Cytotoxic and Insecticidal Activities of Derivatives of Harmine, a Natural Insecticidal Component Isolated from Peganum harmala
Abstract
:1. Introduction
2 Results and Discussion
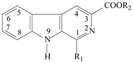
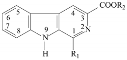
2.1. Preparation of compounds
2.2. Biological activity
2.2.1. Cytotoxicity
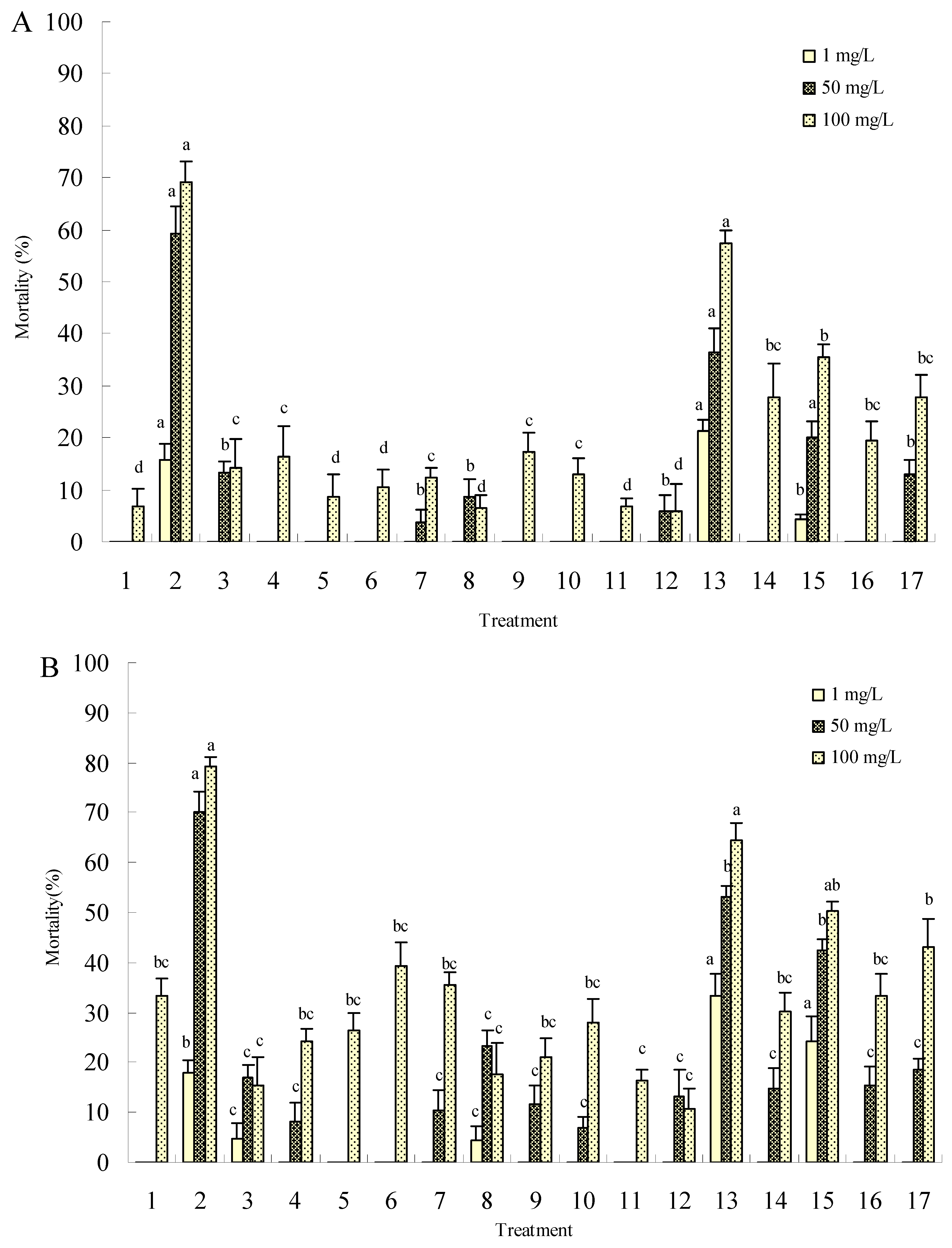
2.2.2. Insecticidal activity
3. Experimental
3.1. General procedures
3.2. Chemical synthesis
3.3. Bioassays
3.3.1. Cytotoxicity
3.3.2. Insecticidal activity
3.3.2.1. Mosquito
3.3.2.2. Aphis
3.4. Data analyses
4. Conclusions
Acknowledgment
References
- Carbrera, G.M.; Seldes, A.M. A β-carboline alkaloids from the soft coral lignopsis spongiosum. J. Nat. Prod. 1999, 62, 759–760. [Google Scholar] [CrossRef] [PubMed]
- Glennon, R.A.; Dukat, M.; Brella, B.; Hong, S.S.; Constantino, L.; Teitler, M.; Smith, C.; Egan, C.; Davis, K.; Mattson, M.V. Binding of β-carbolines and related agents at serotonin (5-HT2 and 5-HT1A), dopamine (D2) and benzodiazepines receptors. Drug Alcohol Depend. 2000, 60, 121–132. [Google Scholar] [CrossRef]
- Kotanen, S.; Huybrechts, J.; Cerstiaens, A.; Zoltan, K.; Daloze, D.; Baggerman, G.; Forgo, P.; Loof, A.D.; Schoofs, L. Identification of tryptophan and beta-carboline as paralysins in larvae of the yellow mealworm, Tenebrio molitor. Biochem. Bioph. Res. Co. 2003, 310, 64–71. [Google Scholar] [CrossRef]
- Song, X.H.; Liu, X.H.; Lin, Y.C. Metabolites of mangrove fungus NO.K23 and interaction of carboline with DNA. Chin. J. Trop. Oceanogr. 2004, 23, 66–70. [Google Scholar]
- Herraiz, T.; Chaparro, C. Analysis of monoamine oxidase enzymatic activity by reversed-phase high performance liquid chromatography and inhibition by β-carboline alkaloids occurring in foods and plants. J. Chromatogr. A 2006, 1120, 237–243. [Google Scholar] [CrossRef] [PubMed]
- Herraiz, T.; Chaparro, C. Human monoamine oxidase enzyme inhibition by coffee and β-carbolines norharman and harman isolated from coffee. Life Sci. 2006, 78, 795–802. [Google Scholar] [CrossRef] [PubMed]
- Sun, D.J.; Lee, Y. Advance in Peganum multisectum and main active component of norharman. J. Xinjiang Med. Univ. 2003, 26, 125–128. [Google Scholar]
- Cao, R.H.; Peng, W.L.; Wang, Z.H.; Xu, A.L. β-Carboline alkaloids: Biochemical and pharmacological functions. Curr. Med. Chem. 2007, 14, 479–500. [Google Scholar] [CrossRef] [PubMed]
- Liu, J.X.; Zhao, G.L. Effects of substance extracted from Peganum Multisectum Maxim Bobr on growth of maize. Acta Bot. Boreal. Occident. Sin. 2004, 23, 2200–2203. [Google Scholar]
- Yao, W.Q.; Wang, J.R.; Zhang, P.Z.; Peng, J.Y.; Zhang, Y.Y. Insecticidal activity of alcohol extracts from Peganum harmala. Acta Bot. Boreal. Occident. Sin. 2004, 24, 1096–1099. [Google Scholar]
- Weng, Q.F.; Zhong, G.H.; Hu, M.Y.; Luo, J.J. Bioactivities and physiological effects of extracts of Peganum harmala against Bursaphelenchus xylophilus. Sci. Agric. Sin. 2005, 38, 2014–2022. [Google Scholar]
- Zhao, X.M.; Zeng, Z.H. The research of the pesticidal activity on different Peganum harmala extractions. Chin. Agric. Sci. Bull. 2005, 21, 278–279. [Google Scholar]
- Weng, Q.F.; Zhong, G.H.; Wang, W.X.; Luo, J.J.; Hu, M.Y. Effectiveness of plant extracts for the control of Meloidogyne incognita. J. South Chin. Agric. Univ. 2006, 27, 55–60. [Google Scholar]
- Liu, J.X.; Hu, H.B.; Zhao, G.L. Effects of alkaloid of Peganum multisectum Bobr on seed germination of Cucumber (Cucumis sativus L.). Plant Physiol. Commun. 2007, 43, 250–254. [Google Scholar]
- Rizwan-ul-Haq, M.; Hu, Q.B.; Hu, M.Y.; Lin, Q.S.; Zhang, W.L. Biological impact of harmaline, ricinine and their combined effects with Bacillus thuringiensis on Spodoptera exigua (Lepidoptera: Noctuidae). J. Pest Sci. 2009, 82, 327–334. [Google Scholar] [CrossRef]
- Rharrabe, K.; Bakrim, A.; Ghailani, N.; Sayah, F. Bioinsecticidal effect of harmaline on Plodia interpunctella development (Lepidoptera: Pyralidae). Pestic. Biochem. Phys. 2007, 89, 137–145. [Google Scholar] [CrossRef]
- Itakura, S.; Kawabata, S.; Tanaka, H.; Enoki, A. Effect of norharmane in vitro on juvenile hormone epoxide hydrolase activity in the lower termite, Reticulitermes speratus. J. Insect Sci. 2008, 8, 1–7. [Google Scholar] [CrossRef] [PubMed]
- Ma, A.Q.; Zhong, G.H.; Hu, M.Y.; Wang, Q.; Wang, W.X.; Sun, Z.T. The insecticidal activity of the extract of Peganum harmala and other plant species against pest insects. J. South Chin. Agric. Univ. (Nat. Sci.) 2003, 24, 38–41. [Google Scholar]
- Sun, Z.T.; Ma, A.Q.; Hu, M.Y.; Zhong, G.H. Antifeedant property and physiological effect of total alkaloids of Peganum harmala L. against Spodoptera litura F. J. Hubei Agric. College. 2004, 24, 85–89. [Google Scholar]
- Susilo, R.; Rommelspacher, H. Formation of a beta-carboline (1,2,3,4-tetrahydro- 1-methyl-beta–carboline-1-carboxylic acid) following intracerebroventricular injection of tryptamine and pyruvic acid. N-S. Arch. Pharmacol. 1987, 335, 70–76. [Google Scholar] [CrossRef]
- Sugimura, T.; Wakabayashi, K.; Ohgaki, H.; Takayama, S.; Nagao, M.; Esumi, H. Heterocyclic amines produced in cooked food: Unavoidable xenobiotics. Princess Takamatsu Symp. 1990, 21, 279–288. [Google Scholar] [PubMed]
- Love, B.E. Synthesis of β-carbolines. A review. Org. Prep. Proced. Int. 1996, 28, 1–64. [Google Scholar] [CrossRef]
- Saha, B.; Sharma, S.; Sawant, D.; Kundu, B. Water as an efficient medium for the synthesis of tetrahydro-β-carbolines via Pictet-Spengler reactions. Tetrahedron Lett. 2007, 48, 1379–1383. [Google Scholar] [CrossRef]
- Tsuji, R.; Nakagawa, M.; Nishida, A. An efficient synthetic approach to optically active β-carboline derivatives via Pictet-Spengler reaction promoted by trimethylchlorosilane. Tetrahedron Asymmetr. 2003, 14, 177–180. [Google Scholar] [CrossRef]
- Armarego, W.L.F.; Chai, C.L.L. Purification of Laboratory Chemicals, 5rd ed.; Butterworth-Heinernann: Burlington, MA, USA, 2003; pp. 80–388. [Google Scholar]
- Riederer, P.; Foley, P.; Bringmann, G.; Feineis, D.; Bruckner, R.; Gerlach, M. Biochemical and pharmacological characterization of 1-trichloromethyl-1,2,3,4-tetrahydro-β-carboline: A biologically relevant neurotoxin? Eur. J. Pharmacol. 2002, 442, 1–16. [Google Scholar] [CrossRef]
- Yang, X.B.; Peng, S.Q.; Jiang, T.Y.; Zhang, Z.L. The study on 1H NMR and stereochemistry of tetrahydro-β-carbolines. Chin. J. Magn. Reson. 1991, 8, 317–326. [Google Scholar]
- Zhang, L.; Peng, S.Q.; Yang, X.B. Study on the 1H-NMR and stereochemistry of substituted tetrahydro-β-carbolines. Chin. J. Magn. Reson. 1994, 11, 287–294. [Google Scholar]
- Wang, W.; Zhao, M.; Wang, C.; Peng, S.Q. Synthesis of N-[(1-methyl-)-β-carboline-3-yl)- formyl]-glycine. Chin. J. New Drugs 2005, 14, 174–176. [Google Scholar]
- Lin, W.; Xiao, S.L.; Yang, M. The synthewis of β-carboline-3-carboxamides derivatives and their interaction with DNA. J. Chin. Pharm. Sci. 2001, 10, 119–123. [Google Scholar]
- Zhong, G.H.; Shui, K.J.; Lv, C.J.; Jia, J.W.; Ren, T.J.; Hu, M.Y. Induction of apoptosis by azadirachtin, a botanical insecticidal component, in Spodoptera litura cultured cell line Sl-1. Acta Entomol. Sin. 2008, 51, 618–627. [Google Scholar]
- Mosmann, T. Rapid colorimetric assay for celluar growth and survival: Application to proliferation and cytotoxicity assay. J. Immunol. Methods 1983, 65, 55–63. [Google Scholar] [CrossRef]
- Chen, W.Y. Research and Development of New Pesticides; Chemical Industrial Press: Beijing, China, 2007; pp. 115–124. [Google Scholar]
- Eng, G.; Song, X.Q.; Duong, Q.Y.; Strickman, D.; Glass, J.; May, L. Synthesis, structure characterization and insecticidal activity of some triorganotin dithiocarbamates. App. Organomet. Chem. 2003, 17, 218–225. [Google Scholar] [CrossRef]
- SAS Institute. SAS user’s Guide: Statistics; SAS Institute: Cary, NC, USA, 2000. [Google Scholar]
Sample Availability: Samples of the compounds are available from the authors. |







| Compound | R1 | R2 |
|---|---|---|
| 1 | methyl | -H |
| 2 | phenyl | -H |
| 3 | -H | -H |
| 4 | trichloromethyl | -H |
| 5 | 3-methoxy-4-hydroxyphenyl | -H |
| 6 | methyl | methyl |
| 7 | phenyl | methyl |
| 8 | 3-methoxy-4-hydroxyphenyl | methyl |
| 9 | trichloromethyl | methyl |
| 10 | -H | methyl |

| Compound | R1 | R2 |
|---|---|---|
| 11 | methyl | methyl |
| 12 | 4-chlorophenyl | methyl |
| 13 | phenyl | methyl |
| 14 | 2-hydroxyphenyl | methyl |
| 15 | 1-phenyl-3-methyl-5-chloropyrazol-4-yl | methyl |
| 16 | methyl | -H |
© 2010 by the authors; licensee MDPI, Basel, Switzerland. This article is an open access article distributed under the terms and conditions of the Creative Commons Attribution license (http://creativecommons.org/licenses/by/3.0/).
Share and Cite
Zeng, Y.; Zhang, Y.; Weng, Q.; Hu, M.; Zhong, G. Cytotoxic and Insecticidal Activities of Derivatives of Harmine, a Natural Insecticidal Component Isolated from Peganum harmala. Molecules 2010, 15, 7775-7791. https://doi.org/10.3390/molecules15117775
Zeng Y, Zhang Y, Weng Q, Hu M, Zhong G. Cytotoxic and Insecticidal Activities of Derivatives of Harmine, a Natural Insecticidal Component Isolated from Peganum harmala. Molecules. 2010; 15(11):7775-7791. https://doi.org/10.3390/molecules15117775
Chicago/Turabian StyleZeng, Yong, Yaomou Zhang, Qunfang Weng, Meiying Hu, and Guohua Zhong. 2010. "Cytotoxic and Insecticidal Activities of Derivatives of Harmine, a Natural Insecticidal Component Isolated from Peganum harmala" Molecules 15, no. 11: 7775-7791. https://doi.org/10.3390/molecules15117775
APA StyleZeng, Y., Zhang, Y., Weng, Q., Hu, M., & Zhong, G. (2010). Cytotoxic and Insecticidal Activities of Derivatives of Harmine, a Natural Insecticidal Component Isolated from Peganum harmala. Molecules, 15(11), 7775-7791. https://doi.org/10.3390/molecules15117775
