A New Type of NADH Model Compound: Synthesis and Enantioselective Reduction of Benzoylformates to the Corresponding Mandelates
Abstract
:Introduction

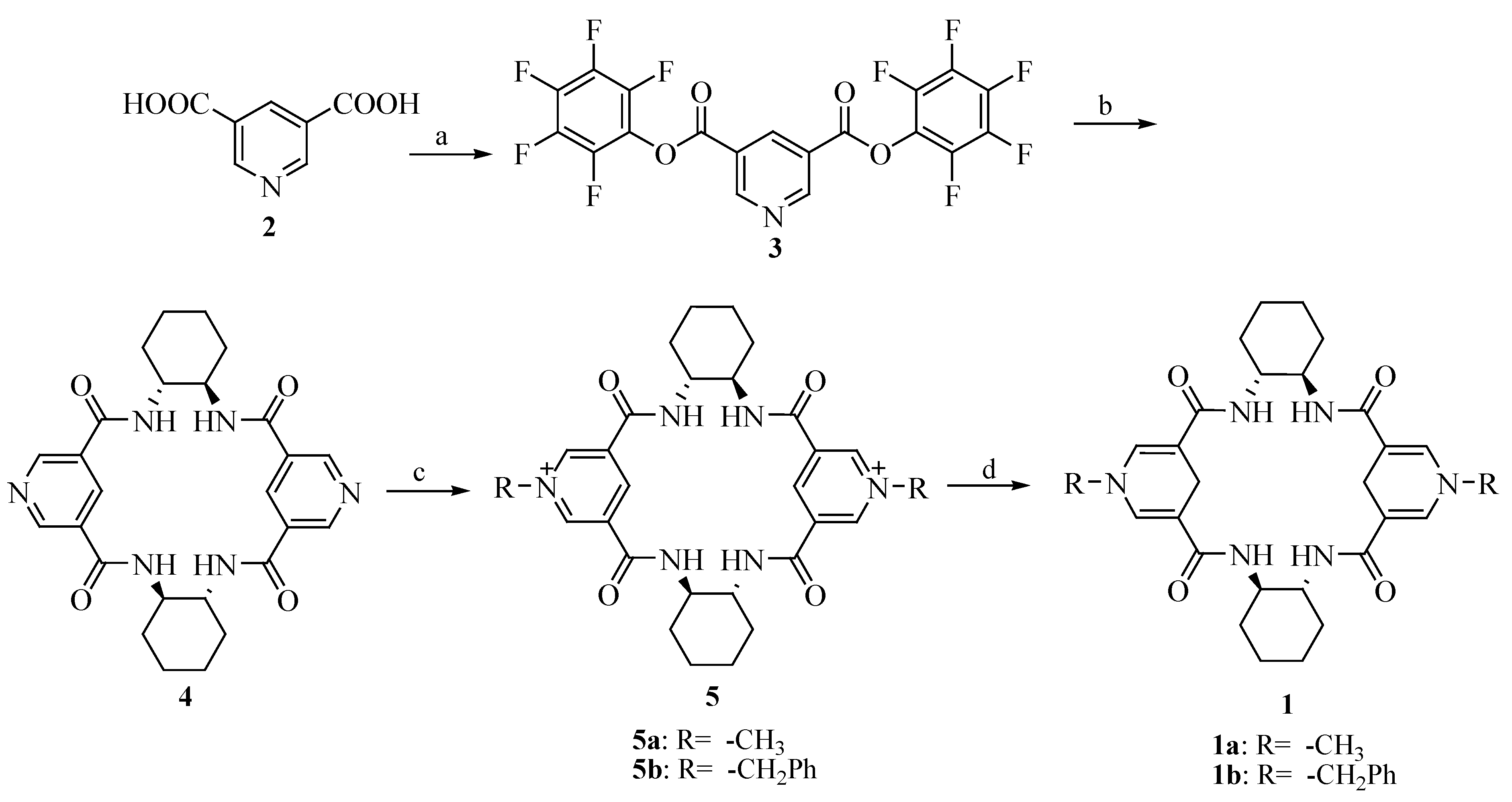
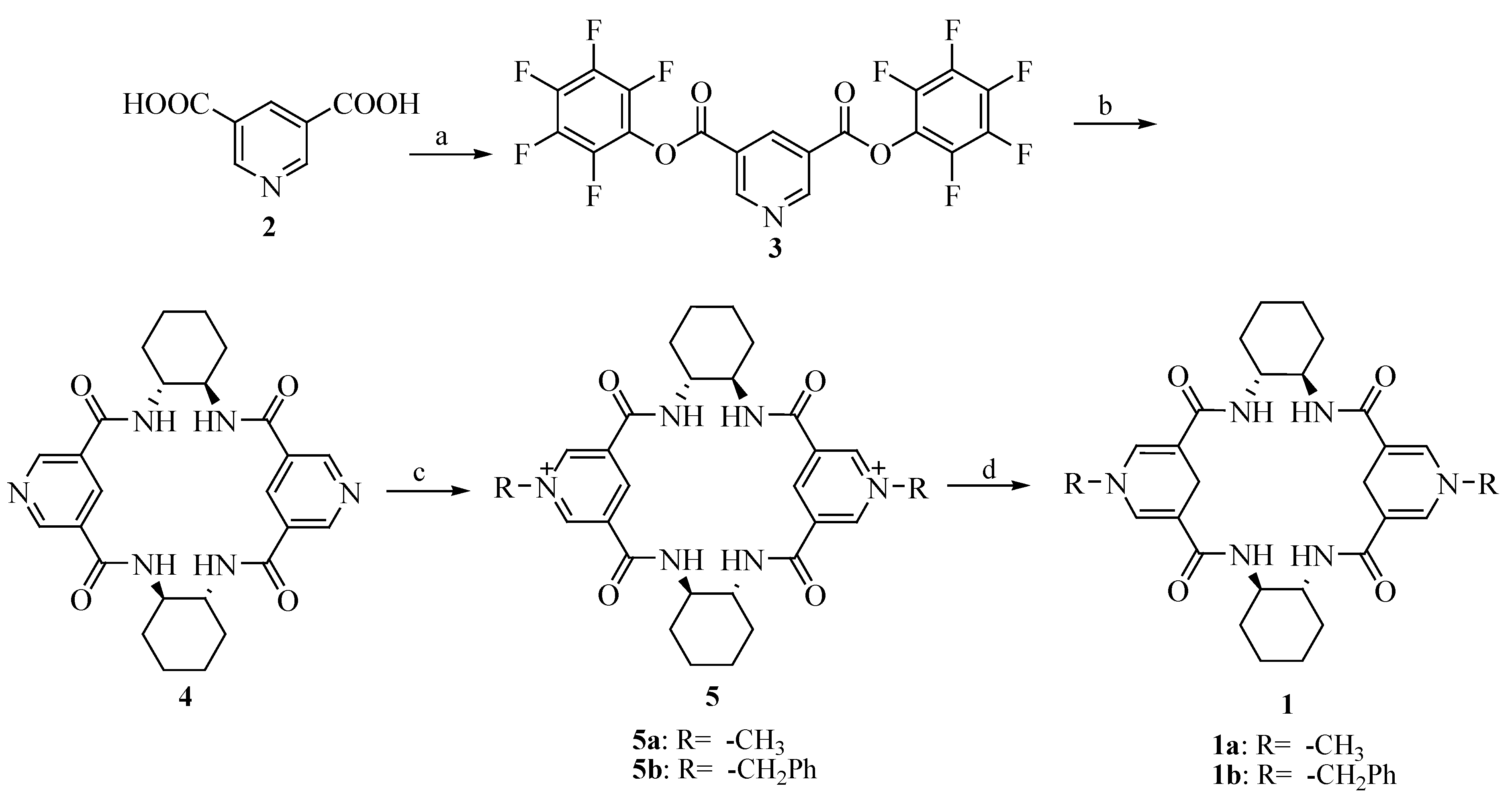
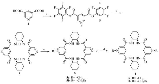
Results and Discussion



| Entry | T (°C) | t | 9 | ||
|---|---|---|---|---|---|
| Ee (%)a | Config. | Yield (%)b | |||
| 1a | RT | 3 d | 68 | R | 98 |
| 1b | RT | 3 d | 70 | R | 96 |
Conclusions
Experimental Section
General
bis(Pentafluorophenyl) pyridine-3,5-dicarboxylate (3)
(4R,9R,19R,24R)-3,10,14,18,25,29-Hexaazapentacyclo[25.3.1.112,16.04,9.019,24]dotriacontane-1(31),12 (32),13,15,27,29-hexaene-2,11,17,26-tetrone (4)
(4R,9R,19R,24R)-14,29-Dimethyl-3,10,14,18,25,29-hexaazapentacyclo[25.3.1.112,16.04,9.019,24]-dotria-conane-1(31),12(32),13,15,27,29-hexaene-2,11,17,26-tetrone iodide (5a)
(4R,9R,19R,24R)-14,29-Dibenzyl-3,10,14,18,25,29-hexaazapentacyclo[25.3.1.112,16.04,9.019,24]dotria-contane-1(31),12(32),13,15,27,29-hexaene-2,11,17,26-tetrone bromide (5b)
(4R,9R,19R,24R)-14,29-Dimethyl-3,10,14,18,25,29-hexaazapentacyclo[25.3.1.112,16.04,9.019,24]dotria-contane-1,12,15,27-tetraene-2,11,17,26-tetrone (1a)
(4R,9R,19R,24R)-14,29-Dibenzyl-3,10,14,18,25,29-hexaazapentacyclo[25.3.1.112,16.04,9.019,24]dotria-contane-1,12,15,27-tetraene -2,11,17,26-tetrone (1b)
General Procedure for the asymmetric reduction of methyl benzoylformate with NADH model compounds 1a-b [2c]


Acknowledgments
References and Notes
- Ohnishi, Y.; Kagami, M.; Ohno, A. Reduction by a Model of NAD(P)H. Effect of Metal Ion and Stereochemistry on the reduction of α-Keto Esters by 1,4-Dihydronicotinarnide Derivatives. J. Am. Chem. Soc. 1975, 97, 4766–4768. [Google Scholar]
- Eisner, U.; Kuthan, J. The Chemistry of Dihydropyridines. Chem. Rev. 1972, 72, 1–42. [Google Scholar] Stout, D. M.; Meyers, A. I. Recent Advances in the Chemistry of Dihydropyridines. Chem. Rev. 1982, 82, 223–243. [Google Scholar] Burgess, V. A.; Davies, S. G.; Skerlj, R. T. NADH mimics for the stereoselective reduction of benzoylformates to the corresponding mandelates. Tetrahedron: Asymmetry 1991, 2, 299–328. [Google Scholar] Murakami, Y.; Kikuchi, J.-i.; Hisaeda, Y.; Hayashida, O. Artificial Enzymes. Chem. Rev. 1996, 96, 721–758. [Google Scholar] Wang, N. -X.; Zhao, J. Progress in Coenzyme NAD(P)H Model Compounds. Chin. J. Org. Chem. 2006, 26, 775–782. [Google Scholar] Xu, H.-J.; Liu, Y.-C.; Fu, Y.; Wu, Y.-D. Catalytic Hydrogenation of α,β-Epoxy Ketones to Form β-Hydroxy Ketones Mediated by an NADH Coenzyme Model. Org. Lett. 2006, 8, 3449–3451. [Google Scholar]
- Burgess, V. A.; Davies, S. G.; Skerlj, R. T. Chiral organometallic NADH mimics: stereoselective reduction of ethyl benzoylformate utilising the homochiral auxiliary [(η5-C5H5)Fe(CO)(PPh3)] at C-3 and a chiral β-hydroxy-carboxamide derived from valinol at C-5. J. Chem. Soc, Chem. Commun. 1990, 1759–1762. [Google Scholar] Combret, Y.; Torché, J. J.; Binay, B.; Dupas, G.; Bourguignon, J.; Quéguiner, G. Asymmetric Reductions with Freely and Non-freely Rotating Amide Group NADH Models. Chem. Lett. 1991, 20, 125–128. [Google Scholar] Combret, Y.; Duflos, Y.; Dupas, G.; Bourguignon, J.; Quéguiner, G. Variations of the nature of the chiral auxiliary with a highly enantioselective chiral NADH model. Tetrahedron: Asymmetry 1993, 4, 1635–1644. [Google Scholar] Combret, Y.; Duflos, J.; Dupas, G.; Bourguignon, J.; Quéguiner, G. An approach to features responsible for the obtention of high e.e. with a highly enantioselective NADH model. Tetrahedron 1993, 49, 5237–5246. [Google Scholar] Bédat, J.; Levacher, V.; Dupas, G.; Quéguiner, G.; Bourguignon, J. Chiral NADH Models in the Pyrido[3,2-c]azepin Series. Conformational Effect of the Carbonyl Group in the Stereocontrol of Reductions. Chem. Lett. 1996, 25, 359–360. [Google Scholar] Obika, S.; Nishiyama, T.; Tatematsu, S.; Miyashita, K.; Iwata, C.; Imanishi, T. Studies on novel and chiral 1,4-dihydropyridines. III. Asymmetric reduction of some ketones with novel NADH model compounds, (SS)-3-(p-Tolylsulfinyl)-1,4-dihydropyridines. Tetrahedron 1997, 53, 593–602. [Google Scholar] Li, J.; Liu, Y.-C.; Deng, J.-G. Asymmetric reduction of 2-bromo-1-phenylethylidenemalononitrile with chiral NAD(P)H models. Tetrahedron: Asymmetry 1999, 10, 4343–4347. [Google Scholar] Stéphane, G.; Cyril, P.; Francis, M.; Georges, D.; Vincent, L. Preparation of 1,4-Dihydroquinolines Bearing a Chiral Sulfoxide Group: New Highly Enantioselective Recyclable NADH Mimics. Synlett. 2005, 3, 441–444. [Google Scholar] Xie, K.; Liu, Y.-C.; Cui, Y.; Wang, J.-G.; Fu, Y.; Mak, T. C. W. N-Methyl-(R)-3-(tert-Butyl)-Sulfinyl-1,4-Dihydropyridine: A Novel NADH Model Compound. Molecules 2007, 12, 415–422. [Google Scholar]
- Ohno, A.; Ikeguchi, M.; Kimura, T.; Oka, S. Asymmetric reduction of methyl benzoylformate with a chiral NAD(P)H-model compound. J. Chem. Soc., Chem. Commun. 1978, 328–329. [Google Scholar] Ohno, A.; Ikeguchi, M.; Kimura, T.; Oka, S. Reduction by a Model of NAD(P)H. 25. A Chiral Model Which Induces High Asymmetry. J. Am. Chem. Soc. 1979, 101, 7036–7040. [Google Scholar] De Kok, P. M. T.; Bastiaansen, L. A. M.; Van Lier, P. M.; Vekemans, J. A. J. M.; Buck, H. M. Highly Reactive and Stereoselective (R)- and (S)-3-(N,N-Dimethylcarbamoy1)-1,2,4-trimethy1-1,4-dihydro-pyridines for NADH-NAD+ Mimicry. J. Org. Chem. 1989, 54, 1313–1320. [Google Scholar] Li, X.; Tanner, D. D. A new type of NADH model compound: Synthesis and reactions. Tetrahedron Lett. 1996, 37, 3275–3278. [Google Scholar] Ling, R.; Yoshida, M.; Mariano, P. S. Exploratory Investigations Probing a Preparatively Versatile, Pyridinium Salt Photoelectrocyclization-Solvolytic Aziridine Ring Opening Sequence. J. Org. Chem. 1996, 61, 4439–4449. [Google Scholar]
- De Vries, J. G.; Kellogg, R. M. Asymmetric Reductions with a Chiral 1,4-Dihydropyridine Crown Ether. J. Am. Chem. Soc. 1979, 101, 2759–2761. [Google Scholar] Jouin, P.; Troostwijk, C. B.; Kellogg, R. M. Asymmetric Reductions with 1,4-Dihydropyridines Contained in Chiral Macrocycles. J. Am. Chem. Soc. 1981, 103, 2091–2093. [Google Scholar] Seki, M.; Baba, N.; Oda, J.; Inouye, Y. High Enantioselectivity in Reductions with a Chiral Bis(NADH) Model Compound. J. Am. Chem. Soc. 1981, 103, 4613–4615. [Google Scholar] Skog, K.; Wennerström, O. Antarafacial hydride transfer in a new chiral NADH model with C2-symmetry. Tetrahedron Lett. 1992, 33, 1751–1754. [Google Scholar] Skog, K.; Wennerström, O. The macrocyclic host with four nicotineamide subunits: Hydride transfer from a dihydronicotineamide guest in water. Tetrahedron Lett. 1995, 36, 4629–4632. [Google Scholar] Kuroda, Y.; Seshimo, H.; Kondo, T.; Shiba, M.; Ogoshi, H. Syntheses and redox behavior of novel cyclic hosts having multiple redox centers of NAD+ analogue. Tetrahedron Lett. 1997, 38, 3939–3942. [Google Scholar] Gran, U.; Wennerström, O.; Westman, G. Host–guest properties of NAD+/NADH models. Tetrahedron 2001, 57, 8897–8902. [Google Scholar] Gran, U. Synthesis of a new and versatile macrocyclic NADH model. Tetrahedron 2003, 59, 4303–4308. [Google Scholar]
- Although (1R,2R)-diaminocyclohexane is commercially available, it can be readily obtained on a large scale from a mixture of cis- and trans-1,2-diaminocyclohexane: Larrow, J. F.; Jacobson, E. N.; Gao, Y.; Hong, Y.-P. Nie, X.-Y.; Zepp, C. M. A Practical Method for the Large-Scale Preparation of [N,N’-Bis(3,5-di-tert-butylsalicy1idene)-1,2-cyclohexanediaminato2(-)]manganese (111) Chloride, a Highly Enantioselective Epoxidation Catalyst. J. Org. Chem. 1994, 59, 1939–1942.
- Sample Availability: Samples of the compounds described in this paper are available from the authors.
© 2007 by MDPI (http://www.mdpi.org). Reproduction is permitted for noncommercial purposes.
Share and Cite
Zhao, J.; Wang, N.-X.; Wang, W.-W.; Liu, Y.-H.; Li, L.; Wang, G.-X.; Yu, J.-L.; Tang, X.-L. A New Type of NADH Model Compound: Synthesis and Enantioselective Reduction of Benzoylformates to the Corresponding Mandelates. Molecules 2007, 12, 979-987. https://doi.org/10.3390/12050979
Zhao J, Wang N-X, Wang W-W, Liu Y-H, Li L, Wang G-X, Yu J-L, Tang X-L. A New Type of NADH Model Compound: Synthesis and Enantioselective Reduction of Benzoylformates to the Corresponding Mandelates. Molecules. 2007; 12(5):979-987. https://doi.org/10.3390/12050979
Chicago/Turabian StyleZhao, Jia, Nai-Xing Wang, Wu-Wei Wang, Yan-Hong Liu, Li Li, Gui-Xia Wang, Jin-Lan Yu, and Xin-Liang Tang. 2007. "A New Type of NADH Model Compound: Synthesis and Enantioselective Reduction of Benzoylformates to the Corresponding Mandelates" Molecules 12, no. 5: 979-987. https://doi.org/10.3390/12050979
APA StyleZhao, J., Wang, N.-X., Wang, W.-W., Liu, Y.-H., Li, L., Wang, G.-X., Yu, J.-L., & Tang, X.-L. (2007). A New Type of NADH Model Compound: Synthesis and Enantioselective Reduction of Benzoylformates to the Corresponding Mandelates. Molecules, 12(5), 979-987. https://doi.org/10.3390/12050979
