Pancreatic Lipase Inhibition by C-Glycosidic Flavones Isolated from Eremochloa ophiuroides
Abstract
:1. Introduction
2. Results and Discussion
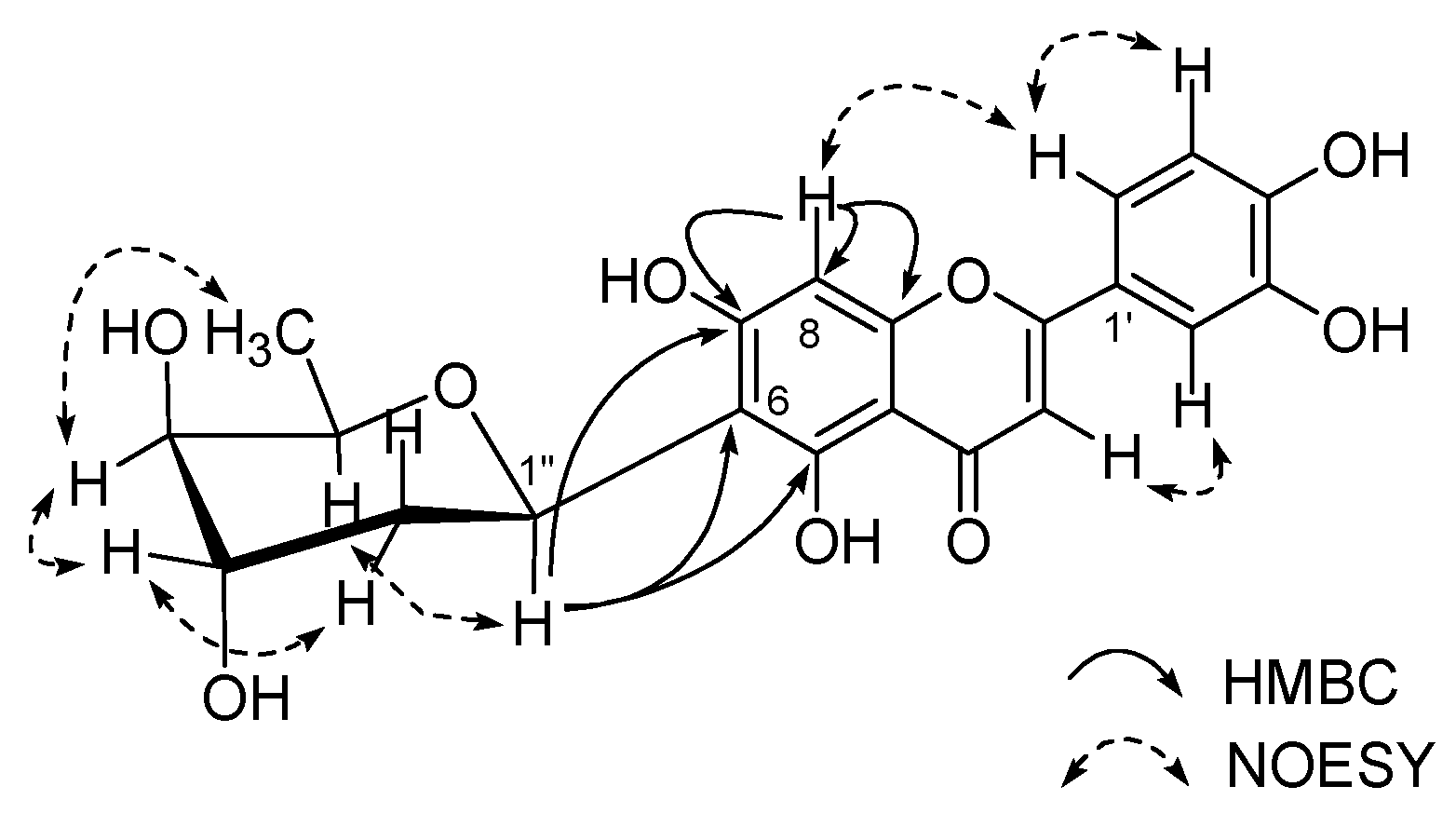
| Position | δH (J in Hz)b | δC (mult.) | HMBC | NOESY | |
|---|---|---|---|---|---|
| 1 | |||||
| 2 | 166.5 | C | |||
| 3 | 6.60 (1H, br s) | 103.8 | CH | 2, 4, 10, 1’ | 2’ |
| 4 | 184.0 | C=O | |||
| 5 | 158.7 | C | |||
| 6 | 111.6 | C | |||
| 7 | 164.6 | C | |||
| 8 | 6.52 (1H, br s) | 96.0 | CH | 6, 7, 8, 9 | 2’, 6’ |
| 9 | 158.3 | C | |||
| 10 | 104.9 | C | |||
| 1’ | 123.6 | C | |||
| 2’ | 7.44 (1H, d, 1.8 Hz) | 120.4 | CH | 2, 3, 1’ | 3 |
| 3’ | 147.1 | C | |||
| 4’ | 151.1 | C | |||
| 5’ | 6.94 (1H, d, 7.8 Hz) | 116.8 | CH | 1’, 4’, 6’ | 6’ |
| 6’ | 7.42 (1H, dd, 7,8, 1.8 Hz) | 114.2 | CH | 2, 1’, 5’ | 5’ |
| 1” | 5.53 (1H, dd, 12.6, 2.4 Hz) | 70.0 | CH | 5, 6, 7, 2” | 5” |
| 2ax” | 2.31 (1H, ddd, 14.4, 12.6, 2.4 Hz) | 32.8 | CH2 | 1”, 3” | 3” |
| 2eq” | 1.77 (1H, dd, 14.4, 3.0 Hz) | 1”, 3” | 3” | ||
| 3” | 4.04 (1H, d-like, 3.0 Hz) | 68.8 | CH | 2”, 4” | 2ax”, 2eq”, 4” |
| 4” | 3.43 (1H, d-like, 3.0 Hz) | 70.6 | CH | 3”, 5” | 3” |
| 5” | 4.18 (1H, q, 6.6 Hz) | 72.7 | CH | 4”, 6” | 1”, 6” |
| 6” | 1.33 (3H, d, 6.6 Hz) | 17.4 | CH3 | 4”, 5” | 5” |
| Compound | IC50a (μM) | Compound | IC50a (μM) |
|---|---|---|---|
| 1 | 50.5 ± 3.9 | 6 | >200 |
| 2 | 31.6 ± 2.7 | 7 | >200 |
| 3 | 44.6 ± 1.3 | 8 | 33.6 ± 2.0 |
| 4 | 25.9 ± 3.7 | 9 | >200 |
| 5 | 18.5 ± 2.6 | Orlistat b | 0.3 ± 0.2 |


3. Experimental
3.1. General
3.2. Plant Material
3.3. Extraction and Isolation
−35.0° (c, 1.0, MeOH); UV λ max MeOH nm (log ε): 212 (5.38), 222 (sh), 270 (2.55), 350 (3.03); 1H- and 13C-NMR, see Table 1; FAB-MS m/z 417 [M + H]+, HRFAB-MS m/z 417.1188 [M + H]+ (calcd for C21H21O9, 417.1186).3.4. Assay for Pancreatic Lipase Activity
4. Conclusions
Acknowledgements
References and Notes
- Johnson, A.W. Influence of organic pesticides on nematode populations and seed production of centipede grass. J. Nematol. 1970, 2, 252–254. [Google Scholar]
- Wiseman, B.R.; Gueldner, R.C.; Lynch, R.E.; Severson, R.F. Biochemical activity of centipedegrass against fall armyworm larvae. J. Chem. Ecol. 1990, 16, 2677–2690. [Google Scholar] [CrossRef]
- Van Gaal, L.F.; Mertens, I.L.; De Block, C.E. Mechanisms linking obesity with cardiovascular disease. Nature 2006, 444, 875–880. [Google Scholar] [CrossRef]
- Lowe, M.E. Pancreatic triglyceride lipase and colipase: Insights into dietary fat digestion. Gastroenterology 1994, 107, 1524–1536. [Google Scholar]
- Hill, J.O.; Hauptman, J.; Anderson, J.W.; Fujioka, K.; O’Neil, P.M.; Smith, D.K.; Zavoral, J.H. Orlistat, a lipase inhibitor, for weight maintenance after conventional dieting: a 1-y study. Am. J. Clin. Nutr. 1999, 69, 1108–1116. [Google Scholar]
- Xu, B.J.; Han, L.K.; Zheng, Y.N.; Lee, J.H.; Sung, C.K. In vitro inhibitory effect of triterpenoidal saponins from Platycodi Radix on pancreatic lipase. Arch. Pharm. Res. 2005, 28, 180–185. [Google Scholar] [CrossRef]
- Ninomiya, K.; Matsuda, H.; Shimoda, H.; Nishida, N.; Kasajima, N.; Yoshino, T.; Morikawa, T.; Yoshikawa, M. Carnosic acid, a new class of lipid absorption inhibitor from sage. Bioorg. Med. Chem. Lett. 2004, 14, 1943–1946. [Google Scholar] [CrossRef]
- Yoshikawa, M.; Shimoda, H.; Nishida, N.; Takada, M.; Matsuda, H. Salacia reticulata and its polyphenolic constituents with lipase inhibitory and lipolytic activities have mild anti-obesity effects in rats. J. Nutr. 2002, 132, 1819–1824. [Google Scholar]
- Nakai, M.; Fukui, Y.; Asami, S.; Toyoda-Ono, Y.; Iwashita, T.; Shibata, H.; Mitsunaga, T.; Hashimoto, F.; Kiso, Y. Inhibitory effects of oolong tea polyphenols on pancreatic lipase in vitro. J. Agric. Food Chem. 2005, 53, 4593–4598. [Google Scholar] [CrossRef]
- Kim, J.H.; Kim, H.J.; Park, H.W.; Youn, S.H.; Choi, D.Y.; Shin, C.S. Development of inhibitors against lipase and alpha-glucosidase from derivatives of monascus pigment. FEMS Microbiol. Lett. 2007, 276, 93–98. [Google Scholar] [CrossRef]
- Jang, D.S.; Lee, G.Y.; Kim, J.H.; Lee, Y.M.; Kim, J.M.; Kim, Y.S.; Kim, J.S. A new pancreatic lipase inhibitor isolated from the roots of Actinida arguta. Arch. Pharm. Res. 2008, 31, 666–670. [Google Scholar] [CrossRef]
- Mun’im, A.; Negishi, O.; Ozawa, T. Antioxidative compounds from Crotalaria sessiliflora. Biosci. Biotechnol. Biochem. 2003, 67, 410–414. [Google Scholar] [CrossRef]
- Elliger, C.A.; Chan, B.G.; WaissJr, A.C.; Lundin, R.E.; Haddon, W.F. C-glysylflavones from Zea mays that inhibit insect development. Phytochemistry 1980, 19, 293–297. [Google Scholar]
- Cheel, J.; Theoduloz, C.; Rodriguez, J.; Schmeda-Hirschmann, G. Free radical scavengers and antioxidants from Lemongrass (Cymbopogon citratus (DC.) Stapf.). J. Agric. Food Chem. 2005, 53, 2511–2517. [Google Scholar]
- Park, H.S.; Lim, J.H.; Kim, H.J.; Choi, H.J.; Lee, I.S. Antioxidant flavones glycosides from the leaves of Sasa borealis. Arch. Pharm. Res. 2007, 30, 161–166. [Google Scholar] [CrossRef]
- Markham, K.R.; Ternai, B.; Stanley, R.; Geiger, H.; Marbry, T.J. Carbon-13 NMR studies of flavonoids—III : Naturally occurring flavonoid glycosides and their acylated derivatives. Tetrahedron 1978, 34, 1389–1397. [Google Scholar] [CrossRef]
- Merfort, I. Caffeoylquinic acids from flowers of Arnica montana and Arnica chamissonis. Phytochemistry 1992, 31, 2111–2113. [Google Scholar] [CrossRef]
- Jung, H.A.; Park, J.C.; Chung, H.Y.; Kim, J.; Choi, J.S. Antioxidant flavonoids and chlorogenic acid from the leaves of Eriobotrya japonica. Arch. Pharm. Res. 1999, 22, 213–218. [Google Scholar] [CrossRef]
- Ma, J.; Luo, X.D.; Protiva, P.; Yang, H.; Ma, C.; Basile, M.J.; Weinstein, I.B.; Kennelly, E.J. Bioacive novel polyphenols from the fruit of Manilkara zapota (Sapodilla). J. Nat. Prod. 2003, 66, 983–986. [Google Scholar] [CrossRef]
- Cui, C.B.; Tezuka, Y.; Kikuchi, T.; Nakano, H.; Tamaoki, T.; Park, J.H. Constituents of a fern, Davallia mariesii Moore. I. Isolation and structures of davallialactone and a new flavanone glucuronide. Chem. Pharm. Bull. 1990, 38, 3218–3225. [Google Scholar] [CrossRef]
- Mabry, T.J.; Markham, K.R.; Thomas, M.B. The Systematic Identification of Flavonoids; New York: Springer Verlag, 1970; pp. 35–61. [Google Scholar]
- Xie, C.; Veitch, N.C.; Houghton, P.J.; Simmonds, M.S.J. Flavone C-glycosides form Viola yedoensis MAKINO. Chem. Pharm. Bull. 2003, 51, 1204–1207. [Google Scholar] [CrossRef]
- Hatano, T.; Mizuta, S.; Ito, H.; Yoshida, T. C-Glycosidic flavonoids from Cassia occidentalis. Phytochemistry 1999, 52, 1379–1383. [Google Scholar] [CrossRef]
- Snook, M.E.; Gueldner, R.C.; Widstrom, N.W.; Wiseman, B.R.; Himmelsbach, D.S.; Harwood, J.S.; Costello, C.E. Levels of maysin and maysin analogues in silks of maize germplasm. J. Agric. Food Chem. 1993, 41, 1481–1485. [Google Scholar] [CrossRef]
- Markham, K.R.; Geiger, H. The Flavonoids: Advances in Research Since 1986; Harbone, J.B., Ed.; Chapman & Hall: London, 1994; pp. 441–497. [Google Scholar]
- Zhou, B.N.; Blasko, G.; Cordell, G.A. Alternanthin, a C-glycosylated flavonoid from Alternanthera philoxeroides. Phytochemistry 1988, 27, 3633–3636. [Google Scholar]
- Butterworth, R.P.; Hanessian, S. Advances in carbohydrate chemistry and biochemistry. Academic press: New York, 1971; Volume 26, pp. 279–327. [Google Scholar]
- Suzuki, R.; Okada, Y.; Okuyama, T. Two flavones C-glycosides from the style of Zea mays with glycation inhibitory activity. J. Nat. Prod. 2003, 66, 564–565. [Google Scholar] [CrossRef]
- Kreis, W.; Tamm, Ch.; Reichstein, T. Die glykoside der samen yon Corchorus capsularis L. Helv. Chim. Acta. 1957, 40, 593–604. [Google Scholar] [CrossRef]
- Fang, J.B.; Jia, W.; Gao, W.Y.; Yao, Z.; Teng, J.; Zhao, A.H.; Duan, H.Q. Antitumor constituents from Alternanthera philoxeroides. J. Asian Nat. Prod. Res. 2007, 9, 511–515. [Google Scholar] [CrossRef]
- Wang, G.J.; Chen, Y.M.; Wang, T.M.; Lee, C.K.; Chen, K.J.; Lee, T.H. Flavonoids with iNOS inhibitory activity from Pogonatherum crinitum. J. Ethnopharmacol. 2008, 118, 71–78. [Google Scholar] [CrossRef]
- 32 Birari, R.B.; Bhutani, K.K. Pancreatic lipase inhibitors from natural sources: unexplored potential. Drug Dicov. Today 2007, 12, 879–889. [Google Scholar] [CrossRef]
- Sample Availability: Samples of the compounds 1–9 are available from the authors.
© 2010 by the authors; licensee MDPI, Basel, Switzerland. This article is an open access article distributed under the terms and conditions of the Creative Commons Attribution license (http://creativecommons.org/licenses/by/3.0/).
Share and Cite
Lee, E.M.; Lee, S.S.; Chung, B.Y.; Cho, J.-Y.; Lee, I.C.; Ahn, S.R.; Jang, S.J.; Kim, T.H. Pancreatic Lipase Inhibition by C-Glycosidic Flavones Isolated from Eremochloa ophiuroides. Molecules 2010, 15, 8251-8259. https://doi.org/10.3390/molecules15118251
Lee EM, Lee SS, Chung BY, Cho J-Y, Lee IC, Ahn SR, Jang SJ, Kim TH. Pancreatic Lipase Inhibition by C-Glycosidic Flavones Isolated from Eremochloa ophiuroides. Molecules. 2010; 15(11):8251-8259. https://doi.org/10.3390/molecules15118251
Chicago/Turabian StyleLee, Eun Mi, Seung Sik Lee, Byung Yeoup Chung, Jae-Young Cho, In Chul Lee, So Ra Ahn, Soo Jeung Jang, and Tae Hoon Kim. 2010. "Pancreatic Lipase Inhibition by C-Glycosidic Flavones Isolated from Eremochloa ophiuroides" Molecules 15, no. 11: 8251-8259. https://doi.org/10.3390/molecules15118251
APA StyleLee, E. M., Lee, S. S., Chung, B. Y., Cho, J.-Y., Lee, I. C., Ahn, S. R., Jang, S. J., & Kim, T. H. (2010). Pancreatic Lipase Inhibition by C-Glycosidic Flavones Isolated from Eremochloa ophiuroides. Molecules, 15(11), 8251-8259. https://doi.org/10.3390/molecules15118251
