Next Article in Journal
An Efficient and Selective Solvent-free Oxidation of Alcohols by Shaking with Chromium Trioxide Supported on Aluminium Silicate
Previous Article in Journal
Regioselective Synthesis of Vinylic Derivatives of Common Monosccarides Through Their Activated Stannylene Acetal Intermediates
 
 
Font Type:
Arial Georgia Verdana
Font Size:
Aa Aa Aa
Line Spacing:
Column Width:
Background:
Article

Highly Lipophilic Benzoxazoles with Potential Antibacterial Activity

by
Jarmila Vinsova
1,*,
Václav Horak
2,
Vladimir Buchta
3 and
Jarmila Kaustova
4
1
Department of Inorganic and Organic Chemistry, Faculty of Pharmacy Charles University, 500 05 Hradec Králové, The Czech Republic
2
Georgetown University, Washington DC 20057-1227, USA
3
Department of Biological and Medical Sciences, Faculty of Pharmacy, Charles University, Prague, Czech Republic
4
National Reference Laboratory for Mycobacterium Kansasii, Regional Institute of Hygiene, Ostrava, The Czech Republic
*
Author to whom correspondence should be addressed.
Molecules 2005, 10(7), 783-793; https://doi.org/10.3390/10070783
Submission received: 9 November 2004 / Revised: 4 March 2005 / Accepted: 10 March 2005 / Published: 31 August 2005

Abstract

:
A series of lipophilic 2-substituted 5,7-di-tert-butylbenzoxazoles was prepared in average yields by the reaction of 3,5-di-tert-butyl-1,2-benzoquinone with amino acids and dipeptides bearing N-terminal glycine. Dipeptides having other N-terminal amino acids undergo oxidative deamination. 5,7-Di-tert-butylbenzoxazoles have shown activity against Mycobacterium tuberculosis and some nontuberculous strains where isoniazid has been inactive. Antifungal activity was mediocre.

Introduction

The objectives of this study were the preparation and biological testing of some highly lipophilic 2-substituted-5,7-di-tert-butyl-benzoxazoles. Such lipophilicity may permit their easier penetration through the lipophilic mycobacterial cell walls. Benzoxazoles have been extensively studied for their antibacterial and antifungal activity [1,2], anticancer activity [3], and also as new non-nucleoside topoisomerase I poisons [4] and HIV-1 reverse transcriptase inhibitors [5,6]. Benzoxazoles are also interesting fluorescent probes which show high Stokes shift and present thermal and photophysical stability due to an excited state intramolecular proton transfer mechanism [7]. They interfere with the biosynthesis of coloured carotenoids by inhibiting the enzyme phytoene desaturase so they are studied as potential bleaching herbicides [8]. Benzoxazoles can be considered as structural isosteres of the naturally occurring nucleic bases adenine and guanine, which allow them to interact easily with polymers of living systems. They have shown low toxicity in warm-blooded animals [9].
For preparation of 2-substituted-5,7-di-tert-butylbenzoxazoles the method of choice involves reactions of 3,5-di-tert-butyl-1,2-benzoquinone (DTBBQ) with primary alkyl primary amines, amino acids and some of their derivatives [10]. From di- and oligopeptides those with glycine at the N-terminal also form the desired products.

Results and Discussion

Amino acids (Gly, Ala, Phe, Pgl, Val, Leu, Met, Tyr, Trp) and some of their derivatives such as glycinamide and tryptamine produced with DTBBQ the benzoxazole derivatives 2a-j in average yields. Lysine reacted with both amino groups to form the bis(benzoxazole) derivative 2k. The reaction occurred under mild conditions in ethanol (60-96 %) at a temperature of 50 °C. TLC on silica gel showed a complex mixture of products that were separated by preparative TLC on silica gel plates or by flash column chromatography. All products were characterized by NMR, UV-Vis, IR spectra, elemental analyses and calculated LogP. UV-Vis absorption bands (typical values for 2b: 208, 236, 274 nm) are useful for benzoxazole identification.
Scheme 1.
Scheme 1.
Molecules 10 00783 g001
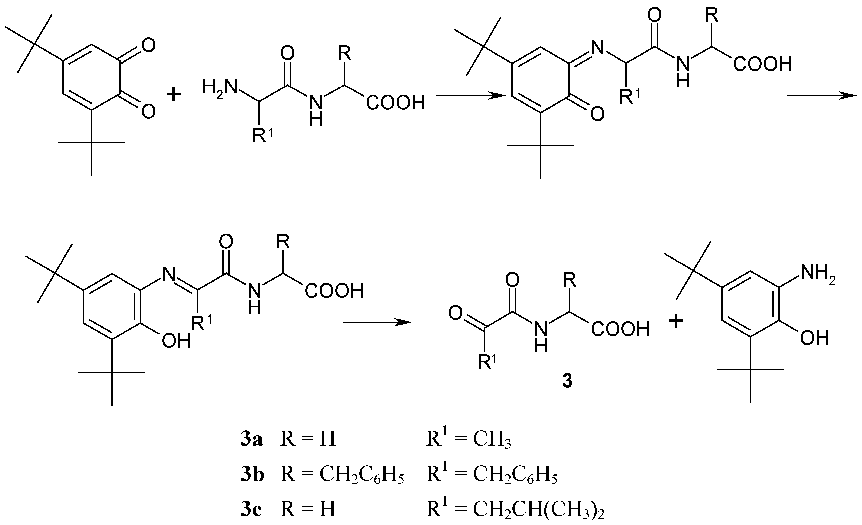
The formation of the target compounds from amino acids and DTBBQ is a multistep process that involves a sequence of consecutive reactions in which the intermediates cannot be detected to confirm the proposed reaction scheme (Scheme 1). In the first step the amino group is added to the less hindered carbonyl group in the position 1 of DTBBQ, followed by dehydration and formation of both E/Z isomeric quinone imines. The unstable quinone imines rearrange spontaneously into a mixture of two E/Z isomeric Schiff bases that cyclize into a mixture of two 2,3-dihydrobenzoxazole stereoisomers. The latter is dehydrogenated by a second molecule of DTTBQ into a benzoxazole with loss of carbon dioxide (for a review see [10]). The needed amount of the DTBBQ was produced by air oxidation from the 3,5-di-tert-butylbenzene-1,2-diol produced from DTBBQ during the dehydrogenation process. The main reaction sequence is accompanied by the formation of highly coloured by-products, especially 2,4,6,8-tetra-tert-butylphenoxazine-1-one [11], which complicate isolation of pure benzoxazoles. Formation of these pigments originates in the reaction of the Schiff base or its hydrolysis product, 2-amino-3,5-di-tert-butylphenol, with DTBBQ (Scheme 2).
Scheme 2.
Scheme 2.
Molecules 10 00783 g002
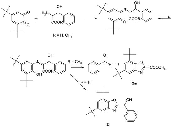
Phenylserine (R = H) produces the corresponding benzoxazole 2l as the product, while phenylserine methyl ester (R = CH3) reacts in a different way. The latter produces benzoxazole 2m in a reaction involving C-C bond cleavage, in accordance with our previous results with 2-aminoethanol derivatives carrying benzylic hydroxyls [12] (Scheme 3).
Scheme 3.
Scheme 3.
Molecules 10 00783 g003
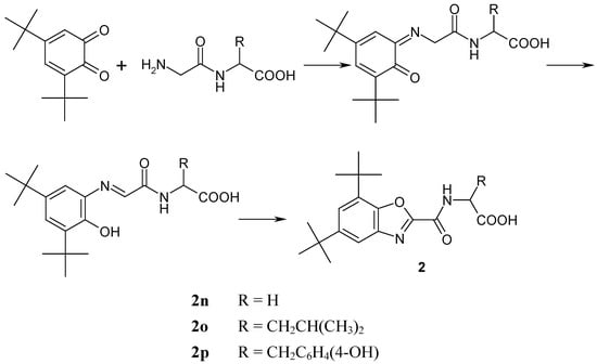
Dipeptides with N-terminal glycine (Gly-Gly, Gy-Leu, Gly-Tyr) afforded benzoxazole derivatives 2n, 2o, 2p (Scheme 4).
Scheme 4.
Scheme 4.
Molecules 10 00783 g004
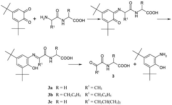
As expected, dipeptides carrying at the N-terminal an amino acid other than glycine (Ala-Gly, Phe- Phe and Leu-Gly) underwent Correy´s oxidative deamination [13] with formation of ketoacylamino acids 3a, 3b, 3c, (Scheme 5). Two of them were characterized by their 2,4-dinitrophenylhydrazones 4a, 4b (Scheme 6).
Scheme 5.
Scheme 5.
Molecules 10 00783 g005
Scheme 6.
Scheme 6.
Molecules 10 00783 g006

Biological activity

Antimycobacterial activity was evaluated against a set of four mycobacterium strains: Mycobacterium tuberculosis CNCTC My 331/88, Mycobacterium kansasii CNCTC My 235/80, M. kansasii 6509/96 and Mycobacterium avium CNCTC My 330/88 using the micro method for determination of the minimum inhibitory concentration (MIC), the lowest concentration of a substance, at which the inhibition of growth of mycobacteria occurred. The following concentrations were used: 1000, 500, 250, 125, 62.5, 32, 16, 8 and 4 μmol·L-1. Results of the tests are shown in Table 1. The tested compounds have shown promising activity, ranging from 16 μmol·L-1 to 500 μmol·L-1. The most active was the benzoxazole 4-(5,7-di-tert-butylbenzoxazole-2-yl-methyl)-phenol (2h).
Table 1. In vitro antimycobacterial activity of compounds expressed as MIC (μmol·L-1)
Table 1. In vitro antimycobacterial activity of compounds expressed as MIC (μmol·L-1)
CompoundStrains
Mycobacterium kansasii 6 509/96 conc. 10-4Mycobacterium kansasii My 235/80 conc. 10-4Mycobacterium avium My 330/88 conc. 10-5Mycobacterium tuberculosis My 331/88 conc. 10-3
Time7d14 d21 d7d14 d21 d7d14 d14 d21 d
2e500100010005001252501000>1000500500
2h163262.53262.5125250500125125
2i62.512512562.5125500250250250250
2j62.562.562.562.5125125125250125125
2n25050050025050050010001000500500
2o12550050025050010001000500250250
2p500100010001000100010001000>10005001000
INH224>250>250>250>250>2500.5a1.0a
a conc. 10-4
The in vitro antifungal activity was tested against Candida albicans ATCC 44859 (CA), Candida tropicalis 156 (CT), Candida krusei E28 (CK), Candida glabrata 20/I (CG), Trichosporon beigelii 1188 (TB), Trichophyton mentagrophytes 445 (TM), Aspergillus fumigatus 231 (AF) and Absidia corymbifera 272 (AC) by using the microdilution broth test [14]. All strains, except CA were clinical isolates, identified by conventional morphological and biochemical methods. All the studied compounds were nearly inactive in concentrations of less than 500 μmol·L-1 MIC against all strains, with the exception of compound 2j, which showed 62.5 μmol·L-1 MIC against CA and 125 μmol·L-1 MIC against AC.

Conclusions

Preliminary biological evaluation has shown that a number of our newly synthesised highly lipophilic benzoxazole derivatives possess antimycobacterial activity. This included activity against nontuberculous mycobacteria such as Mycobacterium kansasii isolated from a clinical isolate and Mycobacterium avium, where isoniazid is inactive. The possible improvement of the antituberculotic properties of these structures, through the modulation of the benzoxazole substitution and/or further functionalisation warrants further investigation. Antifungal testing against selected strains has not shown any significant activity.

Acknowledgements

This work was supported by the Grant IGA MZ 1A/8238-3 and MSM 002120822.

Experimental

General

Chemicals were purchased from Aldrich. Melting points (uncorrected) were determined on a Kofler block. Elemental analyses were performed on CHNS-O CE instrument (FISONS EA 1110) and were within ±0.4 % of calculated values. UV spectra were measured on Polarimeter ADP 220 (BS Bellingham Stanley Ltd.). IR spectra were recorded on Nicolet Impact 400 spectrometer in KBr pellets, Nujol mulls or CHCl3 solutions. NMR spectra were measured in CDCl3 or DMSO-d6 solutions at ambient temperature in a Varian Mercury-VxBB 300 spectrometer operating at 300 MHz. The chemical shifts δ are given in ppm related to tetramethylsilane (TMS) as internal standard. The coupling constants (J) are reported in Hz. Log P was calculated by using ChemDraw Ultra version 6.0.1. The reactions were monitored and the purity of the products was checked by TLC (Silufol UV 254, Kavalier Votice, Czech Republic and Merck TLC plates silica gel 60 F254, aluminium back) usually with ethyl acetate – light petroleum ether (1:9) or ethyl acetate-toluene (1:4) as eluents. The plates were visualized using UV light, iodine fumes, or carbonyl group detection by reaction with 2,4-dinitrophenylhydrazine. Preparative TLC was carried out on silica gel 60 F254 (0.015 –0.040 mm, Merck). Silica gel 60 (0.015-0.040 mm, Merck) was used for column chromatography.

General synthesis procedure

Amino acid (dipeptide) (1 mmol) and DTBBQ (1 mmol) were dissolved in ethanol (50 mL, 60 - 96%) and heated for 5 hrs at 50 °C. The solvent was removed and the residue separated by column chromatography or repeatedly by preparative TLC on 20 x 20 cm plates developed with mixtures of ethyl acetate-petroleum ether (EA-PE), ethyl acetate- toluene (EA-Tol) or petroleum ether-diethyl ether (PE-E) in the appropriate ratios. Purity of isolated layers was checked by TLC using a minimum of two types of developing solvents.
5,7-Di-tert-butylbenzoxazole (2a). C15H21NO = 231.33; Yield 45 %; m.p. 50 °C (lit [15] m.p. 53-55 °C); prep. TLC (EA-PE 1:9) Rf = 0.32, TLC (CHCl3-MeOH 9:1) Rf = 0.71; ( MeOH - H 2 O ) value ? ; IR (CHCl3) νmax 2961, 2908, 2870 (C-H), 1616, 1520 (C=N), 1482 (C=C), 1392, 1365 (CH3) cm-1; 1H-NMR (CDCl3) δ 8.08 (s, 1H, Ar); 7.66 (d, 1H, J=1.65 Hz, Ar), 7.34 (d, 1H, J=1.65 Hz, Ar); 1.49 (s, 9H, CH3), 1.39 (s, 9H, CH3); 13C-NMR (CDCl3) δ 152.02, 147.70, 140.27, 134.09, 119.86, 114.56, 35.02, 34.37, 31.80, 29.83; UV (EtOH) 211, 236, 275 nm; cLogP 5.068.
5,7-Di-tert-butyl-2-methylbenzoxazole (2b). C16H23NO = 245.18; Yield 72 %; m.p. 58-61 °C; prep. TLC PE-E (1:1) Rf = 0.64; TLC CH2Cl2 Rf = 0.13, CHCl3-MeOH (9:1) Rf = 0.75, EA-PE (9:1) Rf = 0.28; IR (KBr) νmax 2955, 2906, 2869 (C-H), 1608, 1582 (C=N), 1483, 1466 (C=C), 1394, 1363 (CH3), 873, 843 (Ar-H) cm-1; 1H-NMR (CDCl3) δ 7.51 (d, 1H, J=1.92 Hz, Ar), 7.23 (d, 1H, J=1.92 Hz, Ar), 2.63 (s, 3H, CH3), 1.47 (s, 9H, CH3), 1.38 (s. 9H, CH3); 13C-NMR (CDCl3) δ 163.10, 147.11, 141.67, 133.35, 118.66, 113.59, 34.96, 34.36, 31.82, 29.88, 14.63; M+ = 245 m/e; UV(EtOH) 208, 236, 274 nm; cLogP 5.336.
5,7-Di-tert-butyl-2-phenylbenzoxazole (2c). C21H25NO = 307.43; Yield 68 %; m.p. 59-60 °C (EtOH), lit [16] m.p. 60-61 °C (MeOH); prep. TLC EA-PE (1:9) Rf = 0.52; TLC EA-Tol (1:4) Rf = 0.80; IR (KBr) νmax 2957, 2907, 2868 (C-H), 1624, 1557 (C=N), 1482 (C=C), 1391, 1362 (CH3), 863, 706 (Ar- H) cm-1; 1H-NMR (CDCl3) δ 8.30–8.23 (m, 2H, Ar); 7.67 (d, 1H, J = 1.79 Hz, Ar); 7.57–7.50 (m, 3H, Ar); 7.32 (d, 1H, J=1.79 Hz, Ar); 1.56 (s, 9H, CH3); 1.41 (s, 9H, CH3); 13C-NMR (CDCl3) δ 162.45, 147.72, 146.91, 142.28, 133.70, 131.17, 128.86, 127.51, 127.38, 119.54, 114.20, 35.07, 34.46, 31.81, 30.01; UV (EtOH) 207, 239, 296 nm; cLogP 7.165.
5,7-Di-tert-butyl-2-benzylbenzoxazole (2d). C22H27NO = 321.46; Yield 73 %; oil; prep. TLC EA-PE (1:9) Rf = 0.18; IR (Nujol) νmax 1605, 1575 (C=N), 1582 (C=C), 1391, 1360 (CH3), 868, 849, 722 (Ar- H) cm-1; 1H-NMR (CDCl3) δ 7.55 (d, 1H, J=1.92 Hz, Ar), 7.42-7.27 (m, 5H, Ar), 7.25 (d, 1H, J=1.93 Hz, Ar), 4.27 (s, 2H, CH2), 1.45 (s, 9H, SH3), 1.36 (s, 9H, CH3); 13C-NMR (CDCl3) δ 164.65, 147.32, 147.21, 142.86, 135.28, 133.58, 128.91, 127.13, 119.00, 113.92, 35.29, 34.35, 31.79, 31.57, 29.60; UV (EtOH) 211, 238, 276 nm; cLogP 6.904.
5,7-Di-tert-butyl-2-(1-methyl)ethylbenzoxazole (2e). C18H27NO = 273.21; Yield 52.6 %; oil; prep. TLC EA-PE (1:9) Rf = 0.55, then PE-E (1:1) Rf = 088; IR (KBr) νmax 2958, 2907, 2871 (C-H), 1608, 1574 (C=N), 1482 (C=C), 1390, 1363 (CH3), 869, 837 (Ar-H) cm-1; 1H-NMR (CDCl3) δ 7.58 (d, 1H, J=1.79 Hz, Ar), 7.25 (d, 1H, J=1.79 Hz, Ar), 3.34-3.18 (m, 1H, CH), 1.48 (s, 9H, CH3), 1.46 (d, 6H, J=7.69, CH3), 1.37 (s, 9H, CH3); 13C-NMR (CDCl3) δ 170.75, 147.24, 146.86, 141.02, 133.48, 118.75, 113.75, 34.99, 34.36, 31.82, 29.87, 28.79, 20.35; UV (EtOH) 208, 236, 276 nm; cLogP 6.264.
5,7-Di-tert-butyl-2-(2-methyl)propylbenzoxazole (2f). C19H29NO = 287.44; Yield 34 %; oil; prep. TLC EA-PE (1:9) Rf = 0.87; IR (CHCl3) νmax 2959, 2908, 2871 (C-H), 1607, 1575 (C=N), 1482 (C=C), 1392, 1364 (CH3), 868 (Ar-H) cm-1; 1H-NMR (CDCl3) δ 7.54 (d, 1H, J=1.79 Hz, Ar), 7.24 (d, 1H, J=1.79 Hz, Ar), 2.81 (d, 2H, J=7.14 Hz, CH2), 2.38-2.19 (m, 1H, CH), 1.48 (s, 9H, CH3), 1.37 (s, 9H, CH3), 1.05 (d, 6H, J=6.6 Hz, CH3); 13C-NMR (CDCl3) δ 165.95, 147.07, 141.52, 133.42, 118.64, 113.72, 37.58, 34.98, 34.35, 31.83, 29.87, 27.56, 22.42; UV (EtOH) 212, 237, 275 nm; cLogP 6.793.
5,7-Di-tert-butyl-2-(2-methylthioethyl)-benzoxazole (2g). C18H27NOS = 305.48; Yield 67.3 %; m.p. 95 °C; column chromatography EA-PE (0.5:9.5), then prep. TLC EA-PE (2:8) Rf = 0.45; IR (CHCl3) νmax 2966, 2921, 2910, 2871 (C-H), 1606, 1574 (C=N), 1482 (C=C), 1393, 1365 (CH3) cm-1; 1H-NMR (CDCl3) δ 7.55 (d, 1H, J=1.92 Hz, Ar), 7.25 (d, 1H, J=1.92 Hz, Ar), 3.28-3.20 (m, 2H, CH2), 3.07- 2.99 (m, 2H, CH2), 2.17 (s, 3H, CH3), 1.47 (s, 9H, CH3), 1.36 (s, 9H, CH3); 13C-NMR (CDCl3) δ 142.13, 142.07, 140.54, 135.59, 115.95, 110.36, 34.89, 34.40, 31.63, 29.74, 15.60; UV (EtOH) 213, 238, 275 nm; cLogP 5.634.
4-(5,7-Di-tert-butylbenzoxazol-2-yl-methyl)-phenol (2h). C22H27NO2 = 337.46; Yield 35.7 %; m.p. 121-123 °C (EtOH/H2O); TLC EA-PE (1:9) Rf = 0.64; IR (KBr) νmax 3440 (O-H), 2959, 2906, 2869 (C-H), 1615, 1517(C=N), 1479 (C=C), 1392, 1363 (CH3), 834, (Ar-H) cm-1; 1H-NMR (CDCl3) δ 7.53 (d, 1H, J=1.92 Hz, Ar), 7.26 (d, 1H, J=1.92 Hz, Ar), 7.17-7.10 (m AA´BB´, 2H, Ar), 6.73-6.67 (m, AA´BB´, 2H, Ar), 4.18 (s, 2H, CH2), 1.47 (s, 9H, CH3), 1.34 (s, 9H, CH3); 13C-NMR (CDCl3) δ 165.72, 155.51, 147.64, 147.01, 140.84, 133.73, 130.05, 126.13, 119.20, 115.91, 113.58, 35.01, 34.38, 34.35, 31.47, 29.89; UV (EtOH) 217, 279, 328 nm; cLogP 6.237.
5,7-Di-tert-butyl-2-[1H-indol-3-yl(methyl)]-benzoxazole (2i). C24H28N2O = 360.49; Yield 82%; M.p.: 159-161 °C (EtOH/H2O); column chromatography PE-CH2Cl2 (2:8), then EA-PE (1:9) Rf = 0.57; IR (KBr) νmax 3390 (N-H), 2963, 2906, 2870 (C-H), 1617, 1575 (C=N), 1481, 1458 (C=C), 1391, 1363 (CH3), 871, 845 (Ar-H) cm-1; 1H-NMR (CDCl3) δ 8.28 (bs, 1H, NH), 7.75 (d, 1H, J=7.7 Hz, Ar), 7.55 (d, 1H, J=1.9 Hz, Ar), 7.37-7.32 (m, 1H, Ar), 7.24 (d, 1H, J=1.9 Hz, Ar), 7.23-7.10 (m, 3H, Ar), 4.44 (s, 2H, CH2), 1.46 (s, 9H, CH3), 1.35 (s, 9H, CH3); 13C-NMR (CDCl3) δ 165.21, 147.27, 147.09, 141.30, 136.16, 133.56, 126.99, 122.89, 122.23, 119.64, 118.92, 113.81, 111.17, 109.48, 34.98, 34.35, 31.80, 29.90, 25.38; UV (EtOH) 223, 242, 276 nm; cLogP 6.894.
5,7-Di-tert-butylbenzoxazole-2-carboxamide (2j). C16H22N2O2= 274.17; Yield 61 %; m.p. 193-194 °C (EtOH); column chromatography in Tol, then EA-Tol (1:4), TLC Rf = 0.2; TLC EA-PE (1:9) Rf = 0.52; IR (KBr) νmax 2961, 2907, 2871(C-H), 1701(C=N), 1619, 1600 (C=N), 1546 (C=N), 1483 (C=C), 1395, 1364 (CH3), 870, 841 (Ar-H) cm-1; 1H-NMR (CDCl3) δ 7.63 (d, 1H, J=1.64 Hz, Ar), 7.44 (d, 1H, J=1.64 Hz, Ar), 7.25 (bs, 1H, NH2), 6.42 (bs, 1H, NH2), 1.51 (s, 9H, CH3), 1.38 (s, 9H, CH3); 13C-NMR (CDCl3) δ 157.70, 154.50, 148.96, 140.51, 135.20, 122.11, 115.04, 35.150, 34.57, 31.68, 29.92; UV (EtOH) 213, 231, 274 nm; cLogP 4.566.
1,3-Bis(5,7-di-tert-butylbenzoxazol-2-yl)propane (2k). C33H46N2O2=502,73; Yield 38 %; m.p. 155-157 °C (EA-PE); prep. TLC EA-PE (1:9) Rf = 0.68; TLC Tol-EA (4:1) Rf = 0.83; IR (KBr) νmax 2957, 2906, 2869 (C-H), 1607, 1574 (C=N), 1482 (C=C), 1403, 1363 (CH3), 869, 769 (Ar-H) cm-1; 1H-NMR (CDCl3) δ: 7.55 (d, 2H, J=2.29 Hz, Ar), 7.25 (d, 2H, J=2.29 Hz, Ar), 3.13 (t, 4H, J=7.41 Hz, CH2), 2.56-2.44 (m, 2H, CH2), 1.46 (s, 18H, CH3), 1.37 (s, 18H, CH3); 13C-NMR (CDCl3) δ 165.38, 147.25, 147.03, 141.44, 133.52, 118.88, 113.80, 34.99, 34.36, 31.82, 29.90, 27.88, 23.93; UV (EtOH) 216, 239, 275 nm; cLogP 9.978.
(5,7-Di-tert-butylbenzoxazol-2-yl)phenylmethanol (2l). C22H27NO2 = 337.20; Yield 33 %; m.p. 112 – 114 °C; column chromatography in CH2Cl2 followed by MeOH; TLC CHCl3-MeOH (9:1) Rf = 0.65; IR (KBr) νmax 2961, 2907, 2869 (C-H), 1624, 1570 (C=N), 1482 (C=C), 1403, 1364 (CH3), 869, 855 (Ar-H) cm-1; 1H-NMR (CDCl3) δ 7.57-7.52 (m, 3H Ar), 7.42-7.28 (m, 3H Ar), 7.28-7.25 (m, 1H Ar), 6.03 (d, 1H, J=5.2 Hz, CH), 3.75 (d, 1H, J=5.5 Hz, OH); 1.41 (s, 9H, CH3), 1.36 (s, 9H, CH3); 13C-NMR (CDCl3) δ 166.08, 147.78, 147.29, 140.48, 139.18, 133.98, 128.66, 128.56, 126.61, 119.60, 114.21, 70.47, 35.04, 34.34, 31.77, 29.83; M+ = 337 m/e; UV (EtOH) 209, 242, 277 nm; cLogP 4.029.
5,7-Di-tert-butylbezoxazol-2-methylcarbonate (2m). C17H23NO3 = 289.37; Yield 17 %; oil; preparative TLC CHCl3-MeOH (9:1) Rf = 0.78; IR (CHCl3) νmax 2967, 2908, 2872 (C-H), 1746 (CO-ester), 1616, 1544 (C=N), 1483 (C=C), 1365 (CH3) cm-1; 1H-NMR (CDCl3) δ 7.69 (d, 1H, J=1.92 Hz, Ar); 7.46 (d, 1H, J=1.92 Hz, Ar); 4.07 (s, 3H, CH3); 1.51 (s, 9H, CH3); 1.38 (s, 9H, CH3); 13C-NMR (CDCl3) δ 157.07, 152.19, 149.10, 147.42, 140.85, 135.01, 122.66, 115.71, 53.43, 35.14, 34.53, 31.64, 29.85; UV (EtOH) 213, 233, 275 nm; cLogP 4.789.
[(5,7-di-tert-butylbenzoxazole-2-carbonyl)-amino]-acetic acid (2n). C18H24N2O4 = 332.39; Yield 80 %; m.p. 182-183 °C; isolation by extraction with PE. Insoluble crystalline part recrystallized from EA-PE; TLC CHCl3-MeOH (9:1) Rf = 0.26, 1-butanol-formic acid-water (75:15:10) Rf = 0.87; IR (KBr) νmax 3410 (O-H), 2961, 2908, 2872 (C-H), 1740 (COOH), 1694 (CONH2), 1618, 1559 (C=N), 1482 (C=C), 1391, 1365 (CH3), 869, 845 (Ar-H) cm-1; 1H-NMR (CDCl3) δ 8.27 (t, 1H, J=5.63 Hz, NH), 7.61 (d, 1H, J=1.79 Hz, Ar), 7.43 (d, 1H, J=1.79 Hz, Ar), 4.37 (d, 2H, J=5.77 Hz, CH2), 1.50 (s, 9H, CH3), 1.37 (s, 9H, CH3); 13C-NMR (CDCl3) δ 172.73, 156.15, 154.47, 149.23, 147.37, 139.73, 135.21, 122.27, 114.66, 41.27, 35.12, 34.46, 31.60, 29.77; UV (EtOH) 217, 231, 264 nm; cLogP 4.673.
2-[(5,7-Di-tert-butylbenzoxazole-2-carbonyl)-amino]-4-methylpentanoic acid (2o). C22H32N2O4 = 388.50; Yield 41.3 %; m.p. 183-184 °C; isolation by extraction with PE. Insoluble crystalline part recrystallized from EA-PE; TLC CHCl3-MeOH (9:1) Rf=0.32, 1-butanol-formic acid-water (75:15:10) Rf = 0.62; [α]D25 = 39.32 °(c = 0.9; EA); IR (KBr) νmax 3408 (O-H), 2961, 2907, 2869 (C-H), 1725 (COOH), 1685 (CONH2), 1618, 1557 (C=N), 1482 (C=C), 1391, 1364 (CH3), 869 cm-1; 1H-NMR (CDCl3) δ 7.85 (d, 1H, J=8.52 Hz, NH), 7.62 (d, 1H, J=1.79 Hz, Ar), 7.42 (d, 1H, J=1.79 Hz, Ar), 6.72 (bs, 1H, COOH), 4.92-4.82 (m, 1H, CH), 1.91-1.72 (m, 3H, CH, CH2), 1.50 (s, 9H, CH3), 1.37 (s, 9H, CH3), 1.00 (d overlapped, 3H, J=6.05 Hz, CH3), 0.99 (d, overlapped, 3H, J=6.05 Hz, CH3); 13C-NMR (CDCl3) δ 176.35, 155.76, 154.62, 149.06, 147.61, 140.10, 135.23, 122.09, 114.83, 51.04, 41.08, 35.15, 34.53, 31.67, 29.89, 24.92, 21.68; UV (EtOH) 212, 233, 279 nm; cLogP 6.439.
2-[(5,7-Di-tert-butylbenzoxazole-2-carbonyl)-amino]-3-(4-hydroxyphenyl)propionic acid (2p). C25H30N2O5 = 438.52; Yield 64 %; m.p.: 126 -128 °C; isolation by extraction with PE. Insoluble crystalline part recrystallized from E-PE; [α]D25 = 36.58 °(c=0.8; EA); TLC EA-Tol (1:4) Rf = 0.1, CHCl3-MeOH (7:3) Rf = 0.85; IR (KBr) νmax 3405 (O-H), 2962, 2909, 2871(C-H), 1724 (COOH), 1678 (CONH2), 1616, 1558 (C=N), 1483 (C=C), 1392 , 1365 (CH3), 877 ,837(Ar-H) cm-1; 1H-NMR (CDCl3) δ 9.20 (bs, 1H, OH), 9.12 (d, 1H, J=8.24 Hz), 7.66 (d, 1H, J=1.64 Hz, Ar), 7.41 (d, 1H, J=1.92 Hz, Ar), 7.11-7.04 (m AA´BB´, 2H, Ar), 6.67-6.60 (m AA´BB´, 2H, Ar), 4.67-4.52 (m, 1H, CH), 3.14-3.01 (m, 2H, CH2), 1.44 (s, 9H, CH3), 1.34 (s, 9H, CH3); 13C-NMR (CDCl3) δ 172.42, 156.16, 155.38, 155.13, 148.63, 146.75, 140.44, 134.58, 130.29, 127.80, 121.59, 115.26, 115.16, 54.50, 40.54, 35.23, 34.36, 31.67, 29.83; UV (EtOH) 209, 242, 277 nm; cLogP 5.733.
(2-Oxo-propionylamino)acetic acid (3a). C5H7NO4 = 145.11; Yield 65 %. M.p.: 88 °C (EA-PE), lit. [17] m.p. 90 °C; TLC 1-butanol-formic acid-water (75:15:10) Rf = 0.63; IR (KBr) νmax 3283 (N-H), 1734 (CO-COOH), 1683 (CO), 1663 (amide-I), 1538 (amide II), 1412, 161 (CH3), 1183 (C-O) cm-1; 1H NMR (D2O) δ 4.1 (s, 2H, CH2), 2.2 (s, 3H, CH3); 13C-NMR (D2O) δ 200.00, 177.93, 165.10, 43.61, 26.95
2-(2-Oxo-3-phenyl-propionylamino)-3-pheyl-propionic acid (3b). C18H17NO4 = 311.33; Compound was isolated as 4b
4-Methyl-2-oxo-pentanoylamino)-acetic acid (3c). C8H13NO4 = 187.19; Yield 20 %; oil, TLC CHCl3- MeOH (9:1) Rf=0,21; IR (CHCl3) νmax 3404 (O-H), 2963, 2935, 2874 (C-H), 1732 (COOH), 1689 (CONH2), 1526, 1467, 1438, 1370 cm-1; 1H-NMR (DMSO) δ 7.51 (bs, 1H, NH), 7.13 (d, 2H, J=5.49, CH2), 2.80 (d, 2H, J=6.87 Hz, CH2) 2,35-1.98 (m, 1H, CH), 0.95 (d, 6H, J=6.6 Hz, CH3)
{2-[(2,4-dinitrophenyl)-hydrazono]-propionylamino}acetic acid (4a) C11H11N5O7 = 325.23; Yield 45 %; m.p.: 245 – 246 °C (EtOH/H2O), lit. [18] m.p.: 245-246 °C; IR (KBr) νmax 3314 (N-H); 3108, 3095 (=C-H), 1737 (-CO-C=N); 1654 (CONH2); 1619, 1341 (NO2); 848, 833(Ar-H) cm-1; 1H-NMR (CDCl3) δ 11.22 (bs, 1H, OH), 9.18 (d, 1H, J=2.47 Hz, H3´), 8.44 (ddd, 1H, J=9.48 Hz, J=2.47 Hz, J=0.55 Hz, H5´), 8.00 (d, 1H, J=9.48 Hz, H6´), 7.47 (t, 1H, J=4.94 Hz, NH), 4.19 (d, 2H, J=5.22 Hz, CH2), 2.32 (s, 3H, CH3); 13C-NMR (CDCl3) δ 169.76, 163.08, 146.53, 143.92, 139.60, 139.60, 123.28, 116.62, 61.84, 41.52, 14.16; UV (EtOH) 207, 264, 351 nm.
2{2-[(2,4-dinitrophenyl)-hydrazono]-3-phenyl-propionylamino}-3-phenylpropionic acid (4b) C24H21N5O7 = 491.45; Yield 35 %; m.p. 131-133 °C (EtOH); IR (KBr) νmax 3420 (N-H); 1736 (-CO-C=N); 1671 (CONH2); 1618, 1339 (NO2); 742, 702 (Ar-H) cm-1; 1H-NMR (CDCl3) δ 11.24 (bs, 1H, OH), 9.10 (d, 1H, J=2.48 Hz, H3´), 8.33 (dd, 1H, J=9.62 Hz, J=2.48, H5´), 7.67 (d, 1H, J=9.62 Hz, H6´), 7.57-7.29 (m, 10H), 5.06-4.97 (m, 1H, CH), 4.13 (d, 2H, CH2), 3.28 (d, 2H, J=5.49 Hz, CH2); 13C NMR (CDCl3) δ 14.18, 30.67, 37.85, 61.84, 116.78, 123.10, 127.31, 127.49, 128.69, 129.23, 129.48, 130.07, 131.09, 133.18, 135.65, 139.63, 143.75, 147.76, 162.86, 171.26; UV (EtOH) 210, 253, 352 nm.

Antimycobacterial testing

All strains were obtained from the Czech National Collection of Type Cultures (CNCTC) with exception of M. kansasii 6509/96, which was a clinical isolate. The antimycobacterial activities of the compounds were determined in the Šula semisyntetic medium (SEVAC, Prague). The compounds were added in form of a solution in dimethyl sulphoxide/water (10 % maximum of DMSO) to the medium. MICs were determined after incubation at 37 °C for 7, 14 and 21 days.

References

  1. Temiz, O.; Oren, I.; Sener, E.; Yalcin, I.; Ucartürk, N. Il Farmaco 1998, 53, 337–341.
  2. Oren, I.; Temiz, O.; Yalcin, I.; Sener, E. A.; Altanlar, N. Eur. J. Pharm. Sci 1998, 7, 153–160.
  3. Kumar, D.; Jacob, M. R.; Reynolds, M. B.; Kerwin, S. M. Bioorg. Med. Chem. 2002, 10, 3997–4004. [CrossRef]
  4. Kim, J. S.; Sun, Q.; Gatto, B.; Yu, Ch.; Liu, A.; Liu, L. F.; LaVoie, E. J. Bioorg. Med. Chem. 1996, 4, 621–630. [CrossRef]
  5. Hoffman, J. M.; Smith, A. M.; Rooney, C. S.; Fisher, T. E.; Wai, J. S.; Thomas, C. M.; Bamberger, D. L.; Barne, J. L.; William, T. M.; Jobes, H. H.; Olson, B. D.; O´Brien, J. A.; Goldman, M. E.; Nunberg, J. H.; Quintero, J. C.; Schleif, W. A.; Emini, E. A.; Anderson, P. S. J. Med. Chem. 1993, 36, 953–966. [CrossRef]
  6. Perrin, L.; Rakik, A.; Yearly, S.; Baumberger, C.; Kinloch-deLoies, S.; Pechiere, M.; Hirschel, B. AIDS 1996, 10, 1233–1239. [PubMed]
  7. Holler, M. G.; Campo, L. F.; Brandelli, A.; Stefani, V. J. Photochem. Photobiol. A: Chemistry 2002, 149, 217–225. [CrossRef]
  8. Laber, B.; Usunow, G.; Wiecko, E.; Franke, W.; Franke, H.; Köhn, A. Pesticide Biochem. Physiol 1999, 63, 173–184.
  9. Dunwell, D. W.; Evans, D. J. Med. Chem. 1977, 20, 797–801. [CrossRef]
  10. Vinsova, J.; Horak, V. Chem. Listy 2001, 97, 1157–1167.
  11. Voleva, V. B.; Belostotskaya, I. S.; Bundel, A. Yu.; Komissarova, N. L.; Erskov, V. V. Russ. Chem. Bull. 1997, 46, 385–386.
  12. Horak, V.; Mermersky, Y.; Guirguis, D. B. Collect. Czech Chem. Commun. 1994, 59, 227–230.
  13. Corey, E. J.; Achiwa, K. J. Am. Chem. Soc. 1969, 91, 1429–1432.
  14. National Committee for Clinical Laboratory Standards: Reference method for broth dilution antifungal susceptibility testing of yeast: Approved Standard, NCCLS document, M27-A; NCCLS: Villanova, PA, 1997.
  15. Haeussler, H.; Jadamus, H. Chem. Ber. 1964, 97, 3051–3055. [CrossRef]
  16. Gilchrist, T.L.; Harris, C. J.; King, F. D.; Peek, M. E.; Rees, Ch. W. J. Chem. Soc. Perkin Trans 1 1988, 2169–2174. [CrossRef]
  17. Wieland, T.; Klu, Hi Shin, Heinke, B. Chem. Ber. 1958, 91, 483–487. [CrossRef]
  18. Errera, M.; Greenstein, J. P. Arch. Biochem. 1947, 14, 477–478.
  • Sample Availability: Contact the authors

Share and Cite

MDPI and ACS Style

Vinsova, J.; Horak, V.; Buchta, V.; Kaustova, J. Highly Lipophilic Benzoxazoles with Potential Antibacterial Activity. Molecules 2005, 10, 783-793. https://doi.org/10.3390/10070783

AMA Style

Vinsova J, Horak V, Buchta V, Kaustova J. Highly Lipophilic Benzoxazoles with Potential Antibacterial Activity. Molecules. 2005; 10(7):783-793. https://doi.org/10.3390/10070783

Chicago/Turabian Style

Vinsova, Jarmila, Václav Horak, Vladimir Buchta, and Jarmila Kaustova. 2005. "Highly Lipophilic Benzoxazoles with Potential Antibacterial Activity" Molecules 10, no. 7: 783-793. https://doi.org/10.3390/10070783

APA Style

Vinsova, J., Horak, V., Buchta, V., & Kaustova, J. (2005). Highly Lipophilic Benzoxazoles with Potential Antibacterial Activity. Molecules, 10(7), 783-793. https://doi.org/10.3390/10070783

Article Metrics

Back to TopTop