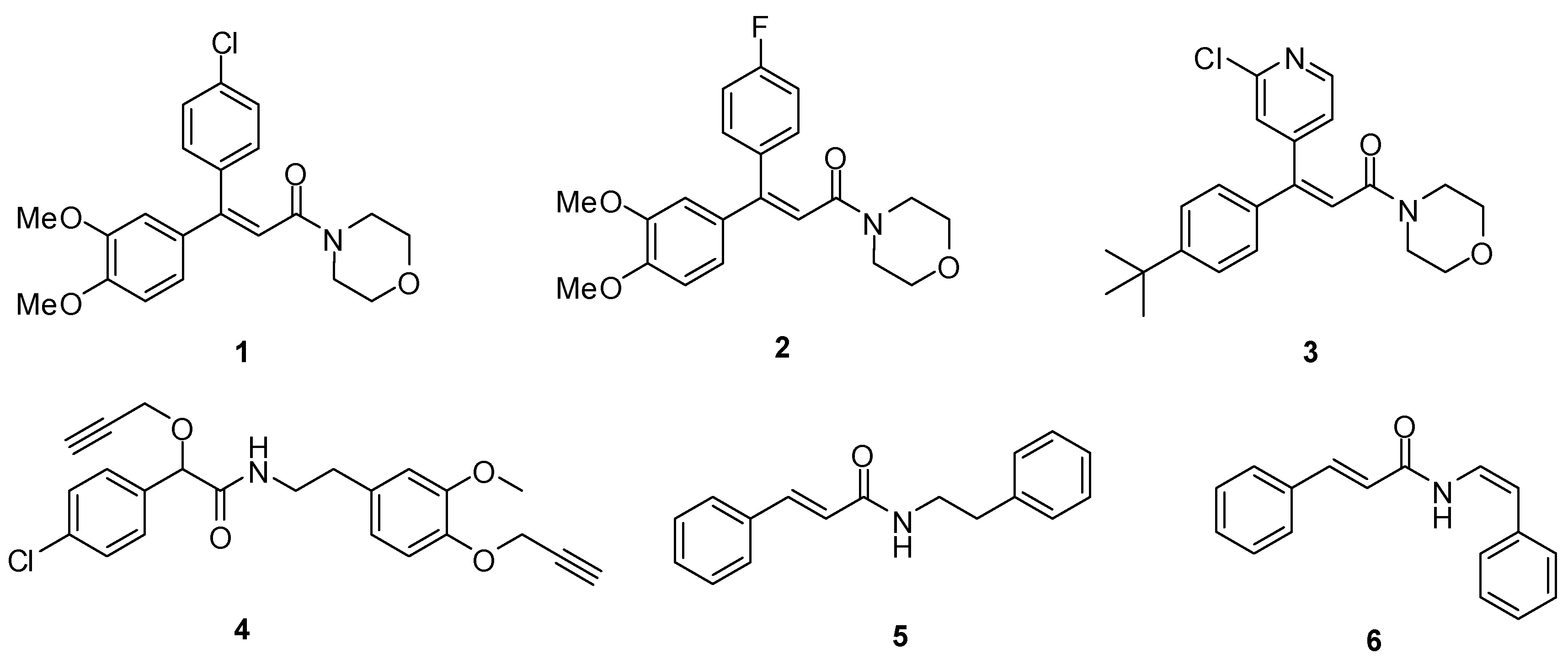
Cinnamides constitute an important class of compounds with a variety of biological properties, such as nervous central system depressant, anticonvulsant, muscle relaxant, antiallergic, antineoplastic and anti-infective activities, etc. [1,2,3,4,5,6,7]. In the agrochemical field, their avian repellent, fungicidal and herbicidal activities have also attracted the attention of many researchers [8,9], and several excellent cinnamide fungicides, for example dimethomorph (1) [10], fluormorph (2) [11] and pyrimorph (3) [12,13], have been successfully developed. Pyrimorph, containing a morpholine ring and a pyridine ring, is a novel fungicide developed by our lab that exhibited excellent activity against oomycetes [14,15]. β-phenylethylamines are also very important bioactive molecules that can be found in many natural and synthetic drugs. Mandipropamide (4), which controls foliar diseases caused by oomycetes, is a typical representative of β-phenylethylamines derivitives used in agrochemistry [16,17]. Wan et al. have reported the fungicidal activity of (E)-N-2-phenylethyl cinnamide (5) [18] and the insecticidal activity of lansiumamide B (6) against B. xylophilus and Culex pipiens have also been disclosed [19,20] (Figure 1).
Figure 1.
Several cinnamide and β-phenylethylamine derivitives with fungicide or insecticidal activity.
Figure 1.
Several cinnamide and β-phenylethylamine derivitives with fungicide or insecticidal activity.

Considering the important role of the cinnamoyl, pyridine ring and 2-phenylethylamine moieties in pesticides, their combination might result in novel bioactive molecules. In this study, using pyrimorph as lead compound, we have designed and synthesized a novel series of cinnamide derivatives in which the morpholine moiety in pyrimorph was replaced by a phenethylamino group. All of the target compounds were evaluated for fungicidal and nematicidal activity. Some title compounds showed good fugicidal activity at 50 μg mL−1, and the compound 11b exhibited an LC50 of 113.8 μg mL−1 against B. xylophilus.
2. Results and Discussion
2.1. Synthesis
The synthetic route to the title 20 compounds involves four-step reaction including Wittig-Horner reaction as the key step (Scheme 1). The Wittig-Horner reaction usually gives a mixture of E/Z isomers, but the ratio is quite different depending to the structure of substrates, reaction temperature, solvent, catalyst and so on. In our synthetic route, the reaction of compound 8 with ethyl diethoxyphosphinic acetate predominantly generated the more stable cis-intermediate 12 rather than the trans-form. Tis is attributed to the fact that in the cis-form the electron-rich carbonyl oxygen has a tendency to donate electrons to the electron-deficient pyridine ring, which leads to the formation of the more stable intermediate and the cis-product 9. The deduction was confirmed by the crystal structure of 11b, which was determined by X-ray diffraction analysis (Figure 2 and Table 1).
It can be seen from Figure 1 that the carbonyl and the pyridine ring bearing a chlorine atom are oriented towards the same side, so we can conclude that compound 11b is the Z-isomer.
Scheme 1.
Synthetic route to the title compounds 11.
Scheme 1.
Synthetic route to the title compounds 11.

Figure 2.
Crystal structure of 11b.
Figure 2.
Crystal structure of 11b.

Table 1.
Crystal structure and data refinement parameters.
| Compound | 11b |
|---|---|
| Empirical formula | C24H23ON2C |
| Formula weight | 391.2 |
| Crystal system/space groupOrthorhombic | Triclinic, P-1 |
| a / Å | 8.6568(17) |
| b / Å | 13.927(3) |
| c / Å | 18.507(4) |
| α / ° | 90° |
| β / ° | 90° |
| γ / ° | 90° |
| V / Å3 | 2056.1(7) |
| Z | 4 |
| D calc (g/cm3) | 1.263 |
| μ (mm−1) | 0.202 |
| Crystal size (mm) | 0.50 × 0.36 × 0.36 |
| Color/shape | Colorless/ rectangle |
| Temp (K) | 173(2)K |
| Theta range for collection | 2.39 < θ < 25.00° |
| Reflections collected | 20946 |
| Independent reflections | 7232 |
| Data/restraints/parameters | 7232 / 0 / 505 |
| Goodness of fit on F2 | 1.062 |
| Final R indices [I > 2σ(I)] | R1 = 0.0481, wR2 = 0.1187 |
| R indices (all data) | R1 = 0.0514, wR2 = 0.1213 |
| Largest difference peak/hole | 0.686 and −0.312 e.A−3 |
2.2. Biological Activity
The fungicidal activity of the target compounds was tested in vitro against seven kinds of common plant pathogens including R. solani, P. parasitica, B. cinerea, S. sclerotiorum, V. mali, P. asparagi and C. lindemuthianum). As shown in Table 2, most of the title compounds at 50 μg·mL−1indicated moderate to high activity in the initial screening against the tested pathogens except P. parasitica and V. mali, and the inhibition ratios of 11a and 11l reached 90% against R. solani. The antifungal activity is basically in the following order: 11a > 11o, 11b > 11p, 11c> 11q, 11g> 11r, 11j > 11s, 11l > 11t. That is to say, compounds bearing a chlorine atom in the pyridine ring indicated higher inhibition rates against the seven fungi than those with no chlorine atom in the ring. The results also showed that the morpholine ring of the lead compound pyrimorph could be replaced by β-phenylethylamine.
As structural analogs of lansiumamide B (6), the nematicidal activity of title compounds was tested against Bursaphelenchus xylophilus. The data is presented in the form of mean mortality and corrected mortality (%) in Table 3. Next, the LD50 of compounds 11b, 11c and 11f were determined and the results are listed in Table 4.
The results of Table 3 and Table 4 indicated that the twenty novel cinnamide derivatives displayed moderate insectidal activity. Compound 11b indicated the highest nematicidal activity, and the LC50 is 113.8 μg mL−1 against B. xylophilus. Compounds 11m and 11q also exhibited good mortality.
Table 2.
Fungicidal activity of the title compounds (inhibition rate, %).
| Compd. | R. solani | P. parasitica | B. cinerea | S. sclerotiorum | V. mali | P. asparagi | C. lindemuthianum |
|---|---|---|---|---|---|---|---|
| 11a | 93.88 | 24.41 | 44 | 37 | 48 | 59.70 | 59.7 |
| 11b | 22.45 | 26.77 | 50 | 44 | 20 | 34.33 | 34.33 |
| 11c | 76.77 | 1.61 | 67 | 72 | 52 | 35.82 | 55.97 |
| 11d | 4.52 | 11.29 | 43 | 24 | 31 | 22.39 | 47.01 |
| 11e | 13.55 | −2.42 | 55 | 42 | −6.3 | 31.34 | 43.28 |
| 11f | 82.58 | 0 | 59 | 42 | 42 | 39.55 | 55.22 |
| 11g | 23.81 | 14.17 | 33 | 28 | 36 | 23.88 | 23.88 |
| 11h | 35.48 | 22.58 | 40 | 68 | 29 | 29.10 | 42.54 |
| 11i | 14.84 | −8.06 | 48 | 53 | 18 | 23.13 | 22.39 |
| 11j | 72.9 | −18.5 | 33 | 29 | 29 | 55.22 | 16.42 |
| 11k | 67.74 | 28.23 | 37 | 17 | 24 | 32.09 | 24.63 |
| 11l | 90.97 | −18.5 | 54 | 44 | −6.3 | 17.16 | 35.82 |
| 11m | 13.55 | −25 | 38 | 27 | 26 | 42.54 | 21.64 |
| 11n | 9.03 | −13.7 | 50 | 29 | −7.8 | 32.84 | 39.55 |
| 11o | 15.48 | −17.7 | 43 | 16 | 36 | 44.03 | 32.84 |
| 11p | 9.68 | 5.65 | 48 | 45 | 30 | 28.36 | 37.31 |
| 11q | 3.87 | −9.68 | 15 | 2.7 | 18 | 23.88 | 17.16 |
| 11r | 5.81 | −14.5 | 52 | 11 | 68 | 16.42 | 28.36 |
| 11s | 10.32 | −17.7 | 47 | 5.3 | −2.3 | 28.36 | 28.36 |
| 11t | 16.13 | 14.52 | 64 | 27 | −2.3 | 55.97 | 38.81 |
| pyrimorph | 97.20 | - | - | 79 | - | 66.50 | - |
| carbendazim | 100 | 14.52 | 38 | 100 | 100 | 82.09 | |
| chlorothalonil | 75.48 | 63.71 | 95 | 70 | 88 | 82.09 | |
| azoxystrobin | 89.03 | 37.9 | 80 | 100 | 92 |
Table 3.
Nematicidal Activity of the title compounds.
| Compd. | 24 h | 48 h | 72 h | |||
|---|---|---|---|---|---|---|
| Mortality (%) | Corrected mortality (%) | Mortality (%) | Corrected mortality (%) | Mortality (%) | Corrected mortality (%) | |
| 11a | 21.67 ± 1.67 | 15.80 ± 1.79 | 5.00 ± 1.15 | 28.13 ± 1.28 | 45.00 ± 1.89 | 35.35 ± 0.39 |
| 11b | 23.67 ± 0.88 | 17.95 ± 0.95 | 33.33 ± 1.67 | 26.29 ± 1.84 | 72.67 ± 1.20 | 67.87 ± 1.41 |
| 11c | 20.67 ± 0.67 | 14.73 ± 0.72 | 29.00 ± 1.08 | 21.49 ± 1.30 | 53.33 ± 1.40 | 45.15 ± 1.82 |
| 11d | 28.33 ± 1.20 | 22.97 ± 1.29 | 31.67 ± 1.67 | 24.44 ± 1.84 | 38.67 ± 1.86 | 27.91±1.18 |
| 11e | 19.67 ± 0.33 | 13.65±0.36 | 44.67 ± 1.20 | 38.82 ± 1.33 | 50.67 ± 2.96 | 42.01 ± 1.48 |
| 11f | 19.33 ± 0.67 | 13.29 ± 0.72 | 44.33 ± 0.88 | 38.45 ± 0.97 | 52.33 ± 1.33 | 43.97 ± 1.71 |
| 11g | 15.00 ± 0.00 | 8.63 ± 0.00i | 25.67 ± 1.33 | 17.81 ± 1.58 | 33.33 ± 0.88 | 21.64 ± 1.03 |
| 11h | 24.67 ± 1.67 | 19.02 ± 1.87 | 40.33 ± 0.88 | 34.02 ± 0.98 | 47.00 ± 1.45 | 38.09 ± 1.71 |
| 11i | 11.00 ± 0.57 | 4.33 ± 0.62 | 44.67 ± 0.67 | 38.82 ± 0.74 | 53.33 ± 1.67 | 45.15 ± 1.96 |
| 11j | 14.00 ± 1.53 | 7.56 ± 1.64 | 21.00 ± 0.58 | 12.65 ± 0.64 | 27.00 ± 1.15 | 14.20 ± 1.36 |
| 11k | 20.67 ± 0.67 | 14.73 ± 0.72 | 40.00 ± 1.15 | 33.60 ± 1.28 | 52.33 ± 1.45 | 43.97 ± 1.71 |
| 11l | 10.67 ± 0.33 | 3.97 ± 0.36 | 23.00 ± 1.00 | 14.86 ± 1.11 | 35.33 ± 1.60 | 23.99 ± 1.06 |
| 11m | 18.33 ± 1.02 | 12.22 ± 1.18 | 50.00 ± 1.15 | 44.71 ± 1.28 | 61.00 ± 1.08 | 54.16 ± 1.44 |
| 11n | 26.67 ± 0.67 | 21.17 ± 0.95 | 34.67 ± 1.45 | 27.76 ± 1.61 | 41.67 ± 1.67 | 31.44 ± 1.96 |
| 11o | 15.67 ± 0.67 | 9.34 ± 0.92 | 23.00 ± 1.00 | 14.86 ± 1.11 | 30.33 ± 0.33 | 18.11 ± 0.39 |
| 11p | 14.00 ± 1.00 | 7.56 ± 1.07 | 17.00 ± 1.53 | 8.23 ± 1.69 | 22.33 ± 0.88 | 8.71 ± 1.04 |
| 11q | 33.67 ± 0.88 | 28.70 ± 0.95 | 52.67 ± 1.20 | 47.67 ± 1.32 | 65.67 ± 1.67 | 49.07 ± 1.96 |
| 11r | 1.67 ± 0.88 | 13.65 ± 0.95 | 24.33 ± 1.20 | 16.33 ± 1.33 | 31.33 ± 0.67 | 19.29 ± 0.79 |
| 11s | 14.67 ± 1.45 | 8.27 ± 1.56 | 24.67 ± 1.45 | 16.70 ± 1.61 | 31.33 ± 1.33 | 19.29 ± 0.79 |
| 11t | 18.00 ± 1.15 | 11.86 ± 1.24 | 30.00 ± 1.52 | 22.60 ± 1.78 | 42.33 ± 1.45 | 32.22 ± 1.71 |
| 6 | 100.00±0.00 | 100.00±0.00 | 100.00±0.00 | 100.00±0.00 | 100.00±0.00 | 100.00±0.00 |
| CK | 6.97 ± 1.06 2 | 9.50 ± 1.05 2 | 13.02 ± 0.88 2 | |||
Note. The corrected mortality = an average value ± standard error, which is the result after 72 hours of administration. In this column, the same character means no prominent difference at 5% level (LSD).
Table 4.
Toxicity of selected compounds against Bursaphelen-chus xylophilusat.
| Time | Compd. | Regression equation | Correlation coefficient | LD50 (mg/L) | 95% Confidence limit (mg/L) |
|---|---|---|---|---|---|
| 24 h | 11b | Y = 0.41 + 1.85x | 0.99 | 300.56 | 241.33–373.00 |
| 48 h | Y = 0.14 + 2.17x | 0.99 | 173.77 | 165.11–182.88 | |
| 72 h | Y = 0.59 + 2.14x | 0.99 | 113.79 | 95.27–135.90 | |
| 24 h | 11c | y = 0.15 + 1.84x | 0.97 | 429.66 | 285.32–646.99 |
| 48 h | y = 0.02 + 2.00x | 0.98 | 314.58 | 231.32–429.57 | |
| 72 h | y = 0.37 + 1.92x | 0.95 | 252.36 | 170.43–373.67 | |
| 24 h | 11f | y = 0.74 + 1.71x | 0.98 | 305.34 | 232.32–401.02 |
| 48 h | y = 1.89 + 1.38x | 0.98 | 178.50 | 139.51–228.41 | |
| 72 h | y = 2.28 + 1.30x | 0.94 | 126.18 | 80.47–180.78 | |
| 24 h | 6 | y = 0.26 + 5.70x | 0.96 | 8.38 | 7.77–9.03 |
| 48 h | y = 0.44 + 5.67x | 0.95 | 6.36 | 5.90–6.84 | |
| 72 h | y = 0.62 + 6.00x | 0.96 | 5.38 | 4.96–5.78 | |
| 24 h | Avermectins | y = 2.58 + 1.75x | 0.94 | 18.88 | 10.56–33.75 |
| 48 h | y = 3.35 + 1.73x | 0.98 | 8.98 | 8.30–9.73 | |
| 72 h | y = 3.27 + 2.00x | 0.99 | 7.23 | 6.43–8.12 |
3. Experimental
3.1. General: Instruments and Methods
The melting points were determined on an XT-4 microscope melting point apparatus (Beijing Tech Instruments Co., Beijing, China) and are uncorrected. 1H-NMR spectra were obtained at 300 MHz using a Bruker Avance DPX 300 spectrometer in CDCl3 or DMSO-d6 solution, with tetramethylsilane as the internal standard. Chemical-shift values (δ) were given in parts per million (ppm). Mass spectra were obtained at Agilent 1100 series LC/MSD Trap. IR spectra data (cm−1) were determined on VECTOR2 (KBr). The determination of unit cell and data collection was performed on a Rigaku raxis Rapid IP Area Detector by using a graphite-monochromatized diffraction meter with MoKa radiation. Elemental analyses were carried out on an Elementar Vario EL instrument. All analytically pure reagents were purchased from Bailingwei or Beijing Chemical Reagent Co., and the solvents were dried by standard methods in advance and distilled before use.
3.2. General Synthetic Procedures for the Preparation of Compounds 10a–10j
A mixture of 70% sodium hydride (15 mmol) and tetrahydrofuran (THF, 10 mL) was added dropwise to the solution of ethyl diethoxyphosphinic acetate in THF (3 mL, 10 mmol) at 0 °C under stirring. After the evolution of hydrogen ceased, compound 9 in THF (6 mL, 5 mmol) was added dropwise and the mixture was stirred at r.t. for a further 10 h. Water (30 mL) was added slowly and the mixture was extracted with ethyl acetate (10 mL × 4). The combined organic phase was washed with water, dried with anhydrous magnesium sulphate, filtered, and evaporated to dryness in vacuo to give ethyl 3-(pyrid-4-yl)cinnamate as a colorless oil. The oil was dissolved in methanol (30 mL) and NaOH solution (7.5 mL, 2 mol/L), and was stirred at r.t. for further 10 h. The reaction mixture was evaporated to remove the solvent in vacuo, and the mixture was extracted twice with ethyl ether (20 mL) after water (40 mL) was added. The aqueous layer was then acidified to pH 2-3 and extracted with ethyl ether (20 mL × 3) again. The combined organic phase was treated successively by washing with water, drying with anhydrous Na2SO4, filtering, evaporating to dryness and recrystallizing from glacial HOAc, to give compounds 10 as white powders.
3-(2-Chloropyridin-4-yl)-3-p-tolylacrylic acid (10a, C15H12O2NCl, X = Cl, R = 4-Me). Yield 91%, Mp. 191~192 °C. 1H-NMR (CDCl3), δ 2.30 (s, 3H, CH3), 6.50 (s, 1H, =CH), 7.17–7.34 (m, 6H, Ar-H), 8.38(d, J = 5.07 Hz, 1H, pyridine-H), 12.36 (brs, 1H, OH).
3-(2-Chloropyridin-4-yl)-3-(4-ethylphenyl) acrylic acid (10b, C16H14O2NCl,X = Cl, R = 4-Et). Yield 72%, Mp. 152~153 °C. 1H-NMR (CDCl3), δ 1.21 (m, 3H, 2CH3), 2.59 (m, 2H, CH2), 6.50 (s, 1H, =CH), 7.08–7.35 (m, 6H), 8.38–8.44 (m, 1H, pyridine-H), 12.40 (brs, 1H, OH).
3-(2-Chloropyridin-4-yl)-3-(3,4-dimethylphenyl) acrylic acid (10c, C16H14O2NCl, X = Cl, R = 3,4-Me). Yield 96%, Mp. 201~202 °C. 1H-NMR (CDCl3), δ2.20 (s, 6H, ), 6.61 (s, 1H, =CH), 6.98–7.17 (m, 3H, Ph-H), 7.81–7.83 (dd, 2H, pyridine-H), 8.89 (d, J = 1.29 Hz, 1H, pyridine-H), 8.92 (s, 1H, OH).
3-(2-Chloropyridin-4-yl)-3-(2,4-dimethylphenyl) acrylic acid (10d, C16H14O2NCl, X = Cl, R = 2,4-Me). Yield 85%, Mp. 189~191 °C. 1H-NMR (CDCl3), δ2.10 (s, 3H, CH3), 2.13 (s, 3H, CH3), 6.63 (s, 1H, =CH), 6.98 (d, J = 2.03 Hz, 1H), 7.01–7.18 (m, 4H, Ph-H), 7.84 (dd, 2H, pyridine-H), 8.75 (d, J = 3.57 Hz, 1H), 12.38 (brs, 1H, OH).
3-(2-Chloropyridin-4-yl)-3-(4-methoxyphenyl) acrylic acid (10e, C16H14O3NCl, X = Cl, R = 4-OMe). Yield 68%, Mp. 168~170 °C. 1H-NMR(CDCl3), δ 3.80 (s, 3H, CH3), 6.51 (s, 1H, =CH), 7.06–7.22 (m, 4H, Ph-H), 7.40 (dd, 2H, Pyridine-H), 8.75 (d, J = 3.57 Hz, 1H, Pyridine-H), 12.46 (brs, 1H, OH).
3-(4-tert-Butylphenyl)-3-(2-chloropyridin-4-yl)-acrylic acid (10f, C17H16O2NCl, X = Cl, R = 4-t-Bu). Yield 55%, Mp. 176~177 °C. 1H-NMR(CDCl3), δ 1.32 (s, 9H, 3CH3), 6.23 (s, 1H, =CH), 7.08–7.20 (m, 4H, Ph-H), 7.40 (dd, 2H, Pyridine-H), 8.45 (d, J = 5.01 Hz, 1H, Pyridine-H), 12.36 (brs, 1H, OH).
3-(Pyridin-4-yl)-3-p-tolylacrylic acid (10g, C15H13O2N, X = H, R = 4-Me). Yield 83%, Mp. 221~222 °C. 1H-NMR (CDCl3), δ 2.40 (s, 3H, CH3), 6.48 (s, 1H, =CH), 7.09–7.23 (m, 6H, Ar-H), 8.55–8.60 (m, 2H, pyridine-H), 11.89 (brs, 1H, OH).
3-(4-Ethylphenyl)-3-(pyridin-4-yl)-acrylic acid (10h, C16H15O2N, X = H, R = 4-Et). Yield 59%, Mp. 205~206 °C. 1H-NMR (CDCl3), δ 1.14–1.25 (m, 3H, CH3), 2.50–2.67 (m, 2H, CH2), 6.48 (s, 1H, =CH), 6.90–7.14 (m, 4H), 7.20–7.25 (m, 2H), 11.89 (brs, 1H, OH).
3-(3,4-Dimethylphenyl)-3-(pyridin-4-yl)acrylic acid (10i, C16H15O2N, X = H, R = 3,4-Me). Yield 77%, Mp. 238~240 °C. 1H-NMR (CDCl3), δ 2.20 (d, J = 14.55 Hz, 3H, CH3), 2.27 (d, J = 3.54 Hz, 3H, CH3), 6.48 (s, 1H, =CH), 6.90–7.14 (m, 3H, Ph-H), 7.20–7.25 (m, 2H, pyridine-H), 8.52–8.58 (m, 2H, pyridine-H), 11.90 (brs, 1H, OH).
3-(2,4-Dimethylphenyl)-3-(pyridin-4-yl) acrylic acid (10j, C16H15O2N, X = H, R = 2,4-2Me). Yield 62%, Mp. 207~208 °C. 1H-NMR (CDCl3), δ 2.05 (s, 3H, CH3), 2.33 (s, 3H, CH3), 6.20 (s, 1H, =CH), 7.00–7.08 (m, 3H, Ph-H), 7.30 (dd, 2H, pyridine-H), 8.52 (dd, 2H, pyridine-H), 9.99 (brs, 1H, OH).
3.3. General Synthetic Procedures for Compounds 11a–11t
Thionyl chloride (6.95 mmol) was added dropwise to the mixture of compound 10 (3.66 mmol) and DMF of catalytic amount in CH2Cl2 (20 mL) and then stirred continuously for eight hours at 0 °C. The reaction mixture was evaporated to remove the solvent and excess thionyl chloride in vacuo and the residue was dissolve using CH2Cl2 (20 mL). β-Phenylethamine (4.13 mmol) and triethylamine (catalytic amount) in CH2Cl2 (10 mL) was added to the residue at 0 °C. The reaction mixture was stirred at r.t. for further 10 h, and then was washed with hydrogen chloride (1 mol/L), saturated potassium carbonate solution and water, dried over anhydrous MgSO4, and concentrated to give the crude product. Recrystallization from methanol afforded the title compounds.
3-(2-Chloropyridin-4-yl)-N-phenethyl-3-p-tolylacrylamide (11a, X = Cl, R = 4-Me, R1 = H), Yield 59%, Mp. 158–160 °C,1H-NMR (CDCl3), δ 2.35 (s, 3H, CH3), 2.74 (t, 2H, CH2), 3.51(q, 2H, CH2), 5.60 (brs, 1H, NH), 6.28 (s, 1H, =CH), 7.04–7.33 (m, 11H, Ar-H), 8.37 (dd, 1H, J = 6.87, 6.40 Hz, pyridine-H). MS m/z (ESI) 377.2 [M+H]+ Anal. Calc. for C23H21ON2Cl (376.13): C, 73.30; H, 5.62; N, 7.43; found:C, 73.22; H, 5.62; N, 7.50.
3-(2-Chloropyridin-4-yl)-3-(4-ethylphenyl)-N-phenethylacrylamide (11b, X = Cl, R = 4-Et, R1 = H). Yield 88%, Mp. 142–143 °C, 1H-NMR (CDCl3), δ 1.23 (t, 3H, CH3), 2.65 (q, 2H, CH2), 2.74 (t, 2H, CH2), 3.50 (q, 2H, CH2), 5.60 (brs, 1H, NH), 6.29 (s, 1H, =CH), 7.07–7.33 (m, 11H, Ar-H), 8.37 (dd, J = 6.78. 6.39 Hz, 1H, pyridine-H ). MS m/z (ESI) 391.2[M+H]+. Anal. Calc. for C24H23ON2Cl (390.15): C, 73.74; H, 5.93; N, 7.17; found C, 73.61; H 5.84; N 7.24.
3-(2-Chloropyridin-4-yl)-3-(3,4-dimethylphenyl)-N-phenethylacrylamide (11c, X = Cl, R = 3,4-Me, R1 = H). Yield 93%, Mp. 162–163 °C, 1H-NMR(CDCl3), δ 2.21 (q, 3H, CH3), 2.26 (t, 3H, CH3), 2.74 (t, 2H, CH2), 3.50 (q, 2 H, CH2), 5.60 (brs, 1H, NH), 6.28 (s, 1H, =CH), 6.87–7.33 (m, 10H, Ar-H), 8.33 (dd, J = 6.63, 6.81 Hz, 1H, pyridine-H).MS m/z (ESI) 391.2 [M+H]+. Anal. Calc. For C24H23ON2Cl (390.15): C, 73.73; H, 5.93; N 7.17; found: C 73.74; H, 5.93; N, 7.20.
3-(2-Chloropyridine-4-yl)-3-(2,4-dimethylphenyl)acrylamide (11d, X = Cl, R = 2,4-2Me, R1 = H). Yield 68%, Mp. 160–161 °C, 1H-NMR (CDCl3), δ 2.01 (q, 3H, CH3), 2.30 (t, 3H, CH3), 2.77 (t, 2H, CH2), 3.53 (q, 2H, CH2), 5.45 (brs, 1H, NH), 6.05 (s, 1H, =CH), 6.98–7.32 (m, 10H, Ar-H), 8.33 (dd, J = 7.5, 7.5 Hz, 1H, pyridine-H). MS m/z (ESI) 391.20 [M+H]+. Anal. Calc. for C24H23ON2Cl (390.15): C, 73.74; H 5.93; N, 7.17;. found: C, 73.72; H, 5.93; N, 7.22.
3-(2-Chloropyridin-4-yl)-3-(4-methoxyphenyl)-N-phenethylacrylamide (11e, X = Cl, R = 4-MeO, R1 = H). Yield 71%, Mp. 185–186 °C, 1H-NMR (CDCl3), δ 2.74 (t, 2H, CH2), 3.50 (q, 2H, CH2), 3.80 (s, 3H, CH3O), 5.45 (brs, 1H, NH), 6.24 (s, 1H, =CH), 6.83–7.33 (m, 11H, Ar-H), 8.37 (dd, J = 5.70. 5.67 Hz, 1H, pyridine-H). MSm/z (ESI) 393.13[M+H]+. Anal. Calc. for C23H21O2N2Cl (392.13): C, 70.71; H, 5.39; N, 7.13; found:C, 70.32; H, 5.34; N, 7.20.
3-(2-Chloropyridin-4-yl)-N-(3,4-dimethoxyphenethyl)-3-p-tolylacrylamide (11f, X = Cl, R = 4-Me, R1 = 3,4-MeO). Yield 77%, Mp. 181–182 °C, 1H-NMR (CDCl3), δ 2.30 (t, 3H, CH3), 2.36 (q, 2H, CH2), 3.21 (q, 2H, CH2), 3.71 (s, 3H, CH3O), 3.73 (s, 3H, CH3O), 6.58 (s, 1H, =CH), 6.67–7.25 (m, 9H, Ar-H), 8.23 (brs, 1H, NH), 8.38 (dd, J = 6.54, 6.54 Hz, 1H, pyridine-H). MS m/z (ESI) 437.2 [M+H]+. Anal. Calc. for C25H25O3N2Cl (436.16): C, 68.72; H, 5.77; N, 6.41; found: C, 68.30, H, 5.78; N, 6.35.
3-(2-Chloropyridin-4-yl)-N-(3,4-dimethoxyphenethyl)-3-p-tolylacrylamide (11f, X = Cl, R = 4-Me, R1 = 3,4-MeO). Yield 77%, Mp. 181–182 °C, 1H-NMR (CDCl3), δ 2.30 (t, 3H, CH3), 2.36 (q, 2H, CH2), 3.21 (q, 2H, CH2), 3.71 (s, 3H, CH3O), 3.73 (s, 3H, CH3O), 6.58 (s, 1H, =CH), 6.67-7.25 (m, 9H, Ar-H), 8.23 (brs, 1H, NH), 8.38 (dd, J = 6.54, 6.54 Hz, 1H, pyridine-H). MS m/z (ESI) 437.2 [M+H]+. Anal. Calc. for C25H25O3N2Cl (436.16): C, 68.72; H, 5.77; N, 6.41; found: C, 68.30, H, 5.78; N, 6.35.
3-(2-Chloropyridin-4-yl)-N-(3,4-dimethoxyphenethyl)-3-(3,4-dimethylphenyl)acrylamide (11g, X = Cl, R = 3,4-Me, R1 = 3,4-MeO). Yield 81%, Mp. 157–159 °C, 1H-NMR (CDCl3), δ 2.20 (s, 3H, CH3), 2.26 (s, 3H, CH3), 2.68 (t, 2H, CH2), 3.52 (q, 2H, CH2), 3.85 (s, 3H, CH3O), 3.87 (s, 3H, CH3O), 5.50 (brs, 1H, NH), 6.28 (s, 1H, =CH), 6.62–7.18 (m, 8H, Ar-H), 8.38 (dd, J = 5.4, 4.8 Hz, 1H, pyridine-H). MS m/z (ESI) 451.2 [M+H]+. Anal. Calc. for C26H27O3N2Cl (450.17): C, 69.25; H, 6.03; N, 6.21; found,: C, 69.01; H, 5.99; N, 6.20.
3-(2-Chloropyridin-4-yl)-N-(3,4-dimethoxyphenethyl)-3-(2,4-dimethylphenyl)acrylamide (11h, X = Cl, R = 2,4-Me, R1 = 3,4-MeO). Yield 77%, Mp. 111–113 °C, 1H-NMR (CDCl3), δ 1.99 (d, 3H, CH3), 2.02 (d, 3H, CH3), 2.34 (t, 2H, CH2), 3.51 (q, 2H, CH2), 3.84 (s, 3H, CH3O), 3.85 (s, H, CH3O), 5.50 (brs, 1H, NH), 6.05 (s, 1H, =CH), 6.58–7.14 (m, 8H, Ar-H), 8.39 (dd, J = 6.18, 6.39 Hz, 1H, pyridine-H). MS m/z (ESI) 451.2 [M+H]+. Anal. Calc. for C26H27O3N2Cl (450.17): C, 69.25; H, 6.03; N, 6.21; found: C, 69.10; H, 6.03; N, 6.20.
3-(4-tert-Butylphenyl)-3-(2-chloropyridin-4-yl)-N-(3,4-dimethoxyphenethyl)acrylamide (11i, X=Cl, R=4-t-Bu, R1 = 3,4-2MeO). Yield 53%, Mp. 146–148 °C, 1H-NMR (CDCl3), δ 1.33 (t, 9H, C(CH3)3), 2.70 (t, 2H, CH2), 3.48 (q, 2H, CH2), 3.84 (s, 3H, CH3O), 3.86 (s, 3H, CH3O), 5.50 (brs, 1H, NH), 5.57 (t, 1 H, =CH), 6.63–7.38 (m, 9H, Ar-H ), 8.38 (dd, J = 7.02, 6.93 Hz, 1H, pyridine-H). MS m/z (ESI) 479.20[M+H]+. Anal. Calc. for C28H31O3N2Cl (478.20): C, 70.21; H, 6.52; N, 5.85;. found: C, 69.90; H, 6.50; N, 5.90.
3-(2-Chloropyridin-4-yl)-N-(4-hydroxyphenethyl)-3-p-tolylacrylamide (11j, X = Cl, R = 4-Me, R1 = 4-OH). Yield 94%, Mp. 233–234 °C, 1H-NMR (DMSO), δ 2.30 (s, 3H, CH3), 2.36 (s, 3H, CH3), 2.51 (t, 2H, CH2), 3.21 (t, 2H, CH2), 6.56 (s, 1H, =CH), 6.63–7.29 (m, 8H, Ar-H), 7.17–7.30 (m, 2H, pyridine-H), 8.07 (brs, 1H, NH), 8.38 (d, J = 5.25 Hz, 1H, pyridine-H), 9.18 (brs, 1H, OH). MS m/z (ESI) 391.2 [M-H]+ Anal. Calc. for C23H21O2N2Cl (392.13): C, 70.31; H, 5.39; N, 7.13; found: C, 69.95; H, 5.33; N, 7.16.
3-(2-Chloropyridin-4-yl)-3-(4-ethylphenyl)-N-(4-hydroxyphenethyl)acrylamide (11k, X = Cl, R = 4-Et, R1 = 4-OH). Yield 88%, Mp. 231–232 °C, 1H-NMR (DMSO), δ 1.15–1.23 (m, 3H, CH3), 2.45–2.52 (m, 2H, CH2), 2.60–2.67 (m, 2H, CH2), 3.15–3.22 (m, 2H, CH2), 6.64 (s, 1H, =CH), 6.65–7.29 (m, 8H, Ar-H), 7.17–7.30 (m, 2H, pyridine-H), 8.06 (brs, 1H, NH), 8.38 (d, J = 5.25 Hz, 1H, pyridine-H) 9.18 (s, 1 H, OH). MS m/z (ESI) 405.20 [M-H]+ Anal. Calc. for C24H23O2N2Cl (406.14): C, 70.84; H, 5.70; N, 6.88; found: C, 70.57; H, 5.70; N, 6.81.
3-(2-Chloropyridin-4-yl)-3-(3,4-dimethylphenyl)-N-(4-hydroxyphenethyl)acrylamide (11l, X = Cl, R = 3,4-Me, R1 = 4-OH). Yield 95%, Mp. 159–161 °C, 1H-NMR (DMSO), δ 2.27 (s, 3H, -CH3), 2.30 (s, 3H, -CH3), 2.51 (t, 2H, -CH2), 3.19 (t, 2H, -CH2), 5.76 (s, 1H, =CH), 6.54–7.21 (m, 9H, Ar-H), 8.21(brs, 1H, -NH), 8.36 (d, 1H, J = 5.07 Hz, pyridine-H), 9.18 (brs, 1H, OH). MS m/z (ESI) 405.3 [M-H]+ Anal. Calc. for C24H23O2N2Cl (406.14): C, 70.84; H, 5.70; N, 6.88; found: C, 70.59; H, 5.70, N, 6.78.
3-(2-Chloropyridin-4-yl)-3-(2,4-dimethylphenyl)-N-(4-hydroxyphenethyl)acrylamide (11m, X = Cl, R = 2,4-Me, R1 = 4-OH). Yield 89%, Mp. 244–246 °C, 1H-NMR (DMSO), δ 2.04 (s, 6H, -CH3), 2.56 (t, 2H, -CH2), 3.21 (t, 2H, -CH2), 6.14 (s, 1H, =CH), 6.66–7.19 (m, 9H, Ar-H ), 8.26 (brs, 1H, -NH), 8.31 (dd, J = 5.4, 5.1Hz, 1 H, pyridine-H), 9.10 (brs, 1H, -OH). MS m/z (ESI) 405.1 [M-H]+. Anal. Calc. for C24H23O2N2Cl (406.14): C, 70.84; H, 5.70; N, 6.88; found: C, 70.53; H, 5.60; N, 6.79.
3-(4-tert-Butylphenyl)-3-(2-chloropyridin-4-yl)-N-(4-hydroxyphenethyl)acrylamide (11n, X = Cl, R = 4-t-Bu, R1 = 4-OH). Yield 45%, Mp. 205–207 °C, 1H-NMR (DMSO), δ 1.28 (s, 9H, 3CH3), 2.50 (t, 2H, CH2), 3.21 (t, 2H, CH2), 6.57 (s, 1H, =CH), 6.63–7.95 (m, 10H, Ar-H), 8.23 (brs, 1H, NH), 8.37 (dd, J = 6.90, 6.60 Hz, 1H, pyridine-H), 9.19 (brs, 1H, OH).MS m/z (ESI) 433.20 [M-H]+. Anal. Calc. for C26H27O2N2Cl (434.18): C, 71.80; H, 6.26; N, 6.44; found: C, 71.54; H, 6.03; N, 6.21.
N-phenethyl-3-(pyridin-4-yl)-3-p-tolylacrylamide (11o, X = H, R = 4-Me, R1 = H). Yield 58%, Mp. 191–192 °C, 1H-NMR (DMSO), δ 2.35 (s, 3H, CH3), 2.70 (t, 2H, -CH2), 3.46 (m, 2H, -CH2), 5.42 (brs, 1H, -NH), 6.32 (s, 1H, =CH), 7.06–7.31 (m, 11H, Ar-H), 8.60 (m, 2H, pyridine-H). MS m/z (ESI) 343.20[M+H]+. Anal. Calc. for C23H22ON2 (342.17): C, 80.67; H, 6.48; N, 8.18; found: C, 80.63; H, 6.46; N, 8.26.
3-(4-Ethylphenyl)-N-phenethyl-3-(pyridin-4-yl)acrylamide (11p, X = H, R = 4-Et, R1 = H). Yield 56%, Mp. 135–137 °C, 1H-NMR (CDCl3), δ 1.21 (t, 3H, CH3), 2.36 (q, 2H, CH2), 2.63 (t, 2H, CH2), 3.46 (q, 2H, CH2), 5.41 (brs, 1H, NH), 6.32 (s, 1H, =CH), 7.06–7.31 (m, 12H, Ar-H), 8.61 (dd, J = 1.65, 1.65 Hz, 2H, pyridine-H). MS m/z (ESI) 357.20 [M+H]+. Anal. Calc. for C24H24ON2 (356.19): C, 80.87; H, 6.79; N, 7.86; found: C, 80.73; H, 6.80; N, 7.89.
3-(3,4-Dimethylphenyl)-N-phenethyl-3-(pyridin-4-yl)acrylamide (11q, X = H, R = 3,4-Me, R1 = H). Yield 93%, Mp. 182–183 °C, 1H-NMR (CDCl3), δ 2.21 (t, 3H, CH3), 2.36 (q, 3H, CH3), 2.63 (t, 2H, CH2), 3.46 (m, 2H, CH2), 5.41 (brs, 1H, NH), 6.32 (s, 1H, =CH), 7.06–7.31 (m, 11H, Ar-H), 8.54 (dd, J = 1.59, 1.59 Hz, 1H, pyridine-H). MS m/z (ESI) 357.20 [M+H]+. Anal. Calc. for C24H24ON2 (356.19): C, 80.87; H, 6.79; N, 7.86; found: C, 80.85; H, 6.78; N, 7.90.
N-(3,4-Dimethoxyphenethyl)-3-(3,4-dimethylphenyl)-3-(pyridin-4-yl)acrylamide (11r, X = H, R = 3,4-Me, R1 = 3,4-2MeO). Yield 85%, Mp. 172–174 °C, 1H-NMR (CDCl3), δ 2.21 (t, 3H, CH3), 2.26 (s, 3H, CH3), 2.64 (t, 2H, CH2), 3.43 (q, 2H, CH2), 3.86 (s, 3H, CH3O), 3.87 (s, 3H, CH3O), 5.44 (brs, 1H, NH), 6.31 (s, 1H, =CH), 6.59–7.27 (m, 8H, Ar-H), 8.61 (dd, 2H, J = 1.53, 1.53 Hz, 2 H, pyridine-H). MS m/z (ESI) 417.30[M+H]+. Anal. Calc. for C26H28O3N2 (416.21): C, 74.97;H, 6.78; N, 6.73; found: C, 74.60; H, 6.80; N, 6.63.
N-(4-Hydroxyphenethyl)-3-(pyridin-4-yl)-3-p-tolylacrylamide (11s, X = H, R = 4-Me, R1 = 4-OH). Yield 88%, Mp. 244–246 °C, 1H-NMR (DMSO), δ 2.30 (s, 3H, CH3), 2.50–2.53 (m, 2H, CH2), 3.15–3.22 (m, 2H, CH2), 6.51 (s, 1H, =CH), 6.66–7.20 (m, 11H, Ar-H), 8.14 (brs, 1H, NH), 8.51–8.55 (m, 1H, pyridine-H), 9.19 (brs, 1H, OH). MS m/z (ESI) 356.20[M-2H]+. Anal. Calc. for C23H22O2N2 (358.20): C, 77.07; H, 6.19; N, 7.93; found: C, 76.93; H, 6.17; N, 7.71.
3-(3,4-Dimethylphenyl)-N-(4-hydroxyphenethyl)-3-(pyridin-4-yl)acrylamide (11t, X = H, R = 3,4-Me, R1 = 4-OH). Yield 96%, Mp. 159–161 °C, 1H-NMR (DMSO), δ 2.01 (s, 3H, CH3), 2.11 (s, 3H, CH3), 2.50–2.53 (t, 2H, CH2), 3.15–3.22 (q, 2H, CH2), 6.70 (s, 1H, =CH), 6.66–7.20 (m, 10H, Ar-H), 8.23 (brs, 1H, NH), 8.51–8.55 (m, 1H, pyridine-H), 9.20 (brs, 1H, OH). MS m/z (ESI) 370.20 [M-2H]+. Anal. Calc. for C24H24O2N2 (372.18): C, 77.39; H, 6.49; N, 7.52; found: C, 77.29; H, 6.44; N, 7.55.
Crystal data can be obtained from the Crystallographic Data Centre as supplementary publication number CCDC 848237. Copies of the data can be obtained, free of charge, on application to CCDC, 12 Union Road, Cambridge CB2 1EZ, UK. Fax: +44 1223 336033 or e-mail: deposit@ccdc.cam.ac.uk.
3.4. Bioassays
3.4.1. Fungicidal Activity Test
The fungicidal activity of the target compounds against R. solani, P. parasitica, B. cinerea, S. sclerotiorum, V. mali, P. asparagi and C. lindemuthianum were evaluated using the mycelium growth rate test [21]. Pyrimorph, carbendazim, chlorothalonil, azoxystrobin were used as controls.Their relative inhibition ratio (%) h were calculated as equal to the (colony diameter of control − colony diameter of treatment)/(colony diameter of control − mycelial disks diameter) × 100. This experiment was conducted twice with four replicates.
3.4.2. Nematicidal Activity
All the compounds were dissolved in acetone and diluted to a 200 mg L−1 solution with distilled water. The solution (1.5 mL) was placed in a 24 holes cellplate with nematode solution (0.5 mL, nearly five hundred nematodes of mixed ages), and the plate was put in a culture box at 25 °C. A distilled water test was used as blank control and every test was replicated three times. The mortality of insects was counted after 24, 48 and 72 hours of administration, and Abbotts formula was used to correct the mortality relative to that of negative control.
4. Conclusions
Using pyrimorph as the lead compound, we designed and synthesized twenty novel cinnamamides derivatives using Wittig-Horner reaction as the key step. X-ray data showed that the Wittig-Horner reactions mainly gave the Z-isomer product. The preliminary bioassay results demonstrated that most of the title compounds show a wide spectrum of activity against plant pathogens at 50 μg·mL−1. Compounds 11a and 11l showed higher fungicidal activity than the other compounds. The title compounds exhibited moderate nematicidal activity. Generally, the morpholine ring might be replaced by other amines and a chlorine atom in the pyridine ring is helpful to fungicidal activity.
Acknowledgements
We gratefully thank the National Technology R&D Program in the 11th Five year plan of China (grant No. 2006 BAE01A03-10) and the National Basic Research Science Foundation of China (2010CB126100) for financial support of this research.
References and Notes
- Kamal, A.; Balakishan, G.; Ramakrishna, G.; Basha, S.T.; Sreekanth, K.; Balakrishna, M.; Rajender; Dastagiri, D.; Kalivendi, S.V. Synthesis and biological evaluation of cinnamido linked pyrrolo [2,1-c] [1,4]benzodiazepines as antimitotic agents. Eur. J. Med. Chem. 2010, 45, 3870–3884. [Google Scholar]
- Cai, X.H.; Wu, Y.H. Synthesis and α-glucosidase inhibitory activity of cinnamic amides. Chin. J. Org. Chem. 2007, 27, 77–81. [Google Scholar]
- Kristan, K.; Starcević, S.; Brunskole, M.; Rižner, T.L.; Gobec, S. Cinnamates and cinnamamides inhibit fungal 17 β-hydroxysteroid dehydrogenase. Mol. Cell Endocrinol. 2006, 248, 239–241. [Google Scholar] [CrossRef]
- Debnath, B.; Samanta, S.; Roy, K.; Jha, T. QSAR study on some p-arylthio cinnamides as antagonists of biochemical ICAM-1/LFA-1 interaction and ICAM-1/JY-8 cell adhesion in relation to anti-inflammatory activity. Bioorg. Med. Chem. 2003, 11, 1615–1619. [Google Scholar] [CrossRef]
- Han, X.B.; Feng, H.J.; Chen, G.R.; Li, Y.C. Syntheses and biological activities of α-substituted N-(phenylethyl)cinnamides. Chin. J. Med. chem. 2003, 13, 329–334, 355.. [Google Scholar]
- Xu, F.; Zhang, S.H.; Shao, R.G.; Zhen, Y.S. Anticancer activity of sodium caffeate and its mechanism. Acta Pharmacol. Sin. 2005, 26, 1248–1252. [Google Scholar] [CrossRef]
- Zhen, Y.S.; Jiang, X.F. Cinnamamide, an antitumor agent with low cytotoxicity acting on matrix metalloproteinase. Anti-Cancer Drug. 2000, 11, 49–54. [Google Scholar] [CrossRef]
- Gill, E.L.; Watkins, R.W.; Cowan, D.P.; Bishop, J.D.; Gurney, J.E. Cinnamamide, an avian repellent, reduces woodpigeon damage to oilseed rape. Pestic. Sci. 52, 159–164.
- Gill, E.L.; Feare, C.J.; Cowan, D.P.; Fox, S.M.; Bishop, J.D.; Langton, S.D.; Watkins, R.W.; Gurney, J.E. Cinnamamide modifies foraging behaviors of free-living birds. J. Wildlife Manage. 62, 872–884.
- Kuhn, P.J.; Pitt, D.; Lee, S.A.; Wakley, G.; Shepard, A.N. Effects of dimethomorph on the morphology and ultra structure of phytophora. Mycol. Res. 1991, 95, 333–340. [Google Scholar] [CrossRef]
- Liu, W.C.; Liu, C.L. Novel fungicide flumorph(SYP-L190) with high activity. Pesticides 2002, 41, 8–11. [Google Scholar]
- Qin, Z.H.; Mu, C.W.; Mao, S.F.; Dong, Y.H.; Li, N.; Zhang, S.S. Preparation of 4-[3-(pyridin-4-yl)-3-phenylacryl]morpholine derivatives as fungicides. CN Patent 1566095, 19 January 2005. [Google Scholar]
- Mu, C.W.; Yuan, H.Z.; Li, N.; Fu, B.; Xiao, Y.M.; Ma, Y.Q.; Qi, S.H.; Qin, Z.H. Synthesis and fungicidal activities of a novel series of 4-[3-(pyrid-4-y1)-3-substituted phenyl acryloy1] morpholine. Chem. J. Chinese U. 2007, 28, l902–l906. [Google Scholar]
- Huang, X.Y.; Yuan, H.Z.; Qin, Z.H.; Chen, X.X.; Qi, S.H. Preliminary studies on the mode of action of pyrimorph against phytophthora infestans. Chin. J. Pestic. Sci. 2007, 9, 376–382. [Google Scholar]
- Yan, X.J.; Qin, W.C.; Sun, L.P.; Qi, S.H.; Yang, D.B.; Qin, Z.H.; Yuan, H.Z. Study of inhibitory effects and action mechanism of the novel fungicide Pyrimorph against Phytophthora capsici. J. Agric. Food Chem. 2010, 58, 2720–2725. [Google Scholar]
- Lamberth, C.; Cederbaum, F.; Jeanguenat, A.; Kempf, H.; Zeller, M.; Zeun, R. Synthesis and fungicidal activity of N-2-(3-methoxy-4-propargyloxy) phenethyl amides. Part II: Anti-oomycetic mandelamides. Pest Manag. Sci. 2006, 62, 446–451. [Google Scholar] [CrossRef]
- Su, N.; Wang, Z.J.; Wang, L.Z.; Zhang, X.; Dong, W.L.; Wang, H.X.; Li, Z.M.; Zhao, W.G. Synthesis and biological evaluation of isosteric analogs of mandipropamid for the control of Oomycete pathogens. Chem. Biol. Drug Des. 2011, 78, 101–111. [Google Scholar] [CrossRef]
- Liu, X.M.; Wan, S.Q. The Content of (E)-N-2-Phenylethylcinnamamide in different organ of clausena lansium and the activity to colletotrchum musae. Pesticides 2008, 47, 15–16. [Google Scholar]
- Liu, Y.X.; Gong, Z.Y.; Wan, S.Q. Inhibitory effects of clausenamide alkaloid on seven fruit pathogenic fungi. Plant Protection 2009, 35, 53–56. [Google Scholar]
- Stefanuti, I.; Smith, S.A.; Taylor, R.J.K. Unsaturated enamides via organometallic addition to isocyanates: The synthesis of Lansamide-I, Lansiumamides A–C and SB-204900. Tetrahedron Lett. 2000, 41, 3735–3738. [Google Scholar] [CrossRef]
- Chen, N.C. Pesticide Bioassay Method; Beijing Agriculture University Press: Beijing, China, 1998; p. 12. [Google Scholar]
- Sample Availability: Samples of the compounds 11 are available from the authors.
© 2011 by the authors; licensee MDPI, Basel, Switzerland. This article is an open access article distributed under the terms and conditions of the Creative Commons Attribution license ( http://creativecommons.org/licenses/by/3.0/).