Facile and Convenient Synthesis of New Thieno[2,3-b]-Thiophene Derivatives
Abstract
:1. Introduction
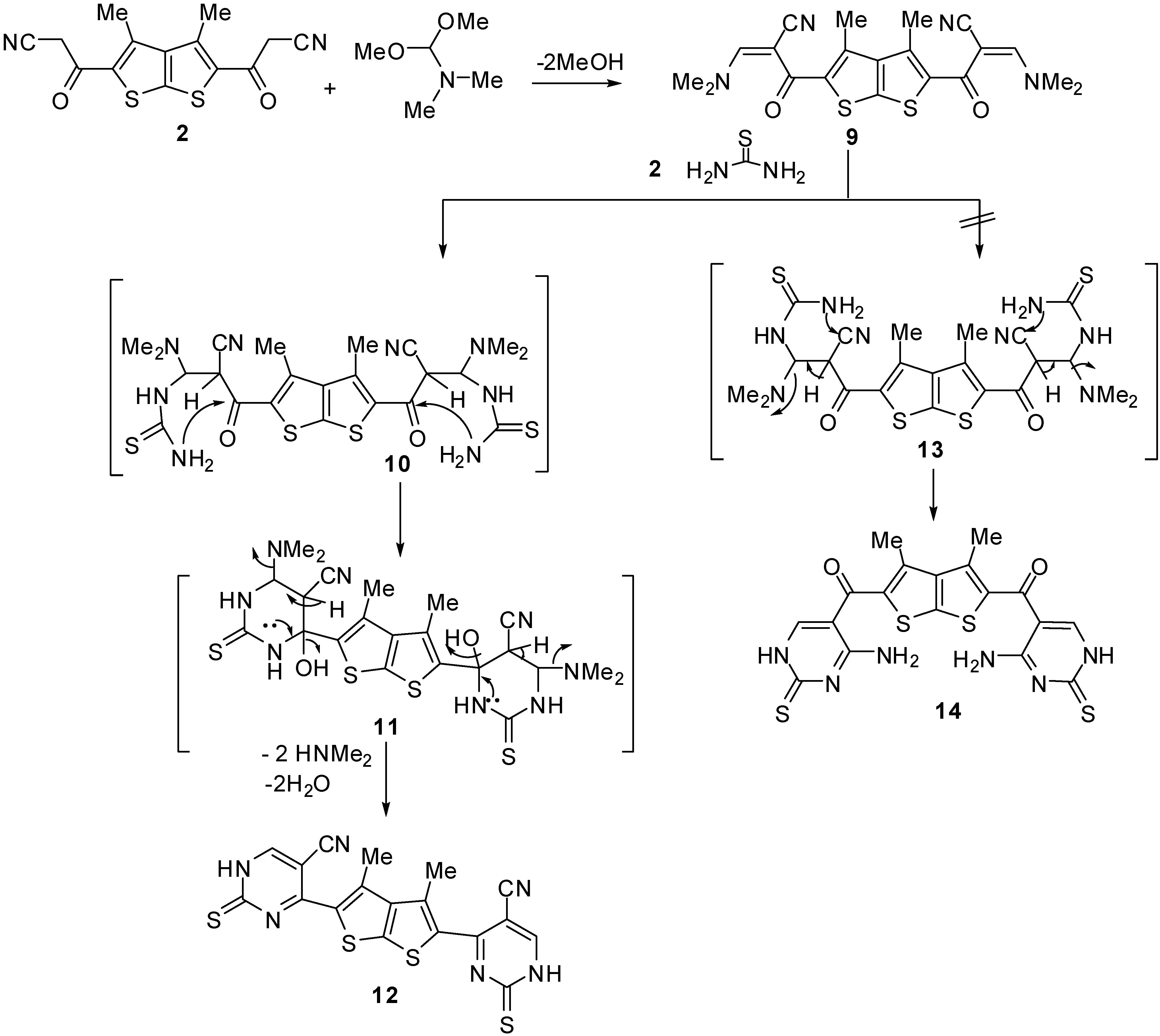
2. Results and Discussion




3. Experimental
General
4. Conclusions
Acknowledgements
- Sample Availability: Samples of compounds 3-17 are available from the authors.
References
- Li, J.T.; Sun, M.X.; He, G.Y.; Xu, X.Y. Efficient and green synthesis ofbis(indolyl)methanes catalyzed by ABS in aqueous media under ultrasoundirradiation. Ultrason. Sonochem. 2011, 18, 412–414. [Google Scholar]
- Wang, Z.; Zhao, C.; Zhao, D.; Li, C.; Ahang, J.; Wang, H. The preparation of substituted bithiophenyl aldehydes via the ring opening of dithieno[2,3-b:3′,2′-d]thiophene in the presence of n-BuLi. Tetrahedron 2010, 66, 2168–2174. [Google Scholar] [CrossRef]
- Diana, P.; Carbone, A.; Barraja, P.; Kelter, G.; Herbert Fiebig, H.; Cirrincione, G. Synthesis and antitumor activity of 2,5-bis(3′-indolyl)-furans and 3,5-bis(3′-indolyl)-isoxazoles, nortopsentin analogues. Bioorg. Med. Chem. 2010, 18, 4524–4529. [Google Scholar] [CrossRef]
- Toyota, K.; Okada, K.; Katsuta, H.; Morita, N. Preparations of bis[2-(2-arylethynyl)-3-thienyl]arenes and bis[2-{2-(trimethylsilyl)ethynyl}-3-thienyl]arenes. Tetrahedron 2009, 65, 145–151. [Google Scholar] [CrossRef]
- Todd, E.M.; Zimmerman, S.C. Bis-ureidodeazapterin (Bis-DeAP) as a general route tosupramolecularstar polymers. Tetrahedron 2008, 64, 8558–8570. [Google Scholar] [CrossRef]
- Diana, P.; Carbone, A.; Barraja, P.; Montalbano, A.; Martorana, A.; Dattolo, G.; Gia, O.; Dalla Via, L.; Cirrincione, G. Synthesis and antitumor properties of 2,5-bis(3′-indolyl)thiophenes: Analogues of marine alkaloid nortopsentin. Bioorg. Med. Chem. Lett. 2007, 17, 2342–2346. [Google Scholar] [CrossRef]
- Blanco, G.; Quintela, J.M.; Peinador, C. Efficient one-pot preparation of bis(pyrazino- [2′,3′:4,5]thieno-[3,2-d]pyrimidin-4-yl)benzenes based on an aza–Wittig/mediated annulation strategy. Tetrahedron 2007, 63, 2034–2041. [Google Scholar] [CrossRef]
- Promarak, V.; Punkvuang, A.; Jungsuttiwong, S.; Saengsuwan, S.; Sudyoadsuk, T.; Keawin, T. Synthesis, optical, electrochemical, and thermal properties of α,α′-bis(9,9-bis-n-hexylfluorenyl) substituted oligothiophenes. Tetrahedron Lett. 2007, 48, 3661–3665. [Google Scholar] [CrossRef]
- Chakrabarti, J.K.; Horsman, L.; Hotten, T.M.; Pullar, I.A.; Tupper, D.E.; Wright, F.C. 4- Piperazinyl-10H-thieno[2,3-b][1,5]benzodiazepines as potential neuroleptics. J. Med. Chem. 1980, 23, 878–884. [Google Scholar] [CrossRef]
- Ram, V.J.; Pandey, H. K.; Vlientick, A.J. Thieno[2,3-d]pyrimidines as potential chemotherapeutic agents. II. J. Heterocycl. Chem. 1981, 18, 1277–1280. [Google Scholar]
- Jarak, I.; Kralj, M.; Piantanida, I.; Suman, L.; Zinic, M.; Pavelic, K.; Karminski-Zamola, G. Novel cyano- and amidino-substituted derivatives of thieno[2,3-b]- and thieno[3,2-b]thiophene-2-carboxanilides and thieno[3′,2′:4,5]thieno and thieno[2′,3′:4,5] thieno[2,3-c]quinolones: Synthesis, photochemical synthesis, DNA binding, and antitumor evaluation. Bioorg. Med. Chem. 2006, 14, 2859–2868. [Google Scholar] [CrossRef]
- Peters, D.; Hornfeldt, A.B.; Gronowitz, S. Synthesis of various 5-substituted uracils. J. Heterocycl. Chem. 1990, 27, 2165–2173. [Google Scholar] [CrossRef]
- Kukolja, S.; Draheim, S.E.; Graves, B.J.; Hunden, D.C.; Pfeil, J.L.; Cooper, R.D.G.; Ott, J.L.; Couter, F.T. Orally absorbable cephalosporin antibiotics. 2. Structure-activity studies of bicyclic glycine derivatives of 7-aminodeacetoxycephalosporanic acid. J. Med. Chem. 1985, 28, 1896–1903. [Google Scholar] [CrossRef]
- Prugh, J.D.; Hartman, G.D.; Mallorga, P.J.; McKeever, B.M.; Michelson, S.R.; Murcko, M.A.; Schwam, H.; Smith, R.L.; Sondey, J.M.; Springer, J.P.; Surgrue, M.F. New isomeric classes of topically active ocular hypotensive carbonic anhydrase inhibitors: 5-substituted thieno[2,3-b] thiophene-2-sulfonamides and 5-substituted thieno[3,2-b]thiophene-2-sulfonamides. J. Med Chem. 1991, 34, 1805–1818. [Google Scholar] [CrossRef]
- Hartman, G.D.; Ansdale, P.A. Substituted thieno[2,3-b]thiophene-2-sulfonamides as antiglaucoma agents. U.S. Patent 4,806,562, 21 February 1989. [Google Scholar]
- Litvinov, V.P. The latest achievements in thienothiophene chemistry. Russ. Chem. Rev. 2005, 74, 217–248. [Google Scholar] [CrossRef]
- Gather, M.C.; Heeny, M.; Zhang, W.; Whitehead, K.S.; Bradley, D.D.C.; McCulloch, I.; Campbell, A.J. An alignable fluorene thienothiophene copolymer with deep-blue electrolumen-escent emission at 410 nm. Chem. Commun. 2008, 1079–1081. [Google Scholar]
- He, M.; Li, J.; Sorensen, M. L.; Zhang, F.; Hancock, R.R.; Fong, H.H.; Pozdin, V.A.; Smilgies, D.; Malliaras, G.G. Alkylsubstituted thienothiophene semiconducting materials: structureproperty relationships. J. Am. Chem. Soc. 2009, 131, 11930–11938. [Google Scholar]
- Mabkhoot, Y.N. Synthesis and Chemical Characterisation of New Bis-Thieno[2,3-b]thiophene Derivatives. Molecules 2010, 15, 3329–3337. [Google Scholar] [CrossRef]
- Mabkhoot, Y.N. Synthesis and Analysis of Some Bis-Heterocyclic Compounds Containing Sulphur. Molecules 2009, 14, 1904–1914. [Google Scholar] [CrossRef]
- Comel, A.; Kirsch, G. Efficient one pot preparation of variously substituted thieno[2,3-b] thiophene. J. Heterocycl. Chem. 2001, 38, 1167–1171. [Google Scholar] [CrossRef]
- Cowper, R.M.; Davidson, L.H. Phenacyl bromide. Org. Synth. Coll. 1943, II, 480. [Google Scholar]
© 2010 by the authors; licensee MDPI, Basel, Switzerland. This article is an open access article distributed under the terms and conditions of the Creative Commons Attribution license (http://creativecommons.org/licenses/by/3.0/).
Share and Cite
Mabkhot, Y.N.; Abd Elshafy Kheder, N.; Al-Majid, A.M. Facile and Convenient Synthesis of New Thieno[2,3-b]-Thiophene Derivatives. Molecules 2010, 15, 9418-9426. https://doi.org/10.3390/molecules15129418
Mabkhot YN, Abd Elshafy Kheder N, Al-Majid AM. Facile and Convenient Synthesis of New Thieno[2,3-b]-Thiophene Derivatives. Molecules. 2010; 15(12):9418-9426. https://doi.org/10.3390/molecules15129418
Chicago/Turabian StyleMabkhot, Yahia Nasser, Nabila Abd Elshafy Kheder, and Abdullah Mohammad Al-Majid. 2010. "Facile and Convenient Synthesis of New Thieno[2,3-b]-Thiophene Derivatives" Molecules 15, no. 12: 9418-9426. https://doi.org/10.3390/molecules15129418
APA StyleMabkhot, Y. N., Abd Elshafy Kheder, N., & Al-Majid, A. M. (2010). Facile and Convenient Synthesis of New Thieno[2,3-b]-Thiophene Derivatives. Molecules, 15(12), 9418-9426. https://doi.org/10.3390/molecules15129418

