Abstract
Tetrasubstituted pyrrolidines representing analogs of homoproline were synthesized by three-component condensation of aryl(heteroaryl)aldehydes, asparagine and N-methylmaleimide (NMM). Compounds with (1S*, 3R*, 3aS*, 6aR*)-configuration at the corresponding carbon positions of the bicyclic pyrrolidine ring could be isolated on a preparative scale.
Introduction
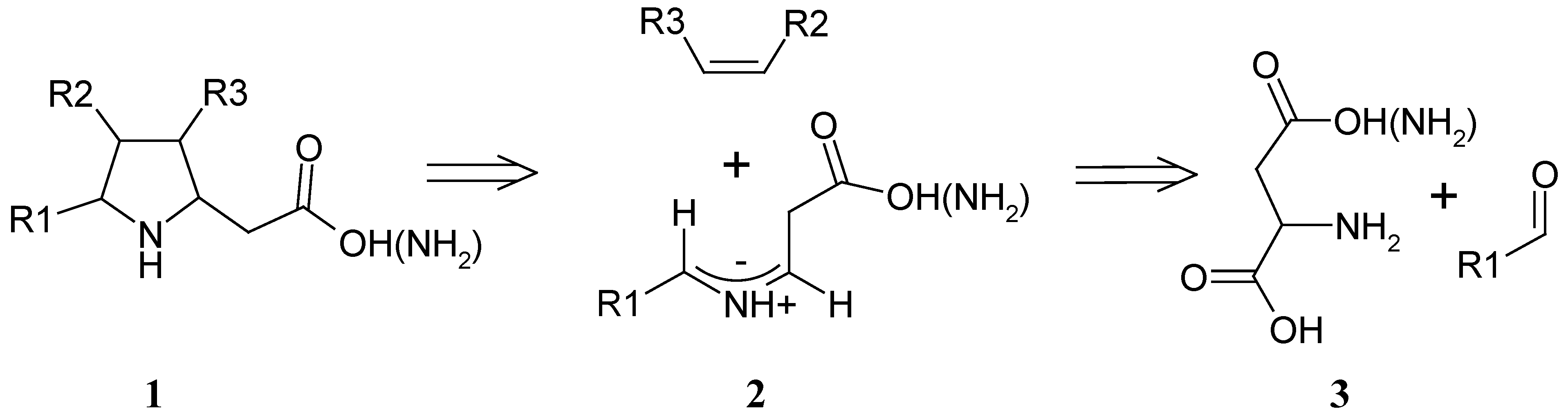
β-Amino acids receive considerable interest due to their biologically important properties, their occurrence in natural products, and as potential precursors for β-lactams. Substitution of proline fragment in tetrapeptides with homoproline leads to increased resistance to enzymatic hydrolysis and preserving of µ-opioid agonists properties of tetrapeptides [1]. Homoproline and its derivatives were the targets of some recent synthetic examinations including Kowalski ester homologation protocol [2], sequential conjugate addition - ring closing metathesis [3], asymmetric hydrogenation of cyclic β-enaminoacid derivatives [4], retro-Dieckmann reaction of 7-azabicyclo[2.2.1]heptan-2-one-carboxylic acid esters [5], 1,3-dipolar cycloaddition of nitrones with phenyl vinyl ether [6]. Functionalized homoprolines have been used for pyrrolizidines and indolizidines syntheses via Dieckmann condensation [7]. To access a diversity of synthesized “homoprolines” 1 we have studied trapping of 1,3-azomethine ylide 2 produced by a decarboxylative route with dipolarophiles (NMM in our study, Scheme 1). The proposed approach possesses advantages of multicomponent reactions [8], simplicity and availability of starting materials.
Scheme 1.
Retrosynthetic scheme of homoproline 1 synthesis by consequent decarboxylative 1,3-dipole generation – cycloaddition
Scheme 1.
Retrosynthetic scheme of homoproline 1 synthesis by consequent decarboxylative 1,3-dipole generation – cycloaddition

Results and Discussion
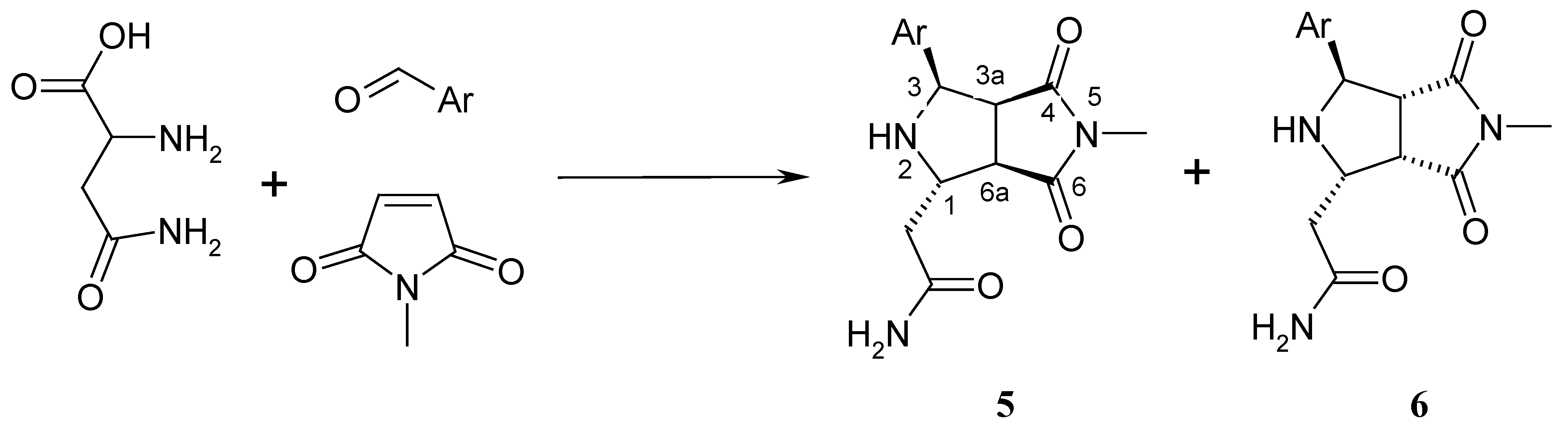
1,3-Dipolar cycloaddition of dipolarophiles to azomethine ylides generated from the corresponding imines is a widely used method of pyrrolidine synthesis [9]. Decarboxylation of α-arylideneamino acids upon heating is one of the approaches to generate ylide 2. If aspartic acid or asparagine (3) is used as amino acid component in this approach the formation of homoproline 1 could be predicted. To the best of our knowledge there is a single example of utilization of aspartic acid in combination with pyruvic acid and NMM for synthesis of bicyclic structure containing homoproline fragment [10]. We also observed consuming of starting materials under heating of equimolar amounts of veratraldehyde, aspartic acid and NMM in DMF at 120°C, but were not able to isolate individual stable material from this mixture. It was decided to employ asparagine as an amino acid component for 1,3-dipole generation to lower the side interactions of free carboxylic functionality. Heating of aryl(heteroaryl)aldehydes, asparagine and NMM at 120°C in DMF in inert atmosphere led to formation of homogeneous brownish mixture from which racemic homoproline analogs 5 and 6 were isolated with moderate yields (scheme 2, table 1). Chromatographic and NMR analyses of crude reaction mixtures have shown formation of these and other isomers, seemingly all four possible isomers [11], but predominantly products of endo-cycloaddition of NMM to the sterically favorite dipole 2 could be isolated in pure isomeric form. Accenting our research on preparative method for the synthesis of polysubstituted homoprolines all inseparable fractions of isomeric pyrrolidines were discarded.
Scheme 2.
Conditions: DMF, 120°C, 3-4 h.
Scheme 2.
Conditions: DMF, 120°C, 3-4 h.

Table 1.
Condensation products of asparagine, NMM and aryl(heteroaryl)aldehydes.
| Aldehyde | Ar | Major isomer (%*) | Minor isomer (%*) |
|---|---|---|---|
| Veratraldehyde | 3,4-Dimethoxyphenyl | 5a (24) | 6a (5) |
| Pyridine-3-carbaldehyde | 3-Pyridyl | 5b (31) | 6b (-) |
| Benzaldehyde | Phenyl | 5c (21) | 6c (-) |
| 5-Methylfuran-2- | 5-Methylfuryl | 5d (27) | 6d (-) |
| carbaldehyde |
* isolated yields
Stereochemistry of synthesized compounds was thoroughly analyzed by 1D and 2D NMR spectroscopy. Observed 3JH-H coupling constants and their correlation with molecular modeling results for 5b (Figure 1, Table 2) indicated a cis-configuration of H3 - H3a and H3a - H6a proton pairs. H1 hydrogen atom is in trans-position to other heterocyclic skeletal protons.
Figure 1.
Molecular modeling structure of (1S*, 3R*, 3aS*, 6aR*)-2-(5-Methyl-4,6-dioxo-3-pyridin-3-yl-octahydropyrrolo[3,4-c]pyrrol-1-yl)acetamide (5b).
Figure 1.
Molecular modeling structure of (1S*, 3R*, 3aS*, 6aR*)-2-(5-Methyl-4,6-dioxo-3-pyridin-3-yl-octahydropyrrolo[3,4-c]pyrrol-1-yl)acetamide (5b).

Table 2.
Experimental and calculated proton coupling constants for compound 5b.
| 3JHH | Observed value, Hz | Calculated value, Hz | Dihedral angle, deg |
|---|---|---|---|
| Н3/H3a | 8.3 | 8.2 | 24.1 |
| H3a/H6a | 8.3 | 8.2 | 8.3 |
| H6a/H1 | <1 | 0.7 | 92.9 |
Later these suppositions were unequivocally confirmed by X-ray analysis of 5b (Figure 2) [12]. Molecules of 5b form endless chains due to hydrogen bonds of pyridyl nitrogen of one molecule with one of amide hydrogens of other molecule.
Figure 2.
X-ray structure and molecules packing in crystal of (1S*, 3R*, 3aS*, 6aR*)-2-(5-Methyl-4,6-dioxo-3-pyridin-3-yl-octahydropyrrolo[3,4-c]pyrrol-1-yl)- acetamide (5b).
Figure 2.
X-ray structure and molecules packing in crystal of (1S*, 3R*, 3aS*, 6aR*)-2-(5-Methyl-4,6-dioxo-3-pyridin-3-yl-octahydropyrrolo[3,4-c]pyrrol-1-yl)- acetamide (5b).

Compounds 5a, 5c and 5d have proton shifts and coupling constants similar to 5b in NMR experiments. These facts allowed us to conclude the identity of space structure of homoprolines 5a, 5b, 5c and 5d with different aryl(heteroaryl) substituents at the α-position of pyrrolidine ring. Correlation of observed and calculated proton coupling constants for compound 6a (fig. 3, table 3) prompted us to perform ROESY experiments (fig. 3). Cross peaks of H3 and methylene group protons evidenced their positioning from the same side of pyrrolidine ring. Space interaction of H1 and b and f protons of dimethoxyphenyl substituent expressed in appropriate cross peaks also confirmed their relative positions. Formation of 6a may be considered as exo-cycloaddition of NMM to the dipole 2.
Table 3.
Experimental and calculated proton coupling constants for compound 6a.
| 3JHH | Observed value, Hz | Calculated value, Hz | Dihedral angle, deg |
|---|---|---|---|
| Н3/H3a | <1 | 1.0 | 98.5 |
| H3a/H6a | 8.5 | 11.7 | 3.1 |
| H6a/H1 | 8.5 | 7.6 | 28.0 |
Figure 3.
Molecular modeling structure and NOE interactions of (1S*, 3R*, 3aR*, 6aS*)-2-[3-(3,4-dimethoxyphenyl)-5-methyl-4,6-dioxooctahydropyrrolo[3,4-c]pyrrol-1-yl]acetamide (6a).
Figure 3.
Molecular modeling structure and NOE interactions of (1S*, 3R*, 3aR*, 6aS*)-2-[3-(3,4-dimethoxyphenyl)-5-methyl-4,6-dioxooctahydropyrrolo[3,4-c]pyrrol-1-yl]acetamide (6a).

The synthesis of compound 5b was reproduced on 50 mmol scale and the desired compound was easily isolated as a white solid in 1H-NMR pure form upon treatment of the concentrated reaction mixture with methanol.
Conclusions
We have performed the synthesis of polysubstituted homoproline analogs by three-component condensation of aryl(heteroaryl) aldehydes, asparagine and NMM. Proposed approach allowed to obtain homoprolines with aryl(heteroaryl) substituent at α-position of pyrrolidine ring. Hydrolysis or desymmetrization of the imide moiety of synthesized compounds is determining an additional diversity of accessible structures.
Experimental
General
1H- and 13C-NMR spectra were recorded on Bruker WM-250 and Bruker DRX-500 spectrometers. All reagents and chemicals were obtained from commercial sources (Lancaster, Aldrich) and purified by standard procedures. Molecular modeling calculations were performed with programme Tinker (version 3.0) using the MM3 power field.
General procedure for the synthesis of homoproline analogs 5 and 6.
Aryl(heteroaryl)aldehyde (4.5 mmol), D,L-asparagine (4.5 mmol) and NMM (4.5 mmol) were heated at 120°C in DMF (24 mL) under an inert atmosphere during 3-4 hours. After cooling to room temperature the reaction mixture was concentrated on a rotary evaporator. The residue was subjected to column chromatography separation with subsequent recrystallization of the obtained fractions.
(1S*,3R*,3aS*,6aR*)-2-[3-(3,4-Dimethoxyphenyl)-5-methyl-4,6-dioxooctahydropyrrolo[3,4-c]pyrrol-1-yl]acetamide (5a). Mp 180-182°C; 1H-NMR (dmso-d6) δ: 7.45 (s, 1H); 6.91 (s, 1H); 6.80 (m, 3H); 4.55 (d, J=8.3, H3); 3.90 (t, J=7.4, H1); 3.74 (s, 3H); 3.67 (s, 3H); 3.35 (t, J=8.3, H3a); 3.18 (d, J=8.3, H6a); 3.00 (s, NH); 2.70 (s, 3H); 2.32 (m, 2H); Found (%): C, 59.00; H, 6.12; N, 11.88; Calculated (%) for C17H21N3O5: C, 58.78; H, 6.09; N, 12.10.
(1S*,3R*,3aS*,6aR*)-2-(5-Methyl-4,6-dioxo-3-pyridin-3-yl-octahydropyrrolo[3,4-c]pyrrol-1-yl)-acetamide (5b). Mp 225-226°C; 1H-NMR (dmso-d6) δ: 8.49 (s, 1H); 8.43 (d, J=4.9, 1H); 7.62 (d, J=7.9, 1H); 7.47 (s, 1H); 7.28 (dd, J=4.9, 7.9, 1H); 6.93 (s, 3H); 4.68 (d, J=8.3, H3); 3.93 (t, J=7.4, H1); 3.51 (t, J=8.3, H3a); 3.24 (d, J=8.3, H6a); 3.16 (s, NH); 2.70 (s, 3H); 2,38 (m, 2H); 13C-NMR (dmso-d6) δ: 178.59, 175.89, 172.49, 148.89, 148.24, 134.80, 122.92, 58.94, 57.70, 50.98, 49.34, 38.72, 24.09; Found (%): C, 58.33; H, 5.57; N, 19.24; Calculated (%) for C14H16N4O3: C, 58.33; H, 5.59; N, 19.43.
(1S*,3R*,3aS*,6aR*)-2-(5-Methyl-4,6-dioxo-3-phenyloctahydropyrrolo[3,4-c]pyrrol-1-yl)acetamide (5c). Mp 205-206°C; 1H-NMR (dmso-d6) δ: 7.45 (s, 1H); 7.22 (m, 5H); 6.92 (s, 1H); 4.60 (m, H3); 3.90 (t, H1); 3.42 (t, H3a); 3.20 (d, H6a); 3.00 (s, NH); 2.70 (s, 3H); 2.32 (m, 2H); Found (%): C, 62.79; H, 5.90; N, 14.36; Calculated (%) for C15H17N3O3: C, 62.71; H, 5.96; N, 14.62.
(1S*,3R*,3aS*,6aR*)-2-[5-Methyl-3-(5-methylfuran-2-yl)-4,6-dioxooctahydropyrrolo[3,4-c]pyrrol-1-yl]acetamide (5d). Mp 191-192°C; 1H NMR (dmso-d6) δ: 7.43 (s, 1H); 6.90 (s, 1H); 6.04 (d, J=3.0, 1H); 5.90 (dd, J=3.0, 0.5; 1H); 4.56 (d, J=8.5, H3); 3.83 (t, J=7.3, H1); 3.40 (t, J=8.5, H3a); 3.19 (d, H6a); 3.00 (s, NH); 2.73 (s, 3H); 2.29 (m, 2H); 2.18 (s, 3H); Found (%): C, 57.87; H, 5.92; N, 14.62; Calculated (%) for C14H17N3O4: C, 57.72; H, 5.88; N, 14.42.
(1S*,3R*,3aR*,6aS*)-2-[3-(3,4-Dimethoxyphenyl)-5-methyl-4,6-dioxooctahydropyrrolo[3,4-c]pyrrol-1-yl]acetamide (6a). Mp 213-214°C; 1H-NMR (dmso-d6) δ: 7.36 (s, 1H); 7.01 (s, 1H), 6.93 (d, J=8.2, 1H); 6.86 (s, 1H); 6.85 (d, J=8.2, 1H); 4.46 (s, H3); 3.78 (s, 3H); 3,74 (s, 3H); 3.62 (m, H1); 3.48 (d, J=8.5, H3a); 3.30 (t, J=8.5, H6a); 3.05 (s, NH); 2.85 (s, 3H); 2.52 (dd, J=15.9, 9.1, 1H), 2,12 (dd, J=15.9, 3.8, 1H); 13C-NMR (dmso-d6) δ: 178.95, 177.08, 172.69, 148.71, 147.61, 134.86, 118.03, 111.76, 110.37, 62.05, 55.58, 55.41, 54.87, 53.12, 47.82, 36.24, 24.67; Found (%): C, 58.87; H, 6.05; N, 12.02; Calculated (%) for C17H21N3O5: C, 58.78; H, 6.09; N, 12.10.
References and Notes
- Cardillo, G.; Gentilucci, L.; Qasem, A. R.; Sgarzi, F.; Spampinato, S. Endomorphin-1 Analogues Containing β-Proline Are µ-Opioid Receptor Agonists and Display Enhanced Enzymatic Hydrolysis Resistance. J. Med. Chem. 2002, 45, 2571–2578. [Google Scholar] [CrossRef] [PubMed]
- Gray, D.; Concellon, C.; Gallagher, T. Kowalski Ester Homologation. Application to the Synthesis of β-Amino Esters. J. Org. Chem. 2004, in press. [Google Scholar] [CrossRef] [PubMed]
- Chippindale, A. M.; Davies, S. G.; Iwamoto, K.; Parkin, R. M.; Smethurst, C. A. P.; Smith, A. D.; Rodriguez-Solla, H. Asymmetric synthesis of cyclic β-amino acids and cyclic amines via sequential diastereoselective conjugate addition and ring closing metathesis. Tetrahedron 2003, 59, 3253–3265. [Google Scholar] [CrossRef]
- Zhang, Y. J.; Park, J. H.; Lee, S. Asymmetric synthesis of homoproline derivatives via Rh(I)- catalyzed hydrogenation using chiral bisphosphines as ligands. Tetrahedron: Asymmetr. 2004, in press. [Google Scholar] [CrossRef]
- Avenoza, A.; Barriobero, J. I.; Busto, J. H.; Peregrina, J. M. Enantiopure Synthesis of All Four Stereoisomers of Carbapenam-3-carboxylic Acid Methyl Ester. J. Org. Chem. 2003, 68. [Google Scholar] [CrossRef] [PubMed]
- Chevrier, C.; Defoin, A. Simple Preparation of N-Benzyl-β-aminohydroxamic Acids by 1,3-Dipolar Cycloaddition of Nitrones. Synthesis 2003, 1221–1224. [Google Scholar] [CrossRef]
- Rabiczko, J.; Urbanczyk-Lipkowska, Z.; Chmielewski, M. Syntheses of pyrrolizidines and indolizidines from α,β-unsaturated sugar δ-lactones via Dieckmann condensation. Tetrahedron 2002, 58, 1433–1441. [Google Scholar] [CrossRef]
- See, for example, one of the latest reviews: Orru, R. V. A; de Greef, M. Recent Advances in Solution-Phase Multicomponent Methodology for the Synthesis of Heterocyclic Compounds. Synthesis 2003, 1471–1499. [Google Scholar] [CrossRef]
- Kanemasa, S. Synthetic Applications of 1,3-Dipolar Cycloaddition Chemistry Toward Heterocycles and Natural Products; Padwa, A., Pearson, W. H., Eds.; John Wiley & Sons: New York, 2002; pp. 755–815. [Google Scholar] Harwood, L. M.; Vickers, R. J. Ibid 169–252.
- Grigg, R.; Henderson, D.; Hudson, A. J. Decarboxylation of α-amino acids by pyruvic acid and its derivatives. Evidence for azomethine ylides in in vitro analogues of pyruvoyl enzymic processes. Tetrahedron Lett. 1989, 30, 2841–2844. [Google Scholar] [CrossRef]
- Grigg, R.; Idle, J.; McMeekin, P; Surendrakumar, S.; Vipond, D. X=Y-ZH Systems as Potential 1,3-Dipoles. Part 12. Mechanism of Formation of Azomethine Ylides via the Decarboxylative Route from α-Amino Acids. J. Chem. Soc., Perkin Trans. 1 1988, 68, 2703–2713. [Google Scholar] [CrossRef]
- CCDC-244700 contains the supplementary crystallographic data for this paper. These data can be obtained free of charge via www.ccdc.cam.ac.uk/conts/retrieving.html (or from the CCDC, 12 Union Road, Cambridge CB2 1EZ, UK; fax: +44 1223 336033; e-mail: deposit@ccdc.cam.ac.uk).
- Sample Availability: Available from the authors.
© 2005 MDPI (http://www.mdpi.com). Reproduction is permitted for noncommercial purposes