Two New Alkaloids from Narcissus serotinus L.
Abstract
:1. Introduction
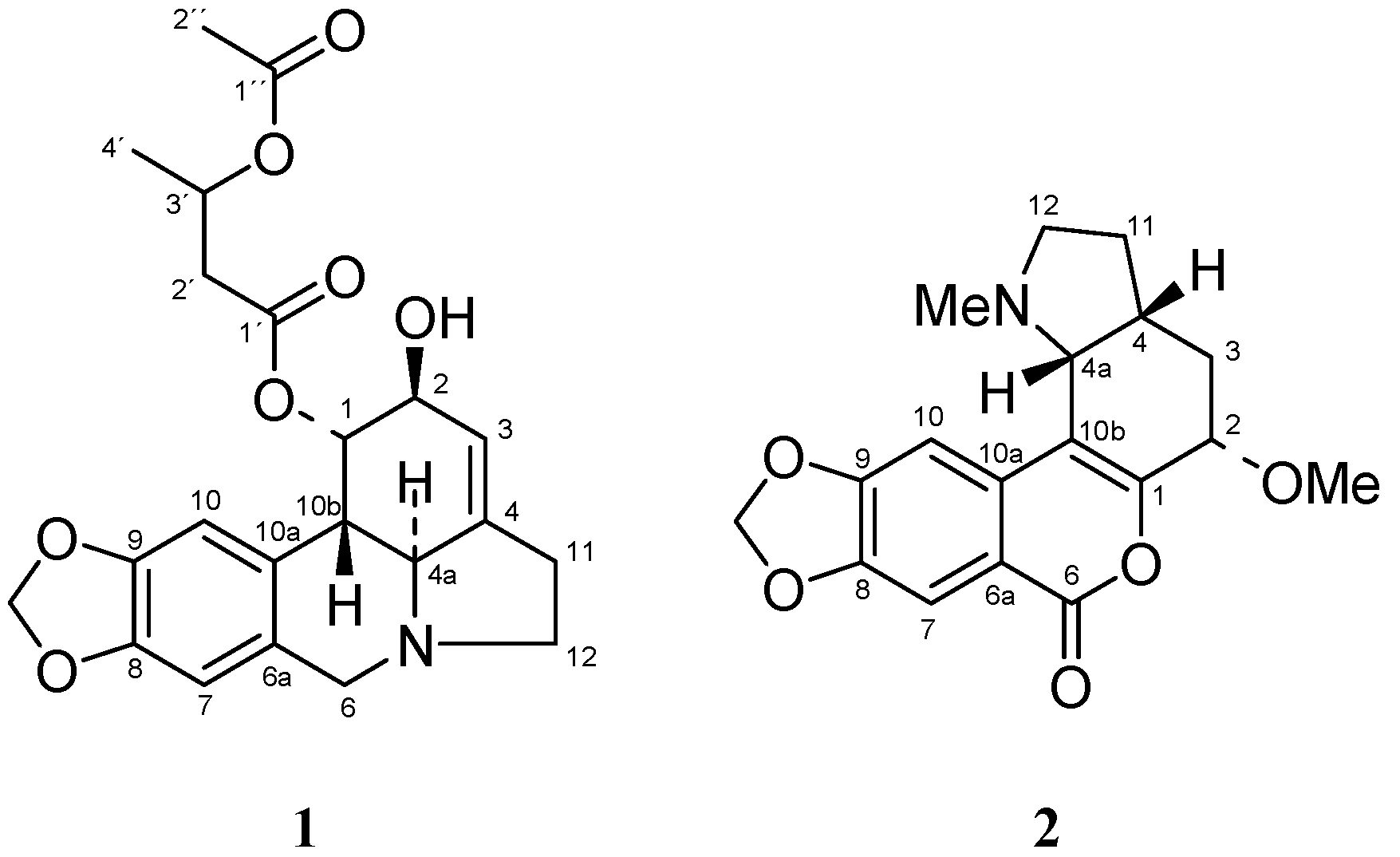
2. Results and Discussion

| Position | 1H δ (J in Hz) | COSY | HSQC |
|---|---|---|---|
| 1 | 5.68 s | H-2, H-10b | 72.5 d |
| 2 | 4.23 dt (3.3, 1.7) | H-1, H-3, H-11 | 69.4 d |
| 3 | 5.56 m | H-2, H-11 | 116.9 d |
| 4a | 2.76 d (10.4) | H-10b | 61.9 d |
| 6α | 3.54 d (14.1) | H-6β | 56.6 t |
| 6β | 4.16 d (14.1) | H-6α | 56.6 t |
| 7 | 6.58 s | 107.3 d | |
| 10 | 6.72 s | 104.8 d | |
| 10b | 2.91 d (10.4) | H-1, H-4a | 38.8 d |
| 11 (2H) | 2.65 m | H-2, H-3, H-12α, H-12β | 28.4 t |
| 12α | 2.42 dd (9.3, 5.0) | H-11, H-12β | 53.4 t |
| 12β | 3.38 dt (9.2, 4.8) | H-11, H-12α | 53.4 t |
| OCH2O | 5.92 s | 100.8 t | |
| 2´A | 2.43 dd (15.5, 5.4) | H-2´B, H-3´ | 40.5 t |
| 2´B | 2.53 dd (15.5, 7.8) | H-2´A, H-3´ | 40.5 t |
| 3´ | 5.10 m | H-2´A, H-2´B, H-4´ | 66.9 d |
| 4´ | 1.14 d (6.3) | H-3´ | 19.3 q |
| AcO (2´´) | 1.95 s | 20.7 q |
| Position | 1H δ (J in Hz) | COSY | NOESY | 13C δ | HMBC |
|---|---|---|---|---|---|
| 1 | - | - | - | 152.9 s | - |
| 2 | 4.22 t (6.1) | H-3α, H-3β | H-3α, H-3β, OCH3 | 74.9 d | C-1, C-3, C-4, C-10b, OCH3 |
| 3α | 2.01 dt (13.5, 5.5) | H-2, H-3β, H-4 | H-2, H-3β, H-4, OCH3 | 31.4 t | C-1, C-2, C-4, C-4a, C-11 |
| 3β | 2.22 - 2.13 m(overlapped) | H-2, H-3α, H-4 | H-2, H-3α, H-4, OCH3 | 31.4 t | C-1, C-2, C-4, C-4a, C-11 |
| 4 | 2.64 m | H-3α, H-3β, H-4a, H-11α, H-11β | H-3α, H-3β, H-4a, H-11α, H-11β | 35.1 d | C-12 |
| 4a | 3.94 d (6.4) | H-4 | H-4, H-10, NCH3 | 61.6 d | C-1, C-3, C-4, C-10a, C-10b, C-11, C-12, NCH3 |
| 6 | - | - | - | 161.5 s | - |
| 6a | - | - | - | 116.4 s | - |
| 7 | 7.66 s | - | - | 107.8 d | C-6, C-8, C-9, C-10a |
| 8 | - | - | - | 148.4 s | - |
| 9 | - | - | - | 153.8 s | - |
| 10 | 7.29 s | - | H-4a, NCH3 | 103.3 d | C-6a, C-8, C-9, C-10b |
| 10a | - | - | - | 135.1 s | - |
| 10b | - | - | - | 110.8 s | - |
| 11α | 2.22 - 2.13 m(overlapped) | H-4, H-11β, | H-4, H-11β, H-12α, H-12β, OCH3 | 29.6 t | C-3, C-4a |
| H-12α, H-12β | |||||
| 11β | 1.90 ddd (12.6, 8.3, 4.2) | H-4, H-11α, H-12α, H-12β | H-4, H-11α, H-12α, H-12β, OCH3 | 29.6 t | C-3, C-4a |
| 12α | 3.05 dt (11.0, 7.6) | H-11α, H-11β, H-12β | H-11α, H-11β, H-12β, NCH3 | 54.3 t | C-4, C-4a, C-11, NCH3 |
| 12β | 2.81 m | H-11α, H-11β, H-12α | H-11α, H-11β, H-12α, NCH3 | 54.3 t | C-4, C-4a, C-11, NCH3 |
| OCH2O | 6.10 d (1.2) 6.12 d (1.2) | - | - | 102.4 t | C-8, C-9 |
| OCH3 | 3.57 s | - | H-2, H-3α, H-3β, H-11α, H-11β | 58.3 q | C-2 |
| NCH3 | 2.41 s | - | H-2, H-3α, H-3β, H-11α, H-11β | 41.8 q | C-4a, C-12 |
3. Experimental
3.1. General
3.2. Plant material
3.3. Extraction and isolation of alkaloids
4. Conclusions
Acknowledgements
References and Notes
- Bastida, J.; Lavilla, R.; Viladomat, F. Chemical and biological aspects of Narcissus alkaloids. In The Alkaloids; Cordell, G.A., Ed.; Elsevier Scientific Publishing: Amsterdam, The Netherlands, 2006; Volume 63, pp. 87–179. [Google Scholar]
- Blanchard, J.W. Narcissus. A Guide to Wild Daffodils; Alpine Garden Society: Surrey, UK, 1990; pp. 40–42. [Google Scholar]
- Díaz Lifante, Z.; Andrés Camacho, C. Morphological variation of Narcissus serotinus L. s.l. (Amaryllidaceae) in the Iberian Peninsula. Bot. J. Linn. Soc. 2007, 154, 237–257. [Google Scholar] [CrossRef]
- Vrondeli, A.; Kefalas, P.; Kokkalou, E. A new alkaloid from Narcissus serotinus L. Pharmazie 2005, 60, 559–560. [Google Scholar]
- Lamoral-Theys, D.; Andolfi, A.; Van Goietsenoven, G.; Cimmino, A.; Le Calvé, B.; Wauthoz, N.; Mégalizzi, V.; Gras, T.; Bruyère, C.; Dubois, J.; Mathieu, V.; Kornienko, A.; Kiss, R.; Evidente, A. Lycorine, the main phenanthridine Amaryllidaceae alkaloid, exhibits significant antitumor activity in cancer cells that display resistance to proapoptotic stimuli: an investigation of structure-activity relationship and mechanistic insight. J. Med. Chem. 2009, 52, 6244–6256. [Google Scholar]
- Berkov, S.; Bastida, J.; Sidjimova, B.; Viladomat, F.; Codina, C. Phytochemical differentiation of Galanthus nivalis and Galanthus elwesii (Amaryllidaceae): A case study. Biochem. Syst. Ecol. 2008, 36, 638–645. [Google Scholar] [CrossRef]
- Toriizuka, Y.; Kinoshita, E.; Kogure, N.; Kitajima, M.; Ishiyama, A.; Otoguro, K.; Yamada, H.; Omura, S.; Takayama, H. New lycorine-type alkaloid from Lycoris traubii and evaluation of antitrypanosomal and antimalarial activities of lycorine derivatives. Bioorg. Med. Chem. 2008, 16, 10182–10189. [Google Scholar]
- Llabrés, J.M.; Viladomat, F.; Bastida, J.; Codina, C.; Rubiralta, M. Phenantridine alkaloids from Narcissus assoanus. Phytochemistry 1986, 25, 2637–2638. [Google Scholar] [CrossRef]
- Almanza, G.R.; Fernández, J.M.; Wakori, E.W.T.; Viladomat, F.; Codina, C.; Bastida, J. Alkaloids from Narcissus cv. Salome. Phytochemistry 1996, 43, 1375–1378. [Google Scholar] [CrossRef]
- Berkov, S.; Codina, C.; Viladomat, F.; Bastida, J. Alkaloids from Galanthus nivalis. Phytochemistry 2007, 68, 1791–1798. [Google Scholar] [CrossRef]
- Jeffs, P.W.; Mueller, L.; Abou-Donia, A.H.; Seif El-Din, A.A.; Campau, D. Nobilisine, a new alkaloid from Clivia nobilis. J. Nat. Prod. 1988, 51, 549–554. [Google Scholar] [CrossRef]
- Evidente, A.; Abou-Donia, A.H.; Darwish, F.A.; Amer, M.E.; Kassem, F.F.; Hammoda, H.A.M.; Motta, A. Nobilisitine A and B, two masanane-type alkaloids from Clivia nobilis. Phytochemistry 1999, 51, 1151–1155. [Google Scholar] [CrossRef]
- Coll, J.C.; Bowden, B.F. The application of vacuum liquid chromatography to the separation of terpene mixtures. J. Nat. Prod. 1986, 49, 934–936. [Google Scholar] [CrossRef]
- McNulty, J.; Nair, J.J.; Bastida, J.; Pandey, S.; Griffin, C. Structure-activity studies on the lycorine pharmacophore: A potent inducer of apoptosis in human leukemia cells. Phytochemistry 2009, 70, 913–919. [Google Scholar] [CrossRef]
- Evidente, A.; Andolfi, A.; Abou-Donia, A.H.; Touema, S.M.; Hammoda, H.M.; Shawky, E.; Motta, A. (-)-Amarbellisine, a lycorine-type alkaloid from Amaryllis belladonna L. growing in Egypt. Phytochemistry 2004, 65, 2113–2118. [Google Scholar] [CrossRef]
- Sample Availability: Not available.
© 2010 by the authors; licensee MDPI, Basel, Switzerland. This article is an open access article distributed under the terms and conditions of the Creative Commons Attribution license (http://creativecommons.org/licenses/by/3.0/).
Share and Cite
Pigni, N.B.; Berkov, S.; Elamrani, A.; Benaissa, M.; Viladomat, F.; Codina, C.; Bastida, J. Two New Alkaloids from Narcissus serotinus L. Molecules 2010, 15, 7083-7089. https://doi.org/10.3390/molecules15107083
Pigni NB, Berkov S, Elamrani A, Benaissa M, Viladomat F, Codina C, Bastida J. Two New Alkaloids from Narcissus serotinus L. Molecules. 2010; 15(10):7083-7089. https://doi.org/10.3390/molecules15107083
Chicago/Turabian StylePigni, Natalia B., Strahil Berkov, Abdelaziz Elamrani, Mohammed Benaissa, Francesc Viladomat, Carles Codina, and Jaume Bastida. 2010. "Two New Alkaloids from Narcissus serotinus L." Molecules 15, no. 10: 7083-7089. https://doi.org/10.3390/molecules15107083
APA StylePigni, N. B., Berkov, S., Elamrani, A., Benaissa, M., Viladomat, F., Codina, C., & Bastida, J. (2010). Two New Alkaloids from Narcissus serotinus L. Molecules, 15(10), 7083-7089. https://doi.org/10.3390/molecules15107083
