Click Reactions and Boronic Acids: Applications, Issues, and Potential Solutions
Abstract
:1. Introduction
2. The CuAAC Reaction-A Brief Overview
3. Click-Modification of Thymidine-5'-triphosphate (TTP) for DNA Incorporation

4. Click Reaction in the Preparation of Boronic Acid Fluorophores



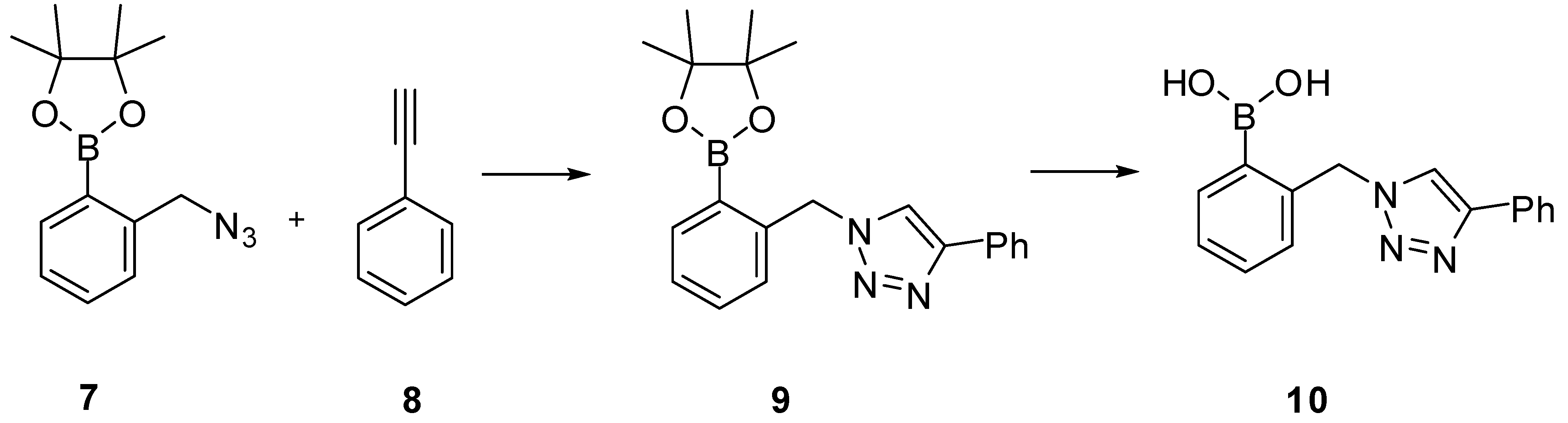
5. Synthesis of Alkynylarylboronic Acids for CuAAC


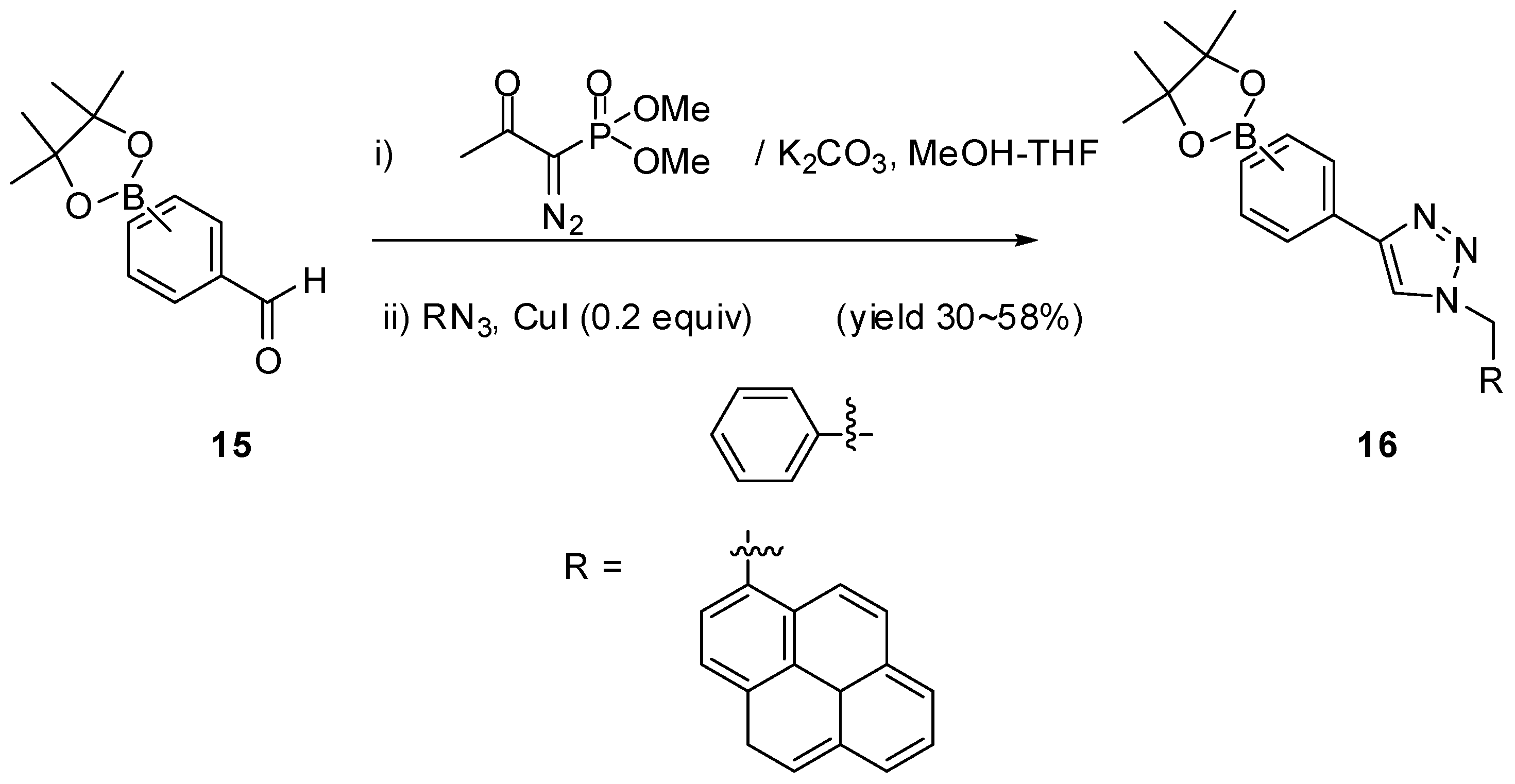
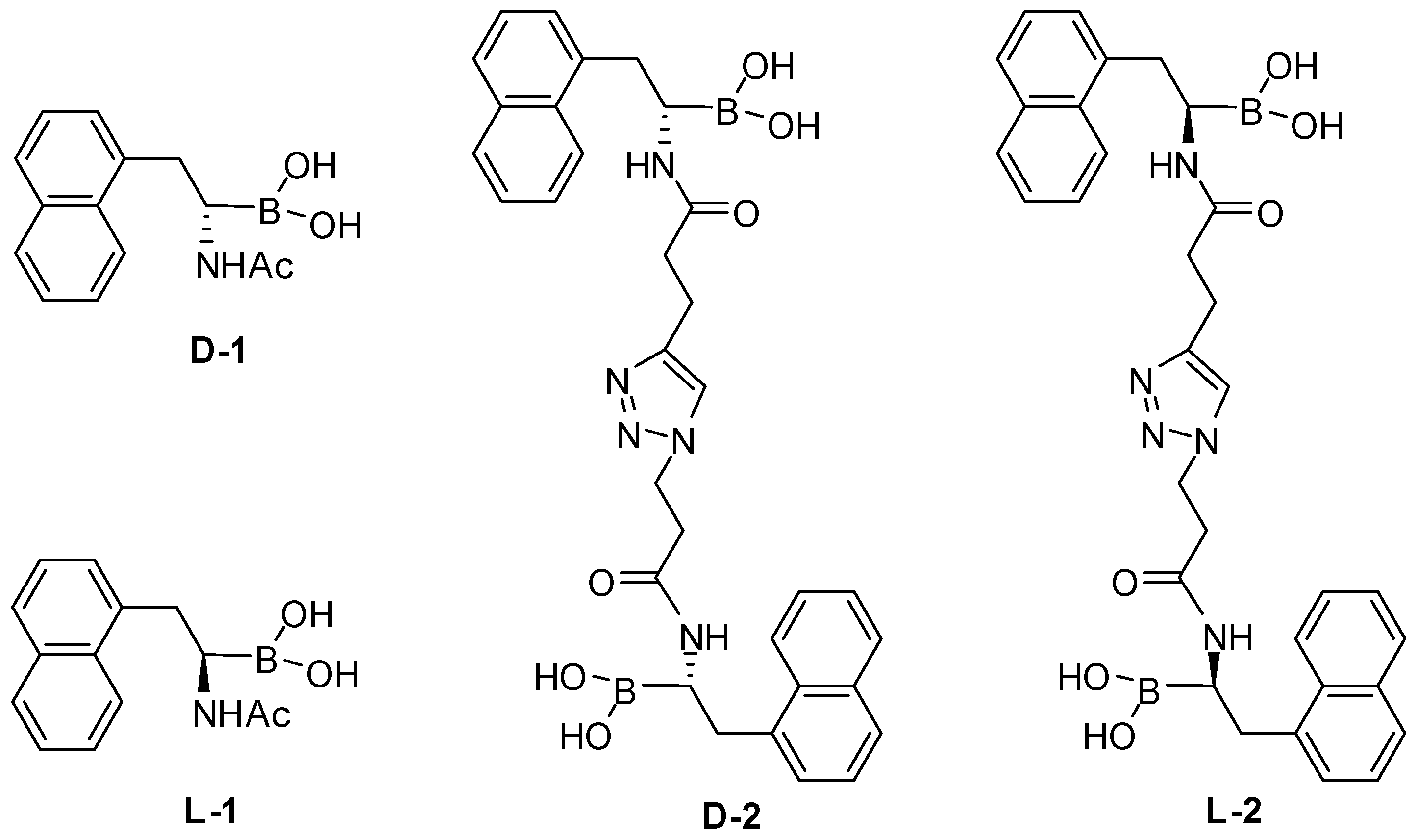
6. Bisamidoboronic Acid Preparation Using CuAAC

7. Copper-Mediated Boronic Acid Degradation and Its Effect on CuAAC



8. Conclusions
Acknowledgements
- Sample Availability: Not available
References and Notes
- Miyaura, N.; Suzuki, A. Palladium-Catalyzed Cross-Coupling Reactions of Organoboron Compounds. Chem. Rev. 1995, 95, 2457–2483. [Google Scholar] [CrossRef]
- Quach, T.D.; Batey, R.A. Ligand- and Base-free Copper(II)-catalyzed C-N Bond Formation: Cross-coupling Reactions of Organoboron Compounds with Aliphatic Amines and Anilines. Org. Lett. 2003, 5, 4397–4400. [Google Scholar] [CrossRef]
- Ferrier, R.J. Carbohydrate Boronates. Adv. Cabohydr. Chem. Biochem. 1978, 35, 31. [Google Scholar] [CrossRef]
- Loh, T.P.; Wang, R.B.; Sim, K.Y. Chiral Tartrate-derived Dioxaborolidine: A Simple and Practical Catalyst for Enantioselective Diels-Alder Reaction. Tetrahedron Lett. 1996, 37, 2989–2992. [Google Scholar] [CrossRef]
- Ishihara, K.; Gao, Q.Z.; Yamamoto, H. Enantioselective Diels-Alder Reaction of Alpha-Bromo Alpha,Beta-Enals with Dienes under Catalysis by Cab. J. Org. Chem. 1993, 58, 6917–6919. [Google Scholar] [CrossRef]
- Petasis, N.A.; Zavialov, I.A. A New and Practical Synthesis of α-Amino Acids from Alkenyl Boronic Acids. J. Am. Chem. Soc. 1997, 119, 445–446. [Google Scholar] [CrossRef]
- Yu, H.; Wang, B. Phenylboronic Acids Facilitated Selective Reduction of Aldehydes by Tributyltin Hydride. Synth. Commun. 2001, 31, 163–169. [Google Scholar]
- Ishihara, K.; Ohara, S.; Yamamoto, H. 3,4,5-Trifluorobenzeneboronic Acid as an Extremely Active Amidation Catalyst. J. Org. Chem. 1996, 61, 4196–4197. [Google Scholar] [CrossRef]
- Latta, R.P.; Springsteen, G.; Wang, B. Development of an Arylboronic Acid-based Solid-Phase Amidation Catalyst. Synthesis 2001, 1611–1613. [Google Scholar]
- Yang, W.; Gao, X.; Springsteen, G.; Wang, B. Catechol Pendant Polystyrene for Solid Phase Synthesis. Tetrahedron Lett. 2002, 43, 6339–6342. [Google Scholar] [CrossRef]
- Sakuma, S.; Sakai, M.; Itooka, R.; Miyaura, N. Asymmetric Conjugate 1,4-addition of Arylboronic Acids to Alpha,beta-unsaturated Esters Catalyzed by Rhodium(I)/(S)-binap. J. Org. Chem. 2000, 65, 5951–5955. [Google Scholar] [CrossRef]
- Hayashi, T.; Yamasaki, K. Rhodium-catalyzed Asymmetric 1,4-addition and its Related Asymmetric Reactions. Chem. Rev. 2003, 103, 2829–2844. [Google Scholar] [CrossRef]
- Sakai, M.; Ueda, M.; Miyaura, N. Rhodium-catalyzed Addition of Organoboronic Acids to Aldehydes. Angew. Chem. Int. Ed. 1998, 37, 3279–3281. [Google Scholar] [CrossRef]
- Takezawa, A.; Yamaguchi, K.; Ohmura, T.; Yamamoto, Y.; Miyaura, N. Inter- and Intramolecular Additions of 1-alkenylboronic Acids or Esters to Aldehydes and Ketones Catalyzed by Rhodium(I) Complexes in Basic, Aqueous Solutions. Synlett 2002, 1733–1735. [Google Scholar]
- Ueda, M.; Miyaura, N. Rhodium-Catalyzed Phenylation of N-arylsulfonyl Aldimines with Sodium Tetraphenylborate or Trimethyl(phenyl)stannane. J. Organomet. Chem. 2000, 595, 31–35. [Google Scholar] [CrossRef]
- Currie, G.S.; Drew, M.G.B.; Harwood, L.M.; Hughes, D.J.; Luke, R.W.A.; Vickers, R.J. Chirally Templated Boronic Acid Mannich Reaction in the Synthesis of Optically Active α-Amino Acids. J. Chem. Soc., Perkin Trans. 1 2000, 2982–2990. [Google Scholar]
- Aakeroy, C.B.; Salmon, D.J. Building Co-crystals with Molecular Sense and Supramolecular Sensibility. CrystEngComm 2005, 7, 439–448. [Google Scholar] [CrossRef]
- Braga, D.; Polito, M.; Bracaccini, M.; D'Addario, D.; Tagliavini, E.; Sturba, L.; Grepioni, F. Novel Organometallic Building Blocks for Molecular Crystal engineering. 2. Synthesis and Characterization of Pyridyl and Pyrimidyl Derivatives of Diboronic acid, [Fe(eta(5)-C5H4-B(OH)(2))(2)] and of Pyridyl boronic acid, [Fe(eta(5)-C5H4-4-C5H4N)(eta(5)-C5H4-B(OH)(2))]. Organometallics 2003, 22, 2142–2150. [Google Scholar] [CrossRef]
- Niu, W.J.; O'Sullivan, C.; Rambo, B.M.; Smith, M.D.; Lavigne, J.J. Self-Repairing Polymers: Poly(Dioxaborolane)s Containing Trigonal Planar Boron. Chem. Commun. 2005, 34, 4342–4344. [Google Scholar]
- Niu, W.J.; Rambo, B.; Smith, M.D.; Lavigne, J.J. Substituent Effects on the Structure and Supramolecular Assembly of Bis(Dioxaborole)s. Chem. Commun. 2005, 41, 5166–5168. [Google Scholar]
- Pedireddi, V.R.; Seethalekshmi, N. Boronic Acids in the Design and Synthesis of Supramolecular Assemblies. Tetrahedron Lett. 2004, 45, 1903–1906. [Google Scholar] [CrossRef]
- Fournier, J.H.; Maris, T.; Wuest, J.D.; Guo, W.Z.; Galoppini, E. Molecular Tectonics. Use of the Hydrogen Bonding of Boronic Acids to Direct Supramolecular Construction. J. Am. Chem. Soc. 2003, 125, 1002–1006. [Google Scholar] [CrossRef]
- Davis, C.J.; Lewis, P.T.; Billodeaux, D.R.; Fronczek, F.R.; Escobedo, J.O.; Strongin, R.M. Solid-State Supramolecular Structures of Resorcinol-Arylboronic Acid Compounds. Org. Lett. 2001, 3, 2443–2445. [Google Scholar]
- Hopfl, H. The Tetrahedral Character of the Boron Atom Newly Defined - a Useful Tool to Evaluate the N -> Bond. J. Organomet. Chem. 1999, 581, 129–149. [Google Scholar] [CrossRef]
- Cannizzo, C.; Amigoni-Gerbier, S.; Larpent, C. Boronic Acid-functionalized Nanoparticles: Synthesis by Microemulsion Polymerization and Application as a Re-usable Optical Nanosensor for Carbohydrates. Polymer 2005, 46, 1269–1276. [Google Scholar] [CrossRef]
- Mallia, A.K.; Hermanson, G.T.; Krohn, R.I.; Fujimoto, E.K.; Smith, P.K. Preparation and Use of a Boronic Acid Affinity Support for Separation and Quantitation of Glycosylated Hemoglobins. Anal. Lett. 1981, 14, 649–661. [Google Scholar] [CrossRef]
- Middle, F.A.; Bannister, A.; Bellingham, A.J.; Dean, P.D.G. Separation of Glycosylated Hemoglobins using Immobilized Phenylboronic acid. Effect of Ligand Concentration, Column Operating Conditions, and Comparison with Ion Exchange and Isoelectric Focusing. Biochem. J. 1983, 209, 771–779. [Google Scholar]
- Kitano, S.; Koyama, Y.; Kataoka, K.; Okano, T.; Sakurai, Y. A Novel Drug Delivery System Utilizing a Glucose Responsive Polymer Complex between Poly(Vinyl Alcohol) and Poly(N-Vinyl-2-pyrrolidone) with a Phenylboronic Acid Moiety. J. Control. Release 1992, 19, 162–170. [Google Scholar]
- Yoon, J.; Czarnik, A.W. Fluorescent Chemosensors of Carbohydrates. A Means of Chemically Communicating the Binding of Polyols in Water Based on Chelation-Enhanced Quenching. J. Am. Chem. Soc. 1992, 114, 5874–5875. [Google Scholar] [CrossRef]
- Smith, B.D.; Gardiner, S.J.; Munro, T.A.; Paugam, M.F.; Riggs, J.A. Facilitated Transport of Carbohydrates, Catecholamines, and Amino Acids Through Liquid and Plasticized Organic Membranes. J. Inclusion Phenom. Mol. Recogn. Chem. 1998, 32, 121–131. [Google Scholar] [CrossRef]
- Jabbour, A.; Steinberg, D.; Dembitsky, V.M.; Moussaieff, A.; Zaks, B.; Srebnik, M. Synthesis and Evaluation of Oxazaborolidines for Antibacterial Activity against Streptococcus Mutans. J. Med. Chem. 2004, 47, 2409–2410. [Google Scholar] [CrossRef]
- Aharoni, R.; Bronstheyn, M.; Jabbour, A.; Zaks, B.; Srebnik, M.; Steinberg, D. Oxazaborolidine Derivatives Inducing Autoinducer-2 Signal Transduction in Vibrio Harveyi. Bioorg. Med. Chem. 2008, 16, 1596–1604. [Google Scholar] [CrossRef]
- Badugu, R.; Lakowicz, J.R.; Geddes, C.D. Cyanide-Sensitive Fluorescent Probes. Dye Pigment 2005, 64, 49–55. [Google Scholar] [CrossRef]
- Cooper, C.R.; Spencer, N.; James, T.D. Selective Fluorescence Detection of Fluoride Using Boronic Acids. Chem. Commun. 1998, 1365–1366. [Google Scholar]
- Gray, C.W., Jr.; Houston, T.A. Boronic Acid Receptors for x-Hydroxycarboxlates: High Affinity of Shinkai's Glucose Receptor for Tartrate. J. Org. Chem. 2002, 67, 5426–5428. [Google Scholar] [CrossRef]
- Zhu, L.; Zhong, Z.; Anslyn, E.V. Guidelines in Implementing Enantioselective Indicator-Displacement Assays for α-Hydroxycarboxylates and Diols. J. Am. Chem. Soc. 2005, 127, 4260–4269. [Google Scholar]
- Yang, W.; Gao, X.; Wang, B. Boronic Acid Compounds as Potential Pharmaceutical Agents. Med. Res. Rev. 2003, 23, 346–368. [Google Scholar] [CrossRef]
- Soloway, A.H.; Tjarks, W.; Barnum, B.A.; Rong, F.G.; Barth, R.F.; Codogni, I.M.; Wilson, J.G. The Chemistry of Neutron Capture Therapy. Chem. Rev. 1998, 98, 1515–1562. [Google Scholar] [CrossRef]
- Ni, N.; Li, M.; Wang, J.; Wang, B. Inhibitors and Antagonists of Bacterial Quorum Sensing. Med. Res. Rev. 2009, 29, 65–124. [Google Scholar] [CrossRef]
- Baker, S.J.; Zhang, Y.K.; Akama, T.; Lau, A.; Zhou, H.; Hernandez, V.; Mao, W.; Alley, M.R.K.; Sanders, S.; Plattner, J.J. Discovery of a New Boron-Containing Antifungal Agent, 5-Fluoro-1,3-dihydro-1-hydroxy-2,1-benzoxaborole (AN2690), for the Potential Treatment of Onychomycosis. J. Med. Chem. 2006, 4447–4450. [Google Scholar]
- Baker, S.J.; Akama, T.; Zhang, Y.K.; Sauro, V.; Pandit, C.; Singh, R.; Kully, M.; Khan, J.; Plattner, J.J.; Benkovic, S.J.; Lee, V.; Maples, K.R. Identification of a Novel Boron-containing Antibacterial Agent (AN0128) with Anti-inflammatory Activity, for the Potential Treatment of Cutaneous Diseases. Bioorg. Med. Chem. Lett. 2006, 16, 5963–5967. [Google Scholar]
- Jin, S.; Cheng, Y.F.; Reid, S.; Li, M.Y.; Wang, B.H. Carbohydrate Recognition by Boronolectins, Small Molecules, and Lectins. Med. Res. Rev. 2010, 30, 171–257. [Google Scholar]
- Adams, J.; Kauffman, M. Development of the Proteasome Inhihitor Veleade((TM)) (Bortezomib). Cancer Invest. 2004, 22, 304–311. [Google Scholar] [CrossRef]
- Dickinson, B.C.; Chang, C.J. A Targetable Fluorescent Probe for Imaging Hydrogen Peroxide in the Mitochondria of Living Cells. J. Am. Chem. Soc. 2008, 130, 9638–9639. [Google Scholar] [CrossRef]
- Chang, M.C.Y.; Pralle, A.; Isacoff, E.Y.; Chang, C.J. A Selective, Cell-permeable Optical Probe for Hydrogen Peroxide in Living Cells. J. Am. Chem. Soc. 2004, 126, 15392–15393. [Google Scholar]
- Halo, T.L.; Appelbaum, J.; Hobert, E.M.; Balkin, D.M.; Schepartz, A. Selective Recognition of Protein Tetraserine Motifs with a Cell-permeable, Pro-fluorescent Bis-boronic Acid. J. Am. Chem. Soc. 2009, 131, 438–439. [Google Scholar] [CrossRef]
- Trokowski, R.; Zhang, S.; Sherry, A.D. Cyclen-based Phenylboronate Ligands and their Eu3+ Complexes for Sensing Glucose by MRI. Bioconjug. Chem. 2004, 15, 1431–1440. [Google Scholar] [CrossRef]
- Zhang, S.; Trokowski, R.; Sherry, A.D. A Paramagnetic CEST Agent for Imaging Glucose by MRI. J. Am. Chem. Soc. 2003, 125, 15288–15289. [Google Scholar] [CrossRef]
- Yang, W.; Fan, H.; Gao, S.; Gao, X.; Ni, W.; Karnati, V.; Hooks, W.B.; Carson, J.; Weston, B.; Wang, B. The First Fluorescent Diboronic Acid Sensor Specific for Hepatocellular Carcinoma Cells Expressing Sialyl Lewis X. Chem. Biol. 2004, 11, 439–448. [Google Scholar] [CrossRef]
- Dowlut, M.; Hall, D.G. An Improved Class of Sugar-binding Boronic acids, Soluble and Capable of Complexing Glycosides in Neutral Water. J. Am. Chem. Soc. 2006, 128, 4226–4227. [Google Scholar] [CrossRef]
- Berube, M.; Dowlut, M.; Hall, D.G. Benzoboroxoles as Efficient Glycopyranoside-binding Agents in Physiological Conditions: Structure and Selectivity of Complex Formation. J. Org. Chem. 2008, 73, 6471–6479. [Google Scholar] [CrossRef]
- Lin, N.; Yan, J.; Huang, Z.; Altier, C.; Li, M.Y.; Carrasco, N.; Suyemoto, M.; Johnston, L.; Wang, S.M.; Wang, Q.; Fang, H.; Caton-Williams, J.; Wang, B.H. Design and Synthesis of Boronic-acid-labeled Thymidine Triphosphate for Incorporation into DNA. Nucl. Acid Res. 2007, 35, 1222–1229. [Google Scholar]
- Yang, X.C.; Dai, C.F.; Dayan, A.; Molina, C.; Wang, B.H. Boronic Acid-modified DNA that Changes Fluorescent Properties upon Carbohydrate Binding. Chem. Commun. 2010, 46, 1073–1075. [Google Scholar] [CrossRef]
- Liu, C.C.; Mack, A.V.; Tsao, M.-L.; Mills, J.H.; Lee, H.S.; Choe, H.; Farzan, M.; Schultz, P.; Smidere, V.V. Protein Evolution with an Expanded Genetic Code. Proc. Nat. Acad. Sci. USA 2008, 105, 17688–17693. [Google Scholar]
- Rostovtsev, V.V.; Green, L.G.; Fokin, V.V.; Sharpless, K.B. A Stepwise Huisgen Cycloaddition Process: Copper(I)-catalyzed Regioselective "Ligation" of Azides and Terminal Alkynes. Angew. Chem. Int. Ed. 2002, 41, 2596–2599. [Google Scholar] [CrossRef]
- Meldal, M.; Tornoe, C.W. Cu-catalyzed Azide-alkyne Cycloaddition. Chem. Rev. 2008, 108, 2952–3015. [Google Scholar] [CrossRef]
- Kolb, H.C.; Finn, M.G.; Sharpless, K.B. Click Chemistry: Diverse Chemical Function from a Few Good Reactions. Angew. Chem. Int. Ed. 2001, 40, 2004–2021. [Google Scholar] [CrossRef]
- Michael, A. Ueber die Einwirkung von Diazobenzolimid auf Acetylendicarbonsauremethylester. J. Prakt. Chem. 1893, 48, 94–95. [Google Scholar] [CrossRef]
- Huisgen, R.; Szeimies, G.; Moebius, L. 1,3-Dipolar Cycloadditions. XXXII. Kinetics of the Addition of Organic Azides to Carbon-carbon Multiple Bonds. Chem. Ber. 1967, 100, 2494–2507. [Google Scholar] [CrossRef]
- Tornøe, C.W.; Christensen, C.; Meldal, M. Peptidotriazoles on Solid Phase: [1,2,3]-Triazoles by Regiospecific Copper(I)-Catalyzed 1,3-dipolar Cycloadditions of Terminal Alkynes to Azides. J. Org. Chem. 2002, 67, 3057–3064. [Google Scholar] [CrossRef]
- Zhang, L.; Chen, X.G.; Xue, P.; Sun, H.H.Y.; Williams, I.D.; Sharpless, K.B.; Fokin, V.V.; Jia, G.C. Ruthenium-Catalyzed Cycloaddition of Alkynes and Organic Azides. J. Am. Chem. Soc. 2005, 127, 15998–15999. [Google Scholar]
- Bock, V.D.; Hiemstra, H.; van Maarseveen, J.H. Cu-I-catalyzed Alkyne-azide "click" Cycloadditions from a Mechanistic and Synthetic Perspective. Eur. J. Org. Chem. 2006, 51–68. [Google Scholar]
- Wang, Q.; Chan, T.R.; Hilgraf, R.; Fokin, V.V.; Sharpless, K.B.; Finn, M.G. Bioconjugation by Copper(I)-catalyzed Azide-alkyne [3+2] Cycloaddition. J. Am. Chem. Soc. 2003, 125, 3192–3193. [Google Scholar] [CrossRef]
- McKenna, C.E.; Kashemirov, B.A.; Peterson, L.W.; Goodman, M.F. Modifications to the dNTP Triphosphate Moiety: From Mechanistic Probes for DNA Polymerases to Antiviral and Anti-cancer Drug Design. BBA-Proteins Proteomics 1804, 1223–1230. [Google Scholar]
- Eaton, B.E.; Pieken, W.A. Ribonucleosides and RNA. Annu. Rev. Biochem. 1995, 64, 837–863. [Google Scholar] [CrossRef]
- Sakthivel, K.; Barbas, C.F. Expanding the Potential of DNA for Binding and Catalysis: Highly Functionalized dUTP Derivatives that are Substrates for Thermostable DNA Polymerases. Angew. Chem. Int. Ed. 1998, 37, 2872–2875. [Google Scholar] [CrossRef]
- Sivakumar, K.; Xie, F.; Cash, B.M.; Long, S.; Barnhill, H.N.; Wang, Q. A Fluorogenic 1,3-Dipolar Cycloaddition Reaction of 3-Azidocoumarins and Acetylenes. Org. Lett. 2004, 6, 4603–4606. [Google Scholar] [CrossRef]
- Scrafton, D.K.; Taylor, J.E.; Mahon, M.F.; Fossey, J.S.; James, T.D. Click-fluors": Modular Fluorescent Saccharide Sensors Based on a 1,2,3-triazole Ring. J. Org. Chem. 2008, 73, 2871–2874. [Google Scholar]
- Du, L.P.; Ni, N.T.; Li, M.Y.; Wang, B.H. A Fluorescent Hydrogen Peroxide Probe based on a 'Click' Modified Coumarin Fluorophore. Tetrahedron Lett. 2010, 51, 1152–1154. [Google Scholar]
- Zheng, S.L.; Reid, S.; Lin, N.; Wang, B.H. Microwave-assisted Synthesis of Ethynylarylboronates for the Construction of Boronic acid-based Fluorescent Sensors for Carbohydrates. Tetrahedron Lett. 2006, 47, 2331–2335. [Google Scholar] [CrossRef]
- Luvino, D.; Amalric, C.; Smietana, M.; Vasseur, J.J. Sequential Seyferth-Gilbert/CuAAC Reactions: Application to the One-pot Synthesis of Triazoles from Aldehydes. Synlett 2007, 3037–3041. [Google Scholar]
- Jin, S.; Zhu, C.Y.; Cheng, Y.F.; Li, M.Y.; Wang, B.H. Synthesis and Carbohydrate Binding Studies of Fluorescent alpha-Amidoboronic Acids and the Corresponding Bisboronic Acids. Bioorg. Med. Chem. 2010, 18, 1449–1455. [Google Scholar] [CrossRef]
- Chan, D.M.T.; Monaco, K.L.; Li, R.; Bonne, D.; Clark, C.G.; Lam, P.Y.S. Copper Promoted C-N and C-O Bond Cross-Coupling with Phenyl and Pyridylboronates. Tetrahedron Lett. 2003, 44, 3863–3865. [Google Scholar]
- Lam, P.Y.S.; Clark, C.G.; Saubern, S.; Adams, J.; Winters, M.P.; Chan, D.M.T.; Combs, A. New Aryl/Heteroaryl C-N Bond Cross-Coupling Reactions via Arylboronic Acid/Cupric Acetate Arylation. Tetrahedron Lett. 1998, 39, 2941–2944. [Google Scholar]
- Jin, S.; Choudhary, G.; Cheng, Y.F.; Dai, C.F.; Li, M.Y.; Wang, B.H. Fluoride Protects Boronic Acids in the Copper(I)-mediated Click Reaction. Chem. Commun. 2009, 5251–5253. [Google Scholar]
- Zheng, H.C.; McDonald, R.; Hall, D.G. Boronic Acid Catalysis for Mild and Selective [3+2] Dipolar Cycloadditions to Unsaturated Carboxylic Acids. Chem. Eur. J. 2010, 5454–5460. [Google Scholar]
- Baskin, J.M.; Prescher, J.A.; Laughlin, S.T.; Agard, N.J.; Chang, P.V.; Miller, I.A.; Lo, A.; Codelli, J.A.; Bertozzit, C.R. Copper-free Click Chemistry for Dynamic In Vivo Imaging. Proc. Nat. Acad. Sci. USA 2007, 104, 16793–16797. [Google Scholar]
- Becer, C.R.; Hoogenboom, R.; Schubert, U.S. Click Chemistry beyond Metal-Catalyzed Cycloaddition. Angew. Chem. Int. Ed. 2009, 48, 4900–4908. [Google Scholar] [CrossRef]
- Ning, X.H.; Guo, J.; Wolfert, M.A.; Boons, G.J. Visualizing Metabolically Labeled Glycoconjugates of Living Cells by Copper-free and Fast Huisgen Cycloadditions. Angew. Chem. Int. Ed. 2008, 47, 2253–2255. [Google Scholar]
© 2010 by the authors; licensee MDPI, Basel, Switzerland. This article is an Open Access article distributed under the terms and conditions of the Creative Commons Attribution license (http://creativecommons.org/licenses/by/3.0/).
Share and Cite
Dai, C.; Cheng, Y.; Cui, J.; Wang, B. Click Reactions and Boronic Acids: Applications, Issues, and Potential Solutions. Molecules 2010, 15, 5768-5781. https://doi.org/10.3390/molecules15085768
Dai C, Cheng Y, Cui J, Wang B. Click Reactions and Boronic Acids: Applications, Issues, and Potential Solutions. Molecules. 2010; 15(8):5768-5781. https://doi.org/10.3390/molecules15085768
Chicago/Turabian StyleDai, Chaofeng, Yunfeng Cheng, Jianmei Cui, and Binghe Wang. 2010. "Click Reactions and Boronic Acids: Applications, Issues, and Potential Solutions" Molecules 15, no. 8: 5768-5781. https://doi.org/10.3390/molecules15085768
APA StyleDai, C., Cheng, Y., Cui, J., & Wang, B. (2010). Click Reactions and Boronic Acids: Applications, Issues, and Potential Solutions. Molecules, 15(8), 5768-5781. https://doi.org/10.3390/molecules15085768