Next Article in Journal
Design of Novel 4-Hydroxy-chromene-2-one Derivatives as Antimicrobial Agents
Next Article in Special Issue
Preparation and Properties of New Co-Crystals of Ibandronate with Gluco- or Galactopyranoside Derivatives
Previous Article in Journal
Synthesis and Bioactivity of N-Benzoyl-N'-[5-(2'-substituted phenyl)-2-furoyl] Semicarbazide Derivatives
Previous Article in Special Issue
Molecular Recognition Studies on Naphthyridine Derivatives
 
 
Font Type:
Arial Georgia Verdana
Font Size:
Aa Aa Aa
Line Spacing:
Column Width:
Background:
Article

Bisbenzamidines as Antifungal Agents. Are Both Amidine Functions Required to Observe an Anti-Pneumocystis carinii Activity?

by
Julien Laurent
1,
Dimitri Stanicki
1,
Tien L. Huang
2,
Eduardo Dei-Cas
3,4,5,
Muriel Pottier
3,5,
El Mouktar Aliouat
3,5 and
Jean Jacques Vanden Eynde
1,*
1
Laboratory of Organic Chemistry, Faculty of Sciences, University of Mons-UMONS, 20 place du parc, B-7000 Mons, Belgium
2
Division of Basic Pharmaceutical Sciences, College of Pharmacy, Xavier University of Louisiana, 1 Drexel drive, New Orleans, LA 70125, USA
3
Department of Parasitology-Mycology, Faculty of Biological and Pharmaceutical Sciences, University of Lille Nord de France, Lille, France
4
Department of Parasitology-Mycology, Faculty of Medicine, University of Lille Nord de France, Biology-Pathology Centre, University Hospital Center, Lille, France
5
Biology and Diversity of Emergent Eukaryotic Pathogens (BDEEP) (EA3609), IFR142, Institut Pasteur de Lille, Lille, France
*
Author to whom correspondence should be addressed.
Molecules 2010, 15(6), 4283-4293; https://doi.org/10.3390/molecules15064283
Submission received: 26 May 2010 / Revised: 1 June 2010 / Accepted: 7 June 2010 / Published: 11 June 2010
(This article belongs to the Special Issue ECSOC-13)

Abstract

:
A library of 19 novel 4-(4-phenylpiperazine-1-yl)benzamidines has been synthesized and evaluated in vitro against Pneumocystis carinii. Among these compounds, N-ethyl- and N-hexyl-4-(4-phenylpiperazine-1-yl)benzamidines emerged as the most promising compounds, with inhibition percentages at 10.0 µg/mL of 87% and 96%, respectively. Those compounds remained active at 0.1 µg/mL.

Graphical Abstract

1. Introduction

Pneumocystis jirovecii pneumonia is a fungal disease that affects immunodeficient individuals and remains an important cause of mortality in AIDS infected persons [1]. The parasite does not respond to classical antifungal therapy, but it is sensitive to some antiprotozoal medicines [2]. Currently, available anti-Pneumocystis drugs are limited by significant problems of efficacy, toxicity and emerging resistance. Classical treatments to cure the disease include the well-known trimethoprim-sulfamethoxazole association (TMP-SMX; BactrimTM, Septra®), dapsone (Avlosulfon®), atovaquone (Mepron®), and pentamidine (NebuPent®, Pentacarinat®) (1, Figure 1). Among those medicines, pentamidine remains the most effective drug to cure Pneumocystis pneumonia. However major side effects [1] and a poor bioavailability limit its use.
From a structural point of view, pentamidine (1, Figure 1) can be considered as a bisbenzamidine derivative in which both benzamidine moieties are linked by a highly flexible pentyldioxy chain. The structural simplicity of the molecule and its efficacy have encouraged some laboratories [3,4,5,6] to prepare original analogues with the hope to design more efficient and less toxic agents. In previous work [7,8] we demonstrated that 4, 4’-(1,4-piperazinediyl)bisbenzenecarboximidamide (2, Figure 1) is a promising candidate characterized by an in vitro IC50 of 2.61 µM against P. carinii (the rat-associated specie) and exhibiting no in vitro cytotoxicity. In addition, we observed that the introduction of alkyl substituents on the nitrogen atoms of the amidine functions of 2 could increase up to 1,000 fold the activity of the parent compound [7,8].
The mechanism of action of pentamidine and other bisbenzamidines analogues remains unclear. Because bisbenzamidines were shown to bind to the minor groove of DNA [9,10,11], it was initially thought that the anti-Pneumocystis properties were linked to the parasite replication. However derivatives exhibiting high anti-P. carinii activity and a poor affinity for DNA binding have already been identified. A mitochondrial toxicity has been postulated since it has been shown that same bisbenzamidines, including pentamidine, could form complexes with heme [12].
In order to gain insight into Structure Activity Relationships (SAR) of bisbenzamidines, we decided to prepare a library of monobenzamidines structurally related to compound 2 (Figure 2) and to evaluate their biological behavior against P. carinii.

2. Results and Discussion

2.1. Chemistry

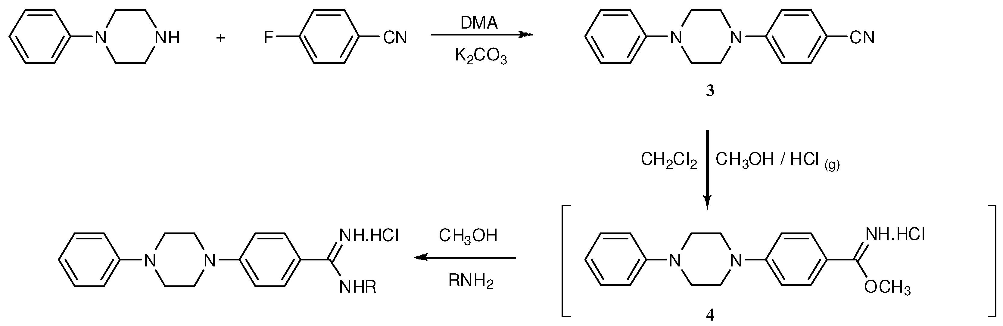
The first step in the preparation of such compounds is the nucleophilic displacement of the fluorine atom in 4-fluorobenzonitrile by the secondary amine function of 4-phenylpiperazine in refluxing DMA in the presence of K2CO3 as a base (Scheme 1). This step could advantageously be performed in a laboratory microwave oven so that reaction time can be reduced from 5 hours to 60 minutes.
Conversion of the nitrile compound 3 into the amidines 523 was effected by the Pinner reaction [13], whereby a solution of compound 3 in dichloromethane saturated with gaseous hydrochloric acid was treated with methanol to afford the imidate intermediate (Scheme 1). This compound was finally reacted with the appropriate amine to give analytically pure amidines.

2.2. Biological evaluation

Table 1 contains the results of the in vitro evaluation of pentamidine 1, compound 2, and the benzamidines 5-23 against P. carinii. Analysis of the data indicated that all compounds retain an antifungal activity at a concentration of 10 µg/mL, with inhibition percentage ranging from 56% to 96%.
At a low concentration of 0.1 µg/mL, the results are more contrasted. At that concentration, the data suggest that the activity was dramatically dependent on the nature of the substituent on the amidine function, as previously described in the bisbenzamidine series [3,4]. In particular, we observed that the presence of an arylalkyl substituent on the amidine function (compounds 19-23) led to a loss of the antifungal activity. Among the other derivatives, the most active compounds were those bearing a linear alkyl group of 1, 2, 3, or 6 carbon atoms (compounds 6-8; 15). Whereas piperazine-1,4-bisbenzamidine (compound 2) and most of its N-alkyl substituted congeners previously studied were at least as efficient as pentamidine (compound 1), the situation is a little bit different in the monobenzamidine series described in the present work. Indeed, all derivatives are less active than pentamidine. Starting from the unsubstituted compound, introduction of an alkyl chain of increasing length on the amidine function leads to a modulation of the anti-Pneumocystis activity, with a maximum of activity observed in the case of ethyl and hexyl substituents. Interestingly, compounds bearing an alkyl chain constituted by 7, 8, or 12 carbon atoms are not active against the fungus, contrary to the bisbenzamidine series. Mention should also be made that in the bisbenzamidine series as well as in the monobenzamidine series, the N-hexyl substituted candidates emerged among the most promising substances. That can tentatively be attributed to a favorable compromise between the hydrophilic properties of the amidine function(s) and the lipophilic character of the alkyl chain(s).
Contrary to the observation made in the bisbenzamidine series, the substitution of the amidines group by an alkyl ramified chain led to a loss of the antifungal activity, except for the analogue bearing a 1-ethylpropyl substituent.

3. Experimental

3.1. General

1H-NMR spectra were obtained using a Bruker AMX instrument (300 MHz), chemical shifts (δ) are given in ppm using TMS as internal reference. The following abbreviations are used: br for broad, s for singlet, d for doublet, t for triplet, q for quadruplet, and m for multiplet. IR spectra were recorded on a Perkin-Elmer FTIR 1760K. Microwave synthesis were performed in a Milestone Multisynth® oven. Solvents, reagents, and pentamidine (1) were commercially available (Aldrich, Alfa Aesar, Acros Organics) and were used without further purification. Compounds 2 [14] and 3 [15] have been described in the literature. Elemental analyses were performed at the Centre Wallon de Recherches Agronomiques (Libramont-Chevigny, Belgium) or at the Laboratoire de Microanalyse Organique of the Institut des Sciences Appliqués de Rouen (France).

3.2. General procedure for the preparation of compound 3 under microwave irradiation

A mixture of 4-fluorobenzonitrile (2.5 mmol; 0.30 g) and 1-phenylpiperazine (2.5 mmol; 0.38 mL; 0.41 gr) in DMA (2.50 mL) in the presence of K2CO3 (2.5 mmol; 0.35 g) was heated 60 minutes at 140 °C in a Multisynth® oven (Milestone) operating at 300 watts. After cooling, the solution was poured into ice cold water and the precipitate was filtered and washed with water and ethanol.

3.3. General procedure for the preparation of compounds 423

A mixture of 4-(4-phenylpiperazine-1-yl)benzonitrile (3, 10 mmol, 2.66 g) in dichloromethane (250 mL) and methanol (25 mL) was saturated with HCl gas and the reaction medium was left at room temperature for 24 hours. The precipitate was filtered and thoroughly washed with ether. Without further purification the crude imidate 4 (3 mmol, 1.0 g) was treated with the appropriate amine in refluxing methanol for 1 hour. A precipitate was obtained either by cooling or by addition of ether.
4-(4-Phenylpiperazine-1-yl)benzenecarboximidamide hydrochloride salt (5). Prepared by treatment of the crude imidate 4 with ammonia (15 mmol, 2.5 mL of a 7 N methanolic solution) in refluxing ethanol (10 mL) for 1 hour. The precipitate obtained after cooling was filtered and washed with ether and water. Yield: 64%. M.p.: >300 °C; 1H-NMR (DMSO-d6): 9.2 (br, 2H), 9.0 (br, 2H), 7.8 (d, 2H, J = 9 Hz), 7.3 (t, 2H, J = 7 Hz), 7.1 (d, 2H, J = 9 Hz), 7.0 (d, 2H, J = 7 Hz), 6.8 (t, 1H, J = 7 Hz), 3.5 (t, 4H, J = 5 Hz), 3.3 (t, 4H, J = 5 Hz) ppm; IR: 3,073, 2,834, 1,658, 1,607, 1,698, 1,494 cm-1; C17H20N4·HCl (316.15). Calc.: C, 63.68; H, 6.63; N, 17.47. Found: C, 64.03; H, 6.23; N, 17.37.
N-Methyl 4-(4-phenylpiperazine-1-yl)benzenecarboximidamide hydrochloride salt (6). Prepared by treatment of the crude compound 4 with methylamine (15 mmol, 1.8 mL of an ethanolic solution at 33%) in ethanol (10 mL) at reflux for 1 hour. After cooling, the precipitate obtained by addition of ether was filtered and washed with water. Yield: 57%. M.p.: >300 °C; 1H-NMR (DMSO-d6): 9.7 (br, 1H), 9.3 (br, 1H), 9.0 (br, 1H), 7.8 (d, 2H, J = 9 Hz), 7.3 (t, 2H, J = 7 Hz), 7.1 (d, 2H, J = 9 Hz), 7.0 (d, 2H, J = 7 Hz), 6.8 (t, 1H, J = 7 Hz), 3.5 (t, 4H, J = 5 Hz), 3.3 (t, 4H, J = 5 Hz), 3.0 (s, 3H) ppm; IR: 3,441, 3,056, 1,666, 1,505, 1,446, 1,367, 1,236 cm-1; C18H22N4·HCl (330.16). Calc.: C, 65.34; H, 7.01; N, 16.93. Found: C, 65.52; H, 6.99; N, 16.96.
N-Ethyl 4-(4-phenylpiperazine-1-yl)benzenecarboximidamide hydrochloride salt (7). Prepared by treatment of the crude imidate 4 with ethylamine (15 mmol, 7.5 mL of a 2 M methanolic solution) in refluxing methanol (10 mL) for 1 hour. After cooling, the precipitate obtained by addition of ether was filtered and washed with water. Yield: 47%. M.p.: 280–284 °C; 1H- NMR (DMSO-d6): 8.8 (br, 3H), 7.8 (d, 2H, J = 9 Hz), 7.3 (t, 2H, J = 7 Hz), 7.1 (d, 2H, J = 9 Hz), 7.0 (d, 2H, J = 7 Hz), 6.8 (t, 1H, J = 7 Hz), 3.5 (t, 4H, J = 5 Hz), 3.4 (q, 2H, J = 7 Hz), 3.3 (t, 4H, J = 5 Hz), 1.2 (t, J = 7 Hz, 3H) ppm; IR: 3,051, 2,840, 1,672, 1,604, 1,505, 1,387, 1,235 cm-1; C19H24N4·HCl (344.18). Calc.: C, 66.17; H, 7.31; N, 16.25. Found: C, 65.87; H, 7.27; N, 15.99.
N-Propyl 4-(4-phenylpiperazine-1-yl)benzenecarboximidamide hydrochloride salt (8). Prepared by treatment of the crude imidate 4 with propylamine (15 mmol, 1.2 mL) in refluxing ethanol (10 mL) for 1 hour. The precipitate obtained after cooling was filtered and washed with ether and water. Yield: 53%. M.p.: 275–280 °C; 1H-NMR (DMSO-d6): 9.3 (br, 3H), 7.8 (d, 2H, J = 9 Hz), 7.3 (t, 2H, J = 7 Hz), 7.1 (d, 2H, J = 9 Hz), 7.0 (d, 2H, J = 7 Hz), 6.8 (t, 1H, J = 7 Hz), 3.5 (t, 4H, J = 5 Hz), 3.4 (q, 2H, J = 7 Hz), 3.3 (t, 4H, J = 5 Hz), 1.7 (m, 2H, J = 7 Hz), 0.9 (t, 3H, J = 7 Hz); IR: 3,052, 2,970, 2,872, 1,670, 1,505, 1,452, 1,361, 1,234 cm-1; C20H26N4·HCl (358.19). Calc.: C, 66.93; H, 7.58; N, 15.61. Found: C, 66.99; H, 7.33; N, 15.39.
N-Isopropyl 4-(4-phenylpiperazine-1-yl)benzenecarboximidamide hydrochloride salt (9). Prepared by treatment of the crude imidate 4 with isopropylamine (15 mmol, 1.3 mL) in refluxing ethanol (10 mL) for 1 hour. After cooling, the precipitate obtained by addition of ether was filtered and washed with water. Yield: 67%. M.p.: >300 °C; 1H-NMR (DMSO-d6): 8.7 (br, 3H), 7.8 (d, 2H, J = 9 Hz), 7.3 (t, 2H, J = 7 Hz), 7.1 (d, 2H, J = 9 Hz), 7.0 (d, 2H, J = 7 Hz), 6.8 (t, 1H, J = 7 Hz), 4.1 (m, 1H, J = 7 Hz), 3.5 (t, 4H, J = 5 Hz), 3.3 (t, 4H, J = 5 Hz), 1.3 (d, 6H, J = 5 Hz); IR: 3,410, 3,051, 2,971, 1,666, 1,601, 1,505, 1,385, 1,234 cm-1; C20H26N4·HCl (358.19). Calc.: C, 66.93; H, 7.58; N, 15.61. Found: C, 67.02; H, 7.63; N, 15.57.
N-Butyl 4-(4-phenylpiperazine-1-yl)benzenecarboximidamide hydrochloride salt (10). Prepared by treatment of the crude imidate 4 with butylamine (15 mmol, 1.3 mL) in refluxing ethanol (10 mL) for 1 hour. After cooling, the precipitate obtained by addition of ether was filtered and washed with water. Yield: 32%. M.p.: 280–284 °C; 1H-NMR (DMSO-d6): 9.3 (br, 3H), 7.8 (d, 2H, J = 9 Hz), 7.3 (t, 2H, J = 7 Hz), 7.1 (d, 2H, J = 9 Hz), 7.0 (d, 2H, J = 7 Hz), 6.8 (t, 1H, J = 7 Hz), 3.5 (t, 4H, J = 5 Hz), 3.4 (t, 2H, J = 7 Hz), 3.3 (t, 4H, J = 5 Hz), 1.6 (m, 2H, J = 7 Hz), 1.4 (m, 2H, J = 7 Hz), 0.9 (t, 3H, J = 7 Hz); IR: 3,229, 3,091, 2,951, 1,665, 1,614, 1,520, 1,497, 1,386, 1,225 cm-1; C21H28N4·HCl (372.21). Calc.: C, 67.63; H, 7.84; N, 15.02. Found: C, 67.59; H, 7.85; N, 15.03.
N-Pentyl 4-(4-phenylpiperazine-1-yl)benzenecarboximidamide hydrochloride salt (11). Prepared by treatment of the crude imidate 4 with pentylamine (15 mmol, 1.7 mL) in refluxing ethanol (10 mL) for 1 hour. After cooling, the precipitate obtained by addition of ether was filtered and washed with water. Yield: 30%. M.p.: 285–290 °C. 1H NMR (DMSO-d6): 9.3 (br, 3H), 7.7 (d, 2H, J = 9 Hz), 7.3 (t, 2H, J = 7 Hz), 7.1 (d, 2H, J = 9 Hz), 7.0 (d, 2H, J = 7 Hz), 6.8 (t, 1H, J = 7 Hz), 3.5 (t, 4H, J = 5 Hz), 3.4 (t, 2H, J = 7 Hz), 3.3 (t, 4H, J = 5 Hz), 1.6 (m, 2H, J = 7 Hz), 1.3 (m, 4H), 0.9 (t, 3H, J = 7 Hz). IR: 3063, 2957, 2857, 1662, 1603, 1505, 1451, 1386, 1336, 1231 cm-1. C22H30N4·1.2 HCl (386,22). Calc.: C, 67.02; H, 7.98; N, 14.21. Found: C, 66.88; H, 8.04; N, 14.45.
N-(3-Methylbutyl)l 4-(4-phenylpiperazine-1-yl)benzenecarboximidamide hydrochloride salt (12). Prepared by treatment of the crude imidate with 3-methylbutylamine (15 mmol, 1.7 mL) in refluxing ethanol (10 mL) for 1 hour. After cooling, the precipitate obtained by addition of ether was filtered and washed with water. Yield: 63%. M.p.: >300 °C; 1H-NMR (DMSO-d6): 9.3 (br, 3H), 7.8 (d, 2H, J = 9 Hz), 7.3 (t, 2H, J = 7 Hz), 7.1 (d, 2H, J = 9 Hz), 7.0 (d, 2H, J = 7 Hz), 6.8 (t, 1H, J = 7 Hz), 3.5 (t, 4H, J = 5 Hz), 3.4 (t, 2H, J = 7 Hz), 3.3 (t, 4H, J = 5 Hz), 1.7 (m, 1H), 1.6 (m, 2H), 0.9 (d, 6H, J = 7 Hz); IR: 3,063, 2,957, 2,857, 1,662, 1,603, 1,505, 1,451, 1,386, 1,336, 1,231 cm-1; C22H30N4·HCl (386.22). Calc.: C, 68.28; H, 8.07; N, 14.48. Found: C, 68.08; H, 7.84; N, 14.22.
N-(2-Methylbutyl)l 4-(4-phenylpiperazine-1-yl)benzenecarboximidamide hydrochloride salt (13). Prepared by treatment of the crude imidate 4 with 2-methylbutylamine (15 mmol, 1.8 mL) in refluxing ethanol (10 mL) for 1 hour. The precipitate obtained after cooling was filtered and washed with ether and water. Yield: 35%. M.p.: >300 °C; 1H-NMR (DMSO-d6): 9.3 (br, 3H), 7.8 (d, 2H, J = 9 Hz), 7.3 (t, 2H, J = 7 Hz), 7.1 (d, 2H, J = 9 Hz), 7.0 (d, 2H, J = 7 Hz), 6.8 (t, 1H, J = 7 Hz), 3.5 (t, 4H, J = 5 Hz), 3.4 (d, 2H, J = 7 Hz), 3.3 (t, 4H, J = 5 Hz), 1.8 (m, 1H), 1.2 (m, 2H), 0.9 (t, 3H, J = 7 Hz), 0.9 (d, 3H, J = 6 Hz); IR: 3,024, 2,960, 2,844, 1,671, 1,604, 1,515, 1,450, 1,387, 1,230 cm-1; C22H30N4·1.1 HCl (386.22). Calc.: C, 67.65; H, 8.03; N, 14.34. Found: C, 67.44; H, 7.80; N, 14.11.
N-(1-Ethylpropyl) 4-(4-phenylpiperazine-1-yl)benzenecarboximidamide hydrochloride salt (14). Prepared by treatment of the crude imidate 4 with 1-ethylpropylamine (15 mmol, 1.8 mL) in refluxing ethanol (10 mL) for 1 hour. The precipitate obtained after cooling was filtered and washed with ether and water. Yield: 61%. M.p.: >300 °C; 1H-NMR (DMSO-d6): 9.3 (br, 3H), 7.8 (d, 2H, J = 9 Hz), 7.3 (t, 2H, J = 7 Hz), 7.1 (d, 2H, J = 9 Hz), 7.0 (d, 2H, J = 7 Hz), 6.8 (t, 1H, J = 7 Hz), 3.8 (m, 1H), 3.5 (t, 4H, J = 5 Hz), 3.3 (t, 4H, J = 5 Hz), 1.6 (m, 4H), 0.9 (t, 6H, J = 7 Hz); IR: 3,074, 2,966, 2,935, 2,880, 1,666, 1,600, 1,505, 1,231 cm-1; C22H30N4·HCl (386.22). Calc.: C, 68.28; H, 8.07; N, 14.48. Found: C, 68.15; H, 8.08; N, 14.46.
N-Hexyl 4-(4-phenylpiperazine-1-yl)benzenecarboximidamide hydrochloride salt (15). The compound was prepared by treatment of the crude imidate 4 with hexylamine (15 mmol, 2.0 mL) in refluxing ethanol (10 mL) for 1 hour. The precipitate obtained after cooling was filtered and washed with ether and water. Yield: 42%. M.p.: 285–290 °C; 1H-NMR (DMSO-d6): 9.3 (br, 3H), 7.7 (d, 2H, J = 9 Hz), 7.3 (t, 2H, J = 7 Hz), 7.1 (d, 2H, J = 9 Hz), 7.0 (d, 2H, J = 7 Hz), 6.8 (t, 1H, J = 7 Hz), 3.5 (t, 4H, J = 5 Hz), 3.4 (t, 2H, J = 7 Hz), 3.3 (t, 4H, J = 5 Hz), 1.6 (m, 2H, J = 7 Hz), 1.3 (m, 6H), 0.9 (t, 3H, J = 7 Hz); IR: 3,050, 2,956, 2,931, 1,669, 1,505, 1,451, 1,387, 1,232 cm-1; C23H32N4·1.1 HCl (400.24). Calc.: C, 68.27; H, 8.25; N, 13.85. Found: C, 68.31; H, 8.19; N, 13.98.
N-Heptyl 4-(4-phenylpiperazine-1-yl)benzenecarboximidamide hydrochloride salt (16). Prepared by treatment of the crude imidate 4 with heptylamine (15 mmol, 2.2 mL) in refluxing ethanol (10 mL) for 1 hour. After cooling, the precipitate obtained by addition of ether was filtered and washed with water. Yield: 43%. M.p.: 290–294 °C; 1H-NMR (DMSO-d6): 9.3 (br, 3H), 7.7 (d, 2H, J = 9 Hz), 7.3 (t, 2H, J = 7 Hz), 7.1 (d, 2H, J = 9 Hz), 7.0 (d, 2H, J = 7 Hz), 6.8 (t, 1H, J = 7 Hz), 3.5 (t, 4H, J = 5 Hz), 3.4 (t, 2H, J = 7 Hz), 3.3 (t, 4H, J = 5 Hz), 1.6 (m, 2H, J = 7 Hz), 1.3 (m, 8H), 0.9 (t, 3H, J = 7 Hz); IR: 3,078, 2,956, 2,926, 1,661, 1,505, 1,387, 1,387, 1,234 cm-1; C24H34N4·1.1 HCl (414.26). Calc.: C, 68.85; H, 8.45; N, 13.38. Found: C, 69.20; H, 8.09; N, 13.47.
N-Octyl 4-(4-phenylpiperazine-1-yl)benzenecarboximidamide hydrochloride salt (17). Prepared by treatment of the crude imidate 4 with octylamine (15 mmol, 2.5 mL) in refluxing ethanol (10 mL) for 1 hour. The precipitate obtained after cooling was filtered and washed with ether and water. Yield: 43%. M.p.: 280–284 °C; 1H-NMR (DMSO-d6): 9.3 (br, 3H), 7.7 (d, 2H, J = 9 Hz), 7.3 (t, 2H, J = 7 Hz), 7.1 (d, 2H, J = 9 Hz), 7.0 (d, 2H, J = 7 Hz), 6.8 (t, 1H, J = 7 Hz), 3.5 (t, 4H, J = 5 Hz), 3.4 (t, 2H, J = 7 Hz), 3.3 (t, 4H, J = 5 Hz), 1.6 (m, 2H, J = 7 Hz), 1.3 (m, 10H), 0.9 (t, 3H, J = 7 Hz); IR: 3,062, 2,923, 2,853, 1,662, 1,607, 1,505, 1,386, 1,232 cm-1; C25H36N4·HCl (428.27). Calc.: C, 69.99; H, 8.69; N, 13.06. Found: C, 69.94; H, 8.68; N, 13.04.
N-Dodecyl 4-(4-phenylpiperazine-1-yl)benzenecarboximidamide hydrochloride salt (18). Prepared by treatment of the crude imidate 4 with dodecylamine (15 mmol, 3.5 mL) in refluxing ethanol (10 mL) for 1 hour. The precipitate obtained after cooling was filtered and washed with ether and water. Yield: 51%. M.p.: 275–280 °C; 1H-NMR (DMSO-d6): 9.3 (br, 3H), 7.7 (d, 2H, J = 9 Hz), 7.3 (t, 2H, J = 7 Hz), 7.1 (d, 2H, J = 9 Hz), 7.0 (d, 2H, J = 7 Hz), 6.8 (t, 1H, J = 7 Hz), 3.5 (t, 4H, J = 5 Hz), 3.4 (t, 2H, J = 7 Hz), 3.3 (t, 4H, J = 5 Hz), 1.6 (m, 2H, J = 7 Hz), 1.4 (m, 18H), 0.9 (t, 3H, J = 7 Hz); IR: 3,047, 2,920, 2,850, 1,668, 1,608, 1,515, 1,466, 1,387, 1,233 cm-1; C29H44N4·HCl (484.33). Calc.: C, 71.79; H, 9.35; N, 11.55. Found: C, 71.77; H, 9.34; N, 11.57.
N-Benzyl 4-(4-phenylpiperazine-1-yl)benzenecarboximidamide hydrochloride salt (19). Prepared by treatment of the crude imidate 4 with benzylamine (15 mmol, 1.6 mL) in refluxing ethanol (10 mL) for 1 hour. After cooling, the precipitate obtained by addition of ether was filtered and washed with water. Yield: 67%. M.p.: 290–295 °C; 1H-NMR (DMSO-d6): 9.3 (br, 3H), 7.7 (d, 2H, J = 8 Hz), 7.4 (m, 5H), 7.3 (t, 2H, J = 7 Hz), 7.1 (d, 2H, J = 8 Hz), 7.0 (d, 2H, J = 7 Hz), 6.8 (t, 1H, J = 7 Hz), 4.7 (s, 2H), 3.5 (t, 4H, J = 5 Hz), 3.3 (t, 4H, J = 5 Hz); IR: 3,033, 2,359, 1,665, 1,516, 1,497, 1,452, 1,388, 1,230 cm-1; C24H26N4·HCl (406.19). Calc.: C, 70.83; H, 6.69; N, 13.77. Found: C, 70.77; H, 6.66; N, 13.76.
N-Phenethyl 4-(4-phenylpiperazine-1-yl)benzenecarboximidamide hydrochloride salt (20). Prepared by treatment of the crude imidate 4 with phenethylamine (15 mmol, 1.9 mL) in refluxing ethanol (10 mL) at for 1 hour. After cooling, the precipitate obtained by addition of ether was filtered and washed with water. Yield: 64%. M.p.: >300 °C; 1H-NMR (DMSO-d6): 9.3 (br, 3H), 7.7 (d, 2H, J = 8 Hz), 7.4 (m, 5H), 7.3 (t, 2H, J = 7 Hz), 7.1 (d, 2H, J = 8 Hz), 7.0 (d, 2H, J = 7 Hz), 6.8 (t, 1H, J = 7 Hz), 3.7 (t, 2H, J = 7 Hz), 3.5 (t, 4H, J = 5 Hz), 3.3 (t, 4H, J = 5 Hz), 3.0 (t, 2H, J = 7Hz); IR: 3,051, 1,605, 1,671, 1,498, 1,452, 1,383, 1,231 cm-1; C25H28N4·0.8 HCl (420.21). Calc.: C, 72.58; H, 7.02; N, 13.54. Found: C, 72.71; H, 6.89; N, 13.35.
N-(3-Phenylpropyl) 4-(4-phenylpiperazine-1-yl)benzenecarboximidamide hydrochloride salt (21). Prepared by treatment of the crude imidate 4 with 3-phenylpropylamine (15 mmol, 2.1 mL) in reluxing ethanol (10 mL) for 1 hour. After cooling, the precipitate obtained by addition of ether was filtered and washed with water. Yield: 51%. M.p.: 250–255 °C; 1H-NMR (DMSO-d6): 9.3 (br, 3H), 7.7 (d, 2H, J = 8 Hz), 7.4 (m, 5H), 7.3 (t, 2H, J = 7 Hz), 7.1 (d, 2H, J = 8 Hz), 7.0 (d, 2H, J = 7 Hz), 6.8 (t, 1H, J = 7 Hz), 3.5 (t, 4H, J = 5 Hz), 3.4 (t, 2H, J = 7 Hz), 3.3 (t, 4H, J = 5 Hz), 2.7 (m, 2H), 1.9 (m, 2H); IR: 3,073, 1,658, 1,607, 1,505, 1,232 cm-1; C26H30N4·HCl (434.22). Calc.: C, 71.79; H, 7.18; N, 12.88. Found: C, 71.81; H, 7.2; N, 12.86.
N-(4-Fluorobenzyl) 4-(4-phenylpiperazine-1-yl)benzenecarboximidamide hydrochloride salt (22). Prepared by treatment of the crude imidate 4 with 4-fluorobenzylamine (15 mmol, 1.7 mL) in refluxing ethanol (10 mL) for 1 hour. After cooling, the precipitate obtained by addition of ether was filtered and washed with water. Yield: 58%. M.p.: 280–285 °C; 1H-NMR (DMSO-d6): 9.3 (br, 3H), 7.8 (d, 2H, J = 8 Hz), 7.3 (m, 4H), 7.2 (t, 2H, J = 7 Hz), 7.1 (d, 2H, J = 8 Hz), 7.0 (d, 2H, J = 7 Hz), 6.8 (t, 1H, J = 7 Hz), 4.7 (s, 2H), 3.6 (t, 4H, J = 5 Hz), 3.3 (t, 4H, J = 5 Hz); IR: 3,039, 1,666, 1,600, 1,515, 1,385, 1,234 cm-1; C24H25FN4·HCl (424.18). Calc.: C, 67.83; H, 6.17; N, 13.18. Found: C, 67.82; H, 6.18; N, 13.17.
N-2-(4-Fluorophenyl)ethyl 4-(4-phenylpiperazine-1-yl)benzenecarboximidamide hydrochloride salt (23). The compound was obtained by treatment of the crude imidate 4 with 2-(4-fluorophenyl)-ethylamine (15 mmol, 2.0 mL) in reluxing ethanol (10 mL) for 1 hour. After cooling, a precipitate was obtained by pouring ether into the solution. The solid was filtered and washed with water. Yield: 64%. M.p.: >300 °C; 1H-NMR (DMSO-d6): 9.3 (br, 3H), 7.7 (d, 2H, J = 8 Hz), 7.3 (m, 4H), 7.2 (t, 2H, J = 7 Hz), 7.1 (d, 2H, J = 8 Hz), 7.0 (d, 2H, J = 7 Hz), 6.8 (t, 1H, J = 7 Hz), 3.7 (t, 2H, J = 7 Hz), 3.6 (t, 4H, J = 5 Hz), 3.3 (t, 4H, J = 5 Hz), 3.2 (t, 2H, J = 7 Hz); IR: 3,040, 1,672, 1,604, 1,511, 1,463, 1,452, 1,385, 1,231, 1,206, 1,160 cm-1; C25H27FN4·HCl (438.20). Calc.: C, 68.40; H, 6.43; N, 12.76. Found: C, 68.41; H, 6.39; N, 12.79.

3.4. Biological evaluation

To determine the in vitro drug susceptibility of P. carinii, axenic cultures of the organism were produced as follows. All the experiments were carried out in 24-well plates with a final volume of 2 mL of Dulbecco’s modified Eagle’s medium (DMEM) supplemented with 10% of fetal calf serum containing a final inoculum of 1.0 × 106 organisms per mL. Plates with organisms were incubated for 4 days in an atmosphere of 5% CO2 at 37 °C. P. carinii was quantitated on air dried smears stained with a rapid panoptic methanol-Giemsa stain (RAL-555), which stains trophic forms, sporocytes and cysts of Pneumocystis. All susceptibility assays were set up in triplicate. The anti-Pneumocystis activity of a single concentration of compound may be expressed in terms of percent inhibition, defined as the decrease (expressed as percentage) in P. carinii forms in antifungal-treated cultures with respect to the total microorganism count in compound-free culture.

4. Conclusions

In summary, a library of 19 monobenzamidines linked on a 4-phenylpiperazine-1-yl scaffold has been synthesized and evaluated in vitro against Pneumocystis carinii. As in a series of bisbenzamidine analogues, the antifungal activity can easily be modulated by the introduction of appropriate alkyl substituents on the amidine function. However at the lowest concentration (0.1 µg/mL) we evaluated those monobenzamidines, only two derivatives (compounds 7 and 15) exhibited a percentage of inhibition on the growth of P. carinii higher than 50 %. Nevertheless the monobenzamidines reported in this work are obviously less active than pentamidine and other bisbenzamidines already tested. That suggests that the presence of both amidine groups are required to observe a marked anti-P. carinii effect.

Acknowledgements

The authors are grateful to F.R.I.A. (Fonds pour la formation de la Recherche dans l’Industrie et l’Agriculture; doctoral grant, D.S.) and F.N.R.S. (Fonds National de la Recherche Scientifique; J.J.V.E.) for financial support.

References and Notes

  1. Soiero, M.N.C.; De Souza, E.M.; Stephens, C.E.; Boykin, D.W. Aromatic diamidines as antiparasitic agents. Expert Opin. Investig. Drugs 2005, 14, 957–972. [Google Scholar] [CrossRef] [PubMed]
  2. Vanden Eynde, J.J.; Mayence, A.; Huang, T.L.; Collins, M.S.; Rebholz, S.; Walzer, P.D.; Cushion, M.T. Novel bisbenzamidines as potential drug candidates for the treatment of Pneumocystis carinii pneumonia. Bioorg. Med. Chem. Lett. 2004, 14, 4545–4548. [Google Scholar] [CrossRef] [PubMed]
  3. Donkor, I.O.; Queener, S.F.; Dalton, J.T. Pentamidine congeners: DNA binding affinity and anti-Pneumocystis carinii activity of butamidine analogues. Bioorg. Med. Chem. Lett. 1996, 6, 1967–1970. [Google Scholar] [CrossRef]
  4. Delia, T.J.; Nagarajan, A.; Queener, S.F.; Bartlett, M.S. Ring-based analogues of pentamidine versus P. carinii pneumonia in culture. Bioorg. Med. Chem. Lett 1996, 6, 2367–2370. [Google Scholar] [CrossRef]
  5. Huang, T.L.; Vanden Eynde, J.J.; Mayence, A.; Collins, M.S.; Cushion, M.T.; Rattendi, D.; Londono, I.; Mazumder, L.; Bacchi, C.J.; Yarlett, N. Synthesis and SAR of alcanediamide-linked bisbenzamidines with anti-trypanosomal and anti-pneumocystis activity. Bioorg. Med. Chem. Lett. 2009, 19, 5884–5886. [Google Scholar] [CrossRef] [PubMed]
  6. Wang, S.; Hall, J.E.; Tanious, F.A.; Wilson, W.D.; Patrick, D.A.; McCurdy, D.R.; Bender, B.C.; Tidwell, R.R. Dicationic dibenzofuran derivatives as anti-Pneumocystis carinii pneumonia agents: Synthesis, DNA binding affinity, and anti-Pneumocystis carinii activity in immunosupressed rat model. Eur. J. Med. Chem. 1999, 34, 215–224. [Google Scholar] [CrossRef]
  7. Cushion, M.T.; Walzer, P.D.; Collins, M.S.; Rebholz, S.; Vanden Eynde, J.J.; Mayence, A.; Huang, T.L. Highly active anti-Pneumocystis carinii compounds in a library of novel piperazine-linked bisbenzamidines and related compounds. Antimicrob. Agents Chemother. 2004, 48, 4209–4216. [Google Scholar] [CrossRef] [PubMed]
  8. Cushion, M.T.; Walzer, P.D.; Ashbaugh, A.; Rebholz, S.; Brubaker, R.; Vanden Eynde, J.J.; Mayence, A.; Huang, T.L. In vitro selection and in vivo efficacy of piperazine- and alkanediamide-linked bisbenzamidines against Pneumocystis pneumonia in mice. Antimicrob. Agents Chemother. 2006, 50, 2337–2343. [Google Scholar] [CrossRef] [PubMed]
  9. Simpson, I.J.; Lee, M.; Kumar, A.; Boykin, D.W.; Neidle, S. DNA minor groove interactions and the biological activity of 2,5-bis-[4-(N-alkylamidino)phenyl]furans. Bioorg. Med. Chem. Lett. 2000, 10, 2593–2597. [Google Scholar] [CrossRef]
  10. Reddy, B.S.P.; Sondhi, S.M.; Lown, J.W. Synthetic DNA minor groove-binding drugs. Pharmacol. Ther. 1999, 84, 1–111. [Google Scholar] [CrossRef]
  11. Cai, X.; Gray, P.J.; Von Hoff, D.D. DNA minor groove binders: back in the groove. Cancer Treat. Rev. 2009, 35, 437–450. [Google Scholar] [CrossRef] [PubMed]
  12. Mayence, A.; Vanden Eynde, J.J.; Huang, T.L. Evidences for the formation of bisbenzamidine-heme complexes in cell-free systems. Bioorg. Med. Chem. Lett. 2004, 14, 1625–1628. [Google Scholar] [CrossRef] [PubMed]
  13. Pinner, A. Ueber die Umwandlung der Nitrile in Imide. Ber. 1885, 18, 2845–2852. [Google Scholar] [CrossRef]
  14. Tao, B.; Huang, T.L.; Zhang, Q.; Jackson, L.; Queener, S.F.; Donkor, I.O. Synthesis and anti-Pneumocystis carinii activity of conformationally restricted analogues of pentamidine. J. Med. Chem. 1999, 34, 531–538. [Google Scholar] [CrossRef]
  15. von der Haar, T.; Hebecker, A.; II’ichev, Y.; Jiang, Y.B.; Kuehnle, W.; Zachariasse, K.A. Excited-state intramolecular charge transfer in donor/acceptor-substituted aromatic hydrocarbons and in biaryls. The significance of the redox potentials of the D/A subsystems. Recl. Trav. Chim. Pays-Bas 1995, 114, 430–442. [Google Scholar] [CrossRef]
Sample Availability: Samples of all compounds are available from the authors.
Figure 1. Structure of pentamidine (1) and piperazine-1, 4-bisbenzamidine (2).
Figure 1. Structure of pentamidine (1) and piperazine-1, 4-bisbenzamidine (2).
Molecules 15 04283 g001
Figure 2. General structure of the monobenzamidines 5-23 prepared in this study.
Figure 2. General structure of the monobenzamidines 5-23 prepared in this study.
Molecules 15 04283 g002
Scheme 1. Synthesis of compounds 3-23.
Scheme 1. Synthesis of compounds 3-23.
Molecules 15 04283 sch001
Table 1. Inhibition percentages of the monobenzamidines against P. carinii.
Table 1. Inhibition percentages of the monobenzamidines against P. carinii.
Molecules 15 04283 i001
Compound NumberRInhibition % at
50.0 µg/mL 10.0 µg/mL 0.1 µg/mL
Pentamidine 1 95.0 ± 2.192.0 ± 4.576.0 ± 4.9
5H87.0 ± 4.480.0 ± 10.023.0 ± 5.0
6 Molecules 15 04283 i00262.0 ± 16.556.0 ± 27.642.0 ± 12.1
7 Molecules 15 04283 i00383.0 ± 8.687.0 ± 27.261.0 ± 15.6
8 Molecules 15 04283 i00488.0 ± 7.072.0 ± 18.348.0 ± 31.3
9 Molecules 15 04283 i00588.0 ± 4.790.0 ± 6.9No activity
10 Molecules 15 04283 i00694.0 ± 1.292.0 ± 0.628.0 ± 14.6
11 Molecules 15 04283 i00790.0 ± 0.694.0 ± 0.313.0 ± 16.5
12 Molecules 15 04283 i00896.0 ± 0.691.0 ± 0.6No activity
13 Molecules 15 04283 i00997.0 ± 0.692.0 ± 1.1No activity
14 Molecules 15 04283 i01097.0 ± 1.593.0 ± 4.943.0 ± 3.2
15 Molecules 15 04283 i01191.0 ± 7.596.0 ± 0.656.0 ± 2.6
16 Molecules 15 04283 i01292.0 ± 2.690.0 ± 4.0No activity
17 Molecules 15 04283 i01380.0 ± 16.093.0 ± 4.3No activity
18 Molecules 15 04283 i01485.0 ± 12.579.0 ± 9.7No activity
19 Molecules 15 04283 i01593.0 ± 4.191.0 ± 1.4No activity
20 Molecules 15 04283 i01695.0 ± 2.194.0 ± 1.15No activity
21 Molecules 15 04283 i01795.0 ± 2.596.0 ± 2.3No activity
22 Molecules 15 04283 i01873.0 ± 4.570.0 ±9.0No activity
23 Molecules 15 04283 i01996.0 ± 1.569.0 ± 7.6No activity
2 59.0 ± 4.566.0 ± 7.532.0 ± 7.0

Share and Cite

MDPI and ACS Style

Laurent, J.; Stanicki, D.; Huang, T.L.; Dei-Cas, E.; Pottier, M.; Aliouat, E.M.; Vanden Eynde, J.J. Bisbenzamidines as Antifungal Agents. Are Both Amidine Functions Required to Observe an Anti-Pneumocystis carinii Activity? Molecules 2010, 15, 4283-4293. https://doi.org/10.3390/molecules15064283

AMA Style

Laurent J, Stanicki D, Huang TL, Dei-Cas E, Pottier M, Aliouat EM, Vanden Eynde JJ. Bisbenzamidines as Antifungal Agents. Are Both Amidine Functions Required to Observe an Anti-Pneumocystis carinii Activity? Molecules. 2010; 15(6):4283-4293. https://doi.org/10.3390/molecules15064283

Chicago/Turabian Style

Laurent, Julien, Dimitri Stanicki, Tien L. Huang, Eduardo Dei-Cas, Muriel Pottier, El Mouktar Aliouat, and Jean Jacques Vanden Eynde. 2010. "Bisbenzamidines as Antifungal Agents. Are Both Amidine Functions Required to Observe an Anti-Pneumocystis carinii Activity?" Molecules 15, no. 6: 4283-4293. https://doi.org/10.3390/molecules15064283

APA Style

Laurent, J., Stanicki, D., Huang, T. L., Dei-Cas, E., Pottier, M., Aliouat, E. M., & Vanden Eynde, J. J. (2010). Bisbenzamidines as Antifungal Agents. Are Both Amidine Functions Required to Observe an Anti-Pneumocystis carinii Activity? Molecules, 15(6), 4283-4293. https://doi.org/10.3390/molecules15064283

Article Metrics

Back to TopTop