The Fungicidal Terpenoids and Essential Oil from Litsea cubeba in Tibet
Abstract
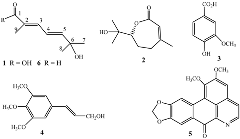
:1. Introduction
2. Results and Discussion
| Fungi | EO | 1 | 2 | 7 | Fungi | EO | 1 | 2 | 7 |
|---|---|---|---|---|---|---|---|---|---|
| B. cinerea | 49.8 | - | 72.0 | 100 | S. sclerotiorum | 100 | 86.7 | 81.8 | 100 |
| A. mali | 83.2 | - | 66.0 | 100 | C. lindemuthianum | - | - | 62.3 | - |
| A. alternate | - | 57.8 | 70.9 | - | V. dahliae | - | - | 66.6 | - |
| F. oxysporurn | - | 56.7 | 53.5 | 100 | T. cucumeris | 100 | 76.8 | 80.2 | 100 |
| F. moniliforme | - | - | 55.6 | 100 | B. berengeriana | - | 59.2 | - | - |
| F. graminearum | - | - | 73.8 | 100 | P. musae | - | 78.9 | 65.5 | - |
| P. infestans | - | - | 66.4 | 100 | C. gloeosporioides | - | 71.2 | 71.1 | 100 |
3. Experimental
3.1. General
3.2. Plant Material
3.3. Extraction and Isolation
3.4. Bioassay of Fungicidal Activities
4. Conclusions
Acknowledgements
References and Notes
- Jiang, Z.; Akhtar, Y.; Bradbury, R.; Zhang, X.; Isman, M.B. Comparative toxicity of essential oils of Litsea pungens and Litsea cubeba and blends of their major constituents against the cabbage Looper, Trichoplusia ni. J. Agric. Food Chem. 2009, 57, 4833–4837. [Google Scholar] [CrossRef]
- Bighelli, A.; Muselli, A.; Casanova, J. Chemical variability of Litsea cubeba leaf oil from Vietnam. J. Essent. Oil Res. 2005, 17, 86–88. [Google Scholar] [CrossRef]
- Luo, M.; Jiang, L.K.; Zou, G.L. Acute and genetic toxicity of essential oil extracted from Litsea cubeba (Lour.) Pers. J. Food Prot. 2005, 68, 581–588. [Google Scholar]
- Wang, Y.; Jiang, Z.T.; Li, R. Complexation and molecular microcapsules of Litsea cubeba essential oil with β-cyclodextrin and its derivatives. Eur. Food Res. Technol. 2009, 228, 865–873. [Google Scholar] [CrossRef]
- Tomita, M.; Lu, S.T.; Lan, P.K.; Lin, F.M. Studies on the alkaloids of Formosan lauraceous plants. V. alkaloids of Litsea cubeba Pers. Yakugaku Zasshi 1965, 85, 593–595. [Google Scholar]
- Wu, Y.C.; Liou, J.Y.; Duh, C.Y.; Lee, S.S.; Lu, S.T. Studies on the alkaloids of Formosan Lauraceae plants. 32. Litebamine, a novel phenanthrene alkaloid from Litsea cubeba. Tetrahedron Lett. 1991, 32, 4169–4170. [Google Scholar] [CrossRef]
- Lee, S.S.; Lin, Y.J.; Chen, C.K.; Liu, K.C.S.; Chen, C.H. Quaternary alkaloids from Litsea cubeba and Cryptocarya konishii. J. Nat. Prod. 1993, 56, 1971–1976. [Google Scholar] [CrossRef]
- Lee, S.S.; Chen, C.K.; Huang, F.M.; Chen, C.H. Two dibenzopyrrocoline alkaloids from Litsea cubeba. J. Nat. Prod. 1996, 59, 80–82. [Google Scholar] [CrossRef]
- Huang, C.H.; Huang, W.J.; Wang, S.J.; Wu, P.H.; Wu, W.B. Litebamine, a phenanthrene alkaloid from the wood of Litsea cubeba, inhibits rat smooth muscle cell adhesion and migration on collagen. Eur. J. Pharmacol. 2008, 596, 25–31. [Google Scholar] [CrossRef]
- Min, B.S.; Lee, S.Y.; Kim, J.H.; Kwon, O.K.; Park, B.Y.; An, R.B.; Lee, J.K.; Moon, H.I.; Kim, T.J.; Kim, Y.H.; Joung, H.; Lee, H.K. Lactones from the leaves of Litsea japonica and Their anti-complement activity. J. Nat. Prod. 2003, 66, 1388–1390. [Google Scholar] [CrossRef]
- Chiou, C.M.; Kang, J.J.; Lee, S.S. Litebamine N-Homologues: Preparation and Anti-acetylcholine sterase Activity. J. Nat. Prod. 1998, 61, 46–50. [Google Scholar] [CrossRef]
- Volcho, K.P.; Yarovaya, O.I.; Kurbakova, S.; Korchajina, D.V.; Barkhash, V.A.; Salakhutdinov, N.F. Synthesis of epoxy dinitriles from citral and their acid-catalyzed transformations. Russ. J. Org. Chem. 2007, 43, 511–517. [Google Scholar] [CrossRef]
- Gallardo, G.L.; Pena, N.I.; Cabrera, G.M. Neric acid derivatives produced by the honey bee fungal entomopathogen Ascosphaera apis. Phytochemistry Lett. 2008, 1, 155–158. [Google Scholar] [CrossRef]
- Miyazawa, L.M.; Oshima, T.; Koshio, K.; Itsuzaki, Y.; Anzai, J. Tyrosinase inhibitor from black rice bran. J. Agric. Food. Chem. 2003, 51, 6953–6956. [Google Scholar] [CrossRef]
- Matsuura, H.; Miyazaki, H.; Asakawa, C.; Amano, M.; Yoshihara, T.; Mizutani, J. Isolation of β-glucosidase inhibitors from hyssop (Hyssopus officinalis). Phytochemistry 2004, 65, 91–97. [Google Scholar]
- Chiu, S.Y.C.; Dobberstein, R.H.; Fong, H.H.S.; Farnsworth, N.R. Oxoaporphine alkaloids from Siparuna gilgiana. J. Nat. Prod. 1982, 45, 229–231. [Google Scholar] [CrossRef]
- Weyerstahl, P.; Marschall, H.; Weirauch, M.; Thefeld, K.; Surberg, H. Constituents of commercial labdanum oil. Flavour Fragr. J. 1998, 13, 295–318. [Google Scholar] [CrossRef]
- Xu, J.; Tan, N.; Zeng, G.; Han, H.; Huang, H.; Ji, C.; Zhu, M.; Zhang, Y. Studies on chemical constituents in fruit of Alpinia oxyphylla. China J. Chin. Materia Medica 2009, 34, 990–993. [Google Scholar]
- Chen, N.C. The Bioassay Technologies for Pesticides; Beijing Agricultural University Press: Beijing, China, 1991; pp. 161–162. [Google Scholar]
- Finney, S. Probit Analysis; Cambridge University Press: Cambridge, UK, 1978. [Google Scholar]
- Sample Availability: Samples of the compounds 1-5 are available from the authors.
© 2010 by the authors; licensee MDPI, Basel, Switzerland. This article is an open access article distributed under the terms and conditions of the Creative Commons Attribution license (http://creativecommons.org/licenses/by/3.0/).
Share and Cite
Yang, Y.; Jiang, J.; Qimei, L.; Yan, X.; Zhao, J.; Yuan, H.; Qin, Z.; Wang, M. The Fungicidal Terpenoids and Essential Oil from Litsea cubeba in Tibet. Molecules 2010, 15, 7075-7082. https://doi.org/10.3390/molecules15107075
Yang Y, Jiang J, Qimei L, Yan X, Zhao J, Yuan H, Qin Z, Wang M. The Fungicidal Terpenoids and Essential Oil from Litsea cubeba in Tibet. Molecules. 2010; 15(10):7075-7082. https://doi.org/10.3390/molecules15107075
Chicago/Turabian StyleYang, Yu, Jiazheng Jiang, Luobu Qimei, Xiaojing Yan, Junxia Zhao, Huizhu Yuan, Zhaohai Qin, and Mingan Wang. 2010. "The Fungicidal Terpenoids and Essential Oil from Litsea cubeba in Tibet" Molecules 15, no. 10: 7075-7082. https://doi.org/10.3390/molecules15107075
APA StyleYang, Y., Jiang, J., Qimei, L., Yan, X., Zhao, J., Yuan, H., Qin, Z., & Wang, M. (2010). The Fungicidal Terpenoids and Essential Oil from Litsea cubeba in Tibet. Molecules, 15(10), 7075-7082. https://doi.org/10.3390/molecules15107075

