Two New Flavones from Tridax procumbens Linn
Abstract
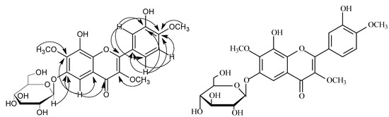
:1. Introduction

2. Results and Discussion
| Position | Compound 1 | Compound 2 | ||||
|---|---|---|---|---|---|---|
| δ H | δ C | HMBC | δ H | δ C | HMBC | |
| 2 | 158.3 | 115.9 | ||||
| 3 | 139.9 | 138.8 | ||||
| 4 | 180.4 | 179.4 | ||||
| 5 | 6.87 s | 95.6 | C10, C7, C9, C6, C4 | 6.54 s | 93.2 | C10, C7, C9 |
| 6 | 157.9 | 155.1 | ||||
| 7 | 133.8 | 130.1 | ||||
| 8 | 153.8 | 152.4 | ||||
| 9 | 153.4 | 151.9 | ||||
| 10 | 108.1 | 106.4 | ||||
| 1′ | 124.1 | 123.7 | ||||
| 2′ | 7.60 d (2.0) | 116.3 | C6′, C3′, C4′, C2 | 7.73 d (2.0) | 114.6 | C6′, C3′, C4′, C2 |
| 3′ | 147.7 | 145.6 | ||||
| 4′ | 151.9 | 148.9 | ||||
| 5′ | 7.03 d (8.0) | 112.3 | C1′, C3′, C4′ | 6.97 d (8.0) | 110.5 | C1′, C3′, C4′ |
| 6′ | 7.65 dd (8.0, 2.0) | 122.4 | C2′, C4′ | 7.71 dd (8.0, 2.0) | 121.7 | C2′, C4′ |
| 3-OCH3 | 3.80 s | 60.6 | C3 | 3.86 s | 60.3 | C3 |
| 7-OCH3 | 3.88 s | 61.5 | C7 | 4.04 s | 61.1 | C7 |
| 4′-OCH3 | 3.93 s | 56.4 | C4′ | 3.99 s | 56.2 | C4′ |
| 1′′ | 5.10 d (7.4) | 102.0 | C6 | |||
| 2′′ | 3.49 m | 74.8 | C1′′, C3′′ | |||
| 3′′ | 3.53 dd | 78.0 | C2′′, C4′′ | |||
| 4′′ | 3.41 m | 71.3 | C3′′, C5′′ | |||
| 5′′ | 3.42 m | 78.5 | C4′′ | |||
| 6′′ | 3.69 dd, 3.95 m | 62.6 | C5′′ | |||


Antioxidant activity
| Compound 1 | Compound 2 | Trolox | |
|---|---|---|---|
| IC50 value (mg/mL) | 0.03180 | 0.04618 | 0.00948 |
| TEAC value (mg/g) | 0.29784 | 0.07017 | 1.00000 |

3. Experimental
3.1. General
3.2. Plant aaterial
3.3. Extraction and isolation [10]
3.4. Spectral data
3.5. Process of acid hydrolysis
3.6. DPPH and FRAP assays
3.6.1. DPPH assay
3.6.2. FRAP assay [12]
4. Conclusions
Supplementary Materials
Acknowledgments
- Samples Availability: Samples of ccompound 1 and compound 2 are available from the authors (contact yuan_ke001@yahoo.com.cn).
References
- An, F.; Kan, L.Y.; Xie, G.S.; Chen, Z.Q. Analyses of the Germination in the Invasive Plant Eupatorium Catarium Seeds in Hainan Province. J. Northwest Forest. Univ. 2007, 22, 198–206. [Google Scholar]
- Saxena, V.K.; Albert, S. β-Sitosterol-3-O-β-D-xylopyranoside from the flowers of Tridax procumbens Linn. J.Chem.Sci. 2005, 117, 263–266. [Google Scholar] [CrossRef]
- Martin-Quintal, Z.; Moo-Puc, R.; Gonzalez-Salazar, F.; Chan-Bacab, M.J.; Torres-Tapia, L.W.; Peraza-Sánchez, S.R. In vitro activity of Tridax procumbens against promastigotes of Leishmania mexicana. J. Ethnopharmacol. 2009, 122, 463–467. [Google Scholar] [CrossRef]
- Gautam, R.; Saklani, A.; Jachak, S.M. Indian medicinal plants as a source of antimycobacterial agents. J. Ethnopharmacol. 2007, 110, 200–234. [Google Scholar] [CrossRef]
- Cheng, G.; Bai, Y.J.; Zhao, Y.Y.; Tao, J.; Liu, Y.; Tu, G.Z.; Ma, L.B.; Liao, N.; Xu, X.J. Flavonoids from Ziziphus jujuba Mill var. spinosa. Tetrahedron 2000, 56, 8915–8920. [Google Scholar] [CrossRef]
- Sharma, R.K.; Negi, D.S.; Gibbons, S.; Otsuka, H. Chemical and antibacterial constituents of Skimmia anquetelia. Planta Med. 2008, 74, 175–177. [Google Scholar] [CrossRef]
- Wang, Y.L.; Song, D.D.; Li, Z.L.; Yuan, T.; Zhang, H.L.; Pei, Y.H.; Jing, Y.K.; Hua, H.M. Triterpenoids isolated from the aerial parts of Salvia chinensis. Phytochem. Lett. 2009, 2, 81–84. [Google Scholar] [CrossRef]
- Dimitroula, T.; Nektarios, A.; Konstantia, G.; Caroline, S.; Ioanna, C. Triterpenoids from Eucalyptus camaldulensis Dehnh. Tissue Cultures. Helv. Chim. Acta 2008, 91, 2110–2114. [Google Scholar] [CrossRef]
- Fang, J.M.; Liu, M.Y.; Cheng, Y.S. Lignans from wood of Calocedrus formosana. Phytochemistry 1990, 29, 3048–3049. [Google Scholar] [CrossRef]
- Sayed, A.A.; Hossain, M.B.; Dick, V.H.; Francis, J.S. Alkaloids from the Tunicate Polycarpa aurata from Chuuk Atoll. J. Org. Chem. 1996, 61, 2709–2712. [Google Scholar] [CrossRef]
- Liu, J.K.; Hu, L.; Dong, Z.J.; Hu, Q. DPPH radical scavenging activity of ten natural p-terphenyl derivatives obtained from three edible mushrooms indigenous to China. Chem. Biodiversi. 2004, 1, 601–605. [Google Scholar] [CrossRef]
- Gao, Y.H.; Zheng, J.P.; Zhu, C.Y.; Li, Y.J.; Ke, Y.; Bian, K. Evaluation and Miniaturization for Antioxidant Capacity Measurement. Chin. Pham. J. 2008, 24, 1863–1867. [Google Scholar]
- Thaipong, K.; Boonprakob, U.; Crosby, K.; Cisneros-Zevallos, L.; Byrne, D.H. Comparison of ABTS, DPPH, FRAP and ORAC assays for estimating antioxidant activity from guava fruit extracts. J. Food Compos. Anal. 2006, 19, 669–675. [Google Scholar] [CrossRef]
© 2010 by the authors; licensee MDPI, Basel, Switzerland. This article is an open access article distributed under the terms and conditions of the Creative Commons Attribution license (http://creativecommons.org/licenses/by/3.0/).
Share and Cite
Xu, R.; Zhang, J.; Yuan, K. Two New Flavones from Tridax procumbens Linn. Molecules 2010, 15, 6357-6364. https://doi.org/10.3390/molecules15096357
Xu R, Zhang J, Yuan K. Two New Flavones from Tridax procumbens Linn. Molecules. 2010; 15(9):6357-6364. https://doi.org/10.3390/molecules15096357
Chicago/Turabian StyleXu, Runsheng, Jing Zhang, and Ke Yuan. 2010. "Two New Flavones from Tridax procumbens Linn" Molecules 15, no. 9: 6357-6364. https://doi.org/10.3390/molecules15096357
APA StyleXu, R., Zhang, J., & Yuan, K. (2010). Two New Flavones from Tridax procumbens Linn. Molecules, 15(9), 6357-6364. https://doi.org/10.3390/molecules15096357
