A New 4α-Methylated Sterol from a Nephthea sp. (Nephtheidae) Bornean Soft Coral
Abstract
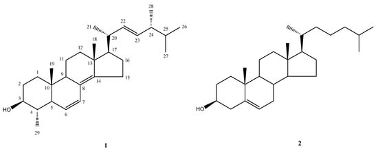
:Introduction

Results and Discussion

| Position | 13C | 1H (J in Hz) |
|---|---|---|
| 1 | 35.1 (CH2) | 1.69 (m, 1H) |
| 1.17 (m, 1H) | ||
| 2 | 31.2 (CH2) | 1.88 (m, 1H) |
| 1.54 (m, 1H) | ||
| 3 | 77.3 (CH) | 3.15 (m, 1H) |
| 4 | 38.1 (CH) | 1.38 (m, 1H) |
| 5 | 51.2 (CH) | 1.69 (dd, J = 9.6, 2.8 Hz, 1H) |
| 6 | 126.2 (CH) | 6.15 (dd, J = 10.3, 2.8 Hz, 1H) |
| 7 | 126.0 (CH) | 5.60 (d, J = 10.3 Hz, 1H) |
| 8 | 125.0 (C) | |
| 9 | 48.5 (CH) | 1.92 (m, 1H) |
| 10 | 36.4 (C) | |
| 11 | 19.7 (CH2) | 1.60 (m, 1H) |
| 1.45 (m, 1H) | ||
| 12 | 36.8 (CH2) | 1.98 (ddd, J = 12.4, 3.5, 3.5 Hz, 2H) |
| 1.27 (m, 1H) | ||
| 13 | 43.5 (C) | |
| 14 | 147.3 (C) | |
| 15 | 25.0 (CH2) | 2.35 (m, 1H) |
| 2.27 (m, 1H) | ||
| 16 | 28.0 (CH2) | 1.75 (m, 1H) |
| 1.40 (m, 1H) | ||
| 17 | 56.1 (CH) | 1.19 (m, 1H) |
| 18 | 19.5 (CH3) | 0.89 (s, 3H) |
| 19 | 12.4 (CH3) | 0.65 (s, 3H) |
| 20 | 39.6 (CH) | 2.09 (m, 1H) |
| 21 | 21.2 (CH3) | 1.02 (d, J = 6.2 Hz, 3H) |
| 22 | 135.5 (CH) | 5.18 (dd, J = 15.1, 8.3 Hz, 1H) |
| 23 | 132.2 (CH) | 5.22 (dd, J = 15.1, 6.9 Hz, 1H) |
| 24 | 43.0 (CH) | 1.85 (m, 1H) |
| 25 | 33.2 (CH) | 1.46 (m, 1H) |
| 26 | 20.0 (CH3) | 0.83 (d, J = 6.9 Hz, 3H) |
| 27 | 19.7 (CH3) | 0.81 (d, J = 6.9 Hz, 3H) |
| 28 | 17.7 (CH3) | 0.91 (d, J = 6.9 Hz, 3H) |
| 29 | 15.1 (CH3) | 1.09 (d, J = 6.2 Hz, 3H) |

| Position | Crinosterol (24S) | Brassicasterol (24R) | Compound 1 |
| 13C | 13C | 13C | |
| 24 | 43.12 | 42.90 | 42.95 |
| 25 | 33.28 | 33.16 | 33.19 |
| 26 | 19.69 | 20.02 | 20.04 |
| 27 | 20.19 | 19.69 | 19.73 |
| 28 | 18.08 | 17.68 | 17.71 |
Experimental
General
Biological material
Extraction and isolation
Characterization of 4α-Methyl-ergosta-6,8(14),22E-triene-3β-ol (1)
Acknowledgements
References and Notes
- D’Auria, M.V.; Minale, L.; Riccio, R. Polyoxygenated steroids of marine origin. Chem. Rev. 1993, 93, 1839–1895. [Google Scholar]
- Kokke, W.C.M.C.; Bohlin, L.; Fenical, W.; Djerassi, C. Novel dinoflagellate 4α-methyl steroids from four Caribbean gorgonians. Phytochemistry 1982, 21, 881–887. [Google Scholar]
- Kokke, W.C.M.C.; Fenical, W.; Djerassi, C. Steroids with unusual nuclear unsaturation from three cultured marine dinoflagellates. Phytochemistry 1981, 20, 127–134. [Google Scholar]
- Ma, K.; Li, W.; Fu, H.; Koike, K.; Lin, W.; van Ofwegen, L.; Fu, H. New 4α-methyl steroids from a Chinese soft coral Nephthea sp. Steroids 2007, 72, 901–907. [Google Scholar] [CrossRef]
- Zhang, W.; Liu, W.K.; Che, C.T. Polyhydroxylated steroids and other constituents of the soft coral Nephthea chabroli. Chem. Pharm. Bull. 2003, 51, 1009–1011. [Google Scholar] [CrossRef]
- Mehta, G.; Venkateswarlu, Y.; Rao, M.R.; Uma, R. A novel 4α-methyl sterol from the soft coral Nephthea chabroli. J. Chem. Res. 1999, 628–629. [Google Scholar]
- Rodriguez, A.D.; Rivera, J.; Boulanger, A. New polyhydroxydinostane sterols from the Caribbean gorgonian octocoral Pseudopterogorgia americana. Tetrahedron Lett. 1998, 39, 7645–7648. [Google Scholar] [CrossRef]
- Kobayashi, M.; Ishizaka, T.; Mitsuhashi, H. Minor constituents of the steroids of the soft coral Sarcophyton glaucum. Steroids 1982, 40, 209–221. [Google Scholar]
- Bortolotto, M.; Braekman, J.C.; Daloze, D.; Tursch, B. 4α-Methyl-3β,8β-dihydroxy-5α-ergost-24(28)-en-23-one, a novel polyoxygenated steroid from the soft coral Litophyton viridis. Steroids 1977, 30, 159–164. [Google Scholar] [CrossRef]
- Sammarco, P.W.; La Barre, S.; Coll, J.C. Defensive strategies of soft corals (Coelenterata: Octocorallia) of the Great Barrier Reef. Oecolgia 1987, 74, 93–101. [Google Scholar] [CrossRef]
- Huang, Y.C.; Wen, Z.H.; Wang, S.K.; Hsu, C.H.; Duh, C.Y. New anti-inflammatory 4-methylated steroids from the Formosan Soft coral Nephthea chabroli. Steroids 2008, 73, 1181–1186. [Google Scholar] [CrossRef]
- Cheng, S.Y.; Dai, C.F.; Duh, C.Y. New 4-methylated and 19-oxygenated steroids from the Formosan soft coral Nephthea erecta. Steroids 2007, 72, 653–659. [Google Scholar] [CrossRef]
- Zhang, W.H.; Williams, I.D.; Che, C.T. Chabrolols A, B and C, three new norditerpenes from the soft coral Nephthea chabroli. Tetrahedron Lett. 2001, 42, 4681–4686. [Google Scholar] [CrossRef]
- Duh, C.Y.; Wang, S.K.; Weng, Y.L. Brassicolene, a novel cytotoxic diterpenoid from the Formosan soft coral Nephthea brassica. Tetrahedron Lett. 2000, 41, 1401–1404. [Google Scholar] [CrossRef]
- Handayani, D.; Edrada, R.A.; Proksch, P.; Wray, V.; Witte, L. New oxygenated sesquiterpenes from the Indonesian soft coral Nephthea chabroli. J. Nat. Prod. 1997, 60, 716–718. [Google Scholar] [CrossRef]
- Kitagawa, I.; Cui, Z.; Son, B.W.; Kobayashi, M.; Kyoboku, Y. Nephtheoxydiol, a new cytotoxic hydroperoxy-germacrane sesquiterpene, and related sesquiterpenoids from an Okinawan soft coral of Nephthea sp. (Nephtheidae). Chem. Pharm. Bull. 1987, 35, 124–135. [Google Scholar] [CrossRef]
- Blackman, A.J.; Bowden, B.F.; Coll, J.C.; Frick, B.; Mahendran, M.; Mitchell, S.J. Several new cembranoid diterpenes from Nephthea brassica and related diterpenes from a Sarcophyton species. Aust. J. Chem. 1982, 35, 1873–1880. [Google Scholar] [CrossRef]
- Poet, S.E.; Ravi, B.N. Three new diterpenes from a soft coral Nephthea species. Aust. J. Chem. 1982, 35, 77–83. [Google Scholar] [CrossRef]
- Ahond, A.; Bowden, B.F.; Coll, J.C.; Fourneron, J.; Mitchell, S.J. Several caryophyllene-based diterpenes from a Nephthea species. Aust. J. Chem. 1981, 34, 2657–2664. [Google Scholar] [CrossRef]
- Koizumi, N.; Fujimoto, Y.; Takeshita, T.; Ikekawa, N. Carbon-13 nuclear magnetic resonance of 24-substituted steroids. Chem. Pharm. Bull. 1979, 27, 38–42. [Google Scholar] [CrossRef]
- Wright, J.L.C.; McInnes, A.G.; Shimizu, S.; Smith, D.G.; Walter, J.A. Identification of C-24 alkyl epimers of marine sterols by 13C nuclear magnetic resonance spectroscopy. Can. J. Chem. 1978, 56, 1898–1903. [Google Scholar]
- Qiu, Y.; Deng, Z.W.; Xu, M.; Li, Q.; Lin, W.H. New a-nor steroids and their antifouling activity from the Chinese marine sponge Acanthella cavernosa. Steroids 2008, 73, 1500–1504. [Google Scholar] [CrossRef]
- Sample Availability: Not available.
© 2009 by the authors; licensee Molecular Diversity Preservation International, Basel, Switzerland. This article is an open access article distributed under the terms and conditions of the Creative Commons Attribution license ( http://creativecommons.org/licenses/by/3.0/).
Share and Cite
Ishii, T.; Matsuura, H.; Zhaoqi, Z.; Vairappan, C.S. A New 4α-Methylated Sterol from a Nephthea sp. (Nephtheidae) Bornean Soft Coral. Molecules 2009, 14, 3360-3366. https://doi.org/10.3390/molecules14093360
Ishii T, Matsuura H, Zhaoqi Z, Vairappan CS. A New 4α-Methylated Sterol from a Nephthea sp. (Nephtheidae) Bornean Soft Coral. Molecules. 2009; 14(9):3360-3366. https://doi.org/10.3390/molecules14093360
Chicago/Turabian StyleIshii, Takahiro, Hiroshi Matsuura, Zhan Zhaoqi, and Charles Santhanaraju Vairappan. 2009. "A New 4α-Methylated Sterol from a Nephthea sp. (Nephtheidae) Bornean Soft Coral" Molecules 14, no. 9: 3360-3366. https://doi.org/10.3390/molecules14093360
APA StyleIshii, T., Matsuura, H., Zhaoqi, Z., & Vairappan, C. S. (2009). A New 4α-Methylated Sterol from a Nephthea sp. (Nephtheidae) Bornean Soft Coral. Molecules, 14(9), 3360-3366. https://doi.org/10.3390/molecules14093360

