Next Article in Journal
Thermal Behaviour, Biological Activity and Conformational Study of a [Methoprene/β-Cyclodextrin] Complex in a Smoke Generating Formulation
Previous Article in Journal
A Novel Aromatic Iodination Method, with Sodium Periodate Used as the Only Iodinating Reagent
 
 
Font Type:
Arial Georgia Verdana
Font Size:
Aa Aa Aa
Line Spacing:
Column Width:
Background:
Article

Investigations on the Formation of 4-Aminobicyclo[2.2.2]-octanones

by
Werner Seebacher
1,*,
Dietmar Kröpfl
1,
Ferdinand Belaj
2,
Robert Saf
3,
Antje Hüfner
1 and
Robert Weis
1
1
Institute of Pharmaceutical Sciences, Pharmaceutical Chemistry, Karl-Franzens-University, Universitätsplatz 1, A-8010 Graz, Austria
2
Institute of Chemistry, Karl-Franzens-University, Universitätsplatz 1, A-8010 Graz, Austria
3
Institute of Chemical Technology of Organic Materials, Erzherzog-Johann University, Stremayrgasse 26/1, A-8010 Graz, Austria
*
Author to whom correspondence should be addressed.
Molecules 2005, 10(3), 521-533; https://doi.org/10.3390/10030521
Submission received: 13 September 2004 / Revised: 10 January 2005 / Accepted: 10 January 2005 / Published: 13 May 2005

Abstract

:
Benzylidene acetone reacts with thiocyanates derived from secondary amines in a one-pot reaction to give 4-aminobicyclo[2.2.2]octan-2-ones. The reaction mixture was investigated for the presence of possible intermediates using GC-MS. These intermediates – diketones and enamines – were prepared and exposed to the same reaction conditions to examine the reaction mechanism. The reaction of ethyl styryl ketone with thiocyanates of secondary amines yielded cyclohexanone derivatives instead of the expected bicyclo-octanones. Their structures were established by means of a single crystal structure analysis.

Introduction

Ammonium thiocyanates and benzylidene acetone have already been cyclized to products having the bicyclo[2.2.2]octan-2-one structure, which are useful precursors for compounds with antimalarial or antitrypanosomal activity [1]. In order to confirm the reaction mechanism authentic samples of proposed intermediates –diketones and enamines – were synthesized and the reaction mixtures then analyzed for their presence using GC-MS methods. In addition the reaction of ammonium thiocyanates with ethyl styryl ketone was investigated.

Results and Discussion

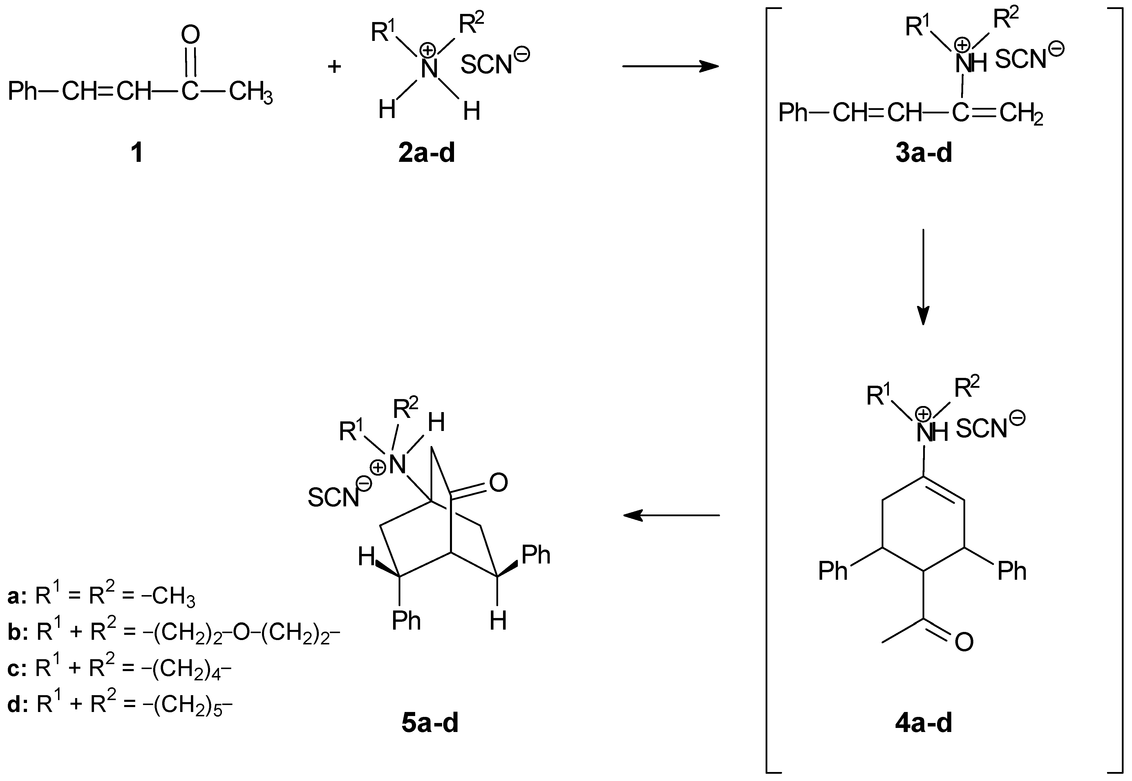
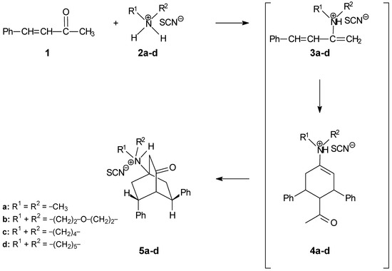
We have previously reported [2] the formation of 4-aminobicyclo[2.2.2]octan-2-ones from ammonium thiocyanates and benzylidene acetone in a one-pot reaction, proposing the following mechanism for this transformation: benzylidene acetone (1) reacts with dialkylammonium thiocyanates 2a-d in an initial step to give the enammonium salts 3a-d, followed by a Diels-Alder reaction of the latter with unreacted 1. The thus formed 4-acetylcyclohex-1-enylammonium salts 4a-d then cyclize to give the bicyclic compounds 5a-d (Scheme 1).
Scheme 1.
Scheme 1.
Molecules 10 00521 g005
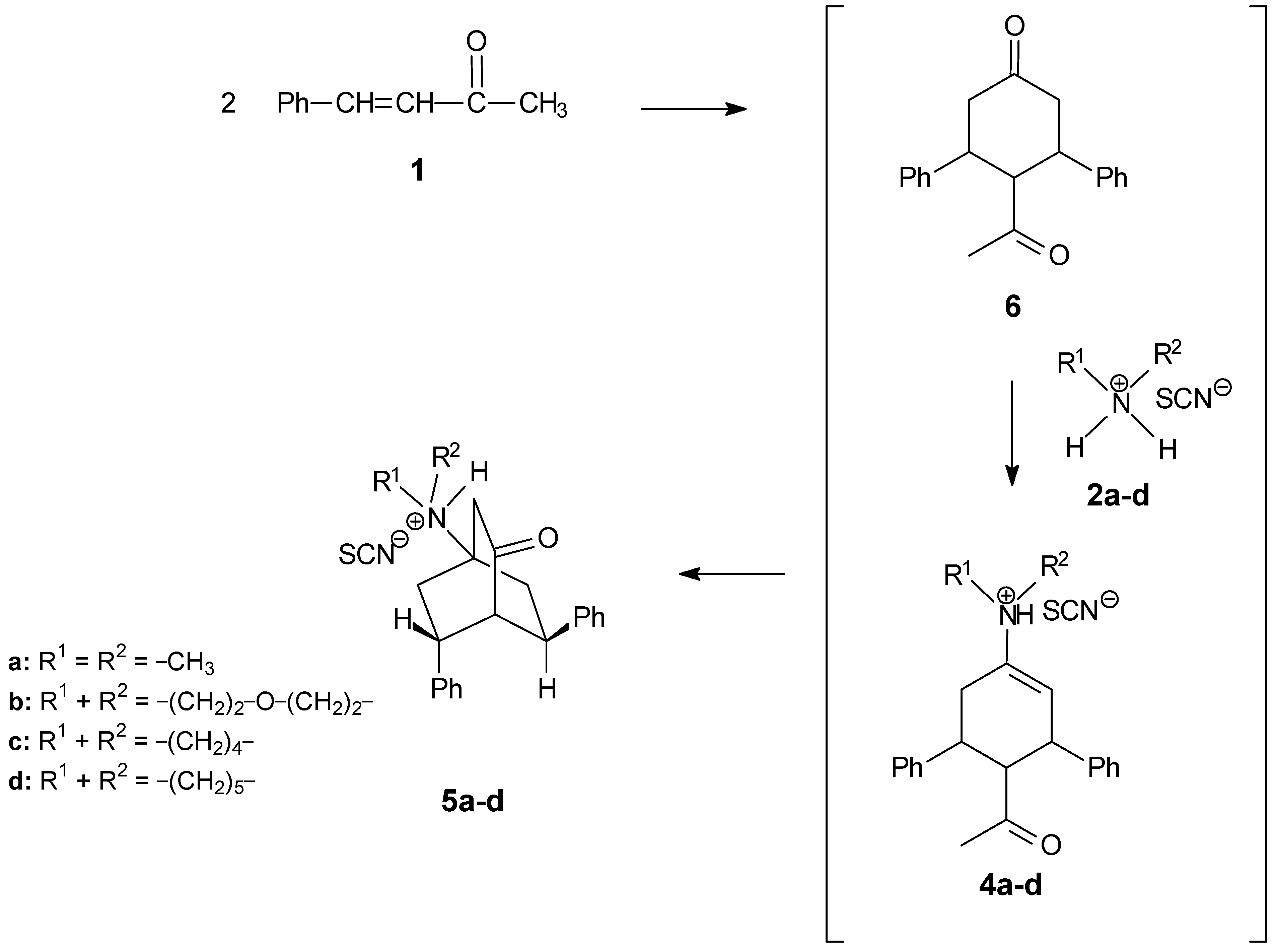
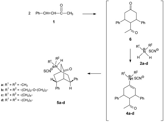
Recently, Ramachary et al. [3] have reported amine-catalyzed self-Diels-Alder reactions of α,β‑unsaturated ketones giving cyclohexanones. Therefore, the following alternative mechanism also ought to be considered to account for the formation of compounds 5a-d: the first step in this case is an amine catalyzed Diels-Alder reaction to give cyclohexanone 6, followed by the formation of enamine salts 4a-d which subsequently cyclize as mentioned above to afford the final bicyclo[2.2.2]octan-2-one products 5a-d (Scheme 2).
Scheme 2.
Scheme 2.
Molecules 10 00521 g006
We started our investigations with the synthesis of diketone 6 via an amine-catalyzed Diels-Alder reaction [3] giving selectively the symmetric diketone 7. Its diastereoisomer 8 was obtained by the reaction of 1 with 2-trimethylsilyloxy-4-phenyl-1,3-butadiene (9) [4]. The regioselective formation of enamines 10b-d, 11b and 12b was observed for the reaction of both diketones 7 and 8 with secondary amines by standard methods. In the case of diketone 8, an unseparable mixture of compounds 11b and 12b was produced (Scheme 3).
The enamine 10b and the mixture of 11b and 12b were exposed to the reaction conditions which are described by Morita and Kobayashi for the formation of 1-methyl-4-morpholinobicyclo-[2.2.2]octan-2-one from 4-acetyl-4-methyl-1-morpholino-1-cyclohexene [5]. However, the enamine 10b decomposed to the diketone 7 whereas the mixture of enamines 11b and 12b decomposed to a mixture of unseparable products. No 4-aminobicyclooctanone derivatives were detectable in these reaction mixtures by NMR experiments.
The diketone 7 was next refluxed with dimethylammonium thiocyanate in toluene at 160°C or in dimethylformamide at 200°C at a water separator but no reaction was observed. For the reaction of 7 with morpholinium thiocyanate in refluxing toluene we observed no formation of a bicyclic compound either. Diketone 8 reacts with morpholinium thiocyanate under the same conditions to give small but detectable amounts of 5b. The reaction of diketone 8 with morpholine in refluxing benzene under the catalysis of 4-toluenesulfonic acid yielded a mixture of 11b and 12b accompanied by small amounts of 5b. We monitored the reaction of benzylidene acetone with morpholinium thiocyanate in toluene using GC-MS methods. Each hour, we took a sample which was extracted with 2N NaOH and water to remove salts. The concentrations of benzylidene acetone and 5b formed during the progress of the reaction were calculated as the areas under the respective curves and are shown in Figure 1.
Scheme 3.
Scheme 3.
Molecules 10 00521 g007
Figure 1. The course of reaction expressed as areas under the curve (ordinate).
Figure 1. The course of reaction expressed as areas under the curve (ordinate).
Molecules 10 00521 g001
Obviously the concentration of 5b increases parallel to the decrease of the concentration of 1. After 3.5 hours the maximum amount of 5b is reached and after this point, decomposition of 5b takes place. In addition to that, we found only very small amounts of 7, 8, 10b and 11b/12b and no significant change of concentrations was observed for these compounds during the course of the reaction. From these results, we assume that a formation of 5b via diketone 8 is possible.
Besides, the diketones 8 the ammonium salts 3a-d might be key intermediates during the formation of bicyclo-octanones. 4-Phenyl-3-buten-2-one-N-phenylimine was prepared by Brady et al. [6] by refluxing benzylidene acetone with aniline in benzene catalyzed by zinc chloride. The formation of cyclic products was not reported. However, when we replaced aniline by morpholine, we detected moderate amounts of 5b and small amounts of the diketones 7 and 8 instead of the expected imine.
Scheme 5.
Scheme 5.
Molecules 10 00521 g008
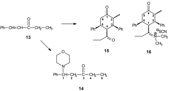
When ethyl styryl ketone (13) is used instead of benzylidene acetone (1) the reaction with morpholine under the same conditions gives compound 14, which is not stable, especially in an alkaline medium. The reaction of 13 with dimethylammonium thiocyanate in refluxing toluene yielded compounds 15 and 16, which were isolated by sequential crystallization from ethanol (Scheme 5). The structure of 16 was elucidated with the aid of a single crystal structure analysis (Figure 2 and Figure 3).
Figure 2. Stereoscopic ORTEP [7] plot of 16 showing the atomic numbering scheme. The probability ellipsoids are drawn at the 50% probability level.
Figure 2. Stereoscopic ORTEP [7] plot of 16 showing the atomic numbering scheme. The probability ellipsoids are drawn at the 50% probability level.
Molecules 10 00521 g002
Figure 3. Stereoscopic ORTEP [7] plot of the packing of 16. The atoms are drawn with arbitrary radii.
Figure 3. Stereoscopic ORTEP [7] plot of the packing of 16. The atoms are drawn with arbitrary radii.
Molecules 10 00521 g003
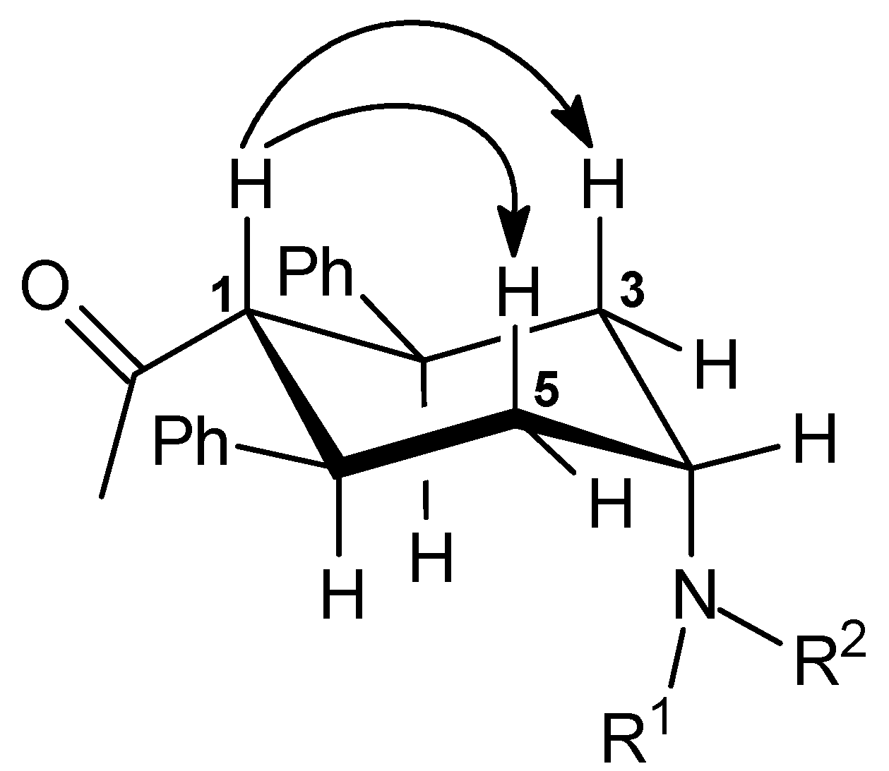
Besides, 10b-d were reduced regioselectively with Pd on charcoal to a mixture of 4-amino-cyclohexanones 17b-d and 18b-d. Only compounds 17b-d were isolated in pure form by crystallization from ethanol (Scheme 3). The structure of 17b-d was determined with the aid of NMR spectroscopy. Small coupling constants (3Hz) of H-5ax and H-3ax to H-4 in the 1H spectra of 17b indicate the equatorial position of H-4. Furthermore a NOE of 8.6% was observed from H-1 to H-3ax and H-5ax indicating the equatorial position of the acetyl group (Figure 4).
Figure 4. NOEs observed in compound 17b
Figure 4. NOEs observed in compound 17b
Molecules 10 00521 g004

Conclusions

Usually 4-aminobicyclo[2.2.2]octan-2-ones are prepared from benzylidene acetone and dialkyl-ammonium thiocyanates in a one-pot reaction. During our investigations of the reaction mechanism we synthesized possible intermediates which were detected in the reaction mixtures by GC-MS methods. When one of them, a cyclic diketone, was used as starting material instead of benzylidene acetone the synthesis of the corresponding 4-aminobicyclo[2.2.2]octan-2-one was successful, but since only small amounts of the bicyclic compound were found we assume that this is not the main reaction path.

Experimental

General

Melting points were obtained on an Electrothermal IA 9200 digital melting point apparatus and are uncorrected. IR spectra: infrared spectrometer system 2000 FT (Perkin Elmer). UV/VIS: Lambda 17 UV/VIS-spectrometer (Perkin Elmer). NMR spectra: Varian Inova 400 (300 K), 5 mm tubes, TMS resonance as internal standard. 1H- and 13C-resonances were assigned using 1H,1H- and 1H,13C-correlation spectra. HMBC spectra were optimized for 8 Hz. For NOE measurements oxygen was carefully removed by bubbling Ar through the solutions. 1H- and 13C-resonances are numbered as given in the formulas. MS: 70 eV electron impact: Varian MAT 711 spectrometer, Kratos profile spectrometer. GC-MS: HP-6890 (Hewlett-Packard) 70 eV electron impact. Microanalyses: EA 1108 CHNS-O apparatus (Carlo Erba), Microanalytical Laboratory at the Institute of Physical Chemistry, Vienna. Materials: Column-chromatography (CC): silica gel 60 (Merck, 70 - 230 mesh), pore-diameter 60 Å, thin-layer chromatography (TLC): TLC plates (Merck, silica gel 60 F254, 0.2 mm, 200 x 200 mm); the substances were detected in UV light at 254 nm.

(6RS,7RS)-(±)-4-Morpholino-6,7-diphenylbicyclo[2.2.2]octan-2-one (5b)

Benzylidene acetone (1, 46 g, 0.31 mol) and morpholine (27.4 g, 0.31 mol) were dissolved in benzene (125 mL) and zinc chloride (200 mg) was added. The mixture was refluxed at a water separator at 140°C over night, cooled to room temperature and filtered. The solvent was evaporated in vacuo giving a residue which was further purified by use of CC (eluent: 8:8:1 benzene/ chloroform/ethanol) affording 5b (15.4 g, 13.5%) as a yellowish resin. Spectral data corresponded well with those reported [2].

Synthesis of (3RS, 5RS)-(±)-4-acetyl-3,5-diphenylcyclohexanone (8) and (3RS, 5SR)-(±)-4-acetyl-3,5-diphenylcyclohexanone (7).

Compound 8 was synthesized from 2-trimethylsilyloxy-4-phenyl-1,3-butadiene (9) [4] and benzylidene acetone (1) following a reported procedure [8]. Compound 7 was prepared via an amine catalyzed Diels-Alder reaction using pyrrolidine as catalyst [3].

Synthesis of (2RS, 6SR)-(±)-1-(4-amino-2,6-diphenylcyclohex-3-en-1-yl) ethanones 10b-d

Compounds 7 (1 g) were dissolved in dry benzene (14 mL). A threefold molar amount of the secondary amine, activated 4Å molecular sieves (2 g) and 4-toluenesulfonic acid (40 mg) were added. The reaction mixture was refluxed over night at 100°C. After cooling to room temperature, benzene (30 mL) was added and the solution was extracted four times with water. After drying over Na2SO4 and filtration, the solvent was evaporated in vacuo and the residue recrystallized from ether.

(2RS, 6SR)-(±)-1-(4-Morpholino-2,6-diphenylcyclohex-3-en-1-yl) ethanone (10b)

Compound 7 (1 g, 3.4 mmol) and morpholine (894 mg, 10.3 mmol) gave 10b (804 mg, 65%) as white needles. Mp: 114°C (ether); IR (KBr) cm-1: 2957, 2918, 2891, 2853, 2823, 1704, 1651, 1492, 1452, 1378, 1356, 1262, 1205, 1190, 1162, 1119, 1039, 891, 767, 753, 703; UV (CH2Cl2): l (log e) = 236 (3.965) nm; 1H-NMR (CDCl3, 400 MHz)δ: 1.31 (s, 3H, CH3), 2.41 - 2.54 (m, 2H, 5-H), 2.79 - 2.93 (m, 4H, (NCH2)2), 3.04 (t, J = 11.0 Hz, 1H, 1-H), 3.24 (ddd, J = 11.4, 11.2, 5.9 Hz, 1H, 6-H), 3.70 - 3.74 (m, 4H, O(CH2)2), 3.82 (b, d, J = 10.0 Hz, 1H, 2-H), 4.69 (s, 1H, 3-H), 7.17 – 7.31 (m, 10H, aromatic H) ppm; 13C-NMR (CDCl3, 100 MHz) δ: 33.13 (CH3), 35.17 (C-5), 44.48 (C-6), 46.92 (C-2), 48.39 (N(CH2)2), 61.64 (C-1), 66.80 (O(CH2)2), 103.92 (C-3), 126.76, 126.92, 127.53, 127.76, 128.61, 128.69 (aromatic C), 142.92, 144.71, 144.84 (C-4, aromatic Cq), 212.32 (C=O) ppm; MS (EI+): m/z (%) = 361 (18.6) [M+], 318 (100.0), 215 (22.5), 185 (10.0), 157 (7.8), 129 (9.3), 91 (9.7), 43 (7.0); Anal. Calcd for C24H27NO2 (361.48): C 79.74, H 7.53, N 3.87; found: C 79.50, H 7.58, N 3.69; HRMS (EI+) for C24H27NO2 (M+): Calcd 361.20418; Found 361.20589.

(2RS, 6SR)-(±)-1-(2,6-Diphenyl-4-pyrrolidinocyclohex-3-en-1-yl) ethanone (10c)

Compound 7 (1 g, 3.4 mmol) and pyrrolidine (730 mg, 10.3 mmol) gave 10c (803 mg, 68%) as white needles. Mp: 145°C (ether); IR (KBr) cm-1: 2905, 2821, 1705, 1631, 1494, 1455, 1392, 1368, 1351, 1315, 1266, 1164, 758, 699; UV (CH2Cl2): l (log e) = 235 (3.863) nm; 1H-NMR (CDCl3, 400 MHz)δ: 1.30 (s, 3H, CH3), 1.82 - 1.89 (m, 4H, 2CH2), 2.51 - 2.66 (m, 2H, 5-H), 3.02 (t, J = 11.2 Hz, 1H, 1-H), 3.03 - 3.08 (m, 4H, (NCH2)2), 3.28 (ddd, J = 11.5, 11.5, 5.7 Hz, 1H, 6-H), 3.84 (b, d, J = 10.0 Hz, 1H, 2-H), 4.25 (s, 1H, 3-H), 7.17 – 7.30 (m, 10H, aromatic H) ppm; 13C-NMR (CDCl3, 100 MHz) δ: 24.67 ((CH2)2), 33.01 (CH3), 35.94 (C-5), 44.42 (C-6), 47.26 (C-2), 47.48 (N(CH2)2), 61.84 (C-1), 96.94 (C-3), 126.50, 126.79, 127.63, 127.82, 128.43, 128.64 (aromatic C), 142.29, 143.31, 145.83 (C-4, aromatic Cq), 212.61 (C=O) ppm; MS (EI+): m/z (%) = 345 (14.3) [M+], 302 (100.0), 199 (34.9), 184 (8.5), 129 (7.8), 91 (7.0), 43 (6.2); Anal. Calcd for C24H27NO (345.48): C 83.44, H 7.88, N 4.05; found: C 83.27, H 8.09, N 3.99; HRMS (EI+) for C24H27NO (M+): Calcd 345.20926; Found 345.21098.

(2RS, 6SR)-(±)-1-(4-Piperidino-2,6-diphenylcyclohex-3-en-1-yl) ethanone (10d)

Compound 7 (1 g, 3.4 mmol) and piperidine (874 mg, 10.3 mmol) gave 10d (775 mg, 63%) as white needles. Mp: 156°C (ether); IR (KBr) cm-1: 2932, 2853, 2794, 1703, 1631, 1493, 1454, 1390, 1353, 1230, 1215, 1201, 1165, 1125, 758, 703; UV (CH2Cl2): l (log e) = 237 (3.954) nm; 1H-NMR (CDCl3, 400 MHz)δ: 1.32 (s, 3H, CH3), 1.48 - 1.53 (m, 2H, CH2), 1.56 - 1.59 (m, 4H, (CH2)2), 2.41 - 2.57 (m, 2H, 5-H), 2.77 - 2.91 (m, 4H, (NCH2)2), 3.02 (t, J = 11.0 Hz, 1H, 1-H), 3.24 (ddd, J = 11.6, 11.4, 5.3 Hz, 1H, 6-H), 3.83 (b, d, J = 10.2 Hz, 1H, 2-H), 4.67 (s, 1H, 3-H), 7.18 – 7.30 (m, 10H, aromatic H) ppm; 13C-NMR (CDCl3, 100 MHz) δ: 24.48 (CH2), 25.74 ((CH2)2), 33.01 (CH3), 35.95 (C-5), 44.69 (C-6), 47.15 (C-2), 49.02 (N(CH2)2), 61.86 (C-1), 103.57 (C-3), 126.62, 126.79, 127.54, 127.80, 128.53, 128.63 (aromatic C), 143.22, 145.16, 145.49 (C-4, aromatic Cq), 212.48 (C=O) ppm; MS (EI+): m/z (%) = 359 (17.8) [M+], 316 (100.0), 268 (9.7), 213 (25.6), 198 (13.2), 136 (12.8), 115 (7.8), 91 (7.8), 43 (6.2); Anal. Calcd for C25H29NO (359.51): C 83.52, H 8.13, N 3.90; found: C 83.25, H 8.25, N 3.79; HRMS (EI+) for C25H29NO (M+): Calcd 359.22491; Found 359.22582.

Reaction of ethyl styryl ketone (13) with dimethylammonium thiocyanate

Ethyl styryl ketone (13, 30 g, 0.187 mol) and dimethylammonium thiocyanate (7.2g, 0.095 mol) were suspended in dimethylformamide (120 mL) and refluxed at 220°C for 6h at a water separator. After cooling to ambient temperature the solvent was evaporated under reduced pressure and the residue was dissolved in a small amount of hot ethanol. Compound 15 crystallized first and was filtered off by suction. The iminium salt 16 crystallized from the filtrate.

(2RS, 3RS, 4RS, 5SR)-(±)-2-Methyl-3,5-diphenyl-4-propionylcyclohexanone (15)

Yield: 980 mg (3.2%) Mp: 197°C (ethanol); the spectral data exactly matched those reported [9].

(1RS, 2SR, 3RS, 6SR)-(±)-N,N-Dimethyl-1-(3-methyl-4-oxo-2,6-diphenylcyclohexyl)-propan-1-iminium thiocyanate (16)

Yield: 2.178 g (5.6%) Mp: 212°C (ethanol); yellow prisms. IR (KBr) cm-1: 3060, 2987, 2972, 2956, 2933, 2051, 1709, 1649, 1494, 1455, 1428, 1352, 1336, 1226, 1074, 759, 708; UV (CH3OH): l (log e) = 214 (4.117) nm; 1H NMR (DMSO-d6, 400 MHz) δ: 0.69 (d, J = 6.5 Hz, 3H, CH3), 0.75 (t, J = 7.4 Hz, 3H, CH2CH3), 2.47 (dd, J = 13.3, 3.9 Hz, 1H, 5-H), 2.77 (dq, J = 14.6, 7.3 Hz, 1H, CH2CH3), 2.94 (dq, J = 14.6, 7.3 Hz, 1H, CH2CH3), 3.00 (s, 3H, NCH3), 3.10 - 3.17 (m, 2H, 3-H, 5-H), 3.26 (dd, J = 11.5, 11.1 Hz, 1H, 2-H), 3.31 (s, 3H, NCH3), 3.68 (ddd, J = 13.1, 10.8, 4.0 Hz, 1H, 6-H), 4.88 (dd, J = 10.9, 10.7 Hz, 1H, 1-H), 7.27 – 7.46 (m, 10H, aromatic H) ppm; 13C NMR (DMSO-d6, 100 MHz) δ: 9.59 (CH2CH3), 11.88 (CH3), 24.10 (CH2CH3), 45.15 (NCH3), 45.26 (C-6), 45.39 (NCH3), 48.01 (C-3), 48.25 (C-5), 51.91 (C-2), 53.77 (C-1), 127.25, 128.03, 128.13, 129.08, 129.18 (aromatic C), 139.56, 140.87 (aromatic Cq), 195.26 (C=N), 207.57 (C-4) ppm; Anal. Calcd for C25H30N2OS (406.58): C 73.85, H 7.44, N 6.89, S 7.89; found: C 73.63, H 7.70, N 6.95, S 7.60.

X-ray diffraction data of 16

All the measurements were performed using graphite-monochromatized Mo Kα radiation at 95(2)K: C24H30NO+ SCN-, Mr 406.57, orthorhombic, space group P b c a, a = 9.777(2)Å, b = 15.746(3)Å, c = 28.318(5)Å, V = 4359.5(14)Å3, Z = 8, dcalc = 1.239g cm-3, μ = 0.167mm-1. A total of 4771 reflections were collected (Θmax = 26.0°), from which 4272 were unique (Rint = 0.0360), with 2847 having I > 2σ(I). The structure was solved by direct methods (SHELXS-97) [10] and refined by full-matrix least-squares techniques against F2 (SHELXL-97) [11]. The non-hydrogen atoms were refined with anisotropic displacement parameters without any constraints. The H atoms were refined with common isotropic displacement parameters for the H atoms bonded to the same acyclic C atom or to the same ring. The H atoms of the tertiary C-H groups were refined with all X-C-H angles equal at a C-H distance of 1.00Å. The H atoms of the CH2 groups were refined with idealized geometry with approximately tetrahedral angles and C-H distances of 0.99Å. The H atoms of the methyl groups were refined with idealized geometry with tetrahedral angles, enabling rotation around the X-C bond, and C-H distances of 0.98 Å. The H atoms of the phenyl rings were put at the external bisector of the C-C-C angle at a C-H distance of 0.95Å. For 274 parameters final R indices of R = 0.0652 and wR2 = 0.1325 (GOF = 1.050) were obtained. The largest peak in a difference Fourier map was 0.234eÅ-3. The final atomic parameters, as well as bond lengths and angles are deposited at the Cambridge Crystallographic Data Centre (CCDC 231557). These data can be obtained free of charge from the Director, CCDC, 12 Union Road, Cambridge CB2 1EZ, UK (Fax: +44-1223-336033; e-mail: deposit@ccdc.cam.ac.uk or www: http://www.ccdc.cam.ac.uk).

RS-(±)-1-Morpholino-1-phenylpentan-3-one (14)

Ethyl styryl ketone (13, 53.19 g, 0.332 mol) and morpholine (14.46 g, 0.166 mol) were dissolved in benzene (25 mL) and zinc chloride (200 mg) was added. The mixture was refluxed at a water separator at 140°C over night, cooled to room temperature and the zinc chloride was filtered off. The solvent was evaporated in vacuo giving a resinous residue which was purified by CC with ether as eluent. The fractions containing larger amounts of product were dissolved in dichloromethane and 2M ethereal HCl was added and the solvent evaporated. After that, analytical amounts of a pink solid were crystallized from ethyl acetate. A further recrystallization from ethanol gave the hydrochloride of 14 (980 mg, 2.4%) as white powder which was used for biological testing and as an analytical sample. The easily decomposed base was freed with neutral washed Amberlite IRA-420 ion exchanger (Fluka) in ethanol. Mp: 156°C (HCl, ethanol); IR (HCl, KBr) cm-1: 2943, 2901, 2866, 2672, 2610, 2574, 2557, 2473, 1720, 1712, 1456, 1379, 1132, 1081, 767, 706; UV (HCl, CH3OH): l (log e) = 208 (3.891) nm; 1H-NMR (CDCl3, 400 MHz) δ: 0.95 (t, J = 7.2 Hz, 3H, 5-H), 2.26 (dq, J = 14.6, 7.2 Hz, 1H, 4-H), 2.33 - 2.45 (m, 5H, 4-H, N(CH2)2), 2.76 (dd, J = 15.2, 7.4 Hz, 1H, 2-H), 3.02 (dd, J = 15.2, 6.9 Hz, 1H, 2-H), 3.62 - 3.65 (m, 4H, O(CH2)2), 3.94 (dd, J = 7.1, 7.4 Hz, 1H, 1-H), 7.23 – 7.33 (m, 5H, aromatic H) ppm; 13C-NMR (CDCl3, 100 MHz) δ: 7.56 (C-5), 36.72 (C-4), 45.88 (C-2), 50.64 (N(CH2)2), 65.73 (C-1), 67.18 (O(CH2)2), 127.51, 128.27, 128.32 (aromatic C), 139.18 (aromatic Cq), 209.58 (C-3) ppm; GC-MS (70 eV): m/z (%) = 247 (2.0) [M+], 218 (1.0), 176 (100.0), 131 (9.8), 103 (17.6), 77 (8.8), 57 (18.6); Anal. Calcd for C15H22NO2Cl (283.80): C 63.48, H 7.81, N 4.94, Cl 12.49; found: C 63.18, H 7.98, N 4.86, Cl 12.77; HRMS (EI+) for C15H21NO2 (M+): Calcd 247.15723; Found 247.15609.

Synthesis of (2RS, 6SR)-(±)-1-(4-amino-2,6-diphenylcyclohexan-1-yl) ethanones 17b-d

The enamines 10b-d were dissolved in ethanol and Pd/C (10%) was added. The reaction mixtures were shaken over night in a Paar hydrogenator low pressure vessel under a H2 atmosphere (50 psi) at room temperature. The catalyst was filtered off and the solvent was evaporated in vacuo. The residue was dissolved in hot ethanol and compounds 11b-d crystallized upon cooling.

(2RS, 6SR)-(±)-1-(4-Morpholino-2,6-diphenylcyclohexan-1-yl) ethanone (17b)

Compound 10b (150 mg, 0.41 mmol) and Pd/C (10%, 100 mg) in ethanol (50 mL) gave 17b as white needles (72 mg, 48%). Mp: 211°C (ethanol); IR (KBr) cm-1: 2965, 2951, 2854, 2806, 1703, 1493, 1453, 1355, 1271, 1168, 1122, 754, 702, 693; UV (CH2Cl2): l (log e) = 230 (2.973), 259 (2.675) nm; 1H-NMR (CDCl3, 400 MHz) δ: 1.24 (s, 3H, CH3), 1.81 (ddd, J = 12.9, 11.5, 2.4 Hz, 2H, 3Hax, 5Hax), 2.20 (b, d, J = 13.3 Hz, 2H, 3-Heq, 5-Heq), 2.42 - 2.52 (m, 5H, 4-H, (NCH2)2), 3.02 (t, J = 11.0 Hz, 1H, 1-H), 3.35 (ddd, J = 13.0, 11.0, 2.2 Hz, 2H, 2-H, 6-H), 3.80 - 3.84 (m, 4H, O(CH2)2), 7.16 – 7.30 (m, 10H, aromatic H) ppm; 13C-NMR (CDCl3, 100 MHz) δ: 32.71 (CH3), 35.25 (C-3, C-5), 40.96 (C-2, C-6), 50.75 (N(CH2)2), 59.12 (C-4), 64.00 (C-1), 67.17 (O(CH2)2), 126.68, 127.39, 128.60 (aromatic C), 143.59 (aromatic Cq), 211.83 (C=O) ppm; MS (EI+): m/z (%) = 363 (24.0) [M+], 320 (69.8), 202 (100.0), 129 (10.1), 113 (25.6), 103 (6.6), 91 (24.8), 55 (7.0), 43 (14.0); Anal. Calcd for C24H29NO2 (363.49): C 79.30, H 8.04, N 3.85; found: C 79.02, H 7.86, N 3.83; HRMS (EI+) for C24H29NO2 (M+): Calcd 363.21983; Found 363.22092.

(2RS, 6SR)-(±)-1-(2,6-Diphenyl-4-pyrrolidinocyclohexan-1-yl) ethanone (17c)

Compound 10c (776 mg, 2.2 mmol) and Pd/C (10%, 100 mg) in ethanol (50 mL) gave 17c (593 mg, 76%) as white needles. Mp: 192°C (ethanol); IR (KBr) cm-1: 2939, 2902, 2786, 1702, 1493, 1455, 1352, 1343, 1169, 1078, 755, 698; UV (CH2Cl2): l (log e) = 231 (3.320) nm; 1H-NMR (CDCl3, 400 MHz) δ: 1.28 (s, 3H, CH3), 1.79 - 1.86 (m, 6H, 3-Hax, 5-Hax, 2CH2), 2.12 (d, b, J = 13.0 Hz, 2H, 3-Heq, 5-Heq), 2.47 (t, J = 2.7 Hz, 1H, 4-H), 2.52 - 2.58 (m, 4H, (NCH2)2), 3.02 (t, J = 11.1 Hz, 1H, 1-H), 3.44 (ddd, J = 13.0, 11.1, 3.1 Hz, 2H, 2-H, 6-H), 7.15 – 7.29 (m, 10H, aromatic H) ppm; 13C‑ NMR (CDCl3, 100 MHz) δ: 23.83 ((CH2)2), 32.46 (CH3), 38.17 (C-3, C-5), 41.25 (C-2, C-6), 51.90 (N(CH2)2), 60.12 (C-4), 63.85 (C-1), 126.54, 127.51, 128.56 (aromatic C), 144.07 (C-4, aromatic Cq), 212.17 (C=O) ppm; MS (EI+): m/z (%) = 347 (18.6) [M+], 304 (79.8), 186 (100.0), 115 (10.0), 97 (36.4), 91 (22.4), 69 (12.4), 43 (11.6); Anal. Calcd for C24H29NO (347.50): C 82.95, H 8.41, N 4.03; found: C 82.70, H 8.56, N 3.93; HRMS (EI+) for C24H29NO (M+): Calcd 347.22491; Found 347.22395.

(2RS, 6SR)-(±)-1-(2,6-Diphenyl-4-piperidinocyclohexan-1-yl) ethanone (17d)

Compound 10d (502 mg, 1.4 mmol) and Pd/C (10%, 340 mg) in ethanol (160 mL) gave 17d (237 mg, 47%) as white needles. Mp: 208°C (ethanol); IR (KBr) cm-1: 2970, 2933, 2750, 1703, 1493, 1452, 1353, 1164, 1077, 752, 702; UV (CH2Cl2): l (log e) = 233 (3.193), 302 (1.838) nm; 1H-NMR (CDCl3, 400 MHz) δ: 1.27 (s, 3H, CH3), 1.42 - 1.46 (m, 2H, CH2), 1.63 - 1.69 (m, 4H, CH2)2), 1.76 (ddd, J = 13.9, 12.9, 2.6 Hz, 2H, 3-Hax, 5-Hax), 2.23 (b, d, J = 12.7 Hz, 2H, 3-Heq, 5-Heq), 2.40 - 2.48 (m, 5H, 4-H, (NCH2)2), 3.01 (t, J = 11.2 Hz, 1H, 1-H), 3.38 (ddd, J = 13.1, 10.8, 2.3 Hz, 2H, 2-H, 6-H), 7.15 – 7.29 (m, 10H, aromatic H) ppm; 13C-NMR (CDCl3, 100 MHz) δ: 24.64 (CH2), 26.28 ((CH2)2), 32.36 (CH3), 36.24 (C-3, C-5), 41.09 (C-2, C-6), 51.30 (N(CH2)2), 59.00 (C-4), 64.27 (C-1), 126.57, 127.48, 128.57 (aromatic C), 144.03 (aromatic Cq), 211.93 (C=O) ppm; MS (EI+): m/z (%) = 361 (17.1) [M+], 318 (55.0), 200 (100.0), 129 (6.0), 111 (25.2), 91 (14.7), 43 (7.8); Anal. Calcd for C25H31NO (361.52): C 83.06, H 8.64, N 3.87; found: C 82.82, H 8.71, N 3.81; HRMS (EI+) for C25H31NO (M+): Calcd 361.24056; Found 361.24066.

Acknowledgments

This work was supported by the Fonds zur Förderung der wissenschaftlichen Forschung (Austrian Science Fund, grant no. P-15928).

References

  1. Seebacher, W.; Brun, R.; Weis, R. New 4-aminobicyclo[2.2.2]octane derivatives and their activities against Plasmodium falciparum and Trypanosoma b. rhodesiense. Eur. J. Pharm. Sci. 2004, 21, 225–233. [Google Scholar]
  2. Weis, R.; Schweiger, K.; Seebacher, W.; Belaj, F. One-pot synthesis of 4-Amino-bicyclo[2.2.2]octan-2-ones. Tetrahedron 1998, 54, 14015–14022. [Google Scholar]
  3. Ramachary, D. B.; Chowdari, N. S.; Barbas, C. F. Amine-catalyzed self Diels-Alder reactions of α,β-unsaturated ketones in water: synthesis of pro-chiral cyclohexanones. Tetrahedron Lett. 2002, 43, 6743–6746. [Google Scholar]
  4. Yokokawa, F.; Asano, T.; Shioiri, T. Total synthesis of (-)-hennoxazole A. Tetrahedron 2001, 57, 6311–6327. [Google Scholar]
  5. Morita, K.-I.; Kobayashi, T. Cyclization of 4-acetyl-1-dialkylamino-1-cyclohexenes to 4-(dialkylamino)bicyclo[2.2.2]octan-2-ones. J. Org. Chem. 1966, 31, 3106–3108. [Google Scholar]
  6. Brady, W.T., Shieh; Brady, W.T., Shieh. Cycloaddition of α,β-Unsaturated Imines with Ketenes To Yield Both β- and δ-Lactams. J. Org. Chem. 1983, 48, 2499–2502. [Google Scholar]
  7. Johnson, C.K. ORTEP: Report ORNL-3794; Oak Ridge National Laboratory: Tennessee, USA, 1965. [Google Scholar]
  8. Mukaiyama, T.; Sagawa, Y.; Kobayashi, S. The Double Michael Reaction of α,β-unsaturated Ketones with Siloxydienes Catalyzed by Trityl Perchlorate Forming Six Membered Ring Systems. Chem. Lett. 1986, 1821, 1821–1824. [Google Scholar]
  9. Fournier, F.; Davoust, D.; Basselier, J.J. Oligomerisations electro-assistees II Dimerisation de la Phenyl-1-pentene-2-one-3. Tetrahedron 1985, 41, 5677–5683. [Google Scholar] [CrossRef]
  10. Sheldrick, G.M. SHELXS-97: Program for the Solution of Crystal Structures; University of Göttingen: Göttingen, Germany, 1997. [Google Scholar]
  11. Sheldrick, G. M. SHELXL-97: Program for the Refinement of Crystal Structures; University of Göttingen: Göttingen, Germany, 1997. [Google Scholar]

Share and Cite

MDPI and ACS Style

Seebacher, W.; Kröpfl, D.; Belaj, F.; Saf, R.; Hüfner, A.; Weis, R. Investigations on the Formation of 4-Aminobicyclo[2.2.2]-octanones. Molecules 2005, 10, 521-533. https://doi.org/10.3390/10030521

AMA Style

Seebacher W, Kröpfl D, Belaj F, Saf R, Hüfner A, Weis R. Investigations on the Formation of 4-Aminobicyclo[2.2.2]-octanones. Molecules. 2005; 10(3):521-533. https://doi.org/10.3390/10030521

Chicago/Turabian Style

Seebacher, Werner, Dietmar Kröpfl, Ferdinand Belaj, Robert Saf, Antje Hüfner, and Robert Weis. 2005. "Investigations on the Formation of 4-Aminobicyclo[2.2.2]-octanones" Molecules 10, no. 3: 521-533. https://doi.org/10.3390/10030521

APA Style

Seebacher, W., Kröpfl, D., Belaj, F., Saf, R., Hüfner, A., & Weis, R. (2005). Investigations on the Formation of 4-Aminobicyclo[2.2.2]-octanones. Molecules, 10(3), 521-533. https://doi.org/10.3390/10030521

Article Metrics

Back to TopTop