New Anti-Inflammatory and Anti-Proliferative Constituents from Fermented Red Mold Rice Monascus purpureus NTU 568
Abstract
:1. Introduction

2. Results and Discussion
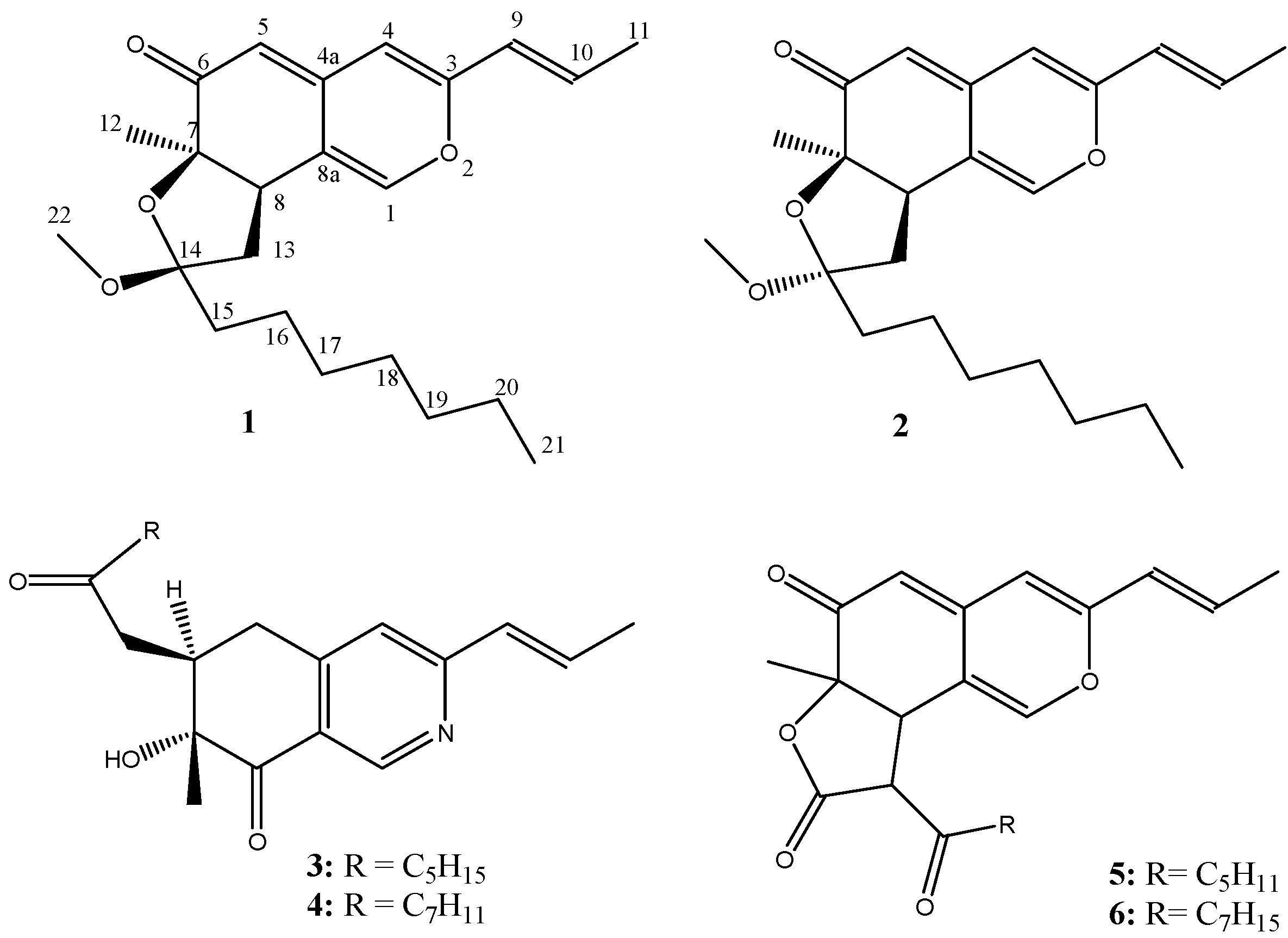
2.1. Structure determination


| No. | 1 | 2 | |||
|---|---|---|---|---|---|
| δH | δC | δH | δC | ||
| 1 | 7.37 (s) | 144.8 | 7.47 (s) | 145.5 | |
| 3 | 155.2 | 155.5 | |||
| 4 | 6.15 (s) | 107.5 | 6.16 (s) | 107.4 | |
| 4a | 142.8 | 143.4 | |||
| 5 | 5.23 (s) | 108.6 | 5.22 (s) | 107.8 | |
| 6 | 195.7 | 196.0 | |||
| 7 | 83.4 | 84.0 | |||
| 8 | 3.07 (t, J = 13.2 Hz) | 45.6 | 3.31 (dd, J = 12.8, 7.2 Hz) | 44.4 | |
| 8a | 118.6 | 117.9 | |||
| 9 | 6.11 (d, J = 15.6 Hz) | 124.4 | 6.11 (d, J = 16.0 Hz) | 124.2 | |
| 10 | 6.42 (dq, J = 15.6, 7.2 Hz) | 133.8 | 6.45 (dq, J = 16.0, 6.8 Hz) | 133.5 | |
| 11 | 1.85 (d, J = 7.2 Hz) | 18.2 | 1.86 (d, J = 6.8 Hz) | 18.3 | |
| 12 | 1.19 (s) | 24.6 | 1.27 (s) | 24.7 | |
| 13 | 2.07 (t, J = 13.2 Hz) | 42.2 | 1.87 (t, J = 12.8 Hz) | 43.7 | |
| 2.42 (t, J = 13.2 Hz) | 2.08 (dd, J = 12.8, 7.2 Hz) | ||||
| 14 | 108.6 | 108.1 | |||
| 15 | 1.55 (m) | 35.8 | 1.34 (m) | 36.0 | |
| 1.77 (m) | 1.82 (m) | ||||
| 16 | 1.29 (m) | 25.0 | 1.27 (m) | 25.0 | |
| 17 | 1.29 (m) | 30.1 | 1.27 (m) | 30.1 | |
| 18 | 1.29 (m) | 30.4 | 1.27 (m) | 30.4 | |
| 19 | 1.29 (m) | 32.5 | 1.27 (m) | 32.4 | |
| 20 | 1.29 (m) | 23.2 | 1.27 (m) | 23.2 | |
| 21 | 0.88 (t, 7.2) | 14.3 | 0.87 (t, 7.2) | 14.3 | |
| 22 | 3.09 (s) | 48.4 | 3.19 (s) | 48.2 | |
2.2. Inhibitory effects on the proliferation of human cancer lines
| Compound | IC50a of HEp-2 | IC50 of WiDr |
|---|---|---|
| (μg/mL) | ||
| monapurfluore A | 18.82 ± 0.37 | 20.61 ± 1.77 |
| monapurfluore B | 15.45 ± 0.98 | 13.72 ± 0.45 |
| monascopyridine C | 20.06 ± 0.53 | 21.14 ± 2.00 |
| monascopyridine D | 14.81 ± 3.16 | 15.07 ± 2.51 |
| monasfluore A | -b | - |
| monasfluore B | - | - |
| mitomycin Cc | 0.07 ± 0.00 | 0.13 ± 0.00 |
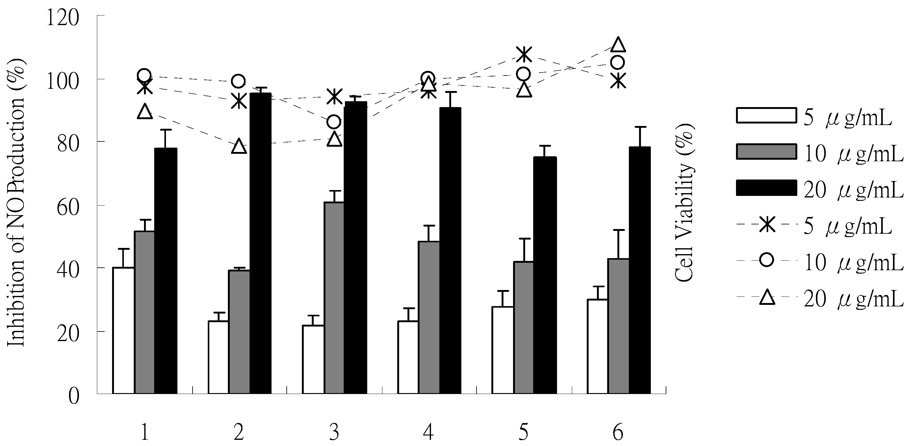
2.3. Inhibitory effect on NO production

3. Experimental
3.1. General
3.2. Reagents
3.3. Preparation of red mold rice
3.4. Extraction and isolation
3.5. Spectral data
3.6. Cell lines and culture conditions
3.7. Cancer cell growth inhibitory assay
3.8. Assay of nitrite production
3.9. Data analysis
4. Conclusions
Acknowledgements
References and Notes
- Aggarwal, B.B.; Shishodia, S.; Sandur, S.K.; Pandey, M.K.; Sethi, G. Inflammation and cancer: How hot is the link? Biochem. Pharmacol. 2006, 72, 1605–1621. [Google Scholar] [CrossRef]
- Balkwill, F.; Mantovani, A. Inflammation and cancer: back to Virchow? Lancet 2001, 357, 539–545. [Google Scholar] [CrossRef]
- Macarthur, M.; Hold, G.L.; El-Omar, E.M. Inflammation and Cancer-II. Role of chronic inflammation and cytokine gene polymorphisms in the pathogenesis of gastrointestinal malignancy. Am. J. Physiol.: Gastrointest. Liver Physiol. 2004, 286, G515–G520. [Google Scholar] [CrossRef]
- Journoud, M.; Jones, P.J.H. Red yeast rice: a new hypolipidemic drug. Life Sci. 2004, 74, 2675–2683. [Google Scholar] [CrossRef]
- Ma, J.Y.; Li, Y.G.; Ye, Q.; Li, J.; Hua, Y.J.; Ju, D.J.; Zhang, D.C.; Cooper, R.; Chang, M. Constituents of red yeast rice, a traditional Chinese food and medicine. J. Agr. Food Chem. 2000, 48, 5220–5225. [Google Scholar] [CrossRef]
- Endo, A. Monacolin K, a new hypocholesterolemic agent produced by a Monascus species. J. Antibiot. 1979, 32, 852–854. [Google Scholar] [CrossRef]
- Lee, C.L.; Wang, J.J.; Pan, T.M. Red mold rice extract represses amyloid beta peptide-induced neurotoxicity via potent synergism of anti-inflammatory and antioxidative effect. Appl. Microbiol. Biotechnol. 2008, 79, 829–841. [Google Scholar] [CrossRef]
- Lin, W.Y.; Hsu, W.Y.; Hish, C.H.; Pan, T.M. Proteome changes in caco-2 cells treated with Monascus-fermented red Mold rice extract. J. Agr. Food Chem. 2007, 55, 8987–8994. [Google Scholar] [CrossRef]
- Ho, B.Y.; Pan, T.M. The Monascus metabolite monacolin K reduces tumor progression and metastasis of Lewis lung carcinoma cells. J. Agr. Food Chem. 2009, 57, 8258–8265. [Google Scholar] [CrossRef]
- Heber, D.; Yip, I.; Ashley, J.M.; Elashoff, D.A.; Elashoff, R.M.; Go, V.L.W. Cholesterol-lowering effects of a proprietary Chinese red-yeast-rice dietary supplement. Am. J. Clin. Nutr. 1999, 69, 231–236. [Google Scholar]
- Su, Y.C.; Wang, J.J.; Lin, T.T.; Pan, T.M. Production of the secondary metabolites gamma-aminobutyric acid and monacolin K by Monascus. J. Ind. Microbiol. Biotechnol. 2003, 30, 41–46. [Google Scholar]
- Aniya, Y.; Ohtani, I.I; Higa, T.; Miyagi, C.; Gibo, H.; Shimabukuro, M.; Nakanishi, H.; Taira, J. Dimerumic acid as an antioxidant of the mold, Monascus anka. Free Radic. Biol. Med. 2000, 28, 999–1004. [Google Scholar] [CrossRef]
- Akihisa, T.; Tokuda, H.; Ukiya, M.; Kiyota, A.; Yasukawa, K.; Sakamoto, N.; Kimura, Y.; Suzuki, T.; Takayasu, J.; Nishino, H. Anti-tumor-initiating effects of monascin, an azaphilonoid pigment from the extract of Monascus pilosus fermented rice (red-mold rice). Chem. Biodiv. 2005, 2, 1305–1309. [Google Scholar] [CrossRef]
- Su, N.W.; Lin, Y.L.; Lee, M.H.; Ho, C.Y. Ankaflavin from Monascus-fermented red rice exhibits selective cytotoxic effect and induces cell death on Hep G2 cells. J. Agr. Food Chem. 2005, 53, 1949–1954. [Google Scholar] [CrossRef]
- Chen, W.P.; Ho, B.Y.; Lee, C.L.; Lee, C.H.; Pan, T.M. Red mold rice prevents the development of obesity, dyslipidemia and hyperinsulinemia induced by high-fat diet. Int. J. Obes. 2008, 32, 1694–1704. [Google Scholar] [CrossRef]
- Tsai, R.L.; Ho, B.Y.; Pan, T.M. Red mold rice mitigates oral carcinogenesis in 7,12-dimethyl-1,2-benz[a]anthracene-induced oral carcinogenesis in Hamster. Evidence-advanced Compl. Alt. Med. accessed online on 19 December 2009.
- Lee, C.L.; Kuo, T.F.; Wang, J.J.; Pan, T.M. Red mold rice ameliorates impairment of memory and learning ability in intracerebroventricular amyloid beta-infused rat by repressing amyloid beta accumulation. J. Neurosci. Res. 2007, 85, 3171–3182. [Google Scholar] [CrossRef]
- Hsu, Y.W.; Hsu, L.C.; Liang, Y.H.; Kuo, Y.H.; Pan, T.M. Monaphilones A-C, three new antiproliferative azaphilone derivatives from Monascus purpureus NTU 568. J. Agr. Food Chem. 2010, 58, 8211–8216. [Google Scholar] [CrossRef]
- Quang, D.N.; Stadler, M.; Fournier, J.; Tomita, A.; Hashimoto, T.; Cohaerins, C.F. Four azaphilones from the xylariaceous fungus Annulohypoxylon cohaerens. Tetrahedron 2006, 62, 6349–6354. [Google Scholar] [CrossRef]
- Knecht, A.; Cramer, B.; Humpf, H.U. New Monascus metabolites: Structure elucidation and toxicological properties studied with immortalized human kidney epithelial cells. Mol. Nutr. Food Res. 2006, 50, 314–321. [Google Scholar] [CrossRef]
- Huang, Z.B.; Xu, Y.; Li, L.S.; Li, Y.P. Two new Monascus metabolites with strong blue fluorescence isolated from red yeast rice. J. Agr. Food Chem. 2008, 56, 112–118. [Google Scholar] [CrossRef]
- Knecht, A.; Humpf, H.U. Cytotoxic and antimitotic effects of N-containing Monascus metabolites studied using immortalized human kidney epithelial cells. Mol. Nutr. Food Res. 2006, 50, 406–412. [Google Scholar] [CrossRef]
- Sample Availability: Samples of compounds 1 and 2 are available from the authors.
© 2010 by the authors; licensee MDPI, Basel, Switzerland. This article is an open access article distributed under the terms and conditions of the Creative Commons Attribution license (http://creativecommons.org/licenses/by/3.0/).
Share and Cite
Hsu, Y.-W.; Hsu, L.-C.; Chang, C.-L.; Liang, Y.-H.; Kuo, Y.-H.; Pan, T.-M. New Anti-Inflammatory and Anti-Proliferative Constituents from Fermented Red Mold Rice Monascus purpureus NTU 568. Molecules 2010, 15, 7815-7824. https://doi.org/10.3390/molecules15117815
Hsu Y-W, Hsu L-C, Chang C-L, Liang Y-H, Kuo Y-H, Pan T-M. New Anti-Inflammatory and Anti-Proliferative Constituents from Fermented Red Mold Rice Monascus purpureus NTU 568. Molecules. 2010; 15(11):7815-7824. https://doi.org/10.3390/molecules15117815
Chicago/Turabian StyleHsu, Ya-Wen, Li-Chuan Hsu, Chao-Lin Chang, Yu-Han Liang, Yao-Haur Kuo, and Tzu-Ming Pan. 2010. "New Anti-Inflammatory and Anti-Proliferative Constituents from Fermented Red Mold Rice Monascus purpureus NTU 568" Molecules 15, no. 11: 7815-7824. https://doi.org/10.3390/molecules15117815
APA StyleHsu, Y.-W., Hsu, L.-C., Chang, C.-L., Liang, Y.-H., Kuo, Y.-H., & Pan, T.-M. (2010). New Anti-Inflammatory and Anti-Proliferative Constituents from Fermented Red Mold Rice Monascus purpureus NTU 568. Molecules, 15(11), 7815-7824. https://doi.org/10.3390/molecules15117815
