Next Article in Journal
Phytohormones as Important Biologically Active Molecules – Their Simple Simultaneous Detection
Previous Article in Journal
Antimicrobial Activity of Six Pomegranate (Punica granatum L.) Varieties and Their Relation to Some of Their Pomological and Phytonutrient Characteristics
 
 
Font Type:
Arial Georgia Verdana
Font Size:
Aa Aa Aa
Line Spacing:
Column Width:
Background:
Article

Phenoxypropylamines: Synthesis and Antiulcer Evaluation

1
College of Sciences, Northeastern University, Shenyang 110004, China
2
Department of Chemistry, Shenyang Medical College, Shenyang 110034, China
3
School of Public Health, China Medical University, Shenyang 110001, China
4
School of Pharmaceutical Engineering, Shenyang Pharmaceutical University, Shenyang 110016, China
5
School of Medicinal Application & Technology, Shenyang Medical College, Shenyang 110034, China
*
Author to whom correspondence should be addressed.
Molecules 2009, 14(5), 1818-1824; https://doi.org/10.3390/molecules14051818
Submission received: 9 April 2009 / Accepted: 8 May 2009 / Published: 13 May 2009

Abstract

:
We have synthesized a number of phenoxypropylamines from N-{3-[3-(1-piperidinylmethyl)phenoxy]propyl}chloroacetamide (3). All the products have been characterized by elemental analysis, 1H-NMR and MS. The biological activity effects of the title compounds were examined. From the biological activity results, we found that two of them showed significant gastric acid antisecretory activity.

Introduction

The introduction of roxatidine acetate (4) as a H2-receptor antagonist for the control of peptic ulcer disease has been responsible for intense synthetic efforts by medicinal chemists in this therapeutic area to prepare highly efficacious drugs with greater potency and lower toxicity [1].
As part of our effort to explore a new antiulcer agent, this work was initiated with the goal of preparing a new compound which might possess potent gastric acid antisecretory and gastrointestinal protective activities with lower toxicity. In this paper we describe the preparation and antiulcer activity of compounds 6a-6f. Roxatidine acetate (4) was synthesized by a series of reaction including Leukart reductive amination, acylation and substitution [2]. On the basis of the bioisosterism principle phenoxypropylamines were prepared from compound 3 using primary amines [3]. The process is simple and moderate. The desired products were synthesized and identified on the basis of elemental analysis, 1H-NMR and MS. The title compounds 6a-6f were also been evaluated for gastric acid antisecretory activity and the structure activity relationships of gastric acid antisecretory activity are also discussed.

Results and Discussion

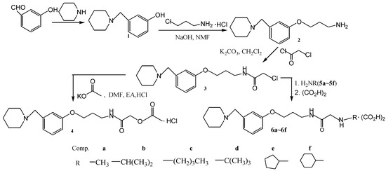
N-{3-[3-(1-Piperidinymethyl)phenoxy]propyl}chloroacetamide (3) was synthesized by a three-step reaction from m-hydroxybenzaldehyde. The hydrochloric acid salt of roxatidine acetic ester 4 was prepared in 28.8% yield by the reaction of 3 with AcOK [2]. Six phenoxypropylamine derivatives were then synthesized by the reaction of 3 with primary amines, followed by oxalic acid to obtain their corresponding salts 6. The synthesis route is outlined in Scheme 1.
Scheme 1. Synthesis of the title compounds 6a-6f.
Scheme 1. Synthesis of the title compounds 6a-6f.
Molecules 14 01818 g002

Biological evaluation [4,5]

The effects of the title compounds 6a-6f on gastric acid secretion are shown in Figure 1. The percentages of inhibition of gastric juice, GJ, 98.1%, 91.1%, 47.5%, 60.2%, 88.3% and 61.2%, respectively. As seen in the Figure, compounds 6a and 6f exhibited significant gastric acid antisecretory activity. That this gastric acid antisecretion efficacy was based on H2-receptor antagonist properties was confirmed by using the isolated guinea pig right atrial assay [7].
Figure 1. Phenoxypropylamine Effect on Gastric Acid Secretion in the Isolated Guinea Pig.
Figure 1. Phenoxypropylamine Effect on Gastric Acid Secretion in the Isolated Guinea Pig.
Molecules 14 01818 g001
The calculation methods used In Figure 1 were as follows:
Acid output, AO = [H+]×0.05/ (л×1.252×0.25) mol•cm-2•h-1
 = 10-pH×4×10-2 mol•cm-2•h-1
 = 10-pH×4×104μmol•cm-2•h-1
       GJ = (Basic acid output, BAO – AO )/BAO × 100%
With regards to possible SAR, our preliminary assumption was to synthesize the compounds 6a and 6b by adding primary amine straight chains in order to enhance the ability of the molecules to inhibit gastric acid. We synthesized compounds 6c and 6d by adding a branched chain primary amine in order to enhance the flexibility of the molecules. The compounds 6e and 6f are the H2-receptor antagonists.

Conclusions

In summary, we have developed the method for preparing phenoxypropylamine derivatives of roxatidine acetate from N-{3-[3-(1-piperidinylmethyl)phenoxy]propyl}chloroacetamide. The protocol offers several advantages such as mild reaction conditions, short reaction times, easy isolation and good yields. Also two of them showed some potential effects on the inhibition of gastric juice.

Experimental

General

Melting points for the compounds were determined on a hot-stage microscope and are uncorrected. IR spectra were determined on a Nicolet 670FT-IR instrument in the range 4000─400 cm-1 using the Smart OMNI-Sampler. 1H-NMR spectra were recorded in DMSO-d6 solution on a Bruker ARX-300 spectrometer operating at 300 MHz with TMS as the internal reference. Coupling constants (J) are expressed in Hz. MS spectra were obtianed using a Finnigan SSQ-710 spectrometer. The contents of carbon, hydrogen and nitrogen were determined on a Flash-1112 series elemental analyzer. Column chromatography was performed on silica gel (200-300 mesh) obtained from Qingdao Ocean Chemicals. Unless otherwise noted, all the materials were obtained from commercial sources and used without further purification.
3-(1-Piperidinylmethyl)phenol (1): 3-Hydroxybenzaldehyde (30.6 g, 0.25 mol) and 88 % formic acid (30.0 mL, 0.7 mol) were successively added to piperidine (50 mL, 0.5 mol) in a cool bath while the temperature was kept below 60°C. The mixture was then heated at 100°C for two hours and after cooling to 15°C it was diluted with water (75 mL). One gram of activated carbon was added and stirred for 1 h at room temperature for decolourizing. The carbon was filtered off, and the solution is made alkaline to pH = 9.0 by adding a 12% ammonium hydroxide solution. The product 1, which crystallizes on standing at 15°C, was filtered and washed with water. When dried well the isolated compound 1 weighed 36.02 g (79.3 %); m.p. 136-138°C. IR (KBr): 2900, 3400 cm-1; MS m/z (%): 191 (M+, 18), 107 (49), 84 (100); 1 H-NMR: 1.41-1.42 (d, 2H, J= 5), 1.56-1.59 (m, 4H, J=7), 2.43 (s, 4H), 3.41 (s, 2H), 6.44 (bs, 1H), 6.66-6.70 (d,2H, J= 8 ), 6.75-6.77 (d,1H, J= 8), 7.08-7.13 (t,1H, J=8) [2].
N-{3-[3-(1-Piperidinylmethyl)phenoxy]propyl}amine (2): 3-(1-Piperidinylmethyl)phenol (1, 9.6 g, 0.05 mol) and 3-chloropropylamine hydrochloride (8.40 g, 0.064 mol) were successively added to DMF (160 mL), then sodium hydroxide (28.4 g, 0.71 mol) was added. The reaction mixture is stirred at 85-90°C for two hours and filtered after cooling to 15°C. Potassium acetate (0.96 g, 0.01 mol) was added, and about 20 mL of DMF were distilled off under vacuum. The residue is diluted with water (40 mL) acidified with acetic acid to pH=4.6 and extracted with dichloromethane (50 mL). The aqueous layer is alkalinized to pH=9.5 with 12% ammonium hydroxide solution, extracted twice with dichloromethane (50 mL), dried with sodium sulfate, and filtered. This solution contains 12.04 g (97%) of 2 and is directly used in the next step without isolation. Oily substance; IR (film): 2925, 3300 cm-1; MS m/z (%): 248 (M+, 7.46), 190 (2.81), 165 (10.49), 107 (8.84), 98 (24.76), 84 (100); 1H-NMR δ: 1.36 (bs, 2H, J=5), 1.41-1.43 (d, 2H, J=5), 1.53-1.60 (m, 4H, J=5), 1.87-1.96 (m, 2H, J=7), 2.36 (s, 4 H ), 2.89-2.92 (t, 2H, J=7), 3.43 (s, 2H), 4.02-4.06 (t, 2H, J=7), 6.75-6.79 (dd, 1H, J=8), 6.87-6.89 (d, 2H, J=8), 7.17-7.22 (t, 1H, J=8) [2].
N-{3-[3-(1-Piperidinylmethyl)phenoxy]propyl}chloroacetamide (3): Dry potassium carbonate (11.3 g, 0.082 mol) was added to dried dichloromethane (100 mL) containing compound 2 (10.10 g, 0.04 mol). The mixture is cooled to 0-5°C, and chloroacetyl chloride (5.99 g, 0.053 mol) in dichloromethane (10 mL) were added. Thirty min later cold water (10 mL) was added, the organic layer washed twice with brine, dried, and filtered. The solvent is evaporated and the residue dried in vacuo to give 13.04 g (98.0%) of 3 as a colorless, partially crystallized oily substance. IR (film): 1670, 2940, 3000, 3400 cm-1; MS m/z (%): 324 (M+, 10), 240 (1.74), 190 (5.25), 134 (74.6), 84 (100); 1 H-NMR: 1.41-1.43 (d, 2H, J=5), 1.53-1.60 (m, 4H, J=5), 1.90 (s, 1H), 2.01-2.09 (m, 2H, J=7), 2.37 (s, 4 H), 3.44 (s, 2H), 3.51-3.57 (m, 2H, J=7), 4.06 (s, 2H), 4.07-4.11 (t, 2H, J=7), 6.77-6.80 (dd, 1H, J=8), 6.90-6.92 (d, 2H, J=8), 7.19-7.24 (t, 1H, J= 8) [2].
N-{3-[3-(1-Piperidinylmethyl)phenoxy]propyl}acetoxyacetamide hydrochloride (4): Chloroacetamide 3 (1.07g, 0.0033 mol) is dissolved in DMF (40 mL), then dry potassium acetate (1.97 g, 0.0099 mol) was added. The mixture was stirred at 90-100°C for one hour, and most of DMF is distilled off under vacuum. The residue is evacuated at 40-50°C. Water (50 mL) acidified with acetic acid to pH=4.6 was added, and the solution is extracted with a portion of dichloromethane (20 mL). The acidic solution is decolourized with 1 g of activated carbon, alkalinized to pH=9.5 with a 12% ammonium hydroxide solution and then extracted twice with ethyl acetate (15 mL), washed with brine, and dried over sodium sulfate. The organic solution is treated with ethyl acetate saturated with hydrogen chloride at 0-5°C. The roxatidine acetate hydrochloride 4 separates as a white precipitate on cooling that agglomerates on standing. It is filtered and washed with dry ethyl acetate. After drying in vacuo 2.37 g (6.8 mmol) of 4 of 85.13% purity are obtained. Roxatidine acetate hydrochloride (4): m.p. 148-150°C; IR (CHCl3): 1675, 1755, 3000, 3430 cm-1; 1 H-NMR: 1.43-1.44 (d, 2H, J=5), 1.53-1.58 (m, 4H, J=5), 2.00-2.08 (m, 2H, J=7), 2.14 (s, 3H), 2.36 (s, 4H), 3.43 (s, 2H), 3.52-3.58 (q, 2H, J=7), 4.06-4.09 (t, 2H, J=7), 4.56 (s, 2H), 6.65 (bs, 1H), 6.77-6.80 (dd, 1H, J=8), 6.91-6.92 (d, 2H, J=8), 7.19-7.24 (t, 1H, J=8); Elemental anal. calcd. (%): C, 59.37; H, 7.55; N, 7.29. Found (%): C, 59.19; H, 7.86; N, 7.44; MS m/z (%): 348 (M+, 12.37), 305 (2.57), 222 (5.04), 190 (9.40), 158 (62.63), 84 (100) [2].

Preparation and analytical and spectral data for compounds 6a -6f

N-{3-[3-(1-Piperidinylmethyl)phenoxy]propyl}chloroacetamide (3, 0.0043 mol) are dissolved in acetonitrile (30 mL), then the appropriate primary amine (0.0086 mol) and dry potassium iodide (0.006 g) are added, and the mixture is stirred at 90-100°C for four hours. Most of acetonitrile is then distilled off under vacuum. Water (20 mL) acidified with acetic acid to pH=3.8 is added, and the solution is extracted with a portion of dichloromethane (20 mL). The acidic solution is decolourized with 1 g of activated carbon and alkalinized to pH=10.0 with a 12% ammonium hydroxide solution, then it is extracted twice with ethyl acetate (15 mL), washed with brine and dried over sodium sulfate. The organic solution is treated with ethyl acetate saturated with oxalate at 0-5°C. The phenoxypropylamine derivatives oxalate 6a-6f are obtain as white precipitates [3].
N-{3-[3-(1-Piperidinylmethyl)phenoxy]propyl}methylaminoacetamide oxalate (6a): yield 62.8%; m.p. 132-134°C; 1H-NMR δ: 1.41-1.43 (d, 2H, J=5), 1.53-1.60 (m, 4H, J=5), 1.98 (t, 2H), 2.01-2.09 (m, 2H, J=7), 2.37 (s, 4 H), 2.54 (s,1H), 3.44 (s, 4H), 3.51-3.57 (m, 2H, J=7), 4.06 (s, 2H), 4.07-4.11 (t, 2H, J=7), 6.77-6.80 (dd, 1H, J=8), 6.90-6.92 (d, 2H, J=8), 7.19-7.24 (t, 1H, J=8); Elemental anal. calcd. (%) for C18O2N3H29: C, 67.68; H, 9.15; N, 13.15. Found (%): C, 67.48; H,9.20; N, 11.40. MS m/z (ESI): calcd. for C18O2N3H29 [M+H] 320.45, found 320.30.
N-{3-[3-(1-piperidinylmethyl)phenoxy]propyl}isopropylaminoacetamide oxalate (6b): yield 47.8%; m.p. 169-171°C; 1H-NMR δ: 0.85 (t, 3H), 1.26 (m, 2H), 1.42-1.44 (d, 2H, J=5), 1.52-1.61 (m, 4H, J=5), 1.93 (s, 1H), 2.01-2.09 (m, 2H, J=7), 2.39 (s, 4H), 2.87 (m, 4H), 3.45 (s, 2H), 3.52-.358 (m, 2H, J=7), 4.08 (s,2H), 4.09-4.13 (t, 2H, J=7), 4.10 (s, 1H), 6.97-6.99 (dd, 1H, J=8), 7.02-7.12 (d, 2H, J=8), 7.20-7.26 (t, 1H, J=8); Elemental anal. calcd. (%) for C21O2N3H35: C, 69.77; H, 9.76; N, 11.62. Found (%): C, 69.52; H,9.80; N, 11.60. MS m/z (ESI): calcd. for C21O2N3H35 [M+H] 362.54, found 362.30.
N-{3-[3-(1-Piperidinylmethyl)phenoxy]propyl}n-butylaminoacetamide oxalate (6c): yield 47.8%; m.p. 158-160°C. 1H-NMR δ: 0.95 (t, 6H), 1.26 (m, 2H), 1.42-1.44 (d, 2H, J=5), 1.52-1.61 (m, 2H, J=5), 1.93 (s, 1H), 2.01-2.09 (m, 2H, J=7), 2.39 (s, 2H), 2.87 (m, 3H), 3.45 (s, 2H), 3.52-.3.58 (m, 2H, J=7), 4.08 (s, 2H), 4.09-4.13 (t, 2H, J=7), 4.10 (s, 1H), 6.97-6.99 (dd,1H, J=8), 7.02-7.12 (d, 2H, J=8), 7.20-7.26 (t, 1H, J=8); Elemental anal. calcd. (%) for C21O2N3H35: C, 66.44; H, 9.20; N, 11.62. Found (%): C, 69.80; H,9.82; N, 11.59. MS m/z (ESI): calcd. for C20O2N3H33 [M+H] 348.50, found 348.30.
N-{3-[3-(1-Piperidinylmethyl)phenoxy]propyl}tertiary-butylaminoacetamide oxalate (6d): yield 76.4%; m.p. 129-131°C (from ethanol); 1H-NMR: 1.26 (m, 9H), 1.46-1.48 (s, 2H, J=5), 1.52-1.64 (s, 4H, J=5), 1.99 (s, 2H), 2.96 (s, 4H), 3.45 (s, 2H), 3.52-3.58 (m, 2H, J=7), 4.09 (s, 3H), 4.10-4.14 (t, 2H, J=7), 6.93-6.98 (dd, 1H, J=8), 7.04-7.30 (d, 2H, J=8), 7.18-7.25 (t, 1H, J=8), 8.8 (s, 1H); Elemental anal. calcd. (%) for C21O2N3H35: C, 69.77; H, 9.76; N, 11.62. Found (%): C, 69.62; H, 9.80; N, 11.39; MS m/z (ESI): calcd. for C21O2N3H35 [M+H] 362.54, found 362.40.
N-{3-[3-(1-Piperidinylmethyl)phenoxy]propyl}cyclopentyaminoacetamide oxalate (6e): yield 48.3%; m.p. 162-164°C (from ethanol); 1H-NMR: 1.42-1.43 (d, 2H, J=5), 1.48 (m, 4H), 1.56 (m, 4H, J=5), 1.91 (s, 3H), 2.01-2.09 (m, 4H, J=7), 2.38 (s, 4 H), 3.44 (s, 4H), 3.57 (m, 2H, J=7), 4.06 (s, 2H), 4.07-4.11 (t, 2H, J=7), 6.77-6.80 (dd, 1H, J=8), 6.90-6.92 (d, 2H, J=8), 7.19-7.24 (t, 1H, J=8); Elemental anal. calcd. (%) for C22O2N3H35: C, 70.74; H, 9.44; N, 11.25. Found (%): C, 70.54; H, 9.81; N, 11.32; MS m/z (ESI): calcd. for C22O2N3H35 [M+H] 374.55, found 374.00.
N-{3-[3-(1-Piperidinylmethyl)phenoxy]propyl}cyclohexylaminoacetamide oxalate (6f): yield 51.1%; m.p. 160-162°C(from ethanol); 1H-NMR: 1.42-1.43 (d, 2H, J=5), 1.48 (m, 4H), 1.56 (m, 4H, J=5), 1.91 (s, 3H), 2.01-2.09 (m, 4H, J=7), 2.38 (s, 4 H), 3.44 (m, 6H), 3.57 (m, 2H, J=7), 4.06 (s, 2H), 4.07-4.11 (t, 2H, J=7), 6.77-6.80 (dd, 1H, J=8), 6.90-6.92 (d, 2H, J=8), 7.19-7.24 (t, 1H, J=8); Elemental anal. calcd. (%) for C23O2N3H37: C,71.28; H, 9.62; N, 10.84. Found (%): C, 71.18; H, 9.32; N, 10.69. MS m/z (ESI): calcd. for C23O2N3H37 [M+H] 388.56, found 388.00.

Acknowledgements

We are grateful for financial support from the Education Department of Liaoning Province, P.R. China (Project No. 20060885).

References and Notes

  1. Nakamura, K.; Kariyazono, H.; Shinkawa, T.; Yamaguchi, T.; Yamashita, T.; Ayukawa, O.; Moriyama, Y.; Yotsumoto, G.; Toyohira, H.; Taira, A.; Yamada, K. Inhibitory effects of H2-receptor antagonists on platelet function in vitro. Hum. Exp. Toxicol. 1999, 18, 487–492. [Google Scholar] [CrossRef]
  2. Tarpanov, V.; Vlahov, R.; Penkov, M.; Krikorian, D.; Parushev, S.; Mechkarova, P.; Angelova, N.; Schunack, W. A new synthesis of roxatidine acetate. Syn. Commun. 1999, 29, 15–20. [Google Scholar] [CrossRef]
  3. Ueda, K.; Ishii, K.; Shinozaki, K.; Seiki, M.; Arai, H.; Hatanaka, M. Synthesis and Pharmacological properties of N-{3-[3-(1-piperidinymethyl)phenoxy]propyl}-2-(2-hydroxyethyl-thio)acetimide and related compounds as antiulcer agents. J. Chem. Pharm. Bull. 1990, 38, 3035–3041. [Google Scholar] [CrossRef]
  4. Schulze, F.R.; Buschauer, A.; Schunack, W. Combined histamine H1/H2 receptor antagonists: Part I. Pharmacological hybrids with pheniramine- and roxatidine-like substructures. Eur. J. Pharm. Sci. 1998, 6, 177–186. [Google Scholar]
  5. Murdoch, D.; McTavish, D. Roxatidine acetate. A review of its pharmacodynamic and pharmacokinetic properties, and its therapeutic potential in peptic ulcer disease and related disorders. Drugs 1991, 42, 240–260. [Google Scholar] [CrossRef]
  6. Sekine, Y.; Hirakawa, N.; Kashiwaba, N.; Matsumoto, H.; Kutsuma, T.; Yamaura, T.; Sekine, A. A novel histamine 2(H2) receptor antagonist with gastro protective activity. I. Synthesis and pharmacological evaluation of N-phenoxypropylacetamide derivatives with thioether function. Chem. Pharm. Bull. (Tokyo) 1998, 46, 610–615. [Google Scholar] [CrossRef]
  7. Larsson, H.; Carlsson, E.; Sundell, G. Effects of Omeprazole and Cimetidine on Gastric Acid Secretion an right atrial beating frequancy in isolated organ preparations from the guinea pig. Digestion 1984, 29, 12–18. [Google Scholar] [CrossRef]
  • Sample Availability: Contact the authors.

Share and Cite

MDPI and ACS Style

Zhang, H.; Zhang, B.-Y.; Zhang, Q.-Y.; Zhao, D.-M.; Wang, J.-M. Phenoxypropylamines: Synthesis and Antiulcer Evaluation. Molecules 2009, 14, 1818-1824. https://doi.org/10.3390/molecules14051818

AMA Style

Zhang H, Zhang B-Y, Zhang Q-Y, Zhao D-M, Wang J-M. Phenoxypropylamines: Synthesis and Antiulcer Evaluation. Molecules. 2009; 14(5):1818-1824. https://doi.org/10.3390/molecules14051818

Chicago/Turabian Style

Zhang, Hui, Bao-Yan Zhang, Qian-Yun Zhang, Dong-Mei Zhao, and Jia-Mei Wang. 2009. "Phenoxypropylamines: Synthesis and Antiulcer Evaluation" Molecules 14, no. 5: 1818-1824. https://doi.org/10.3390/molecules14051818

APA Style

Zhang, H., Zhang, B.-Y., Zhang, Q.-Y., Zhao, D.-M., & Wang, J.-M. (2009). Phenoxypropylamines: Synthesis and Antiulcer Evaluation. Molecules, 14(5), 1818-1824. https://doi.org/10.3390/molecules14051818

Article Metrics

Back to TopTop