Synthesis of 1-(4-Trifluoromethoxyphenyl)-2,5-dimethyl-3-(2-R-thiazol-4-yl)-1H-pyrroles via Chain Heterocyclization
Abstract
:1. Introduction
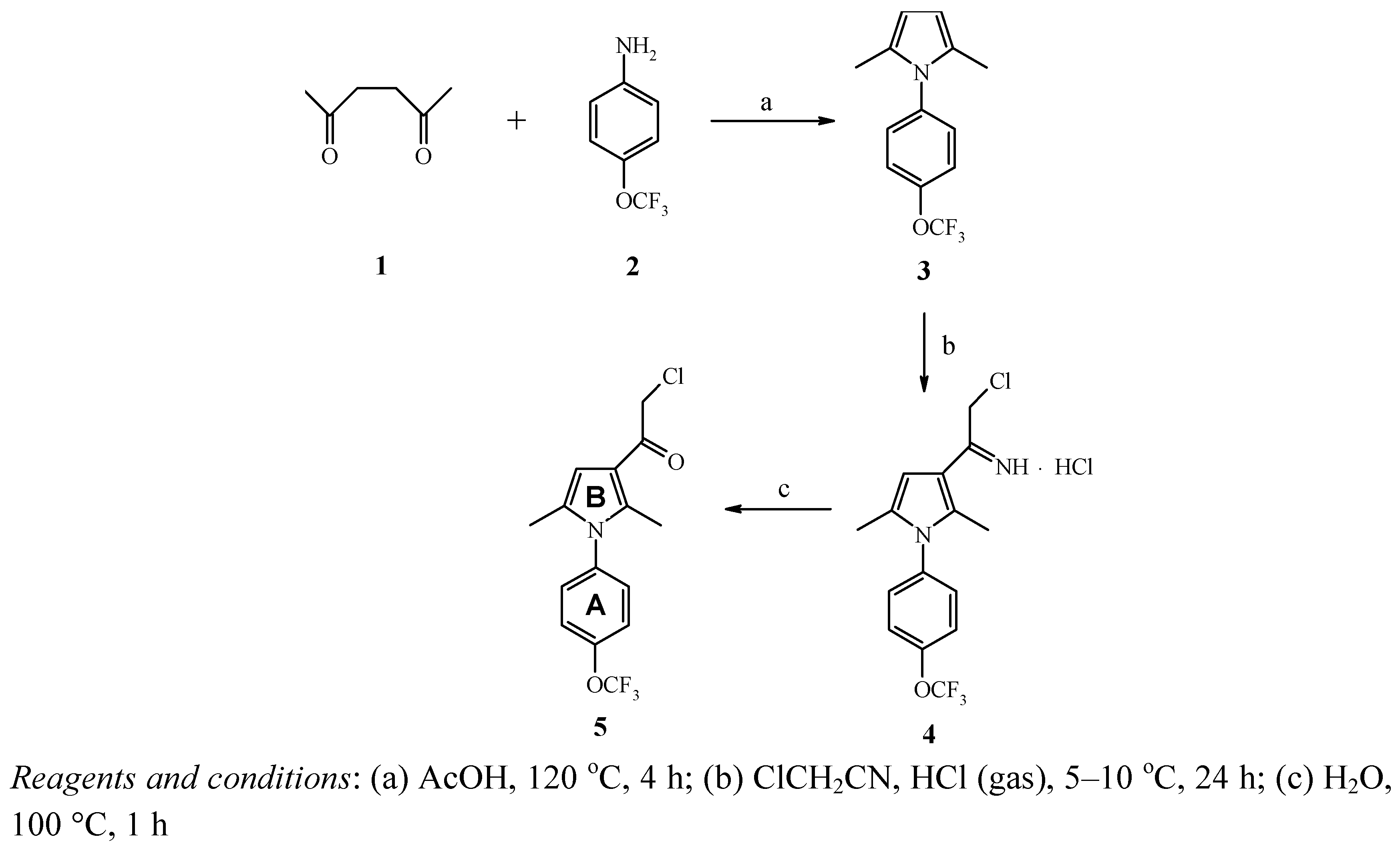
2. Results and Discussion


| Product | R | Yield, % | Mp | Product | R | Yield, % | Mp |
|---|---|---|---|---|---|---|---|
| 6a | (R1R2N) | 76 | 174-175 | 8c | (SR4) | 92 | 106 |
| 6b | (R1R2N) | 81 | 232-234 | 9a | Me (R5) | 62 | 134-135 |
| 6c | (R1R2N) | 70 | 126-127 | 9b | 2-Thienyl (R5) | 65 | 115-116 |
| 7a | [OC(O)R3] | 71 | 143-144 | 9c | (R5) | 69 | 131-132 |
| 7b | [OC(O)R3] | 74 | 110-111 | 9d | NH2 (R5) | 71 | 126-127 |
| 7c | [OC(O)R3] | 78 | 103 | 9e | MeNH (R5) | 64 | 166-167 |
| 8a | (SR4) | 84 | 132-133 | 9f | (R5) | 70 | 129-130 |
| 8b | (SR4) | 89 | 165-166 | 9g | (R5) | 65 | 108-109 |
3. Experimental
3.1. General
3.2. General method for synthesis of 2,5-dimethyl-3-(2-N-substituted-1-oxoethyl)-1-[4-(trifluoro-methoxy)phenyl]-1H-pyrroles 6a-c
3.3. General method for synthesis of2,5-dimethyl-3-(2-O-substituted 1-oxoethyl)-1-[4-(trifluoromethoxy)-phenyl]-1H-pyrroles 7 a-c
3.4. General method for synthesis of 2,5-dimethyl-3-(2-S-substituted 1-oxoethyl)-1-[4-(trifluoromethoxy)phenyl]-1H-pyrroles 8 a-c
3.5. General method for synthesis of 4-[2,5-dimethyl-1-(4-trifluoromethoxyphenyl)-1H-pyrrol-3-yl]thiazoles 9a-g
4. Conclusions
Acknowledgements
References
- Fürstner, A. Chemistry and biology of roseophilin and the prodigiosin alkaloids: A survey of the last 2500 years. Angew. Chem. Int. Ed. 2003, 42, 3582–3603. [Google Scholar] [CrossRef]
- Tsukamoto, S.; Tane, K.; Ohta, T.; Matsunaga, S.; Fusetani, N.; van Soest, R.W.M. Four new bioactive pyrrole-derived alkaloids from the marine sponge Axinella brevistyla. J. Nat. Prod. 2001, 64, 1576–1978. [Google Scholar] [CrossRef]
- Grube, A.; Köck, M. Oxocyclostylidol, an intramolecular cyclized oroidin derivative from the marine sponge Stylissa caribica. J. Nat. Prod. 2006, 69, 1212–1214. [Google Scholar] [CrossRef]
- Bellina, F.; Rossi, R. Synthesis and biological activity of pyrrole, pyrroline and pyrrolidine derivatives with two aryl group on adjacent positions. Tetrahedron 2006, 62, 7213–7256. [Google Scholar] [CrossRef]
- La Regina, G.; Silvestri, R.; Artico, M.; Lavecchia, A.; Novellino, E.; Befani, O.; Turini, P.; Agostinelli, E. New pyrrole inhibitors of monoamine oxidase: Synthesis, biological evaluation, and structural determinants of MAO-A and MAO-B selectivity. J. Med. Chem. 2007, 50, 922–931. [Google Scholar] [CrossRef]
- Rips, R.; Buu-Hoï, N.P. Pyrrole compounds. U.S. Patent 2986564, 1961. [Google Scholar]
- Pons, A.L.; Robba, M.F.; Marcy, R.H.; Duval, D.J.C. 1-Phenylpyrrole. Ger. Patent 1938904, 1970. [Google Scholar]
- Vollenberg, W.; Beckmann, R. Neue pyrrolderivate und verfahren zu ihrer herstellung. Ger. Patent 2427614, 1976. [Google Scholar]
- Schepetkin, I.A.; Khlebnikov, A.I.; Kirpotina, L.N.; Quinn, M.T. Novel small-molecule inhibitors of Anthrax lethal factor identified by high-throughput screening. J. Med. Chem. 2006, 49, 5232–5244. [Google Scholar] [CrossRef]
- Szewczuk, L.M.; Saldanha, S.A.; Ganguly, S.; Bowers, E.M.; Javoroncov, M.; Karanam, B.; Culhane, J.C.; Holbert, M.A.; Klein, D.C.; Abagyan, R.; Cole, P.A. De novo discovery of serotonin N-acetyltransferase inhibitors. J. Med. Chem. 2007, 50, 5330–5338. [Google Scholar]
- Leroux, F.; Jeschke, P.; Schlosser, M. α-Fluorinated ethers, thioethers, and amines: Anomerically biased specie. Chem. Rev. 2005, 105, 827–856. [Google Scholar] [CrossRef]
- Riess, J.G. Blood substitutes and other potential biomedical applications of fluorinated colloids. J. Fluor. Chem. 2002, 114, 119–126. [Google Scholar] [CrossRef]
- Riess, J.G. Fluorous micro- and nanophases with a biomedical perspective. Tetrahedron 2002, 58, 4113–4131. [Google Scholar] [CrossRef]
- Liu, K.; Black, R.M.; Acton, J.J.; Mosley, R.; Debenham, S.; Abola, R.; Yang, M.; Tschirret-Guth, R.; Colwell, L.; Liu, C.; Wu, M.; Wang, C.F.; MacNaul, K.L.; McCann, M.E.; Moller, D.E.; Berger, J.P.; Meinke, P.T.; Jones, A.B; Wood, H.B. Selective PPARγ modulators with improved pharmacological profiles. Bioorg. Med. Chem. Lett. 2005, 15, 2437–2440. [Google Scholar]
- Vovk, M.V.; Pinchuk, O.M.; Sukach, V.A.; Tolmachov, A.O.; Gakh, A.A. Trifluoromethoxy Containing Azoles and Azines: Synthesis and Biological Activity. In Fluorinated Heterocycles; Gakh, A.A., Kirk, K.L., Eds.; American Chemical Society: Washington, DC, USA, 2009; pp. 307–345. [Google Scholar]
- Harder, H.H.; Riley, S.R.; McCann, S.F.; Irving, S.N. DPX-MP062: A novel, broad-spectrum, environmentally-soft, insect control compound. Brighton Crop Prot. Conf. Pests. Dis. 1996, 2, 449–454. [Google Scholar]
- Obata, T.; Fujii, K.; Ooka, A.; Yamanaka, Y. 4-Phenethylamino pyrimidine derivative, process for preparing the same and agricultural and horticultural chemical for controlling noxious organisms containing the same. Eur. Patent EP0665225, 1995. [Google Scholar]
- Rademacher, W. Growth retardants: Effects on gibberellin biosynthesis and other metabolic pathways. Annu. Rev. Plant Physiol. Plant Mol. Biol. 2000, 51, 501–537. [Google Scholar] [CrossRef]
- Bensimon, G.; Lacomblez, L.; Meininger, V. A controlled trial of Riluzole in amyotrophic lateral sclerosis. New Engl. J. Med. 1994, 330, 585–591. [Google Scholar] [CrossRef]
- Dolle, R.E.; Le Bourdonnec, B.; Goodman, A.J.; Morales, G.A.; Salvino, J.M.; Zhang, W. Comprehensive survey of chemical libraries for drug discovery and chemical biology. 2006. J. Comb. Chem. 2007, 9, 855–902. [Google Scholar] [CrossRef]
- Broadbent, H.S.; Burnham, W.S.; Olsen, R.K.; Sheeley, R.M. Sterically-crowded pyrroles. J. Heterocycl. Chem. 1968, 5, 757–767. [Google Scholar] [CrossRef]
- Rips, R.; Buu-Hoï, N.P. Friedel-Crafts acylations of 1-phenyl-2,5-dimethylpyrrole and 1,2-diphenyl-5-methylpyrrole. J. Org. Chem. 1959, 24, 551–554. [Google Scholar] [CrossRef]
- Bishop, W. S. New 2,5-dimethylpyrrole derivatives. J. Am. Chem. Soc. 1945, 67, 2261–2262. [Google Scholar] [CrossRef]
- Schmidt, A. Imidiumazid-hexachloroantimonate (V) mesomeriestabilisierte azide. Chem. Ber. 1967, 100, 3319–3325. [Google Scholar] [CrossRef]
- Sample Availability: Samples of the compounds are available from the authors.
© 2010 by the authors;
Share and Cite
Vovk, M.V.; Pinchuk, O.M.; Tolmachov, A.O.; Gakh, A.A. Synthesis of 1-(4-Trifluoromethoxyphenyl)-2,5-dimethyl-3-(2-R-thiazol-4-yl)-1H-pyrroles via Chain Heterocyclization. Molecules 2010, 15, 997-1006. https://doi.org/10.3390/molecules15020997
Vovk MV, Pinchuk OM, Tolmachov AO, Gakh AA. Synthesis of 1-(4-Trifluoromethoxyphenyl)-2,5-dimethyl-3-(2-R-thiazol-4-yl)-1H-pyrroles via Chain Heterocyclization. Molecules. 2010; 15(2):997-1006. https://doi.org/10.3390/molecules15020997
Chicago/Turabian StyleVovk, Mykhaylo V., Oleksandr M. Pinchuk, Andrij O. Tolmachov, and Andrei A. Gakh. 2010. "Synthesis of 1-(4-Trifluoromethoxyphenyl)-2,5-dimethyl-3-(2-R-thiazol-4-yl)-1H-pyrroles via Chain Heterocyclization" Molecules 15, no. 2: 997-1006. https://doi.org/10.3390/molecules15020997
APA StyleVovk, M. V., Pinchuk, O. M., Tolmachov, A. O., & Gakh, A. A. (2010). Synthesis of 1-(4-Trifluoromethoxyphenyl)-2,5-dimethyl-3-(2-R-thiazol-4-yl)-1H-pyrroles via Chain Heterocyclization. Molecules, 15(2), 997-1006. https://doi.org/10.3390/molecules15020997












