Novel and Efficient Synthesis of N,N-dialkylamino-O-alkyl-2-(1-methyl-2-oxopropylidene)phosphorohydrazido Oximes. Part 3.
Abstract
:Introduction
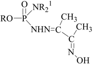
Result and Discussion

| Entry | Dehydrating agent | Solvent | Molar ratio of compound 3:4: dehydrating agents | Converson (%) |
|---|---|---|---|---|
| 1 | Al2O3(neutral) | benzene | 1:1:1 | 32 |
| 2 | Al2O3(basic) | benzene | 1:1:1 | 18 |
| 3 | Al2O3(acidic) | benzene | 1:1:1 | 42 |
| 4 | H3PO3 | benzene | 1:1:0.5 | 17 |
| 5 | ZnCl2 | benzene | 1:1:1 | 19 |
| 6 | DCC | benzene | 1:1:2 | 15 |
| 7 | PTSA | benzene | 1:1:1 | 45 |
| 8 | V2O5-SiO2 | benzene | 1:1:1 | 10 |
| 9 | BiCl3 | benzene | 1:1:1 | 15 |
| 10 | POCl3 | benzene | 1:1:0.5 | 8 |
| 11 | ZnCl2 | benzene | 1:1:1 | 29 |
| 12 | SiO2 | benzene | 1:1:1 | 52 |
| 13 | SiO2 | benzene | 1:1:4 | 78 |
| 14 | SiO2 | benzene | 1:1:6 | 78 |
Conclusions
| Entry | R | R1 | Reaction time (h) | 31P-NMRb | m. p. (°C) | Yieldc (%) |
|---|---|---|---|---|---|---|
| 5a | OC4H9 | C2H5 | 2.8 | 9.95 | 103 | 78 |
| 5b | OC4H9 | C3H7 | 2.9 | 10.11 | 112 | 75 |
| 5c | OC4H9 | iC3H7 | 3.0 | 10.14 | 105 | 83 |
| 5d | OC4H9 | C4H9 | 3.0 | 10.27 | 118 | 86 |
| 5e | OC4H9 | iC4H9 | 3.2 | 9.88 | 121 | 79 |
| 5f | OC3H7 | C2H5 | 2.7 | 10.15 | 110 | 72 |
| 5g | OC3H7 | C3H7 | 2.8 | 10.04 | 120 | 73 |
| 5h | OC3H7 | iC3H7 | 3.0 | 10.03 | 123 | 83 |
| 5i | OC3H7 | C4H9 | 3.0 | 9.98 | 113 | 69 |
| 5j | OC3H7 | iC4H9 | 3.0 | 10.02 | 130 | 81 |
Experimental
General
General procedure for the preparation of N,N-dialkylamino-O-alkyl-2-(1-methyl-2-oxopropylidene)-phosphorohydrazido oximes: N,N-diethylamino-O-butyl-2-(1-methyl-2-oxopropylidene) phosphoro-hydrazido oxime (5a):
Acknowledgments
References
- Alam, M.; Sanduja, R.; Hossain, M. B.; Helm, D. V. Gymnodinium breve toxin. 1. Isolation and X-ray structure of O,O-dipropyl(E)-2-(1-methyl-2-oxoprolidene) phosphorohydrazidothiolate (E) Oxime from the red ride dinoflagellate Gymnodinium breve. J. Am. Chem. Soc. 1982, 104, 5232–5234. [Google Scholar] [CrossRef]
- Dinovi, M.; Trainor, D. A.; Nakanishi, K. The structure of PB-1, an unusual toxin isolated from the red tide dinoflagellate ptychodiscus brevis. Tetrahedron Lett. 1983, 24, 855–858. [Google Scholar]
- Husain, K.; Kaushik, M. P.; Gupta, A. K. Acute toxicity of synthetic Gymnodinium breve Toxin metabolite and its analogues in mice. Ecotox. Environ. Safety 1996, 35, 77–80. [Google Scholar]
- Koley, J.; Basak, A. K.; Das, M.; Sinha, S.; Dubey, S. N.; Majumder, P. K.; Gupta, A. K.; Das Gupta, S.; Koley, B. N. Effect of synthetic toxin of Ptychodiscus brevis on cardio-vascular and renal function. Ind. J. Physiol. Allied Sci. 1997, 51, 119–125. [Google Scholar] Majumder, P. K.; Gupta, A. K.; Kaushik, M. P.; Deo Kumar; Dubey, S. N. Cardio-vascular effects of organophosphates toxin isolated from Ptychodiscus brevis. Biomed. Enviorn. Sci. 1997, 10, 85–92. [Google Scholar] Majumder, P. K.; Gupta, A. K.; Deo Kumar; Kaushik, M. P.; Dubey, S.N. Mechanism of cardiotoxicity induced by a marine toxin isolated from Ptychodiscus brevis. Ind. J. Expt. Bio. 1997, 35, 650–654. [Google Scholar] Majumder, P. K.; Gupta, A. K.; Kumar, Deo; Dubey, S.N. Calcium modulatory properties of o,o-diphenylcyclooctylphosphoramidates from Ptychodiscus brevis in rat atria and smooth muscle. Ind. J. Physiol. Pharmacol. 1997, 41, 257–262. [Google Scholar]
- Eto, M. Organophosphorus Pesticides: Organic and Biological chemistry; CRC Press: Cleveland, Ohio, USA, 1974; Chapter 5. [Google Scholar]
- Kaushik, M. P.; Parashar, B. D.; Swamy, R.V. Synthesis of Gymnodinium breve toxin. Ind. J. Chem. 1988, 27B, 1150–1151. [Google Scholar]
- Kumar, R.; Gupta, A. K.; Kaushik, M. P. A Novel and Efficient Synthesis of N,N-Dialkylaminoisopropyl- and O-alkylisopropyl-2-(1-alkyl-2-oxopropylidene)phosphonohydrazido Oximes - Potential Marine Fish Toxin Analogues. Part 1. Molecules 2007, 12, 1334–1340. [Google Scholar] [CrossRef]
- Kumar, R.; Gupta, A. K.; Kaushik, M. P. Novel and Efficient Synthesis of N,N-Dialkylaminoand O-alkylphenyl-2-(1-alkyl/phenyl-2-oxopropylidene) Phosphonohydrazido Oximes - Potential Marine Fish Toxin Analogues. Part 2. Molecules 2007, 12, 1632–1640. [Google Scholar]
- Kosolapoff, G.M.; Maier, L. Organic phosphorus compounds; Wiley-Interscience: New York, 1976; Volume 7. [Google Scholar]
- Audrieth, L. F.; Gher, R.; Smith, W.C. Nitrogen compounds of the phosphoric and phosphonic acids. 1. Hydrazides of phenylphosphoric and diphenylphosphoric acids. J. Org. Chem. 1955, 20, 1288–1290. [Google Scholar]
- Sample Availability: Contact the authors.
© 2007 by MDPI (http://www.mdpi.org). Reproduction is permitted for noncommercial purposes.
Share and Cite
Kumar, R.; Gupta, A.K.; Kaushik, M.P. Novel and Efficient Synthesis of N,N-dialkylamino-O-alkyl-2-(1-methyl-2-oxopropylidene)phosphorohydrazido Oximes. Part 3. Molecules 2007, 12, 2193-2200. https://doi.org/10.3390/12092193
Kumar R, Gupta AK, Kaushik MP. Novel and Efficient Synthesis of N,N-dialkylamino-O-alkyl-2-(1-methyl-2-oxopropylidene)phosphorohydrazido Oximes. Part 3. Molecules. 2007; 12(9):2193-2200. https://doi.org/10.3390/12092193
Chicago/Turabian StyleKumar, Rajesh, Arvind K. Gupta, and Mahabir P. Kaushik. 2007. "Novel and Efficient Synthesis of N,N-dialkylamino-O-alkyl-2-(1-methyl-2-oxopropylidene)phosphorohydrazido Oximes. Part 3." Molecules 12, no. 9: 2193-2200. https://doi.org/10.3390/12092193
APA StyleKumar, R., Gupta, A. K., & Kaushik, M. P. (2007). Novel and Efficient Synthesis of N,N-dialkylamino-O-alkyl-2-(1-methyl-2-oxopropylidene)phosphorohydrazido Oximes. Part 3. Molecules, 12(9), 2193-2200. https://doi.org/10.3390/12092193

