(6,7-Dimethoxy-4-methylisoquinolinyl)-(4’-methoxyphenyl)-methanone, a New Benzylisoquinoline Alkaloid from Beilschmiedia brevipes
Abstract
:1. Introduction

2. Results and Discussion

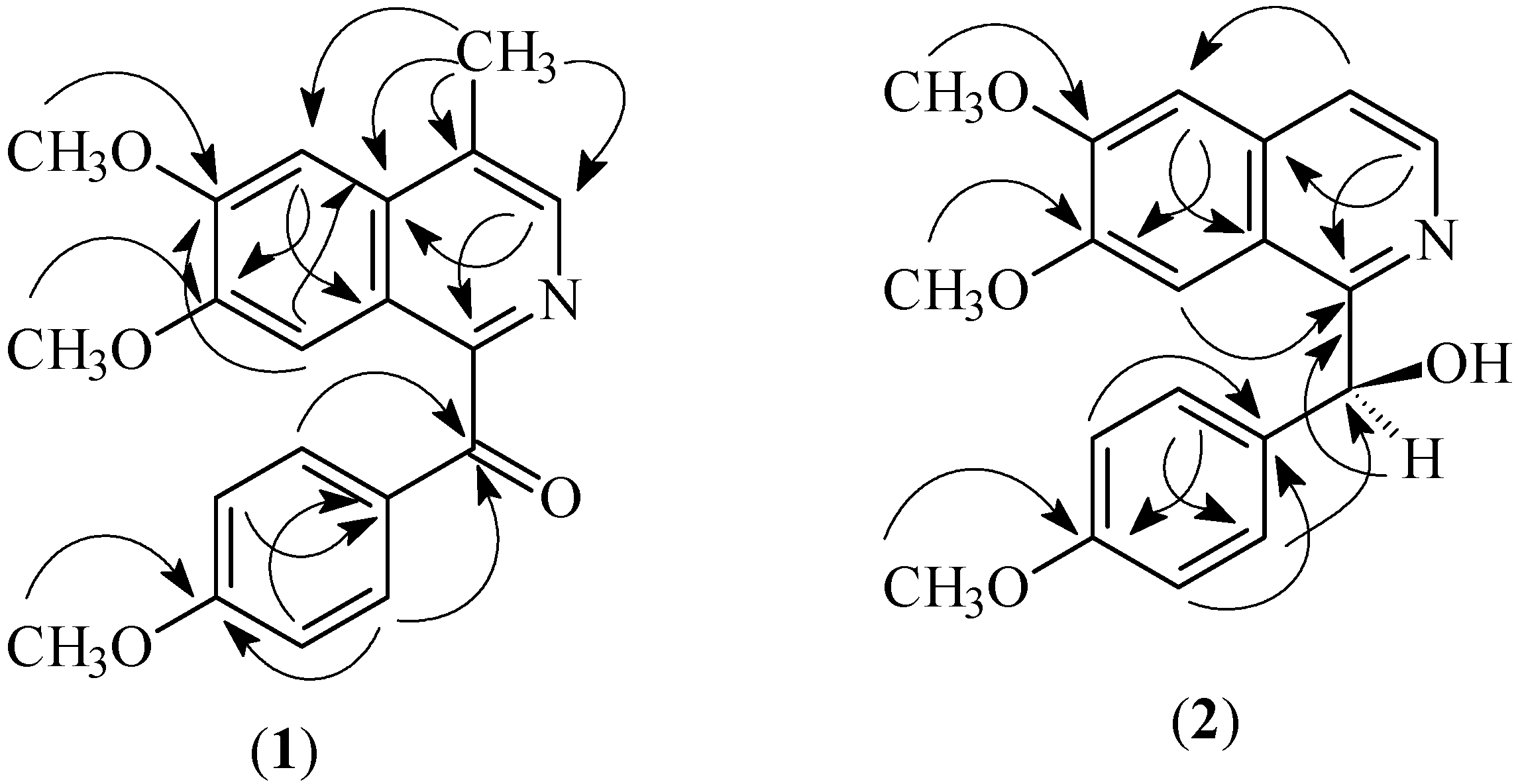
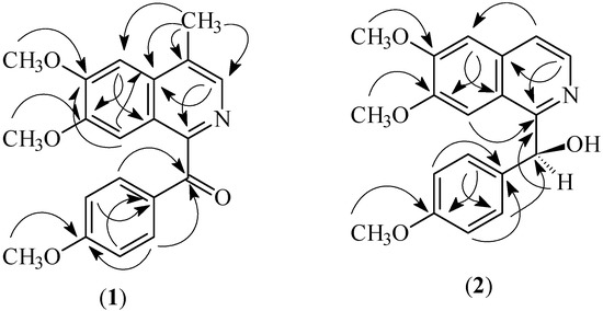
= +91° (c = 0.22, MeOH), was obtained as a brownish amorphous solid. The HRESI mass spectrum showed a molecular ion peak at m/z 326.1396 [M+H]+, thus giving a molecular formula of C19H20NO4 (calc. 326.1392 Δ 0.4 mmu). One fragmentation peak was observed at m/z 308.1457, [M-H2O]+ which can be attributed to the loss of a water molecule thus suggesting the presence of an aliphatic hydroxyl group. The IR spectrum revealed absorption bands at 3387 and 1597 cm−1 for –OH and C=N stretching vibrations [17,18].
= +91° (c = 0.22, MeOH) [18,19].| Alkaloid | ||||||
|---|---|---|---|---|---|---|
| Positions | (1) | (2) | (3) | (1) | (2) | (3)* |
| 1 | 152.7 | 156.6 | 153.5 | |||
| α | 6.23 s | 194.0 | 72.1 | 187.0 | ||
| 3 | 8.24 s | 8.40 d (6.0) | 8.42 d (5.6) | 140.0 | 137.5 | 139.9 |
| 4 | 7.52 d (6.0) | 7.53 d (5.6) | 128.2 | 120.0 | 121.1 | |
| 4a | 132.9 | 133.9 | 133.8 | |||
| 5 | 7.24 s | 7.06 s | 6.61 s | 101.4 | 105.3 | 104.7 |
| 6 | 152.1 | 153.1 | 153.0 | |||
| 7 | 150.4 | 150.1 | 150.9 | |||
| 8 | 7.58 s | 7.11 s | 7.20 s | 104.7 | 103.5 | 104.0 |
| 8a | 122.7 | 120.8 | 122.6 | |||
| 1′ | 129.9 | 135.2 | 129.7 | |||
| 2′ | 7.90 d (10.9) | 7.24 d (8.4) | 7.92 d (8.0) | 133.1 | 128.9 | 133.1 |
| 3′ | 6.90 d (10.9) | 6.78 d (8.4) | 6.93 d (8.0) | 113.5 | 114.1 | 113.6 |
| 4′ | 163.8 | 159.2 | 163.0 | |||
| 5′ | 6.90 d (10.9) | 6.78 d (8.4) | 6.93 d (8.0) | 113.5 | 114.1 | 113.6 |
| 6′ | 7.90 d (10.9) | 7.24 d (8.4) | 7.92 d (8.0) | 133.1 | 128.9 | 133.1 |
| CH3-4 | 2.71 s | 16.4 | ||||
| OMe-6 | 4.12 s | 3.97 s | 4.03 s | 55.9 | 56.1 | 56.0 |
| OMe-7 | 3.99 s | 3.78 s | 3.93 s | 55.4 | 55.9 | 56.0 |
| OMe-4′ | 3.93 s | 3.72 s | 3.85 s | 55.3 | 55.2 | 55.6 |
Biological Activity
| Compounds | IC50 (μg/mL) |
|---|---|
| (6,7-Dimethoxy-4-methylisoquinolinyl)-(4’-methoxyphenyl)-methanone (1) | >100 |
| (6,7-Dimethoxyisoquinolinyl)-(4’-methoxyphenyl)-methanone (3) [13] | 18.7 |
| O,O-Dimethylcoclaurine [12] | 6.5 |
| O-Methylvelucryptine [14] | 17.3 |
| Armepavine [15] | 42.2 |
| Norarmepavine [16]. | 44.5 |
3. Experimental
3.1. General
3.2. Plant Materials
3.3. Extraction and Isolation of the Alkaloids
= +91° (c = 0.22, MeOH), was obtained as a brownish amorphous solid; UV max (MeOH): 306 (3.46) nm; IR bands (KBr): 3,387, 2,939, 2,833, 1,597, 1,510, 1,430, 1,263, 1,137; 1H-NMR (400 MHz, CDCl3) and 13C-NMR (100 MHz, CDCl3): See Table 1; HRESIMS m/z: 326.1396 [M + H]+ (calc. 326.1392 for C19H20NO4).3.3. Cytotoxic Assays
4. Conclusions
Acknowledgements
References
- Chouna, J.R.; Nkeng-Efouet, P.A.; Lenta, B.N.; Devkota, K.P.; Neumann, B.; Stammler, H.G.; Kimbu, S.F.; Sewald, N. Antibacterial endiandric acid derivatives from Beilschmiedia anacardioides. Phytochemistry 2009, 70, 684–688. [Google Scholar]
- Harborne, J.B.; Méndez, J. Flavonoids of Beilschmiedia miersii. Phytochemistry 1969, 8, 763–764. [Google Scholar] [CrossRef]
- Yang, P.S.; Cheng, M.J.; Peng, C.F.; Chen, J.J.; Chen, I.S. Endiandric acid analogs from the roots of Beilschmiedia erythrophloia. J. Nat. Prod. 2009, 72, 53–58. [Google Scholar] [CrossRef]
- Yang, P.S.; Cheng, M.J.; Chen, J.J; Chen, I.S. Two new endiandric acid analogs, a new benzopyran, and a new benzenoid from the root of Beilschmiedia erythrophloia. Helv. Chim. Acta 2008, 91, 2130–2138. [Google Scholar] [CrossRef]
- Tchiegang, C.; Parmentier, M. Chemical composition and nutritional evaluation of two Cameroonian soup thickeners: Belschmiedia jacques felexii and Belschmiedia anacardiodes. Int. J. Food Sci. Technol. 2008, 45, 187–189. [Google Scholar]
- Chen, J.J.; Chou, E.T.; Peng, C.F.; Chen, I.S.; Yang, S.Z.; Huang, H.Y. Novel epoxyfuranoid lignans and antitubercular constituents from the leaves of Beilschmiedia tsangii. Planta Med. 2007, 73, 567–571. [Google Scholar] [CrossRef]
- Setzer, W.N.; Haber, W.A. Leaf essential oil composition of five species of Beilschmiedia from Monteverde, Costa Rica. Nat. Prod. Commun. 2007, 2, 79–83. [Google Scholar]
- Kitagawa, I.; Minagawa, K.; Zhang, R.S.; Hori, K.; Doi, M.; Inoue, M.; Ishida, T.; Kimura, M.; Uji, T.; Shibuya, H. Dehatrine, an antimalarial bisbenzylisoquinoline alkaloid from the Indonesian medicinal plant Beilschmiedia madang, isolated as a mixture of two rotational isomer. Chem. Pharm. Bull. 1993, 41, 997–999. [Google Scholar]
- Tillequin, F.; Koch, M.; Pusset, J.; Chauviere, G. Two new morphinane alkaloids from Beilschmiedia oreophila Schlechter (Lauraceae). Heterocycles 1985, 23, 1357–1361. [Google Scholar] [CrossRef]
- Johns, S.R.; Lamberton, J.A.; Sioumis, A.A.; Tweeddale, H.J. New aporphine alkaloids from Beilschmiedia podagrica. Aust. J. Chem. 1969, 22, 1277–1281. [Google Scholar] [CrossRef]
- Clezy, P.S.; Gellert, E.; Lau, D.Y.K.; Nichol, A.W. The alkaloids of Beilschmiedia elliptica. Aust. J. Chem. 1966, 19, 135–142. [Google Scholar] [CrossRef]
- Tomita, M.; Kusuda, F. Alkaloids of Menispermaceae. XCV. Alkaloids of Cocculus laurifolins. Suppl. 2. Yakugaku Zasshi 1952, 72, 793–796. [Google Scholar]
- Anita, J.M.; Aderbal, F.M.; Edmundo, A.R.; Francisco, de A.M.R. 13C NMR analysis of some oxoaporphine alkaloids. Phytochemistry 1980, 19, 995–997. [Google Scholar] [CrossRef]
- Claudio, C.S.; Carmem, R.B.; Antonio, L.B.; Teodoro, S.K. Elaboration of 1-benzoyltetrahydroisoquinoline derivatives employing a Pictet–Spengler cyclization with α-chloro-α-phenylthioketones. Synthesis of O-methylvelucryptine. Tetrahedron Lett. 2001, 42, 8947–8950. [Google Scholar] [CrossRef]
- Tomita, M.; Watanabe, Y.; Furukawa, H. On the alkaloids of Nelumbo nucifera Gaertn. IV. Isolation of dl-armepavine. Yakugaku Zasshi 1961, 81, 1644–1647. [Google Scholar]
- Günay, S.; Phillipson, J.D. Alkaloids of Turkish Papavertauricola. Phytochemistry 1980, 19, 2189–2192. [Google Scholar] [CrossRef]
- Kuo, R.Y.; Chang, F.R.; Wu, C.C.; Patnam, R.; Wang, W.Y.; Du, Y.C.; Wu, Y.C. Antiplatelet activity of benzylisoquinoline derivatives oxidized by cerium(IV) ammonium nitrate. Bioorg. Med. Chem. Lett. 2003, 13, 2789–2793. [Google Scholar]
- Chung, Y.C.; Fang, R.C.; Wen, B.P.; Yang, C.W. Four alkaloids from Annona cherimola. Phytochemistry 2001, 56, 753–757. [Google Scholar] [CrossRef]
- Bojadziev, S.E.; Tsankov, D.T.; Ivanov, P.M.; Berova, N.D. Preparation, absolute configuration and confirmation of some α-aryl-2-pyridylmethanols. Bull. Chem. Soc. Jpn. 1987, 60, 2651–2655. [Google Scholar] [CrossRef]
- Botega, C.; Pagliosa, F.M.; Bolzani, V.S.; Yoshida, M.; Gottlieb, O.R. Benzylisoquinoline alkaloids and eudesmane sesquiterpenes from Ocotea pulchella. Phytochemistry 1993, 32, 1331–1333. [Google Scholar]
- Alley, M.C.; Scudiero, D.A.; Monks, A.; Hursey, M.L.; Czerwinski, M.J.; Fine, D.L.; Abbott, B. J.; Mayo, J.G.; Shoemaker, R.H.; Boyd, M.R. Feasibility of drug screening with panels of human tumor cell lines using a microculture tetrazolium assay. Cancer Res. 1988, 48, 589–610. [Google Scholar]
- Sample Availability: Samples of 3 are available from the authors.
© 2010 by the authors; licensee Molecular Diversity Preservation International, Basel, Switzerland. This article is an open-access article distributed under the terms and conditions of the Creative Commons Attribution license (http://creativecommons.org/licenses/by/3.0/).
Share and Cite
Pudjiastuti, P.; Mukhtar, M.R.; Hadi, A.H.A.; Saidi, N.; Morita, H.; Litaudon, M.; Awang, K. (6,7-Dimethoxy-4-methylisoquinolinyl)-(4’-methoxyphenyl)-methanone, a New Benzylisoquinoline Alkaloid from Beilschmiedia brevipes. Molecules 2010, 15, 2339-2346. https://doi.org/10.3390/molecules15042339
Pudjiastuti P, Mukhtar MR, Hadi AHA, Saidi N, Morita H, Litaudon M, Awang K. (6,7-Dimethoxy-4-methylisoquinolinyl)-(4’-methoxyphenyl)-methanone, a New Benzylisoquinoline Alkaloid from Beilschmiedia brevipes. Molecules. 2010; 15(4):2339-2346. https://doi.org/10.3390/molecules15042339
Chicago/Turabian StylePudjiastuti, Pratiwi, Mat Ropi Mukhtar, A. Hamid A. Hadi, Nurdin Saidi, Hiroshi Morita, Marc Litaudon, and Khalijah Awang. 2010. "(6,7-Dimethoxy-4-methylisoquinolinyl)-(4’-methoxyphenyl)-methanone, a New Benzylisoquinoline Alkaloid from Beilschmiedia brevipes" Molecules 15, no. 4: 2339-2346. https://doi.org/10.3390/molecules15042339
APA StylePudjiastuti, P., Mukhtar, M. R., Hadi, A. H. A., Saidi, N., Morita, H., Litaudon, M., & Awang, K. (2010). (6,7-Dimethoxy-4-methylisoquinolinyl)-(4’-methoxyphenyl)-methanone, a New Benzylisoquinoline Alkaloid from Beilschmiedia brevipes. Molecules, 15(4), 2339-2346. https://doi.org/10.3390/molecules15042339
