Influence of Magnolol on the Secretion of α-Toxin by Staphylococcus aureus
Abstract
:1. Introduction

2. Results and Disscussion
2.1. Influence of magnolol on S. aureus growth

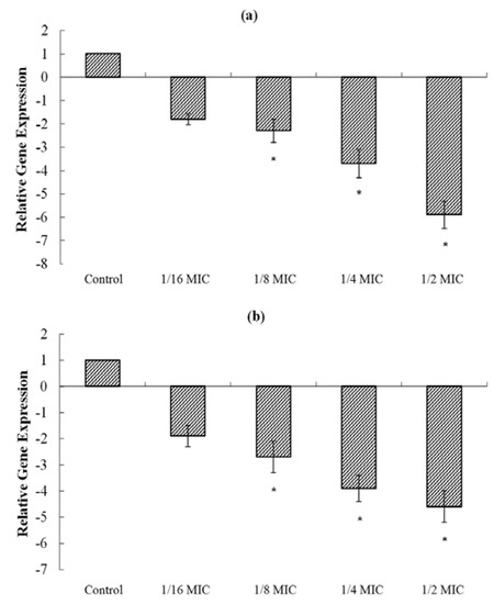
2.2. Magnolol reduces the level of α-toxin expression by S. aureus



2.3. Discussion
3. Experimental
3.1. Bacterial strains and reagents
3.2. Determination of Minimal Inhibitory Concentration (MIC)
3.3. Growth curves
3.4. Hemolysin assay
3.5. Western blot assay
3.6. Real-time RT-PCR
| Primer | N315 ORF* | Sequence |
|---|---|---|
| 16S rRNA sense | SArRNA01 | 5’-CGTGCTACAATGGACAATACAAA-3’ |
| 16S rRNA antisense | SArRNA01 | 5’-ATCTACGATTACTAGCGATTCCA-3’ |
| hla sense | SA1007 | 5’-TGAATCCTGTCGCTAATG-3’ |
| hla antisense | SA1007 | 5’-TATCATCCGACCTTTCACT-3’ |
3.7. Statistical analysis of the results
4. Conclusions
Acknowledgements
- Sample Availability: Samples of the compounds are available from authors.
References and Notes
- Jabra-Rizk, M.A.; Meiller, T.F.; James, C.E.; Shirtliff, M.E. Effect of farnesol on Staphylococcus aureus biofilm formation and antimicrobial susceptibility. Antimicrob. Agents Chemother. 2006, 50, 1463–1469. [Google Scholar] [CrossRef]
- Koziel, J.; Maciag-Gudowska, A.; Mikolajczyk, T.; Bzowska, M.; Sturdevant, D.E. Phagocytosis of Staphylococcus aureus by macrophages exerts cytoprotective effects manifested by the upregulation of antiapoptotic factors. PLoS One 2009, 4, e5210. [Google Scholar]
- Herbert, S.; Barry, P.; Novick, R.P. Subinhibitory clindamycin differentially inhibits transcription of exoprotein genes in Staphylococcus aureus. Infect. Immun. 2001, 69, 2996–3003. [Google Scholar] [CrossRef]
- Oscarsson, J.; Kanth, A.; Tegmark-Wisell, K.; Arvidson, S. SarA is a repressor of hla (alpha-hemolysin) transcription in Staphylococcus aureus: its apparent role as an activator of hla in the prototype strain NCTC 8325 depends on reduced expression of sarS. J. Bacteriol. 2006, 188, 8526–8533. [Google Scholar] [CrossRef]
- Peng, H.L.; Novick, R.P.; Kreiswirth, B.; Kornblum, J.; Schlievert, P. Cloning, characterization, and sequencing of an accessory gene regulator (agr) in Staphylococcus aureus. J. Bacteriol. 1988, 170, 4365–4372. [Google Scholar]
- Giraudo, A.T.; Cheung, A.L.; Nagel, R. The sae locus of Staphylococcus aureus controls exoprotein synthesis at the transcriptional level. Arch. Microbiol. 1997, 168, 53–58. [Google Scholar] [CrossRef]
- Ho, K.Y.; Tsai, C.C.; Chen, C.P.; Huang, J.S.; Lin, C.C. Antimicrobial activity of honokiol and magnolol isolated from Magnolia officinalis. Phytother. Res. 2001, 15, 139–141. [Google Scholar] [CrossRef]
- Wang, J.P.; Ho, T.F.; Chang, L.C.; Chen, C.C. Anti-inflammatory effect of magnolol, isolated from Magnolia officinalis, on A23187-induced pleurisy in mice. J. Pharm. Pharmacol. 1995, 47, 857–860. [Google Scholar]
- Wu, S.N.; Chen, C.C.; Li, H.F.; Lo, Y.K.; Chen, S.A.; Chiang, H.T. Stimulation of the BK(Ca) channel in cultured smooth muscle cells of human trachea by magnolol. Thorax 2002, 57, 67–74. [Google Scholar] [CrossRef]
- Girgis, D.O.; Sloop, G.D.; Reed, J.M.; O'Callaghan, R.J. Effects of toxin production in a murine model of Staphylococcus aureus keratitis. Invest. Ophthalmol. Vis. Sci. 2005, 466, 2064–2070. [Google Scholar]
- Tseng, C.W.; Stewart, G.C. Rot repression of enterotoxin B expression in Staphylococcus aureus. J. Bacteriol. 2005, 187, 5301–5309. [Google Scholar] [CrossRef]
- Bania, J.; Dabrowska, A.; Korzekwa, K.; Zarczynska, A.; Bystron, J.; Chrzanowska, J.; Molenda, J. The profiles of enterotoxin genes in Staphylococcus aureus from nasal carriers. Lett. Appl. Microbiol. 2006, 42, 315–320. [Google Scholar] [CrossRef]
- Trede, N.S.; Castigli, E.; Geha, R.S.; Chatila, T. Microbial superantigens induce NF-kappa B in the human monocytic cell line THP-1. J. Immunol. 1993, 150, 5604–5613. [Google Scholar]
- Bernardo, K.; Pakulat, N.; Fleer, S.; Schnaith, A.; Utermöhlen, O.; Krut, O.; Müller, S.; Krönke, M. Subinhibitory concentrations of linezolid reduce Staphylococcus aureus virulence factor expression. Antimicrob Agents Chemother. 2004, 48, 546–555. [Google Scholar] [CrossRef]
- Koszczol, C.; Bernardo, K.; Krönke, M.; Krut, O. Subinhibitory quinupristin/dalfopristin attenuates virulence of Staphylococcus aureus. J. Antimicrob. Chemother. 2006, 58, 564–574. [Google Scholar] [CrossRef]
- Stevens, D.L.; Ma, Y.; Salmi, D.B.; McIndoo, E.; Wallace, R.J. Impact of antibiotics on expression of virulence-associated exotoxin genes in methicillin-sensitive and methicillin-resistant Staphylococcus aureus. J. Infect Dis. 2007, 195, 202–211. [Google Scholar] [CrossRef]
- Kuroda, H.; Kuroda, M.; Cui, L.; Hiramatsu, K. Subinhibitory concentrations of beta-lactam induce haemolytic activity in Staphylococcus aureus through the SaeRS two-component system. FEMS Microbiol. Lett. 2007, 268, 98–105. [Google Scholar] [CrossRef]
- Shah, S.; Stapleton, P.D.; Taylor, P.W. The polyphenol (-)-epicatechin gallate disrupts the secretion of virulence-related proteins by Staphylococcus aureus. Lett. Appl. Microbiol. 2008, 46, 181–185. [Google Scholar]
- Qiu, J.; Jiang, Y.; Xia, L.; Xiang, H.; Feng, H.; Pu, S.; Huang, N.; Yu, L.; Deng, X. Subinhibitory concentrations of licochalcone A decrease alpha-toxin production in both methicillin-sensitive and methicillin-resistant Staphylococcus aureus isolates. Lett. Appl. Microbiol. 2010, 50, 223–229. [Google Scholar] [CrossRef]
- Smith-Palmer, A.; Stewart, J.; Fyfe, L. Influence of subinhibitory concentrations of plant essential oils on the production of enterotoxins A and B and alpha-toxin by Staphylococcus aureus. J. Med. Microbiol. 2004, 53, 1023–1027. [Google Scholar] [CrossRef]
- Cegelski, L.; Marshall, G.R.; Eldridge, G.R.; Hultgren, S.J. The biology and future prospects of antivirulence therapies. Nat. Rev. Microbiol. 2008, 6, 17–27. [Google Scholar] [CrossRef]
- Li, M.; Diep, B.A.; Villaruz, A.E.; Braughton, K.R.; Jiang, X. Evolution of virulence in epidemic community-associated methicillin-resistant Staphylococcus aureus. Proc. Natl. Acad. Sci. USA 2009, 106, 5883–5888. [Google Scholar]
- Gill, S.R.; Fouts, D.E.; Archer, G.L.; Mongodin, E.F.; Deboy, R.T. Insights on evolution of virulence and resistance from the complete genome analysis of an early methicillin-resistant Staphylococcus aureus strain and a biofilm-producing methicillin-resistant Staphylococcus epidermidis strain. J. Bacteriol. 2005, 187, 2426–2438. [Google Scholar]
- Rowe, G.E.; Welch, R.A. Assays of hemolytic toxins. Methods Enzymol. 1994, 235, 657–667. [Google Scholar] [CrossRef]
- Laemmli, U.K. Cleavage of structural proteins during the assembly of the head of bacteriophage T4. Nature (London) 1970, 227, 680–685. [Google Scholar]
- Sambanthamoorthy, K.; Smeltzer, M.S.; Elasri, M.O. Identification and characterization of msa (SA1233), a gene involved in expression of SarA and several virulence factors in Staphylococcus aureu. Microbiology 2006, 152, 2559–2572. [Google Scholar] [CrossRef]
© 2010 by the authors; licensee Molecular Diversity Preservation International, Basel, Switzerland. This article is an open-access article distributed under the terms and conditions of the Creative Commons Attribution license (http://creativecommons.org/licenses/by/3.0/).
Share and Cite
Xiang, H.; Qiu, J.-Z.; Wang, D.-C.; Jiang, Y.-S.; Xia, L.-J.; Deng, X.-M. Influence of Magnolol on the Secretion of α-Toxin by Staphylococcus aureus . Molecules 2010, 15, 1679-1689. https://doi.org/10.3390/molecules15031679
Xiang H, Qiu J-Z, Wang D-C, Jiang Y-S, Xia L-J, Deng X-M. Influence of Magnolol on the Secretion of α-Toxin by Staphylococcus aureus . Molecules. 2010; 15(3):1679-1689. https://doi.org/10.3390/molecules15031679
Chicago/Turabian StyleXiang, Hua, Jia-Zhang Qiu, Da-Cheng Wang, You-Shuai Jiang, Li-Jie Xia, and Xu-Ming Deng. 2010. "Influence of Magnolol on the Secretion of α-Toxin by Staphylococcus aureus " Molecules 15, no. 3: 1679-1689. https://doi.org/10.3390/molecules15031679
APA StyleXiang, H., Qiu, J.-Z., Wang, D.-C., Jiang, Y.-S., Xia, L.-J., & Deng, X.-M. (2010). Influence of Magnolol on the Secretion of α-Toxin by Staphylococcus aureus . Molecules, 15(3), 1679-1689. https://doi.org/10.3390/molecules15031679
