Synthesis of Chiral Macrocyclic or Linear Pyridine Carboxamides from Pyridine-2,6-dicarbonyl Dichloride as Antimicrobial Agents
Abstract
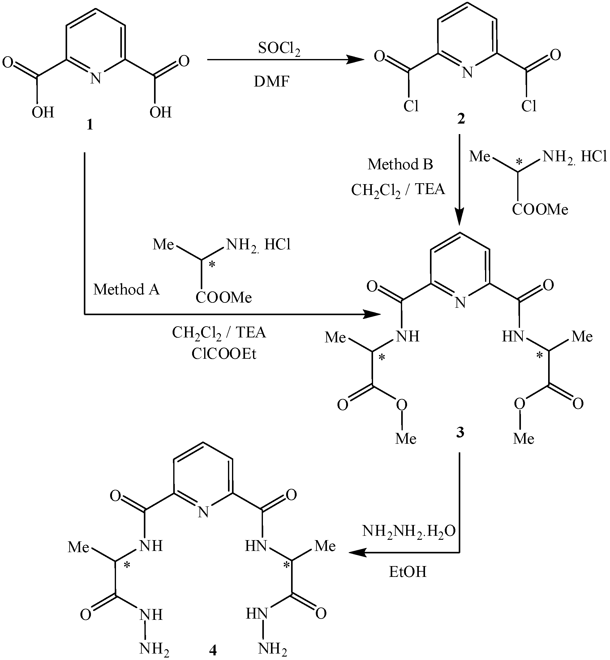
:1. Introduction
2. Results and Discussion
2.1. Chemistry



| Comp. No. | Mp (ºC) | Cryst. Solv. | Yield (%) | [α]30D [MeOH] | Molecular Formula (Mol. Wt.) |
|---|---|---|---|---|---|
| 3 | 148-250 | EtOH/diethyl ether | 75 [A]; 80 [B] | + 68 | C15H19N3O6 (337.13) |
| 4 | 193-195 | EtOH | 76 | + 45 | C13H19N7O4 (337.33) |
| 5 | 157-159 | EtOH | 65 | + 32 | C23H23N7O4S2 (525.60) |
| 6 | 302-304 | AcOH/ether | 80 | + 8 | C29H23N7O8 (597.54) |
| 7 | 135-137 | EtOH/diethylether | 65 | + 18 | C25H35N7O4 (497.59) |
| 8 | 139-140 | EtOH | 70 | +34 | C31H35N7O6 (601.65) |
| 9 | 152-154 | EtOH | 65 | + 54 | C29H29N9O8 (631.60) |
| 10 | 201-203 | DMF/H2O | 60 | + 24 | C46H34N14O16 (1038.85) |
| 11 | 232-234 | DMF/H2O | 65 | + 16 | C54H38N14O16 (1138.96) |
2.2. Antimicrobial Testing
| Compound No. | Inhibition zone in mm (at 50 µg/mL) | |||
|---|---|---|---|---|
| Gram positive bacteria | Gram negative bacteria | Fungi | ||
| Bacillus subtilis | S. aureus | Escherichia coli | C. albicans | |
| 1 | 14 | 18 | 19 | -ve |
| 3 | 16 | 20 | 14 | 16 |
| 4 | 14 | 18 | 19 | -ve |
| 5 | 25 | 25 | 20 | 17 |
| 6 | 23 | 25 | 30 | -ve |
| 7 | 19 | 22 | 21 | 20 |
| 8 | 13 | 19 | 16 | -ve |
| 9 | 20 | 25 | 24 | 14 |
| 10 | 19 | 24 | 20 | 16 |
| 11 | 20 | 22 | 21 | 15 |
| Ciprofloxacin | 23 | 23 | 25 | -ve |
| Ketaconazole | -ve | -ve | -ve | 23 |
2.3. Structure-Activity Relationship (SAR)
- The presence of nitrogen heterocyclic rings.
- The presence of the amide linkage groups generally enhancing the activity.
- The difference in activity between the compounds which is due to the indicated subsistents in the used reagents of the molecule.
3. Experimental
3.1. General
3.2. Chemistry
3.2.1. Synthesis of 2,6-bis-(methyl-D-alanylcarbonyl)pyridine carboxylate (3)
3.2.2. Synthesis of N2,N6-Bis(1-(2-(1-(4-substituted-phenyl)ethylidene)hydrazinyl)-1-oxopropan-2-yl)pyridine-2,6-dicarboxamides 8 and 9
3.2.3. Synthesis of macrocyclic octaamide tetraimides 10 and 11
4. Conclusions
Acknowledgements
- Sample Availability: Samples of the compounds are available from the authors.
References and Notes
- Chu, T.D.W.; Plattner, J.J.; Kotz, L. New directions in antibacterial research. J. Med. Chem. 1996, 39, 3853–3874. [Google Scholar] [CrossRef]
- Abou-Ghalia, M.H.; Amr, A.E. Synthesis and investigation of a new cyclo-(Nα-dipicolinoyl)pentapeptide of a breast and CNS cytotoxic activity and an ionophoric specifity. Amino Acids 2004, 26, 283–289. [Google Scholar]
- Amr, A.E.; Abdel-Salam, O.I.; Attia, A.; Stibor, I. Synthesis of new potential bis-intercallators based on chiral pyridine-2,6-dicarbox-amides. Coll. Czech Chem. Commun. 1999, 64, 288–298. [Google Scholar] [CrossRef]
- Mohamed, A.; Al-Omar, M.A.; Amr, A.E. Synthesis of some new pyridine-2,6-carboxamide-derived Schiff bases as potential antimicrobial agents. Molecules 2010, 15, 4711–4721. [Google Scholar] [CrossRef]
- Attia, A.; Abdel-Salam, O.I.; Amr, A.E.; Stibor, I.; Budesinsky, M. Synthesis and antimicrobial activity of some new chiral bridged macrocyclic pyridines. Egypt. J. Chem. 2000, 43, 187–201. [Google Scholar]
- Wright, P.S.; Cross-Doersen, D.; Th'ng, J.P.; Guo, X.W.; Crissman, H.A.; Bradbury, E.M.; Montgomery, L.R.; Thompson, F.Y.; Loudy, D.E.; Johnston, J.O.; Bitonti, A.J. A ribonucleotide reductase inhibitor, MDL 101,731, induces apoptosis and elevates TRPM-2 mRNA levels in human prostate tumor xenografts. Exp. Cell Res. 1996, 222, 54–60. [Google Scholar] [CrossRef]
- Park, H.S.; Lin, Q.; Hamilton, A.D. Protein surface recognition by synthetic receptors: A route to novel submicromolar inhibitors for α-chymotrypsin. J. Am. Chem. Soc. 1999, 121, 8–13. [Google Scholar]
- Dowden, J.; Edwards, P.D.; Flack, S.S.; Kilbnurn, J.D. Synthesis and Binding Properties of a Macrocyclic Peptide Receptor. Chem. Eur. J. 1999, 5, 79–89. [Google Scholar] [CrossRef]
- Hassan, S.S.M.; Abou-Ghalia, M.H.; Amr, A.E.; Mohamed, A.H.K. Novel lead (II) selective membrane potentiometric sensors based on chiral 2,6-bis-pyridinecarboxamide derivatives. Talanta 2003, 60, 81–91. [Google Scholar] [CrossRef]
- Hassan, S.S.M.; Abou-Ghalia, M.H.; Amr, A.E.; Mohamed, A.H.K. Novel thiocyanate-selective membrane sensors based on di-, tetra-, and hexa-imidepyridine ionophores. Anal. Chim. Acta 2003, 482, 9–18. [Google Scholar] [CrossRef]
- Bayrak, H.; Demirbas, A.; Karaoglu, S.A.; Demirbas, N. Synthesis of some new 1,2,4-triazoles, their Mannich and Schiff bases and evaluation of their antimicrobial activities. Eur. J. Med. Chem. 2009, 44, 1057–1066. [Google Scholar] [CrossRef]
- Ashok, M.; Holla, B.S.; Boojary, B. Convenient one pot synthesis and antimicrobial evaluation of some new Mannich bases carrying 4-methylthiobenzyl moiety. Eur. J. Med. Chem. 2007, 42, 1095–1101. [Google Scholar] [CrossRef]
- Karthikeyan, M.S.; Prasad, D.J.; Boojary, B.; Bhat, K.S.; Holla, B.S.; Kumari, N.S. Synthesis and biological activity of Schiff and Mannich bases bearing 2,4-dichloro-5-fluorphenyl moiety. Bioorg. Med. Chem. 2006, 14, 7482–7489. [Google Scholar]
- Tozkoparan, B.; Küpeli, E.; Yeşilada, E.; Ertan, M. Preparation of 5-aryl-3-alkylthio-l,2,4-triazoles and corresponding sulfones with antiinflammatory–analgesic activity. Bioorg. Med. Chem. 2007, 15, 1808–1814. [Google Scholar] [CrossRef]
- Labanauskas, L.; Udrenaite, E.; Gaidelis, P.; Brukštus, A. Synthesis of 5-(2,3,4-methoxy-phenyl)-4H-1,2,4-triazole-3-thiol derivatives exhibiting anti-inflammatory activity. Farmaco 2004, 59, 255–259. [Google Scholar] [CrossRef]
- Navidpour, L.; Shafaroodi, H.; Abdi, K.; Amini, M.; Ghahremani, M.H.; Dehpour, A.R.; Shafiee, A. Design, synthesis, and biological evaluation of substituted 3-alkylthio-4,5-diaryl-4H-1,2,4-triazoles as selective COX-2 inhibitor. Bioorg. Med. Chem. 2006, 14, 2507–2517. [Google Scholar] [CrossRef]
- Maxwell, J.R.; Wasdahl, D.A.; Wolfson, A.C.; Stenberg, V.I. ynthesis of 5-aryl-2H-tetrazoles, 5-aryl-2H-tetrazole-2-acetic acids, and [(4-phenyl-5-aryl-4H-1,2,4-triazol-3-yl)thio]acetic acids as possible superoxide scavengers and anti-inflammatory agents. J. Med. Chem. 1984, 27, 1565–1570. [Google Scholar] [CrossRef]
- Amr, A.E.Z. Synthesis of some new linear and chiral macrocyclic pyridine carbazides as analgesic and anticonvulsant agents. Z. Naturforsch. 2005, 60b, 990–998. [Google Scholar]
- Abou-Ghalia, M.H.; Amr, A.E.; Abdalah, M.M. Synthesis of some new (Nα-dipicolinoyl)-bis-L-leucyl-DL-norvalyl linear tetra and cyclic octa bridged peptides as new anti-inflammatory agents. Z. Naturforsch. 2003, 58b, 903–910. [Google Scholar]
- Amr, A.E.; Sayed, H.H.; Abdulla, M.M. ynthesis and reactions of some new substituted pyridine and pyrimidine derivatives as analgesic, anticonvulsant and antiparkinsonian agents. Arch. Pharm. Chem. Life Sci. 2005, 338, 433–440. [Google Scholar]
- Amr, A.E.; Abdel-Latif, N.A.; Abdulla, M.M. Synthesis and antiandrogenic activity of some new 3-substituted androstano[17,16-c]-5`-aryl-pyrazoline and their derivatives. Bioorg. Med. Chem. 2006, 14, 373–384. [Google Scholar]
- Hammam, A.G.; Fahmy, A.F.M.; Amr, A.E.; Mohamed, A.M. Synthesis of novel tricyclic heterocyclic compounds as potential anticancer agents using chromanone and thiochromanone as synthons. Ind. J. Chem. 2003, 42B, 1985–1993. [Google Scholar]
- Cruickshank, R.; Duguid, J.P.; Marion, B.P.; Swain, R.H.A. Medicinal Microbiology, 12th ed; Churchill Livingstone: London, UK, 1975; Volume II, pp. 196–202. [Google Scholar]
- Abou-Zeid, A.A.; Shehata, Y.M. A simple technique for assaying antibiotics using methylene blue as an indicator. Ind. J. Pharm. 1969, 31, 72–75. [Google Scholar]
© 2010 by the authors; licensee MDPI, Basel, Switzerland. This article is an open access article distributed under the terms and conditions of the Creative Commons Attribution license (http://creativecommons.org/licenses/by/3.0/).
Share and Cite
Al-Salahi, R.A.; Al-Omar, M.A.; Amr, A.E.-G.E. Synthesis of Chiral Macrocyclic or Linear Pyridine Carboxamides from Pyridine-2,6-dicarbonyl Dichloride as Antimicrobial Agents. Molecules 2010, 15, 6588-6597. https://doi.org/10.3390/molecules15096588
Al-Salahi RA, Al-Omar MA, Amr AE-GE. Synthesis of Chiral Macrocyclic or Linear Pyridine Carboxamides from Pyridine-2,6-dicarbonyl Dichloride as Antimicrobial Agents. Molecules. 2010; 15(9):6588-6597. https://doi.org/10.3390/molecules15096588
Chicago/Turabian StyleAl-Salahi, Rashad A., Mohamed A Al-Omar, and Abd El-Galil E Amr. 2010. "Synthesis of Chiral Macrocyclic or Linear Pyridine Carboxamides from Pyridine-2,6-dicarbonyl Dichloride as Antimicrobial Agents" Molecules 15, no. 9: 6588-6597. https://doi.org/10.3390/molecules15096588
APA StyleAl-Salahi, R. A., Al-Omar, M. A., & Amr, A. E.-G. E. (2010). Synthesis of Chiral Macrocyclic or Linear Pyridine Carboxamides from Pyridine-2,6-dicarbonyl Dichloride as Antimicrobial Agents. Molecules, 15(9), 6588-6597. https://doi.org/10.3390/molecules15096588
