Abstract
Some new substituted dihydrothieno[2',3':4,5]thieno[2,3-c]quinolin-6-ones 9-12 and tetrahydrodithieno[2,3-b: 2',3'-d]thieno[2'',3''-c:2'',3''-c’]diquinolin-6,14-dione (17) were prepared from the corresponding new anilides 5-8 and from the corresponding dianilide 15, respectively, by a multistep combination of chemical and photochemical reactions. All the prepared compounds are of particular interest because they might serve as DNA intercalators in anticancer therapy.
Introduction
There are only a few recent literature reports which describe thieno[3,2-b]- and thieno[3,4-b]-thiophenes with different features [1,2,3] and applications [4,5]. Synthesis of a new class of cofacially oriented neutral donor-acceptor thienothiophenes to probe the presence of through-space charge transfer interaction has been described [6]. Synthesis of some polyfused thienoheterocycles e.g.: thienopyrimidine, thienotriazine, thienoimidazotriazine, etc. [7] and new bis-(p-fluorophenyl)amides of thieno[3,2-b]-thiophene, thieno[3,2-b]furan and 1,2-bis(5-[2-(2-thienyl)ethenyl]2-thienyl)ethane are also described [8]. The new thienothiophene group was reported recently [9]. Occasionally thienothiophenes have been prepared from monobromo, dibromo or tribromo substituted thiophenes [10], 3,6-dimethyl-substituted thieno[3,2-b]thiophenes, prepared as monomers in the polymerization process [11,12] or thieno[3,2-b]thiophenes, which are synthesized starting from phthalimidosulfenyl chloride via reaction with diaryl (or heteroaryl) acetylenes [13] or as the intermediates in the synthesis of heteroarenes which are isoelectric with perylene [14]. Various thieno[3,2-c]-anellated 1,2-dithiins have been prepared from appropriate thiophene precursors [15,16]. On the other hand, there is a lot of patent literature which describes the synthesis of thiophene 3,4-carboxamide derivatives and their application as useful and active dopamine receptor blockers [17], or useful herbicides [18]. Some substituted benzo[b]thiophenecarboxamides are used as inhibitors of neutrophil-endothelial cell adhesion [19]. Finally, the synthesis of tricyclic thiophenes using transition-metal or palladium catalyzed cyclization [20,21] was described recently, as were their applications as radical cations [22] or in photochemical polymerization processes [23,24].
Results and Discussion
In our previous papers we have described the synthesis of some dianilides of the benzo[b]-thiophene, thieno[2,3-b]thiophene, benzo[1,2-b:4,5-b'] dithiophene and dithieno[3,2-b:2',3'-d]-thiophene series and their photochemical reactions, which led to the corresponding quinolones [25,26,27]. Recently, we also reported the synthesis of new thieno[2,3-b]thienylquinolones and their antitumor activity [28].
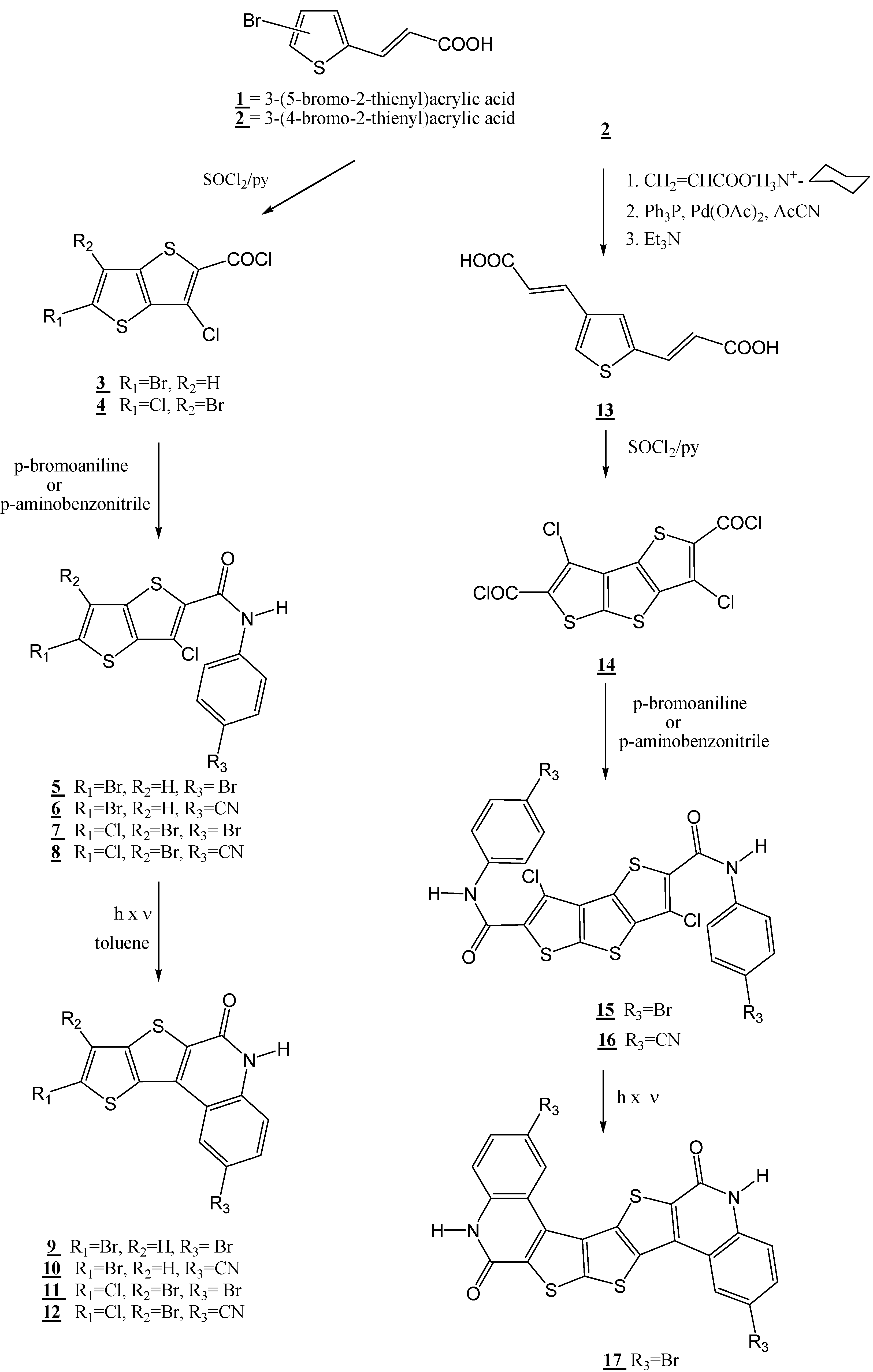
In this paper we describe the preparation of some new substituted dihydrothieno[2',3':4,5]thieno-[2,3-c]quinolin-6-ones 9-12 and of tetrahydrodithieno[2,3-b:2',3'-d]thieno-[2'',3''-c:2'',3''-c']diquinolin-6,14-dione (17) by multistep syntheses starting from the corresponding bromo substituted 2-thienylacrylic acids 1 and 2 prepared earlier [29,30] (Scheme 1). Cyclization of 1 and 2 by the known method [26,31,32] using thionyl chloride and a catalytic amount of pyridine, gave substituted 3-chlorothieno[3,2-b]thiophene-2-carbonyl chlorides 3 and 4, respectively The yields varied from 40-56%. By refluxing chlorides 3 and 4 with p-bromoaniline or p-aminobenzonitrile in toluene the corresponding substituted 3-chlorothieno[3,2-b]thiophene-2-carboxanilides 5-8 were obtained. All the prepared anilides 5-8 were converted by the photochemical dehydrohalogenation reaction into the corresponding disubstituted quinolones 9-12 [26,28]. On the other hand, the Heck reaction of compound 2 gave 3-(2,4-thienylene)diacrylic acid (13, [28,33]), which was cyclized with thionyl chloride and a catalytic amount of pyridine, by the known method [26,27,34], into dichloride 14. Refluxing of dichloride 14 with p-bromoaniline or p-aminobenzonitrile in toluene afforded the corresponding 3,6-dichlorodithieno-[3,2-b:2,3-b’]thiophene-2,5-carboxanilides 15 and 16. Dianilide 15 was converted by the double photochemical dehydrohalogenation reaction into the diquinolone 17. Dianilide 16 proved quite insoluble in the usual organic solvents and the photochemical reaction was not carried out.
Scheme 1.
Scheme 1.

Experimental
General
Melting points were determined on a Kofler hot stage microscope and are uncorrected. IR spectra were recorded on a Nicolet Magna 760 spectrophotometer between KBr plates. UV spectra were recorded on either a Perkin-Elmer 124 or a Hewlett-Packard 8452A spectrophotometer in methanol or ethanol. 1H- and 13C-NMR spectra were recorded on either a Varian Gemini 300 or a Bruker Avance DPX 300 spectrometer in DMSO-d6. Chemical shifts (δ) are reported in part per million (ppm) relative to TMS as an internal standard, and coupling constants (J) are given in hertz (Hz). Mass spectra were recorded on either a Varian-MAT 311A (Electron Impact and Fast Atom Bombardment) or a Micromass Platform LCZ (Electrospray). Elemental analysis for carbon, hydrogen and nitrogen were performed on a Perkin-Elmer 2400 elemental analyzer. Where analyses are indicated only as symbols of elements, analytical results obtained are within 0.4% of the theoretical value. Irradiation was performed at room temperature with a water cooled immersion well fitted with a 400 W high pressure mercury arc lamp using Pyrex filters. All compounds were routinely checked by TLC with Merck silica gel 60F-254 glass plates or Merck aluminium oxide plates.
5-Bromo-3-chlorothieno[3,2-b]thiophene-2-carbonyl chloride (3).
A solution of acid 1 (5.2 g, 22 mmol), thionyl chloride (8.2 mL, 114 mmol) and pyridine (0.2 mL) was heated at 120°C for 72 h. The excess thionyl chloride was removed under reduced pressure and the residue extracted with boiling cyclohexane. After cooling, the precipitated yellow crystals were filtered off to give 3 (6.2 g, 87%); the crude product was used directly in the next step [32].
6-Bromo-3,5-dichlorothieno[3,2-b]thiophene-2-carbonyl chloride (4).
Compound 4 was prepared on the same way as 3 from compound 2 (5.0 g, 21 mmol), thionyl chloride (8.0 mL, 107 mmol) and pyridine (0.17 mL). The yield of the crude product which was used directly in the next step of the reaction was 5.2 g (69.6%); IR (cm-1): 1740 (COCl).
5-Bromo-N-(p-bromophenyl)-3-chlorothieno[3,2-b]thiophene-2-carboxamide (5).
To a suspension of 3 (3.0 g, 9.5 mmol), in toluene (100 mL) was added dropwise a solution of p-bromoaniline (3.5 g, 20 mmol) in toluene (50 mL). The reaction mixture was refluxed with stirring for 1.5 h. After cooling, the crystals were filtered off, washed with dilute HCl (1:1), water and hot methanol. The crystals were then recrystallized from chloroform. Compound 5 was thus obtained as white crystals (2.2 g, 52.1%), mp 115-118oC; IR (cm-1): 3350 (NH), 1640 (CONH); 1H-NMR: 10.57 (s, 1H, NH), 7.67 (d, J=8.79 Hz, 2H, H arom.), 7.65 (s, 1H, H thioph.), 7.58 (d, J=8.79 Hz, 2H, H arom.); 13C-NMR: 158.27, 137.71, 137.50, 133.40, 132.73, 131.95, 130.61, 122.52, 116.54, 105.09, 98.74; Anal. Calcd. for C13H6Br2ClNOS2: C, 34.57; H, 1.43. Found: C, 34.30; H, 1.55.
5-Bromo-N-(p-cyanophenyl)-3-chlorothieno[3,2-b]thiophene-2-carboxamide (6).
Compound 6 was prepared the same way as 5 from compound 3 (3.0 g, 9.5 mmol) in toluene (60 mL) and p-aminobenzonitrile (3.0 g, 30 mmol) in toluene (40 mL), to afford 0.5 g (13.2%) of yellow-green crystals, mp 256-260oC; IR (cm-1): 3350 (NH), 3400 (NH), 2200 (CN), 1640 (CONH); 1H-NMR: 10.88 (s, 1H, NH), 7.91 (s, 1H, H thioph.), 7.67 (d, J=8.79 Hz, 2H, H arom.), 7.58 (d J=8.79Hz, 2H, H arom.); 13C-NMR: 158.79, 156.61, 142.62, 140.92, 133.40, 132.65, 132.19, 130.96, 120.61, 119.15, 113.65, 106.49, 105.49; Anal. Calcd. for C14H6Br2ClN2OS2: C, 42.28; H, 1.52. Found: C, 42.35; H, 1.50.
6-Bromo- N-(p-bromophenyl)-3,5-dichlorothieno[3,2-b]thiophene-2-carboxamide (7).
Compound 7 was prepared on the same way as 5 from compound 4 (4.0 g, 11 mmol) in toluene (100 mL) and p-bromoaniline (2.5 g, 15 mmol) in toluene (50 mL) to give 0.78 g, (14.5%) of white crystals, mp 217-220oC; IR (cm-1): 3380 (NH), 1650 (CONH); 1H-NMR: 10.56 (s, 1H, NH), 7.68 (d, J=8.78 Hz, 2H, H-arom.), 7,58 (d J=9.09 Hz, 2H, H-arom.); 13C-NMR: 157.90, 144.08, 137.26, 133.40, 132.68, 132.50, 131.45, 122.46, 116.26, 112.86, 104.39; Anal. Calcd. for C13H5Br2Cl2NOS2: C, 32.13; H, 1.04. Found: C, 32.13; H, 0.96.
6-Bromo-N-(p-cyanophenyl)-3,5-dichlorothieno[3,2-b]thiophene-2-carboxamide (8).
Compound 8 was prepared in the same way as 5 from compound 4 (4.0 g, 11 mmol) in toluene (100 mL) and p-aminobenzonitrile (2.2 g, 18 mmol) in toluene (50 mL). The precipitate was washed with hot chloroform and recrystallized from DMF to give 1.7 g (34.8%) of dark yellow crystals, mp 283-284oC; IR (cm-1): 3350 (NH), 3400 (NH), 2200 (CN), 1660 (CONH); 1H-NMR: 10.89 (s, 1H, NH), 7.89 (s, 4H, H-arom); 13C-NMR: 161.88, 158.04, 148.32, 141.83, 133.08, 132.59, 131.99, 130.42, 120.44, 118.06, 106.42, 104.03; Anal. Calcd. for C14H5Br2Cl2N2OS2: C, 38.91; H, 1.17. Found: C, 39.09; H, 1.25.
2,9-Dibromo-5,6-dihydrothieno[2’,3’: 4,5]thieno[2,3-c]quinolin-6-one (9).
A solution of anilide 5 (1.0 g, 2 mmol) in the mixture of toluene (600 mL) and methanol (60 mL) containing a few drops of triethylamine was irradiated with a 400 W high pressure mercury arc lamp at room temperature for 4 h using a Pyrex filter. During the irradiation air was bubbled through the solution. The precipitated yellow crystals were filtered off to give 0.3 g (29.2%) of product, mp > 300oC; IR (cm-1): 3350 (NH), 1640 (CONH); 1H-NMR: 12.38 (s, 1H, NH), 8.18 (s, 1H, H thioph.) 7.85-7.42 (m, 3H, H arom.); Anal. Calcd. for C13H5Br2NOS2: C, 37.61; H, 1.21. Found: C, 37.50; H, 1.23.
2-Cyano-9-bromo-5,6-dihydrothieno[2’,3’: 4,5]thieno[2,3-c]quinolin-6-one (10).
A solution of anilide 6 (0.12 g, 0.3 mmol) in toluene (500 mL) containing a few drops of triethylamine was irradiated for 1 h as described for 9. After evaporation of the solvent 0.01 g (9.4%) of dark yellow crystals were obtained, mp > 300oC; IR (cm-1): 3400 (NH), 2200 (CN), 1660 (CONH); 1H-NMR: 12.66 (s, 1H, NH), 8.41-7.65 (m, 3H, H arom.). Anal. Calcd. for C14H5BrN2OS2: C, 46.54; H, 1.39. Found: C, 46.47; H, 1.13.
2,8-Dibromo-5,6-dihydro-9-chlorothieno[2’,3’: 4,5]thieno[2,3-c]quinolin-6-one (11).
A solution of anilide 7 (0.5 g, 0.3 mmol) in toluene (450 mL) containing a few drops of triethylamine was irradiated for 3 h as described for 9. The precipitated crystals were filtered off and washed with ether to afford 0.14 g (29.8%) of white crystals, mp > 300oC; IR (cm-1): 1665 (CONH); 1H-NMR: 12.37 (s, 1H, NH), 7.79-7.46 (m, 3H, H arom.); Anal. Calcd. for C13H4Br2ClNOS2: C, 34.73; H, 0.89. Found: C, 34.95; H, 1.13.
2-Cyano-8-bromo-5,6-dihydro-9-chlorothieno[2’,3’:4,5]thieno[2,3-c]quinolin-6-one (12).
A solution of anilide 8 (0.8 g, 2 mmol) in a mixture of toluene (1800mL) and methanol (180 mL) plus a few drops of triethylamine was irradiated for 4 h as described for 9. After evaporation of the solvent and washing the precipitate with ethanol 0.4 g (55.6%) of a dark yellow powder was obtained, mp > 300oC; IR (cm-1): 2210 (CN), 1660 (CONH); 1H-NMR: 13.39 (s, 1H, NH), 8.23-7.66 (m, 3H, H arom.); Anal. Calcd. for C14H4BrClNOS2: C, 42.49; H, 1.02. Found: C, 42.53; H, 1.23.
2,4-Thienylenediacrylic acid (13).
A mixture of 3-(4-bromo-2-thienyl)acrylic acid (2, 2.7 g, 10 mmol), cyclohexylammonium acrylate (10.74 g, 60 mmol), palladium(II)acetate (0.054 g), triphenylphosphine (0.180 g), triethylamine (18 mL) and acetonitrile (35 mL) was sealed in a glass tube and heated at 120°C for 20 h. After evaporation of the solvent under reduced pressure, the residue was dissolved in water and boiled with charcoal. After filtration, the filtrate was acidified with dilute HCl (1:1). The resulting precipitate was filtered off and recrystallized from acetic acid to give 13 (1.14 g, 43.5 %) as yellow crystals, mp 232-235oC (lit. [30] 232-235oC).
3,6-Dichlorodithieno[2,3-b:2’,3’,-d]thiophene-2,5-dicarbonylchloride (14).
Compound 14 was prepared in the same way as 3 from 13 (1.9 g, 8.0 mmol), thionyl chloride (27 mL, 383 mmol) and pyridine (0.2 mL). The yield of crude product was 2.5 g (75.2%) and this material was used directly in the next step of the reaction [34].
N,N’-di(p-bromophenyl)-3,6-dichlorothieno[2,3-b:2’,3’-d]thiophene-2,5-dicarboxamide (15).
Compound 15 was prepared from 14 (2.5 g, 6.0 mmol) suspended in chloroform (60 mL) and p-bromoaniline (2.3 g, 0.013 mmol) in chloroform (40 mL) as described for the preparation of 5. After refluxing the reaction mixture for 1.5 h and cooling, 0.5 g (12.9%) of the title compound were obtained as white crystals that were recrystallized from DMF, mp >300oC; IR (cm-1): 3400 (NH), 1665 (CONH); 1H-NMR: 10.45 (s, 2H, NH), 7.69 (d, J=8.85 Hz, 4H, H arom.), 7.58 (d J=8.84 Hz, 4H, H arom.); 13C-NMR: 158.10, 157.97, 147.75, 143.94, 141.75, 141.00, 137.94, 137.17, 137.11, 135.64, 134.96, 131.17, 131.17, 131.17, 131.17, 128.37, 122.37, 122.37, 122.37, 122.37, 118.18, 116.01; Anal. Calcd. for C22H10Br2Cl2N2O2S3: C, 39.96; H, 1.52. Found: C, 40.13; H, 1.58.
N,N’-di(p-cyanophenyl)-3,6-dichlorothieno[2,3-b:2’,3’-d]thiophene-2,5-dicarboxamide (16).
Compound 16 was prepared on the same way as 15 from 14 (0.9 g, 2.0 mmol) in chloroform (22 mL) and p-aminobenzonitrile (0.8 g, 7.0 mmol) in chloroform (40 mL). After refluxing the reaction mixture for 1.5 h and cooling, 0.5 g (35.3%) of white crystals, recrystallized from DMF, were obtained mp >300oC; IR (cm-1): 3480 (NH), 2200 (CN), 1660 (CONH); 1H-NMR: 10.79 (s, 1H, NH), 10.78 (s, 1H, NH), 7.88-7.58 (m, 8H, H-arom.); 13C-NMR: 159.09, 159.09, 143.29, 142.71, 142.62, 141.77, 134.85, 134.85, 133.57, 132.19, 132.19, 132.19, 132.19, 131.09, 128.81, 120.56, 120.56, 120.53, 120.53, 119.72, 119.15, 117.18, 106.32, 106.32. Anal. Calcd. for C24H10Cl2N4O2S3: C, 52.08; H, 1.82. Found: C, 52.13; H, 2.11.
2,10-Dibromo-5,6,13,14-tetrahydrodithieno[2,3-b:2’,3’-d]-thieno[2”,3”-c:2”,3”-c’]diquinoline-6,14-dione (17).
A solution of dianilide 15 (0.056 g, 0.085 mmol) in the mixture of toluene (900mL) and methanol (90 mL) containing a few drops of triethylamine was irradiated with 400 W high pressure mercury arc lamp at room temperature for 1 h using a Pyrex filter. During the irradiation air was bubbled through the solution. The precipitated powder was filtered off and washed with ether. Compound 17 (0.024 g, 48.9 %). was obtained as white crystals, mp > 300oC, insoluble in all common solvents. IR (cm-1): 3400 (NH), 1660 (CONH); MS m/z: 587 (M+1); Anal. Calcd. for C22H8Br2N2O2S3: C, 44.91; H, 1.63. Found: C, 45.05; H, 1.37.
Acknowledgements
This study was financially supported by the Ministry of Science of the Republic of Croatia within project No. 0125005 and we are grateful for this support.
References
- Fuller, L.S.; Iddon, B.; Smith, K.A. Thienothiophenes. Part 3. On the ring-opening reactions of 3-lithiated and 3,6-dilithiated thieno[3,2-b]thiophenes; new routes to polyfunctionalized thiophenes and enediynes. J. Chem. Soc. Perkin Trans. 1 1999, 1273–1277. [Google Scholar]
- Fuller, L.S.; Iddon, B.; Smith, K.A. Synthesis of polyfunctionalized thiophenes and enedyines via ring-opening Reactions of 3-lithiated thieno[2,3-b]thiophenes, 3,4-dilithiated thieno[2,3-b]-thiophenes and 3,6-dilithiated thieno[3,2-b]thiophenes. Chem. Commun. 1997, 2355–2356. [Google Scholar] [CrossRef]
- Fuller, L.S.; Iddon, B.; Smith, K.A. Thienothiophenes. 2. Synthesis, metallation and bromine- lithium exchange reactions of thieno[3,2-b]thiophene and its polybromoderivatives. J. Chem. Soc. Perkin Trans. 1 1997, 3465–3470. [Google Scholar]
- Whitfield, F.B.; Mottram, D.S. Heterocyclic volatiles formed by heating cysteine or hydrogen sulfide with 4-hydroxy-5-methyl-3(2H)-furanone at pH 6. J. Ag. Food Chem. 2001, 49, 816–822. [Google Scholar]
- Whitfield, F.B.; Mottram, D.S. Investigation of the reaction between 4-hydroxy-5-methyl-3(2H)-furanone and cysteine or hydrogen sulfide at pH 4.5. J. Ag. Food Chem. 1999, 47, 1626–1634. [Google Scholar]
- Mashraqui, S.H.; Ashraf, M.; Hariharasubrahmanian, H.; Kellogg, R.M.; Meetsma, A. Donor-acceptor thieno[2,3-b]thiophene systems: synthesis and structural study of 3-anisyl-4-pyridyl(pyridinium) thieno[2,3-b]thiophenes. J. Mol. Struct. 2004, 689, 107–113. [Google Scholar]
- Moustafa, H.M.; Khodairy, A.; El-Saghier, A.M.M. Synthesis of some new polyfused thienothiophenes Part 4: Synthesis of thienopyrimidine, thienotriazine, thienoimidazotriazine, thienotriazolotriazine, and thienotetrazolotriazine derivatives. Phosphorus, Sulfur Silicon Relat. Elem. 2003, 178, 1211–122. [Google Scholar]
- Pavličić, D.; Koružnjak, J.D.; Banić-Tomišić, Z.; Karminski-Zamola, G. Synthesis of some new bis-(p-fluorophenyl)amides of the thieno[3,2-b]thiophene, thieno[3,2-b]furan and 1,2-bis{5-[2-(2-thienyl)ethenyl]2-thienyl}ethene series. Molecules 2002, 7, 871–884. [Google Scholar]
- Yasuke, S.; Kurita, J.; Tsuchiya, T. Synthesis of novel group 15 and 16 thieno[2,3-b]-, thieno[3,4-b]-, and thieno[3,2-b]-heteroles. Heterocycles 1997, 45, 1891–1894. [Google Scholar]
- Hawkins, D.W.; Iddon, B.; Longthorne, D.S.; Rosyk, P.J. Synthesis of thieno-[2,3-b]-, -[3,2-b]- and -[3,4-b]-thiophenes and thieno-[3',2'/4,5]-, -[2',3'/4,5]- and -[3',4'/4,5]-thieno[3,2-d]pyrimidin-7(6h)-ones starting from thiophene. J. Chem. Soc. Perkin Trans. 1 1994, 2735–2743. [Google Scholar]
- Choi, K.S.; Sawada, K.; Dong, H.; Hoshino, M.; Nakayama, J. A one-pot synthesis of substituted thieno[3,2-b]thiophenes and selenolo[3,2-b]selenophenes. Heterocycles 1994, 38, 143–149. [Google Scholar]
- Nakayama, J.; Dong, H.; Sawada, K.; Ishii, A.; Kumakura, S. Synthesis and characterization of dimers, trimers, and tetramers of 3,6-dimethylthieno[3,2b]thiophene and 3,6-dimethylselenolo[3,2b]selenophene. Tetrahedron 1996, 52, 471–488. [Google Scholar]
- Capozzi, G.; Desio, F.; Manichetti, S.; Nativi, C.; Pacini, P.L. Phthalimidesulfenyl chloride. 7. Synthesis of 2-substituted 3-chlorobenzo[b]thiophenes and related heteroaromatics. Synthesis 1994, 521–525. [Google Scholar]
- Otsubo, T.; Kono, Y.; Hozo, N.; Miyamoto, H.; Aso, Y.; Ogura, F.; Tanaka, T.; Sawada, M. Syntheses, structures, and properties of 2,3,6,7-tetrathiabenzo[1,3-cd:4,6-c'd']dipentalene and its methyl, ethyl, methylthio, and ethylthio derivatives - novel fused polynuclear heteroarenes. Bull. Chem. Soc. Jpn. 1993, 66, 2033–2041. [Google Scholar]
- Block, E.; Guo, C.; Thiruvazhi, M.; Toscano, P.J. Total synthesis of thiarubrine B [3-(3-buten-1-ynyl)-6-(1,3-pentadiynyl)-1,2-dithiin], the antibiotic principle of giant ragweed (ambrosia trifida). J. Am. Chem. Soc. 1994, 116, 9403–9404. [Google Scholar]
- Schroth, W.; Hintzsche, E.; Jordan, H.; Jende, T.; Spitzner, R.; Thondorf, I. 1,2-Dithiins and precursors. 17. Synthesis and properties of thieno annellated 1,2-dithiins - structural influence on colour. Tetrahedron 1997, 53, 7509–7528. [Google Scholar]
- Fernández Fernández, M.I.; Hotten, T.M.; Tupper, D.E. Thiophene carboxamide deriv. prepn. Span. Pat. Appl. ES 2,008,635, 1988. [Chem. Abstr. 1991, 114, 207008b]. [Google Scholar] Fernández Fernández, M.I.; Hotten, T.M.; Tupper, D.E. Amino-thiophene deriv. prepn. Span. Pat. Appl. ES 2,008,634, 1989. [Chem. Abstr., 1991, 114, 207009c)]. [Google Scholar] Fernández Fernández, M.I.; Hotten, T.M.; Tupper, D.E. Thiophene carboxamide deriv. prepn. Span. Pat. Appl. ES 2,008,630, 1989. [Chem. Abstr., 1991, 114, 207010w]. [Google Scholar] Fernández Fernández, M.I.; Hotten, T.M.; Tupper, D.E. Thiophene carboxamide deriv. prepn. Span. Pat. Appl. ES 2,008,631, 1989. [Chem. Abstr., 1991, 114, 207011x]. [Google Scholar] Fernández Fernández, M.I.; Hotten, T.M.; Tupper, D.E. Thiophene carboxamide deriv. prepn. Span. Pat. Appl. ES 2,008,632, 1989. [Chem. Abstr., 1991, 114, 207012y]. [Google Scholar] Fernández Fernández, M.I.; Hotten, T.M.; Tupper, D.E. Amino-thiophene deriv. prepn. Span. Pat Appl. ES 2,008,633, 1989. [Chem. Abstr., 1991, 114, 207013z]. [Google Scholar] Fernández Fernández, M.I.; Hotten, T.M.; Tupper, D.E. Thiophene carboxamide deriv. prepn. Span. Pat. Appl. ES 2,008,636, 1989. [Chem. Abstr., 1991, 115, 71382e]. [Google Scholar]
- Meunster, P.; Steiner, G.; Freund, W.; Wuerzer, B.; Westphalen, K.O. Carboxamides and their use as herbicides. Ger. Offen. Appl. 3,933,573, 1991. [Chem. Abstr., 1991, 115, 71383f]. [Google Scholar]
- Boschelli, D.H.; Kramer, J.B.; Connor, D.T.; Lesch, M.E.; Schrier, D.J.; Ferin, M.A.; Wright, C.D. 3-Alkoxybenzo[b]thiophene-2-carboxamides as inhibitors of neutrophil endothelial cell adhesion. J. Med. Chem. 1994, 37, 717–718. [Google Scholar]
- Kabir, S.M.H.; Miura, M.; Sasaki, S.; Harada, G.; Kuwatani, Y.; Yoshida, M.; Iyoda, M. New syntheses of tricyclic thiophenes and cyclic tetrathiophenes using transition-metal-catalyzed cyclization. Heterocycles 2000, 52, 761–774. [Google Scholar]
- Iyoda, M.; Miura, M.; Sasaki, S.; Kabir, S.M.H.; Kuwatani, Y.; Yoshida, M. Synthesis of dithienothiophenes, cyclopentadithiophene and silacyclopentadithiophenes using palladium-catalyzed cyclization. Tetrahedron Lett. 1997, 38, 4581–4582. [Google Scholar]
- Remonen, T.; Hellberg, J.; Vonschutz, J.U. New dithienothiophene donors for cation radical salts. Synth. Met. 1997, 86, 1851–1852. [Google Scholar]
- Fujitsuka, M.; Sato, T.; Watanabe, A.; Ito, O.; Shimidzu, T. Photochemical polymerization of dithienothiophenes. Chem. Lett. 1996, 285–286. [Google Scholar]
- Fujitsuka, M.; Sato, T.; Segawa, H.; Shimidzu, T. Photochemical polymerization of oligothiophene and dithienothiophene. Synth. Met. 1995, 69, 309–310. [Google Scholar]
- Karminski-Zamola, G.M.; Pavličić, D.; Bajić, M.; Blažević, N. The synthesis of new heteropolycyclic quinolone by twofold photocyclization: methoxycarbonylnaphto[2'',1'':2',3'-b]thieno[4',5':2,3]thieno[5,4-c]quinolin-6(5H)-one. Heterocycles 1991, 32, 2323–2327. [Google Scholar]
- Dogan, J.; Karminski-Zamola, G.M.; Boykin, D.W. Photosynthesis of heteropolycyclic quinolones. Heterocycles 1995, 41, 1659–1666. [Google Scholar]
- Malešević, M.; Karminski-Zamola, G.; Bajić, M.; Boykin, D.W. Photosynthesis of heteropolycyclic diquinolones twofold photodehydrohalogenation reaction of benzo[1,2-b:4,5-b']dithiophene- and dithieno[3,2-b:2',3'-d]thiophenedicarboxanilides. Heterocycles 1995, 41, 2691–2699. [Google Scholar]
- Dogan Koružnjak, J.; Slade, N.; Zamola, B.; Pavelić, K.; Karminski-Zamola, G. Synthesis, photochemical synthesis and antitumor evaluation of novel derivatives of thieno[3 ',2 ': 4,5]thieno[2,3-c]quinolones. Chem. Pharm. Bull. 2002, 50, 656–660. [Google Scholar]
- Capron, B.; Paulmier, C.; Pasteour, P. Synthesis of 3-furyl, 3-thienyl and 3-selenienyl propenoic acids and esters. A route to substituted thienothiophenes and selenolothiophenes. Bull. Soc. Chim. France 1975, 2575–2583. [Google Scholar]
- Blažević Šafarik, J.; Karminski-Zamola, G.; Marinić, Ž.; Klaić, B.; Mrvoš-Sermek, D. Convenient synthesis H-1, C-13 NMR study and X-ray crystal structure determination of some new disubstituted thiophenes. Spectrosc. Lett. 1999, 32, 443–462. [Google Scholar]
- Ried, W.; Oremek, G; Ocakciogku, B. Synthese von substituierten benzo(b)thiophenen. Liebigs Ann. Chem. 1980, 1424–1427. [Google Scholar]
- Wright, W. B., Jr. Preparation of 3-chlorothieno[3,2-b]thiophene derivatives from thiophene-2-acrylic acids. J. Heterocycl. Chem. 1972, 9, 879–882. [Google Scholar]
- Karminski-Zamola, G.; Dogan, J.; Bajić, M.; Blažević, J.; Malešević, M. Synthesis of some furylacrylates and thienylacrylates or diacrylates and acrylic acids by the palladium catalysed vinylation of substituted bromofurans and bromothiophenes. Heterocycles 1994, 38, 759–767. [Google Scholar]
- Capron, B.; Paulmier, C.; Pasteour, P. Preparation and properties of β-thienyl and β-selenienyl propenoic acids. C. R. Acad. Sci., Ser. C 1973, 277, 167–170. [Google Scholar]
- Sample Availability:
© 2005 by MDPI (http://www.mdpi.org). Reproduction is permitted for noncommercial purposes.